Comparing Soil vs. Foliar Nitrogen Supply of the Whole Fertilizer Dose in Common Wheat
Abstract
:1. Introduction
2. Materials and Methods
2.1. Field Trial Set-Up
2.2. Plant Analysis
2.3. Foliar Phytotoxicity
2.4. Yield Parameters and Nitrogen Use Efficiency (NUE)
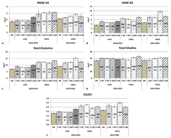
2.5. Grain Quality
2.6. Statistical Analysis
3. Results
3.1. Climatic Conditions during the Trials
3.2. Effects on Vegetation Indices
3.3. Leaf Phytotoxicity
3.4. Grain Yield and Quality
3.5. Nitrogen Uptake and NUE
3.6. Principal Component Analysis (PCA) and Discriminant Analysis (DA)
4. Discussion
5. Conclusions
Supplementary Materials
Author Contributions
Funding
Institutional Review Board Statement
Informed Consent Statement
Data Availability Statement
Acknowledgments
Conflicts of Interest
References
- Kuepper, G. Foliar Fertilization; NCAT Agriculture Specialist; ATTRA Publication# CT13; Academia: San Francisco, CA, USA, 2013. [Google Scholar]
- Fageria, N.K.; Filho, M.B.; Moreira, A.; Guimarães, C.M. Foliar Fertilization of Crop Plants. J. Plant Nutr. 2009, 32, 1044–1064. [Google Scholar] [CrossRef]
- Fernández, V.; Sotiropoulos, T.; Brown, P. Foliar Fertilization: Scientific Principles and Field Practices, 1st ed.; International Fertilizer Industry Association (IFA): Paris, France, 2013. [Google Scholar]
- Niu, J.; Liu, C.; Huang, M.; Liu, K.; Yan, D. Effects of Foliar Fertilization: A Review of Current Status and Future Perspectives. J. Soil Sci. Plant Nutr. 2021, 21, 104–118. [Google Scholar] [CrossRef]
- Alshaal, T.; El-Ramady, H. Foliar application: From plant nutrition to biofortification. Environ. Biodivers. Soil Secur. 2017, 1, 71–83. [Google Scholar] [CrossRef] [Green Version]
- Visioli, G.; Bonas, U.; Dal Cortivo, C.; Pasini, G.; Marmiroli, N.; Mosca, G.; Vamerali, T. Variations in yield and gluten proteins in durum wheat varieties under late-season foliar versus soil application of nitrogen fertilizer in a northern Mediterranean environment. J. Sci. Food Agric. 2018, 98, 2360–2369. [Google Scholar] [CrossRef] [PubMed] [Green Version]
- Barraclough, P.B.; Haynes, J. The effect of foliar supplements of potassium nitrate and urea on the yield of winter wheat. Nutr. Cycl. Agroecosyst. 1996, 44, 217–223. [Google Scholar] [CrossRef]
- Gooding, M.; Davies, W.P. Foliar urea fertilization of cereals: A review. Nutr. Cycl. Agroecosyst. 1992, 32, 209–222. [Google Scholar] [CrossRef]
- Abad, A.; Lloveras, J.; Michelena, A. Nitrogen fertilization and foliar urea effects on durum wheat yield and quality and on residual soil nitrate in irrigated Mediterranean conditions. Field Crop. Res. 2004, 87, 257–269. [Google Scholar] [CrossRef]
- Bly, G.A.; Woodard, H.J. Foliar nitrogen application timing influence on grain yield and protein concentration of hard red winter and spring wheat. Agron. J. 2003, 95, 335–338. [Google Scholar] [CrossRef]
- Woolfolk, C.W.; Raun, W.R.; Johnson, G.V.; Thomason, W.E.; Mullen, R.W.; Wynn, K.J.; Freeman, K.W. Influence of late-season foliar nitrogen applications on yield and grain nitrogen in winter wheat. Agron. J. 2002, 94, 429–434. [Google Scholar]
- Arif, M.; Chohan, M.A.; Ali, S.; Gul, R.; Khan, S. Response of wheat to foliar application of nutrients. J. Agric. Biol. Sci. 2006, 1, 30–34. [Google Scholar]
- Hay, R.K.M. Physiological control of growth and yield in wheat: Analysis and synthesis. In Crop Yield: Physiology and Processes; Smith, D.L., Hamel, C., Eds.; Springer Science & Business Media: Berlin/Heidelberg, Germany, 1999; pp. 1–38. [Google Scholar]
- Dick, C.D.; Thompson, N.M.; Epplin, F.M.; Arnall, D.B. Managing Late-Season Foliar Nitrogen Fertilization to Increase Grain Protein for Winter Wheat. Agron. J. 2016, 108, 2329–2338. [Google Scholar] [CrossRef]
- Powlson, D.S.; Poulton, P.R.; Møller, N.E.; Hewitt, M.V.; Penny, A.; Jenkinson, D.S. Uptake of foliar-applied urea by winter wheat (Triticum aestivum): The influence of application time and the use of a new15N technique. J. Sci. Food Agric. 1989, 48, 429–440. [Google Scholar] [CrossRef]
- Wang, Z.-H.; Li, S.-X.; Malhi, S. Effects of fertilization and other agronomic measures on nutritional quality of crops. J. Sci. Food Agric. 2008, 88, 7–23. [Google Scholar] [CrossRef]
- Brown, B.D.; Petrie, S. Irrigated hard winter wheat response to fall, spring, and late season applied nitrogen. Field Crop. Res. 2006, 96, 260–268. [Google Scholar] [CrossRef]
- Wuest, S.B.; Cassman, K.G. Fertilizer-nitrogen use efficiency of irrigated wheat: II. Partitioning efficiency of pre-plant versus late-season application. Agron. J. 1992, 84, 689–694. [Google Scholar] [CrossRef]
- Wyatt, E.C.; Bushong, J.T.; Macnack, N.E.; Mullock, J.L.; Taylor, R.; Raun, W.R. Influence of Droplet Size of Foliar-Applied Nitrogen on Grain Protein Content of Hard Red Winter Wheat. Crop. Forage Turfgrass Manag. 2017, 3, 1–10. [Google Scholar] [CrossRef]
- Ransom, J.; Simsek, S.; Schatz, B.; Eriksmoen, E.; Mehring, G.; Mutukwa, I. Effect of a Post-Anthesis Foliar Application of Nitrogen on Grain Protein and Milling and Baking Quality of Spring Wheat. Am. J. Plant Sci. 2016, 7, 2505–2514. [Google Scholar] [CrossRef] [Green Version]
- Wuest, S.B.; Cassman, K.G. Fertilizer-nitrogen use efficiency of irrigated wheat: I. Uptake efficiency of preplant vs. late-season application. Agron. J. 1992, 84, 682–688. [Google Scholar] [CrossRef]
- Turley, D.B.; Sylvester-Bradley, R.; Dampney, P.M.R. Foliar-Applied Nitrogen for Grain Protein and Canopy Management of Wheat; Home-Grown Cereals Authority (HGCA): London, UK, 2001; Review 47. [Google Scholar]
- Rossmann, A.; Buchner, P.; Savill, G.P.; Hawkesford, M.J.; Scherf, K.A.; Mühling, K.H. Foliar N application at anthesis alters grain protein composition and enhances baking quality in winter wheat only under a low N fertiliser regimen. Eur. J. Agron. 2019, 109, 125909. [Google Scholar] [CrossRef]
- Readman, R.J.; Kettlewell, P.S.; Beckwith, C.P. Effects of spray application of urea fertilizer at stem extension on winter wheat yield. J. Agric. Sci. 2002, 139, 1–10. [Google Scholar] [CrossRef]
- Zadoks, J.C.; Chang, T.T.; Konzak, C.F. A decimal code for the growth stages of cereals. Weed Res. 1974, 14, 415–421. [Google Scholar] [CrossRef]
- Phillips, S.B.; Mullins, G.L. Foliar Burn and Wheat Grain Yield Responses Following Topdress-Applied Nitrogen and Sulfur Fertilizers. J. Plant Nutr. 2004, 27, 921–930. [Google Scholar] [CrossRef]
- Moll, R.H.; Kamprath, E.J.; Jackson, W.A. Analysis and Interpretation of Factors Which Contribute to Efficiency of Nitrogen Utilization 1. Agron. J. 1982, 74, 562–564. [Google Scholar] [CrossRef]
- Tedone, L.; Ali, S.A.; Verdini, L.; De Mastro, G. Nitrogen management strategy for optimizing agronomic and environmental performance of rainfed durum wheat under Mediterranean climate. J. Clean. Prod. 2017, 172, 2058–2074. [Google Scholar] [CrossRef]
- Khan, P.; Memon, M.Y.; Imtiaz, M.; Aslam, M. Response of wheat to foliar and soil application of urea at different growth stages. Pak. J. Bot. 2009, 41, 1197–1204. [Google Scholar]
- Walsh, O.S.; Christiaens, R.J. Relative Efficacy of Liquid Nitrogen Fertilizers in Dryland Spring Wheat. Int. J. Agron. 2016, 2016, 6850672. [Google Scholar] [CrossRef] [Green Version]
- Phillips, S.B.; Chen, J.; Raun, W.R.; Johnson, G.V.; Cossey, D.A.; Murray, D.S.; Westerman, R.B. Winter wheat and cheat seed response to foliar nitrogen applications. J. Plant. Nutr. 1999, 22, 1541–1549. [Google Scholar] [CrossRef]
- Varga, B.; Svečnjak, Z. The effect of late-season urea spraying on grain yield and quality of winter wheat cultivars under low and high basal nitrogen fertilization. Field Crop. Res. 2006, 96, 125–132. [Google Scholar] [CrossRef]
- Rao, A.C.S.; Smith, J.L.; Jandhyala, V.K.; Papendick, R.I.; Parr, J.F. Cultivar and Climatic Effects on the Protein Content of Soft White Winter Wheat. Agron. J. 1993, 85, 1023–1028. [Google Scholar] [CrossRef]
- Johansson, E.; Prieto-Linde, M.L.; Svensson, G.; Jönsson, J. Influences of cultivar, cultivation year and fertilizer rate on amount of protein groups and amount and size distribution of mono- and polymeric proteins in wheat. J. Agric. Sci. 2003, 140, 275–284. [Google Scholar] [CrossRef]
- Ottman, M.J.; Doerge, T.A.; Martin, E.C. Durum Grain Quality as Affected by Nitrogen Fertilization near Anthesis and Irrigation During Grain Fill. Agron. J. 2000, 92, 1035–1041. [Google Scholar] [CrossRef]
- Blandino, M.; Vaccino, P.; Reyneri, A. Late-Season Nitrogen Increases Improver Common and Durum Wheat Quality. Agron. J. 2015, 107, 680–690. [Google Scholar] [CrossRef] [Green Version]
- Blandino, M.; Visioli, G.; Marando, S.; Marti, A.; Reyneri, A. Impact of late-season N fertilisation strategies on the gluten content and composition of high protein wheat grown under humid Mediterranean conditions. J. Cereal Sci. 2020, 94, 102995. [Google Scholar] [CrossRef]
- Mengel, K.; Kirkby, E.A.; Kosegarten, H.; Appel, T. Nitrogen. In Principles of Plant Nutrition; Mengel, K., Kirkby, E.A., Eds.; Kluwer Academic Publishers: Dordrecht, The Netherlands, 2001; pp. 397–434. [Google Scholar]
- Patil, B.; Chetan, H.T. Foliar fertilization of nutrients. Marumegh 2018, 3, 49–53. [Google Scholar]




| Year | Date | Phenological Stage | Treatment | ||||||||
|---|---|---|---|---|---|---|---|---|---|---|---|
| UAN | UREA | ||||||||||
| 0N | C-M | F-96 | F-104 | F-120 | C-M | F-96 | F-104 | F-120 | |||
| 2018–2019 | 20 October 2018 | Pre-sowing | 32 (s) | 32 (s) | 32 (s) | 32 (s) | 32 (s) | 32 (s) | 32 (s) | 32 (s) | 32 (s) |
| 25 February 2019 | Tillering (ZDS 26) | - | 58 (s) | 16 (f) | 8 (f) | 8 (f) | 58 (s) | 16 (f) | 8 (f) | 8 (f) | |
| 21 March 2019 | Stem elongation (ZDS 37) | - | 58 (s) | 16 (f) | 16 (f) | 16 (f) | 58 (s) | 16 (f) | 16 (f) | 16 (f) | |
| 24 April 2019 | Booting (ZDS 40) | - | - | 16 (f) | 32 (f) | 32 (f) | - | 16 (f) | 32 (f) | 32 (f) | |
| 7 May 2019 | Flowering (ZDS 62) | - | 12 (f) | 16 (f) | 16 (f) | 32 (f) | 12 (f) | 16 (f) | 16 (f) | 32 (f) | |
| 2019–2020 | 22 October 2019 | Pre-sowing | 32 (s) | - | - | - | - | 32 (s) | 32 (s) | 32 (s) | 32 (s) |
| 25 February 2020 | Tillering (ZDS 27) | - | - | - | - | - | 58 (s) | 16 (f) | 8 (f) | 8 (f) | |
| 28 March 2020 | Stem elongation (ZDS 37) | - | - | - | - | - | 58 (s) | 16 (f) | 16 (f) | 16 (f) | |
| 24 April 2020 | Booting (ZDS 40) | - | - | - | - | - | - | 16 (f) | 32 (f) | 32 (f) | |
| 7 May 2020 | Flowering (ZDS 62) | - | - | - | - | - | 12 (f) | 16 (f) | 16 (f) | 32 (f) | |
| Total N dose | 32 | 160 | 96 | 104 | 120 | 160 | 96 | 104 | 120 | ||
| N saving (%) vs. C-M treatment | 80% | Ref. | 40% | 35% | 25% | Ref. | 40% | 35% | 25% | ||
| Year | Fertilizer | Treatment | SPAD | NDVI | Shoot DW (g m−2) | |||
|---|---|---|---|---|---|---|---|---|
| 2018–2019 | 0N | 44.3 ± 1.17 | 0.745 ± 0.004 | 1359 ± 57.3 | ||||
| UAN | C-M | 47.4 ± 1.01 | a | 0.770 ± 0.016 | a | 1319 ± 62.0 | a | |
| F-96 | 45.7 ± 0.35 | a (−4) | 0.758 ± 0.021 | a (−2) | 1246 ± 30.6 | a (−6) | ||
| F-104 | 45.3 ± 0.90 | a (−4) | 0.736 ± 0.022 | a (−4) | 1414 ± 107.3 | a (+7) | ||
| F-120 | 46.8 ± 0.35 | a (−1) | 0.760 ± 0.012 | a (−1) | 1349 ± 73.8 | a (+2) | ||
| UREA | C-M | 47.4 ± 0.29 | a | 0.782 ± 0.013 | a | 1410 ± 81.9 | a | |
| F-96 | 45.7 ± 0.77 | b (−4) | 0.753 ± 0.019 | a (−4) | 1431 ± 86.3 | a (+2) | ||
| F-104 | 46.5 ± 0.19 | ab (−2) | 0.771 ± 0.017 | a (−1) | 1348 ± 36.1 | a (−4) | ||
| F-120 | 45.9 ± 0.61 | ab (−3) | 0.771 ± 0.010 | a (−1) | 1474 ± 66.7 | a (+5) | ||
| 2019–2020 | 0N | 39.8 ± 1.65 | 0.690 ± 0.090 | 1371 ± 94.1 | ||||
| UREA | C-M | 47.4 ± 0.16 | ab | 0.837 ± 0.005 | a | 1578 ± 188.3 | a | |
| F-96 | 44.9 ± 0.37 | b (−5) | 0.774 ± 0.021 | c (−8) | 1479 ± 152.6 | a (−6) | ||
| F-104 | 47.6 ± 0.28 | a (+1) | 0.820 ± 0.007 | ab (−2) | 1512 ± 6.0 | a (−4) | ||
| F-120 | 46.4 ± 1.47 | ab (−2) | 0.793 ± 0.035 | bc (−5) | 1309 ± 66.8 | a (−17) | ||
| Year | Fertilizer | Treatment | Yield DW (kg ha−1) | Harvest Index (%) | TSW (g) | Testing Weight (kg hL−1) | ||||
|---|---|---|---|---|---|---|---|---|---|---|
| 2018–2019 | 0N | 5570 ± 9.70 | 34.3 ± 0.51 | 28.9 ± 0.26 | 80.9 ± 0.73 | |||||
| UAN | C-M | 6407 ± 76.5 | b | 35.7 ± 1.11 | a | 29.0 ± 0.69 | a | 80.5 ± 0.23 | b | |
| F-96 | 6635 ± 107.1 | ab (+4) | 35.9 ± 0.83 | a (+1) | 28.8 ± 0.43 | a (−1) | 81.7 ± 0.38 | ab (+1) | ||
| F-104 | 6789 ± 76.2 | a (+6) | 36.8 ± 1.36 | a (+3) | 30.3 ± 1.26 | a (+5) | 82.4 ± 0.49 | a (+2) | ||
| F-120 | 6357 ± 121.2 | b (−1) | 33.7 ± 3.24 | a (−6) | 27.8 ± 2.39 | a (−9) | 80.6 ± 0.90 | ab (=) | ||
| UREA | C-M | 6386 ± 41.7 | ab | 33.1 ± 0.96 | a | 27.7 ± 0.72 | a | 79.5 ± 0.19 | b | |
| F-96 | 6527 ± 96.5 | a (+2) | 35.8 ± 0.69 | a (+8) | 29.4 ± 0.36 | a (+6) | 81.9 ± 0.36 | a (+3) | ||
| F-104 | 6193 ± 95.6 | b (−3) | 36.0 ± 1.47 | a (+9) | 29.1 ± 0.44 | a (−1) | 80.4 ± 0.69 | b (+1) | ||
| F-120 | 6524 ± 69.0 | a (+2) | 33.9 ± 0.62 | a (+2) | 28.9 ± 0.66 | a (−1) | 81.8 ± 0.31 | a (+3) | ||
| 2019–2020 | 0N | 5914 ± 758.4 | 41.0 ± 1.69 | 35.5 ± 0.57 | 80.9 ± 0.56 | |||||
| UREA | C-M | 6129 ± 436.0 | a | 39.9 ± 1.75 | a | 34.5 ± 0.51 | a | 82.5 ± 0.19 | b | |
| F-96 | 6828 ± 286.8 | a (+11) | 44.7 ± 0.36 | a (+12) | 38.3 ± 0.64 | a (+10) | 83.2 ± 0.38 | ab (+1) | ||
| F-104 | 6214 ± 643.9 | a (+1) | 39.9 ± 3.72 | a (=) | 35.1 ± 2.77 | a (+2) | 82.8 ± 0.38 | ab (=) | ||
| F-120 | 6259 ± 287.7 | a (+2) | 41.3 ± 3.14 | a (+3) | 35.2 ± 1.51 | a (+2) | 83.8 ± 0.38 | a (+1) | ||
| Year | Fertilizer | Treatment | GPC (%) | Zeleny Index (%) | Wet Gluten (%) | |||
|---|---|---|---|---|---|---|---|---|
| 2018–2019 | 0N | 11.4 ± 0.53 | 33.5 ± 2.12 | 27.6 ± 1.31 | ||||
| UAN | C-M | 14.0 ± 0.64 | a | 42.8 ± 5.88 | a | 31.4 ± 1.68 | ab | |
| F-96 | 13.1 ± 0.37 | a (−6) | 35.9 ± 2.40 | a (−16) | 29.4 ± 0.80 | b (−6) | ||
| F-104 | 13.4 ± 0.26 | a (−4) | 37.9 ± 3.29 | a (−11) | 30.0 ± 0.61 | ab (−4) | ||
| F-120 | 14.5 ± 0.45 | a (+4) | 48.3 ± 3.40 | a (+13) | 33.3 ± 1.13 | a (+6) | ||
| UREA | C-M | 14.3 ± 0.61 | ab | 44.9 ± 5.28 | ab | 32.5 ± 1.56 | ab | |
| F-96 | 13.2 ± 0.44 | b (−8) | 36.7 ± 4.39 | b (−18) | 30.0 ± 1.10 | b (−8) | ||
| F-104 | 14.7 ± 0.32 | a (+3) | 49.2 ± 1.50 | a (+10) | 33.4 ± 0.61 | a (+3) | ||
| F-120 | 14.5 ± 0.19 | ab (+1) | 48.6 ± 0.80 | a (+8) | 32.8 ± 0.54 | ab (+1) | ||
| 2019–2020 | 0N | 9.9 ± 0.41 | 21.6 ± 2.66 | 15.8 ± 0.96 | ||||
| UREA | C-M | 13.2 ± 0.33 | b | 32.9 ± 2.66 | bc | 26.8 ± 1.19 | b | |
| F-96 | 12.0 ± 0.15 | c (−9) | 29.1 ± 1.02 | c (−12) | 23.3 ± 0.48 | c (−13) | ||
| F-104 | 13.9 ± 0.35 | ab (+6) | 40.4 ± 5.34 | ab (+23) | 30.0 ± 1.27 | a (+12) | ||
| F-120 | 14.2 ± 0.13 | a (+8) | 46.3 ± 0.69 | a (+41) | 31.0 ± 0.23 | a (+16) | ||
| Year | Fertilizer | Treatment | N Use Efficiency NUE kg Grains/kg N-Applied | N Uptake Efficiency (NUpE) kg N-Uptake/kg N-Applied | N Utilization Efficiency (NUtE) kg Grain/kg N-Uptake | |||
|---|---|---|---|---|---|---|---|---|
| 2018–2019 | UAN | C-M | 40.0 ± 0.48 | d | 1.39 ± 0.17 | b | 29.8 ± 3.64 | ab |
| F-96 | 69.1 ± 1.12 | a (+73) | 2.81 ± 0.19 | a (+103) | 24.8 ± 1.40 | b (−17) | ||
| F-104 | 65.3 ± 0.73 | b (+63) | 1.76 ± 0.18 | b (+27) | 37.9 ± 4.15 | a (+27) | ||
| F-120 | 53.0 ± 1.01 | c (+32) | 1.42 ± 0.14 | b (+2) | 38.3 ± 4.31 | a (+29) | ||
| UREA | C-M | 39.9 ± 0.26 | d | 1.15 ± 0.15 | b | 35.8 ± 4.50 | a | |
| F-96 | 68.0 ± 1.01 | a (+70) | 2.46 ± 0.04 | a (+113) | 27.7 ± 0.83 | a (−23) | ||
| F-104 | 59.6 ± 0.92 | b (+49) | 2.38 ± 0.49 | a (+107) | 27.3 ± 5.94 | a (−24) | ||
| F-120 | 54.4 ± 0.58 | c (+36) | 2.00 ± 0.14 | ab (+74) | 27.5 ± 1.91 | a (−23) | ||
| 2019–2020 | UREA | C-M | 38.3 ± 4.7 | c | 1.49 ± 0.18 | b | 26.1 ± 1.55 | b |
| F-96 | 71.1 ± 5.2 | a (+86) | 2.10 ± 0.31 | ab (+41) | 34.8 ± 3.32 | a (+34) | ||
| F-104 | 59.8 ± 10.7 | ab (+56) | 2.35 ± 0.20 | a (+58) | 25.8 ± 3.50 | b (−1) | ||
| F-120 | 52.2 ± 4.2 | b (+36) | 1.78 ± 0.11 | ab (+19) | 29.4 ± 0.51 | ab (+13) | ||
Publisher’s Note: MDPI stays neutral with regard to jurisdictional claims in published maps and institutional affiliations. |
© 2021 by the authors. Licensee MDPI, Basel, Switzerland. This article is an open access article distributed under the terms and conditions of the Creative Commons Attribution (CC BY) license (https://creativecommons.org/licenses/by/4.0/).
Share and Cite
Ferrari, M.; Dal Cortivo, C.; Panozzo, A.; Barion, G.; Visioli, G.; Giannelli, G.; Vamerali, T. Comparing Soil vs. Foliar Nitrogen Supply of the Whole Fertilizer Dose in Common Wheat. Agronomy 2021, 11, 2138. https://doi.org/10.3390/agronomy11112138
Ferrari M, Dal Cortivo C, Panozzo A, Barion G, Visioli G, Giannelli G, Vamerali T. Comparing Soil vs. Foliar Nitrogen Supply of the Whole Fertilizer Dose in Common Wheat. Agronomy. 2021; 11(11):2138. https://doi.org/10.3390/agronomy11112138
Chicago/Turabian StyleFerrari, Manuel, Cristian Dal Cortivo, Anna Panozzo, Giuseppe Barion, Giovanna Visioli, Gianluigi Giannelli, and Teofilo Vamerali. 2021. "Comparing Soil vs. Foliar Nitrogen Supply of the Whole Fertilizer Dose in Common Wheat" Agronomy 11, no. 11: 2138. https://doi.org/10.3390/agronomy11112138
APA StyleFerrari, M., Dal Cortivo, C., Panozzo, A., Barion, G., Visioli, G., Giannelli, G., & Vamerali, T. (2021). Comparing Soil vs. Foliar Nitrogen Supply of the Whole Fertilizer Dose in Common Wheat. Agronomy, 11(11), 2138. https://doi.org/10.3390/agronomy11112138

