Seeding Density and Nitrogen Fertilization Effects on Agronomic Responses of Some Hybrid Barley Lines in a Mediterranean Environment
Abstract
:1. Introduction
2. Materials and Methods
2.1. Study Site
2.2. Experimental Design and Crop Management
2.3. Field and Yield Measurements
2.4. Statistical Analyses
3. Results
3.1. Climatic Data
3.2. Effect of Seeding Rate
3.3. Effect of Nitrogen Dose
3.4. Effect of Variety
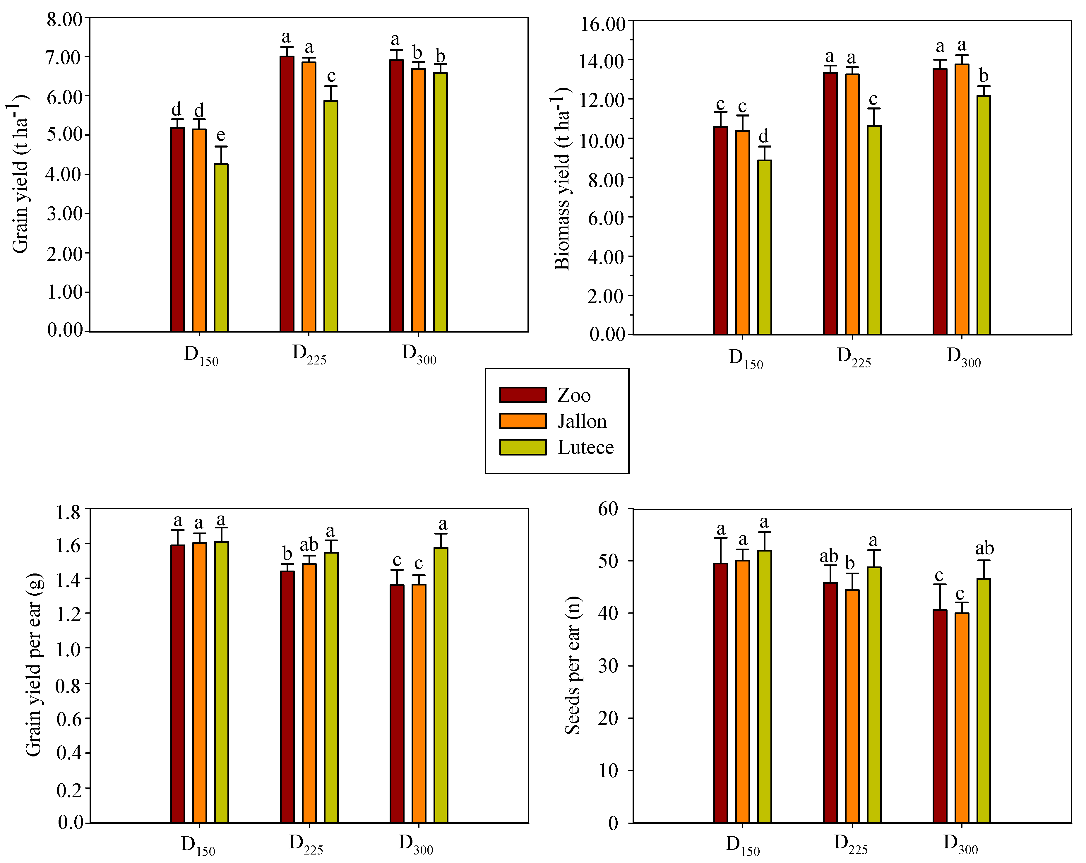
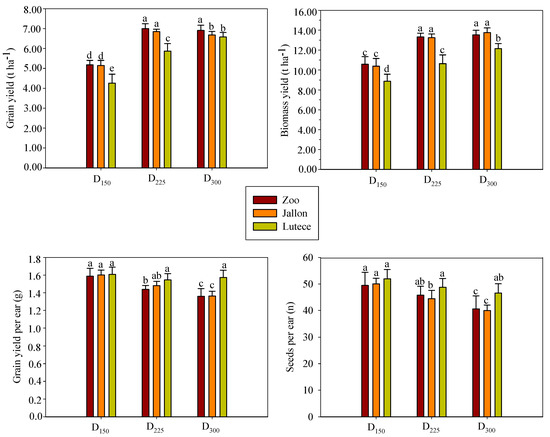
3.5. Interactions
4. Discussion
5. Conclusions
Supplementary Materials
Author Contributions
Funding
Institutional Review Board Statement
Informed Consent Statement
Data Availability Statement
Conflicts of Interest
References
- Puglia, D.; Luzi, F.; Lilli, M.; Sbardella, F.; Pauselli, M.; Torre, L.; Benincasa, P. Industrial Crops & Products Straw fibres from barley hybrid lines and their reinforcement effect in polypropylene based composites. Ind. Crop. Prod. 2020, 154, 112736. [Google Scholar] [CrossRef]
- Badr, A.; Mu, K.; Scha, R.; El Rabey, H.; Effgen, S.; Ibrahim, H.H.; Pozzi, C.; Rohde, W.; Salamini, F. On the Origin and Domestication History of Barley (Hordeum vulgare). Mol. Biol. Evol. 2000, 17, 499–510. [Google Scholar] [CrossRef] [PubMed] [Green Version]
- Yadav, S.; Kumar, R.; Chauhan, S.S. Effect of Different Nitrogen Levels and Varieties on Protein and Nitrogen Content in Grain and Nitrogen Uptake by Barley (Hordeum vulgare L.) in Sodic Soil. Int. J. Curr. Microbiol. App. Sci. 2020, 9, 612–618. [Google Scholar] [CrossRef]
- Usubaliev, B.; Brantestam, A.K.; Kurmanbekova, G.; Chekirov, K.; Totubaeva, N.; Von Bothmer, R. Agronomic performance of spring barley cultivars under different eco-environmental conditions. Pol. J. Environ. Stud. 2020, 29, 4331–4344. [Google Scholar] [CrossRef]
- Gill, K.S.; Omokanye, A.T.; Pettyjohn, J.P.; Elsen, M. Evaluation of Forage Type Barley Varieties for Forage Yield and Nutritive Value in the Peace Region of Alberta. J. Agric. Sci. 2013, 5, 24–36. [Google Scholar] [CrossRef] [Green Version]
- Longin, C.F.H.; Mühleisen, J.; Maurer, H.P.; Zhang, H.; Gowda, M.; Reif, J.C. Hybrid breeding in autogamous cereals. Theor. Appl. Genet. 2012, 125, 1087–1096. [Google Scholar] [CrossRef] [PubMed]
- Pswarayi, A.; Van Eeuwijk, F.A.; Ceccarelli, S.; Grando, S.; Comadran, J.; Russell, J.R.; Francia, E.; Pecchioni, N.; Li Destri, O.; Akar, T.; et al. Barley adaptation and improvement in the Mediterranean basin. Plant Breed. 2008, 127, 554–560. [Google Scholar] [CrossRef]
- Philipp, N.; Liu, G.; Zhao, Y.; He, S.; Spiller, M.; Stiewe, G.; Pillen, K.; Reif, J.C.; Li, Z. Genomic Prediction of Barley Hybrid Performance. Plant Genome 2016, 9, 1–8. [Google Scholar] [CrossRef] [PubMed] [Green Version]
- Mühleisen, J.; Piepho, H.P.; Maurer, H.P.; Longin, C.F.H.; Reif, J.C. Yield stability of hybrids versus lines in wheat, barley, and triticale. Theor. Appl. Genet. 2014, 127, 309–316. [Google Scholar] [CrossRef]
- Aguirre, A.A.; Studer, B.; Frei, U.; Lübberstedt, T. Prospects for Hybrid Breeding in Bioenergy Grasses. Bioenergy Res. 2012, 5, 10–19. [Google Scholar] [CrossRef] [Green Version]
- Whitford, R.; Fleury, D.; Reif, J.C.; Garcia, M.; Okada, T.; Korzun, V.; Langridge, P. Hybrid breeding in wheat: Technologies to improve hybrid wheat seed production. J. Exp. Bot. 2013, 64, 5411–5428. [Google Scholar] [CrossRef] [PubMed] [Green Version]
- Ahokas, H. Cytoplasmic Male Sterility in Barley. Acta Agric. Scand. 1979, 29, 219–224. [Google Scholar] [CrossRef]
- Rizzolatti, C.; Rodde, N.; Bergès, H.; Tatara, E.; Pin, P.; Budar, F.; Mireau, H.; Bury, P.; Gielen, J. Molecular characterization of the cytoplasmatic male sterility system underlying the breeding and production of HyvidoTM hybrids in barley. In Proceedings of the Plant & Animal Genome XXIII Conference, San Diego, CA, USA, 10–14 January 2015. [Google Scholar]
- Blandino, M.; Marinaccio, F.; Reyneri, A. La tecnica agronomica per gli orzi ibridi. L’Informatore Agrar. 2015, 35, 43–45. [Google Scholar]
- Tehulie, N.S.; Eskezia, H. Effects of Nitrogen Fertilizer Rates on Growth, Yield Components and Yield of Food Barley (Hordeum vulgare L.): A Review. J. Plant Sci. Agric. Res. 2021, 5, 46. [Google Scholar]
- Aghdam, S.M.; Samadiyan, F. Effect of nitrogen and cultivars on some of traits of barley (Hordeum vulgare L.). Int. J. Adv. Biol. Biomed. Res. 2014, 2, 295–299. [Google Scholar]
- Martínez-Dalmau, J.; Berbel, J.; Ordóñez-Fernández, R. Nitrogen Fertilization. A Review of the Risks Associated with the Inefficiency of Its Use and Policy Responses. Sustainability 2021, 13, 5625. [Google Scholar] [CrossRef]
- Kefauver, S.C.; Vicente, R.; Vergara-Díaz, O.; Fernandez-Gallego, J.A.; Kerfal, S.; Lopez, A.; Melichar, J.P.E.; Serret Molins, M.D.; Araus, J.L. Comparative UAV and Field Phenotyping to Assess Yield and Nitrogen Use Efficiency in Hybrid and Conventional Barley. Front. Plant Sci. 2017, 8, 1733. [Google Scholar] [CrossRef]
- Pankaj, S.C.; Sharma, P.K.; Singh, S.K. Chlorophyll Content and Nitrogen Uptake by Barley Varieties as Influenced by Date of Sowing and Nitrogen Levels. Environ. Ecol. 2015, 34, 745–749. [Google Scholar]
- Francia, E.; Tondelli, A.; Rizza, F.; Badeck, F.W.; Li, O.; Nicosia, D.; Akar, T.; Grando, S.; Al-yassin, A.; Benbelkacem, A.; et al. Field Crops Research Determinants of barley grain yield in a wide range of Mediterranean environments. Field Crop. Res. 2011, 120, 169–178. [Google Scholar] [CrossRef]
- Istat. Coltivazioni. Available online: http://dati.istat.it/Index.aspx?DataSetCode=DCSP_COLTIVAZIONI (accessed on 22 July 2021).
- Manesh, M.; Mohini, M. Crop Residues for Sustainable Livestock production. J. Adv. Dairy Res. 2014, 2, 1–2. [Google Scholar] [CrossRef] [Green Version]
- Andersen, L.F.; Parsin, S.; Lüdtke, O.; Kaltschmitt, M. Biogas production from straw—The challenge feedstock pretreatment. Biomass Convers. Biorefinery 2020, 1–24. [Google Scholar] [CrossRef]
- Bernhard, T.; Friedt, W.; Voss-Fels, K.P.; Frisch, M.; Snowdon, R.J.; Wittkop, B. Heterosis for Biomass and Grain Yield Facilitates Breeding of Productive Dual-Purpose Winter Barley Hybrids. Crop Sci. 2017, 57, 2405–2418. [Google Scholar] [CrossRef]
- Oslaj, M.; Mursec, B.; Vindis, P. Biogas production from maize hybrids. Biomass Bioenergy 2010, 34, 1538–1545. [Google Scholar] [CrossRef]
- Dinuccio, E.; Balsari, P.; Gioelli, F.; Menardo, S. Evaluation of the biogas productivity potential of some Italian agro-industrial biomasses. Bioresour. Technol. 2010, 101, 3780–3783. [Google Scholar] [CrossRef] [PubMed]
- Franco, R.T.; Buffière, P.; Bayard, R. Ensiling for biogas production: Critical parameters. A review. Biomass Bioenergy 2016, 94, 94–104. [Google Scholar] [CrossRef] [Green Version]
- Kreuger, E.; Nges, I.A.; Björnsson, L. Ensiling of crops for biogas production: Effects on methane yield and total solids determination. Biotechnol. Biofuels 2011, 4, 1–8. [Google Scholar] [CrossRef] [Green Version]
- Feng, L.; Perschke, Y.M.L.; Fontaine, D.; Ward, A.J.; Eriksen, J.; Sørensen, P.; Møller, H.B. Co-ensiling of cover crops and barley straw for biogas production. Renew. Energy 2019, 142, 677–683. [Google Scholar] [CrossRef]
- Han, M.; Kang, K.E.; Kim, Y.; Choi, G. High efficiency bioethanol production from barley straw using a continuous pretreatment reactor. Process. Biochem. 2013, 48, 488–495. [Google Scholar] [CrossRef]
- Soil Survey Staff. Illustrated Guide to Soil Taxonomy; U.S. Department of Agriculture, Natural Resources Conservation Service, National Soil Survey Center: Lincoln, Nebraska, 2015. [Google Scholar]
- Growth Stages of Plants. Entwicklungsstadien von Pflanzen. In Estadios de las Plantas. Stades Dedéveloppement des Plantes; 1997: BBCH-Monograph; Meier, U. (Ed.) Blackwell Wissenschafts: Berlin, Germany; Wien, Austria, 1997. [Google Scholar]
- Official Methods of Analysis, 17th ed.; The Association of Official Analytical Chemists: Gaithersburg, MD, USA, 2000.
- Yang, R.-C. Towards Understanding and Use of Mixed-Model Analysis of Agricultural Experiments. Can. J. Plant Sci. 2010, 90, 605–627. [Google Scholar] [CrossRef]
- O’Donovan, J.T.; Turkington, T.K.; Edney, M.J.; Clayton, G.W.; McKenzie, R.H.; Juskiw, P.E.; Lafond, G.P.; Grant, C.A.; Brandt, S.; Harker, K.N.; et al. Seeding Rate, Nitrogen Rate, and Cultivar Effects on Malting Barley Production. Agron. J. 2011, 103, 709–716. [Google Scholar] [CrossRef] [Green Version]
- Edney, M.J.; O’Donovan, J.T.; Turkington, T.K.; Clayton, G.W.; McKenzie, R.; Juskiw, P.; Lafond, G.P.; Brandt, S.; Grant, C.A.; Harker, K.N.; et al. Effects of seeding rate, nitrogen rate and cultivar on barley malt quality. J. Sci. Food Agric. 2012, 92, 2672–2678. [Google Scholar] [CrossRef] [PubMed]
- Terefe, D.; Desalegn, T.; Ashagre, H. Effect of Nitrogen Fertilizer Levels on Grain Yield, N Uptake and N Use Efficiency of Malt Barley (Hordeum vulgare L.) Varieties at Wolmera District, Central Highland of Ethiopia. Int. J. Res. Stud. Agric. Sci. 2018, 4, 9–21. [Google Scholar] [CrossRef]




| Parameters | Seasons | |
|---|---|---|
| 2017/18 | 2018/19 | |
| Total sand (%) | 33.9 | 42.3 |
| Silt (%) | 50.4 | 44.7 |
| Clay (%) | 15.7 | 13.0 |
| Texture | Silt loam | Loam |
| EC1:2 (d Sm−1) | 0.141 | 0.206 |
| Soluble salts (g kg−1) | 0.18 | 0.26 |
| pH (KCl) | 7.6 | 7.5 |
| Total CaCO3 (g kg−1) | 10.0 | 9.6 |
| Active CaCO3 (g kg−1) | 6.5 | 6.4 |
| Corg (g kg−1) | 12.1 | 12.4 |
| Nt (g kg−1) | 0.80 | 0.90 |
| C/N | 8.90 | 8.2 |
| Assimilable P2O5 (ppm) | 42 | 25 |
| Exchangeable K2O (ppm) | 105 | 107 |
| Exchangeable CaO (ppm) | 3473 | 3030 |
| Exchangeable MgO (ppm) | 282 | 243 |
| Exchangeable Na (ppm) | 10 | 27 |
| Mg/K (m.eq./100 g) | 6.30 | 5.30 |
| CEC (m.eq./100 g) | 23.4 | 20.8 |
| GSB | 60 | 59 |
| ESP | 0.18 | 0.56 |
| SAR | 0.02 | 0.05 |
| Month | Total Rainfall (mm) | Min Temperature (°C) | Max Temperature (°C) | ||||||
|---|---|---|---|---|---|---|---|---|---|
| 2017/18 | 2018/19 | 25-Year | 2017/18 | 2018/19 | 25-Year | 2017/18 | 2018/19 | 25-Year | |
| October | 181.0 | 13.0 | 72.6 | 11.8 | 13.7 | 11.0 | 22.9 | 21.9 | 24.2 |
| November | 122.4 | 100.8 | 102.9 | 7.8 | 9.7 | 7.3 | 16.9 | 17.7 | 18.8 |
| December | 47.2 | 63.6 | 88.9 | 5.1 | 5.7 | 4.6 | 13.0 | 13.9 | 14.9 |
| January | 81.4 | 30.6 | 88,5 | 6.2 | 2.1 | 3.5 | 14.0 | 10.3 | 13.8 |
| February | 32.2 | 124.8 | 72.7 | 4.7 | 4.8 | 3.8 | 12.1 | 13.5 | 14.6 |
| March | 81.2 | 106.6 | 77.9 | 7.6 | 7.6 | 5.1 | 15.5 | 16.9 | 16.8 |
| April | 56.8 | 4.8 | 51.8 | 10.3 | 9.0 | 7.4 | 21.5 | 18.2 | 20.1 |
| May | 86.0 | 40.8 | 34.0 | 13.9 | 10.8 | 11.0 | 24.4 | 16.8 | 25.2 |
| June | 11.6 | 77.4 | 21.8 | 16.9 | 17.2 | 17.2 | 28.0 | 34.3 | 31.2 |
| Agronomic Traits | D | N | D × N | V | D × V | N × V | D × N × V | Error (1) | Y (2) Interaction | |
|---|---|---|---|---|---|---|---|---|---|---|
| DF (3) | 2 | 1 | 2 | 2 | 4 | 2 | 4 | 72 | ||
| Grain yield (t ha−1) | 0.003 | 0.423 | 0.086 | 0.010 | 0.048 | 0.702 | 0.042 | 0.340 | 11.3 | |
| Biomass yield (t ha−1) | 0.003 | 0.458 | 0.147 | 0.003 | 0.022 | 0.910 | 0.031 | 0.270 | 13.0 | |
| Earing (gg ¼) | 0.188 | 0.500 | 0.617 | 0.016 | 0.662 | 0.500 | 0.896 | 0.306 | 19.4 | |
| Plant height (cm) | 0.048 | 0.716 | 0.336 | 0.283 | 0.940 | 0.623 | 0.877 | 11.027 | 18.2 | |
| Ear density (n m−2) | 0.006 | 0.043 | 0.931 | 0.052 | 0.549 | 0.451 | 0.661 | 51.525 | 6.5 | |
| Tillering index | 0.045 | 0.016 | 0.281 | 0.047 | 0.044 | 0.279 | 0.320 | 0.929 | 16.6 | |
| 1000-kernel weight (g) | 0.004 | 0.489 | 0.118 | 0.001 | 0.200 | 0.040 | 0.014 | 1.250 | 2.6 | |
| Hectolitre weight (kg hl−1) | 0.012 | 0.338 | 0.019 | 0.002 | 0.377 | 0.026 | 0.013 | 0.015 | 3.8 | |
| Yield per ear (g) | 0.060 | 0.033 | 0.015 | 0.004 | 0.015 | 0.159 | 0.199 | 0.014 | 15.6 | |
| Number of grains per ear (n) | 0.278 | 0.046 | 0.632 | 0.452 | 0.045 | 0.652 | 0.765 | 0.141 | 5.9 | |
| Grain protein (g kg−1) | 0.049 | 0.135 | 0.043 | 0.753 | 0.929 | 0.915 | 0.757 | 0.704 | 4.6 | |
| Straw protein (g kg−1) | 0.018 | 0.666 | 0.796 | 0.983 | 0.975 | 0.587 | 0.270 | 0.165 | 6.4 | |
| Protein (t ha−1) | 0.005 | 0.967 | 0.499 | 0.035 | 0.035 | 0.175 | 0.105 | 0.14 | 4.2 | |
| Agronomic Traits | Seeding Rate | Nitrogen Dose | Variety | |||||
|---|---|---|---|---|---|---|---|---|
| D150 | D225 | D300 | N80 | N120 | Zoo | Jallon | Lutece | |
| Grain yield (t ha−1) | 4.87 c | 6.57 b | 6.72 a | 5.99 a | 6.12 a | 6.36 a | 6.23 b | 5.57 c |
| Biomass yield (t ha−1) | 9.94 c | 12.40 b | 13.15 a | 11.28 a | 11.63 a | 12.50 a | 12.46 a | 9.40 b |
| Earing (gg ¼) | 23 a | 21 b | 21 c | 21 a | 22 a | 22 b | 24 a | 18 c |
| Plant height (cm) | 101 b | 105 a | 105 a | 103 a | 104 a | 103 b | 103 b | 105 a |
| Number of ears (n m−2) | 354 c | 485 b | 503 a | 439 b | 456 a | 477 a | 479 a | 387 b |
| Tillering index | 2.36 a | 2.16 b | 1.68 c | 2.04 b | 2.10 b | 2.20 a | 2.21 a | 1.79 b |
| 1000-kernel weight (g) | 44.2 a | 42.2 b | 41.4 c | 42.7 a | 42.5 a | 43.0 a | 43.7 a | 41.1 c |
| Hectolitre weight (kg hL−1) | 66.8 a | 64.6 b | 64.6 b | 65.5 a | 65.2 a | 66.1 a | 66.0 a | 64.0 b |
| Yield per ear (g) | 1.60 a | 1.48 b | 1.43 b | 1.51 a | 1.43 b | 1.46 b | 1.47 b | 1.58 a |
| Number of grains per ears (n) | 50.5 a | 46.3 b | 42.4 c | 46.9 a | 45.9 b | 45.3 b | 44.8 b | 49.1 a |
| Grain protein (g kg−1) | 9.0 a | 8.7 ab | 8.4 b | 8.8 a | 8.7 a | 8.6 a | 8.8 a | 8.8 a |
| Straw protein (g kg−1) | 2.6 a | 2.3 ab | 2.3 b | 2.4 a | 2.3 a | 2.4 a | 2.4 a | 2.4 a |
| Proteins (t ha−1) | 0.63 b | 0.78 a | 0.78 a | 0.74 a | 0.72 a | 0.77 a | 0.77 a | 0.65 b |
Publisher’s Note: MDPI stays neutral with regard to jurisdictional claims in published maps and institutional affiliations. |
© 2021 by the authors. Licensee MDPI, Basel, Switzerland. This article is an open access article distributed under the terms and conditions of the Creative Commons Attribution (CC BY) license (https://creativecommons.org/licenses/by/4.0/).
Share and Cite
Preiti, G.; Calvi, A.; Romeo, M.; Badagliacca, G.; Bacchi, M. Seeding Density and Nitrogen Fertilization Effects on Agronomic Responses of Some Hybrid Barley Lines in a Mediterranean Environment. Agronomy 2021, 11, 1942. https://doi.org/10.3390/agronomy11101942
Preiti G, Calvi A, Romeo M, Badagliacca G, Bacchi M. Seeding Density and Nitrogen Fertilization Effects on Agronomic Responses of Some Hybrid Barley Lines in a Mediterranean Environment. Agronomy. 2021; 11(10):1942. https://doi.org/10.3390/agronomy11101942
Chicago/Turabian StylePreiti, Giovanni, Antonio Calvi, Maurizio Romeo, Giuseppe Badagliacca, and Monica Bacchi. 2021. "Seeding Density and Nitrogen Fertilization Effects on Agronomic Responses of Some Hybrid Barley Lines in a Mediterranean Environment" Agronomy 11, no. 10: 1942. https://doi.org/10.3390/agronomy11101942
APA StylePreiti, G., Calvi, A., Romeo, M., Badagliacca, G., & Bacchi, M. (2021). Seeding Density and Nitrogen Fertilization Effects on Agronomic Responses of Some Hybrid Barley Lines in a Mediterranean Environment. Agronomy, 11(10), 1942. https://doi.org/10.3390/agronomy11101942

