Rate and Timing of Meat and Bone Meal Applications Influence Growth, Yield, and Soil Water Nitrate Concentrations in Sweet Corn Production
Abstract
:1. Introduction
2. Materials and Methods
2.1. Study Area
2.2. Experimental Design
2.3. Fertilizer Application Rate and Timing
2.4. Suction Cup Lysimeter Installation and Soil Solution Collection
2.5. Soil Solution Analyses
2.6. Plant Growth, Yield, and Quality Measurements
2.7. Statistical Analysis
3. Results
3.1. Air Temperature and Precipitation
3.2. Growth, Yield, and Quality
3.3. Relative Chlorophyll Content
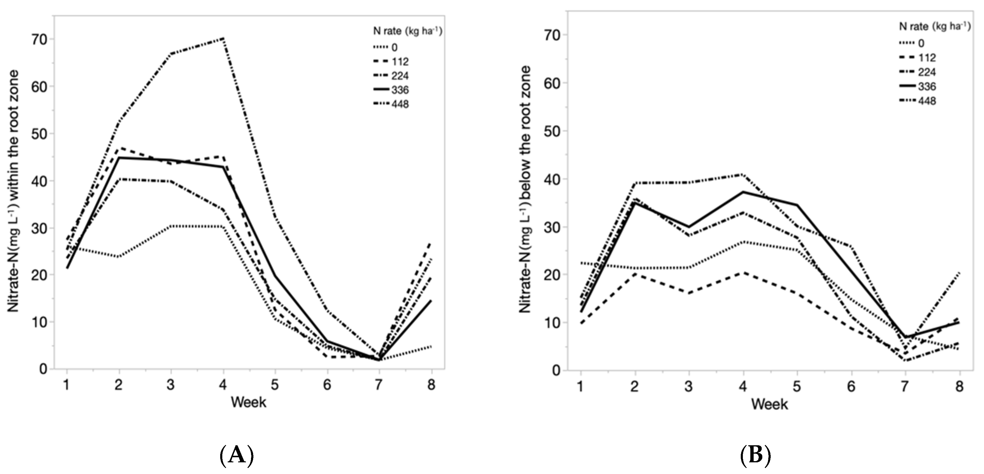
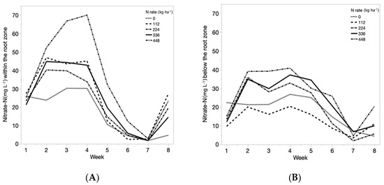
3.4. Nitrate Concentrations
4. Discussion
Author Contributions
Funding
Institutional Review Board Statement
Informed Consent Statement
Data Availability Statement
Acknowledgments
Conflicts of Interest
References
- Radovich, T.J.K.; Pant, A.; Gurr, I.; Hue, N.V.; Sugano, J.; Sipes, B.; Arancon, N.; Tamaru, C.; Fox, B.K.; Kobayashi, K.D.; et al. Innovative Use of Locally Produced Inputs to Improve Plant Growth, Crop Quality, and Grower Profitability in Hawai’i. Horttechnology 2012, 22, 738–742. [Google Scholar] [CrossRef] [Green Version]
- Fetter, J.C.; Brown, R.N.; Gorres, J.H.; Lee, C.; Amador, J.A. Nitrate and Phosphate Leaching under Turfgrass Fertilized with a Squid-based Organic Fertilizer. Water Air Soil Pollut. 2012, 223, 1531–1541. [Google Scholar] [CrossRef]
- Long, R.J.; Brown, R.N.; Amador, J.A. Growing Food with Garbage: Effects of Six Waste Amendments on Soil and Vegetable Crops. HortScience 2017, 52, 896–904. [Google Scholar] [CrossRef] [Green Version]
- Garcia, R.A.; Rosentrater, K.A. Concentration of key elements in North American meat & bone meal. Biomass Bioenergy 2008, 32, 887–891. [Google Scholar] [CrossRef]
- Mondini, C.; Cayuela, M.L.; Sinicco, T.; Sanchez-Monedero, M.A.; Bertolone, E.; Bardi, L. Soil application of meat and bone meal. Short-term effects on mineralization dynamics and soil biochemical and microbiological properties. Soil Biol. Biochem. 2008, 40, 462–474. [Google Scholar] [CrossRef]
- Song, F.; Xu, D.D.; Mai, K.S.; Zhou, H.H.; Xu, W.; He, G. Comparative Study on the Cellular and Systemic Nutrient Sensing and Intermediary Metabolism after Partial Replacement of Fishmeal by Meat and Bone Meal in the Diet of Turbot (Scophthalmus maximus L.). PLoS ONE 2016, 11, e0165708. [Google Scholar] [CrossRef] [PubMed]
- Jeng, A.S.; Haraldsen, T.K.; Gronlund, A.; Pedersen, P.A. Meat and bone meal as nitrogen and phosphorus fertilizer to cereals and rye grass. Nutr. Cycl. Agroecosyst. 2006, 76, 183–191. [Google Scholar] [CrossRef]
- Gaskell, M. Nitrogen sources for organic vegetable crops. Horttechnology 2007, 17, 431–441. [Google Scholar] [CrossRef] [Green Version]
- Stepien, A.; Wojtkowiak, K. Effect of Meat and Bone Meal on the Content of Microelements in Soil, Wheat Grains and Oilseed Rape Seeds. J. Elem. 2015, 20, 999–1010. [Google Scholar] [CrossRef]
- Lazarovits, G. Management of soil-borne plant pathogens with organic soil amendments: A disease control strategy salvaged from the past. Can. J. Plant Pathol. 2001, 23, 1–7. [Google Scholar] [CrossRef]
- Meas, T.; Hu, W.Y.; Batte, M.T.; Woods, T.A.; Ernst, S. Substitutes or Complements? Consumer Preference for Local and Organic Food Attributes. Am. J. Agric. Econ. 2015, 97, 1044–1071. [Google Scholar] [CrossRef]
- Stępień, A.; Wojtkowiak, K. Variability of mineral nitrogen contents in soil as affected by meat and bone meal used as fertilizer. Chil. J. Agric. Res. 2015, 75, 105–110. [Google Scholar] [CrossRef]
- Nogalska, A.; Chen, L.; Sienkiewicz, S.; Nogalski, Z. Meat and bone meal as nitrogen and phosphorus supplier to cereals and oilseed rape. Agric. Food Sci. 2014, 23, 19–27. [Google Scholar] [CrossRef]
- Chen, L.; Kivela, J.; Helenius, J.; Kangas, A. Meat Bone Meal as Fertiliser for Barley and Oat. Agric. Food Sci. 2011, 20, 235–244. [Google Scholar] [CrossRef]
- Zhou, M.H.; Zhu, B.; Bruggemann, N.; Dannenmann, M.; Wang, Y.Q.; Butterbach-Bahl, K. Sustaining crop productivity while reducing environmental nitrogen losses in the subtropical wheat-maize cropping systems: A comprehensive case study of nitrogen cycling and balance. Agric. Ecosyst. Environ. 2016, 231, 1–14. [Google Scholar] [CrossRef]
- Hartz, T.K.; Johnstone, P.R. Nitrogen availability from high-nitrogen-containing organic fertilizers. Horttechnology 2006, 16, 39–42. [Google Scholar] [CrossRef] [Green Version]
- West, J.R.; Ruark, M.D.; Bussan, A.J.; Colquhoun, J.B.; Silva, E.M. Nitrogen and Weed Management for Organic Sweet Corn Production on Loamy Sand. Agron. J. 2016, 108, 758–769. [Google Scholar] [CrossRef]
- Ahmad, A.A.; Radovich, T.; Hue, N.V.; Uyeda, J.; Arakaki, A.; Cadby, J.; Paull, R.; Sugano, J.; Teves, G. Use of Organic Fertilizers to Enhance Soil Fertility, Plant Growth, and Yield in a Tropical Environment. In Organic Fertilizers: From Basic Concepts to Applied Outcomes; Larramendy, M.L., Soloneski, S., Eds.; InTech: Rijeka, Croatia, 2016; p. 382. [Google Scholar]
- Chaves, C.; Pomares, F.; Albiach, R.; Canet, R. Rates of Nitrogen Mineralization of Meat and Bone Meals in Mediterranean Soils. Commun. Soil Sci. Plant Anal. 2014, 45, 2258–2267. [Google Scholar] [CrossRef]
- Lazicki, P.; Geisseler, D.; Lloyd, M. Nitrogen mineralization from organic amendments is variable but predictable. J. Environ. Qual. 2020, 49, 483–495. [Google Scholar] [CrossRef]
- Montemurro, F.; Diacono, M. Towards a Better Understanding of Agronomic Efficiency of Nitrogen: Assessment and Improvement Strategies. Agronomy 2016, 6, 31. [Google Scholar] [CrossRef]
- Tosti, G.; Farneselli, M.; Benincasa, P.; Guiducci, M. Nitrogen Fertilization Strategies for Organic Wheat Production: Crop Yield and Nitrate Leaching. Agron. J. 2016, 108, 770–781. [Google Scholar] [CrossRef] [Green Version]
- Bustamante, S.C.; Hartz, T.K. Nitrogen Management in Organic Processing Tomato Production: Nitrogen Sufficiency Prediction Through Early-season Soil and Plant Monitoring. HortScience 2015, 50, 1055–1063. [Google Scholar] [CrossRef] [Green Version]
- Brewbaker, J.L. Six Tropical Supersweet Corn Inbreds. HortScience 2010, 45, 1388–1391. [Google Scholar] [CrossRef] [Green Version]
- Brewbaker, J.L. Corn Production in the Tropics: A Hawai’i Experience; College of Tropical Agriculture and Human Resources, University of Hawai’i at Manoa: Honolulu, HI, USA, 2003; Available online: https://www.ctahr.hawaii.edu/oc/freepubs/pdf/corn2003.pdf (accessed on 15 May 2019).
- Hochmuth, G.J.; Hanlon, E. A Summary of N, P, and K Research with Sweet Corn in Florida. EDIS 2010. Available online: https://journals.flvc.org/edis/article/view/118808 (accessed on 25 June 2019).
- Hue, N.V.; Ikawa, H. Liming Acid Soils of Hawai’i; College of Tropical Agriculture and Human Resources, University of Hawai’i at Manoa: Honolulu, HI, USA, 1997; Available online: https://www.ctahr.hawaii.edu/oc/freepubs/pdf/AS-1.pdf (accessed on 21 April 2019).
- Crabtree, C.G.; Seaman, T.M. Suction Lysimeter Modifications to Improve Sampling Efficiency and Prevent Wildlife Damage. Vadose Zone J. 2006, 5, 77–79. [Google Scholar] [CrossRef]
- Heckman, J.R.; Hlubik, W.T.; Prostak, D.J.; Paterson, J.W. Pre-Sidedress Soil Nitrate Test for Sweet Corn. HortScience 1995, 30, 1033–1036. [Google Scholar] [CrossRef] [Green Version]
- Varvel, G.E.; Schepers, J.S.; Francis, D.D. Ability for in-season correction of nitrogen deficiency in corn using chlorophyll meters. Soil Sci. Soc. Am. J. 1997, 61, 1233–1239. [Google Scholar] [CrossRef]
- Varvel, G.E.; Wilhelm, W.; Shanahan, J.F.; Schepers, J.S. An Algorithm for Corn Nitrogen Recommendations Using a Chlorophyll Meter Based Sufficiency Index. Agron. J. 2007, 99, 701–706. [Google Scholar] [CrossRef] [Green Version]
- Valenzuela, H.R.; Goo, T.; Hamasaki, R.H.; Radovich, T. The effect of bone meal on the yield of jicama, Pachyrhizus erosus, in O’ahu Hawai’i. Proc. Fla. State Hortic. Soc. 2000, 113, 222–226. [Google Scholar]
- Maresma, A.; Ariza, M.; Martinez, E.; Lloveras, J.; Martinez-Casasnovas, J.A. Analysis of Vegetation Indices to Determine Nitrogen Application and Yield Prediction in Maize (Zea mays L.) from a Standard UAV Service. Remote Sens. 2016, 8, 973. [Google Scholar] [CrossRef] [Green Version]
- Amanullah, J.; Shah, P. Timing and rate of nitrogen application influence grain quality and yield in maize planted at high and low densities. J. Sci. Food Agric. 2010, 90, 21–29. [Google Scholar] [CrossRef]
- Lazicki, P.; Geisseler, D. Soil nitrate testing supports nitrogen management in irrigated annual crops. Calif. Agric. 2016, 71, 90–95. [Google Scholar] [CrossRef]
- Kiani, M.; Raave, H.; Simojoki, A.; Tammeorg, O.; Tammeorg, P. Recycling lake sediment to agriculture: Effects on plant growth, nutrient availability, and leaching. Sci. Total Environ. 2020, 753, 141984. [Google Scholar] [CrossRef] [PubMed]
- Jatana, B.S.; Kitchens, C.; Ray, C.; Tharayil, N. Regulating the nutrient release rates from proteinaceous agricultural byproducts using organic amendments and its effect on soil chemical and microbiological properties. Biol. Fertil. Soils 2020, 56, 747–758. [Google Scholar] [CrossRef]
- Ahmad, A.A.; Fares, A.; Abbas, F.; Deenik, J.L. Nutrient concentrations within and below root zones from applied chicken manure in selected Hawaiian soils. J. Environ. Sci. Health B 2009, 44, 828–843. [Google Scholar] [CrossRef]
- Filho AC, C.; Crusciol, C.A.; Guimarães, T.M.; Calonego, J.C.; Mooney, S.J. Impact of Amendments on the Physical Properties of Soil under Tropical Long-Term No Till Conditions. PLoS ONE 2017, 12, e0173011. [Google Scholar] [CrossRef]
- Gangaiah, C.; Ahmad, A.; Nguyen, H.V.; Wang, K.H.; Radovich, T.J.K. Evaluating Three Invasive Algal Species as Local Organic Sources of Potassium for Pak Choi (Brassica rapa, Chinensis Group) Growth. HortScience 2017, 52, 436–440. [Google Scholar] [CrossRef] [Green Version]
- Aziz, T. Nutrient Availability and Maize (Zea mays) Growth in Soil Amended with Organic Manures. Int. J. Agric. Biol. 2010, 12, 621–624. [Google Scholar]




| P z | K | Ca | Mg | Mn | Fe | Cu | Zn | N | C | ||
|---|---|---|---|---|---|---|---|---|---|---|---|
| Location | pH | mg g−1 | mg dm−3 | % | |||||||
| Waimānalo | 6.6 | 306 | 393 | 4510 | 1465 | 384 | 191 | 11 | 11 | 0.14 | 2.1 |
| Poamoho | 5.4 | 288 | 623 | 887 | 179 | 695 | 41 | 28 | 26 | 0.07 | 1.2 |
| N | P | K | Ca | Mg | Fe | Mn | Zn | Cu | B | C | |
|---|---|---|---|---|---|---|---|---|---|---|---|
| Location | % | ug g−1 | % | ||||||||
| Waimānalo | 8.9 | 2.8 | 0.67 | 5.5 | 0.15 | 992 | 12 | 79 | 3.0 | 12 | 46.7 |
| Poamoho | 10.0 | 2.7 | 0.83 | 5.0 | 0.16 | 1526 | 17 | 87 | 3.0 | 5.0 | 47.1 |
| Yield (g plant−1) | Ear FW (g plant−1) | Ear DW (g plant−1) | Shoot DW (g plant−1) | Root DW (g plant−1) | Leaf Area (cm−3) | |
|---|---|---|---|---|---|---|
| Waimanalo | ||||||
| N Rate (kg ha−1) | ||||||
| 0 | 156.49 (29.74) b z | 198.88 (14.11) | 43.50 (4.21) | 50.38 (3.12) c | 7.58 (0.48) c | 239.25 (11.84) d |
| 112 | 162.81 (10.81) b | 190.38 (8.69) | 44.33 (3.18) | 75.88 (2.86) b | 13.67 (0.42) bc | 272.25 (15.64) cd |
| 224 | 185.10 (8.64) ab | 205.50 (7.97) | 45.38 (2.35) | 80.25 (4.44) b | 13.13 (1.15) bc | 260.88 (9.33) bc |
| 336 | 208.06 (6.68) a | 217.75 (7.06) | 50.54 (2.65) | 88.50 (4.08) a | 16.88 (1.93) ab | 295.75 (8.13) ab |
| 448 | 213.88 (8.42) a | 227.13 (8.02) | 52.38 (2.54) | 95.13 (3.76) a | 20.75 (1.97) a | 309.38 (4.70) a |
| Timing | ||||||
| Preplant | 179.25 (9.18) | 207.65 (7.01) | 47.00 (2.18) | 80.10 (6.28) | 15.30 (1.55) | 277.65 (8.92) |
| Split | 191.29 (8.27) | 208.20 (5.13) | 47.30 (1.66) | 75.95 (7.66) | 13.50 (1.23) | 273.35 (7.60) |
| Rates | p = 0.0046 | p = 0.0559 | p = 0.1202 | p < 0.0001 | p = 0.002 | p = 0.0004 |
| Timing | NS | NS | NS | NS | NS | NS |
| Rates × timing | NS | NS | NS | NS | NS | NS |
| Poamoho | ||||||
| N Rate (kg ha−1) | ||||||
| 0 | 183.23 (24.52) c | 231.50 (7.99) c | 66.25 (4.25) c | 101.88 (7.56) c | 13.38 (1.93) b | 298.64 (10.02) d |
| 112 | 212.80 (31.91) bc | 237.88 (13.13) c | 71.38 (5.03) bc | 107.04 (8.80) bc | 17.13 (1.76) b | 306.68 (11.07) cd |
| 224 | 224.99 (19.65) abc | 270.25 (8.31) b | 84.88 (4.71) ab | 132.50 (7.13) abc | 24.25 (2.15) a | 333.57 (12.72) bc |
| 336 | 261.31 (15.41) ab | 301.41 (13.93) a | 90.75 (5.91) a | 135.52 (12.52) abc | 26.88 (3.80) a | 329.78 (12.33) bc |
| 448 | 258.26 (19.26) ab | 310.13 (15.11) a | 95.63 (6.86) a | 141.38 (12.88) ab | 24.38 (2.37) a | 357.97 (14.56) ab |
| 672 | 288.08 (11.66) a | 319.50 (5.47) a | 99.25 (2.61) a | 147.01 (14.06) a | 27.88 (2.74) a | 366.41 (11.64) a |
| Timing | ||||||
| Preplant | 255.52 (12.59) a | 278.13 (9.50) | 84.38 (3.99) | 134.75 (12.09) | 25.50 (1.87) | 337.64 (8.93) |
| Split | 220.71 (14.12) b | 278.79 (9.46) | 85.00 (3.54) | 120.33 (9.57) | 19.13 (1.44) | 326.70 (7.73) |
| Rates | p = 0.015 | p < 0.0001 | p = 0.0006 | p = 0.0247 | p = 0.0002 | p = 0.0003 |
| Timing | p = 0.0479 | NS | NS | p = 0.1113 | p = 0.1703 | NS |
| Rates × timing | NS | NS | NS | NS | NS | NS |
Publisher’s Note: MDPI stays neutral with regard to jurisdictional claims in published maps and institutional affiliations. |
© 2021 by the authors. Licensee MDPI, Basel, Switzerland. This article is an open access article distributed under the terms and conditions of the Creative Commons Attribution (CC BY) license (https://creativecommons.org/licenses/by/4.0/).
Share and Cite
Silvasy, T.; Ahmad, A.A.; Wang, K.-H.; Radovich, T.J.K. Rate and Timing of Meat and Bone Meal Applications Influence Growth, Yield, and Soil Water Nitrate Concentrations in Sweet Corn Production. Agronomy 2021, 11, 1945. https://doi.org/10.3390/agronomy11101945
Silvasy T, Ahmad AA, Wang K-H, Radovich TJK. Rate and Timing of Meat and Bone Meal Applications Influence Growth, Yield, and Soil Water Nitrate Concentrations in Sweet Corn Production. Agronomy. 2021; 11(10):1945. https://doi.org/10.3390/agronomy11101945
Chicago/Turabian StyleSilvasy, Tiare, Amjad A. Ahmad, Koon-Hui Wang, and Theodore J. K. Radovich. 2021. "Rate and Timing of Meat and Bone Meal Applications Influence Growth, Yield, and Soil Water Nitrate Concentrations in Sweet Corn Production" Agronomy 11, no. 10: 1945. https://doi.org/10.3390/agronomy11101945
APA StyleSilvasy, T., Ahmad, A. A., Wang, K.-H., & Radovich, T. J. K. (2021). Rate and Timing of Meat and Bone Meal Applications Influence Growth, Yield, and Soil Water Nitrate Concentrations in Sweet Corn Production. Agronomy, 11(10), 1945. https://doi.org/10.3390/agronomy11101945
