Global Landscape of Organic Carbon and Total Nitrogen in the Soils of Oasis Ecosystems in Southern Tunisia
Abstract
:1. Introduction
2. Materials and Methods
2.1. Study Site
2.2. Experimental Design and Soil Sampling
2.3. Chemical Analysis, Soil C and N Stocks
2.4. Soil Classification
2.5. Statistical Analysis
3. Results
3.1. Pre-Experiment Soil Characteristics, September 2019
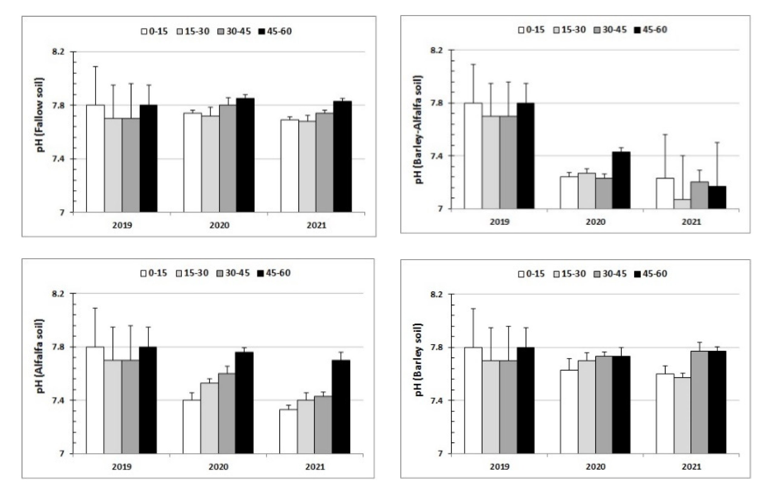
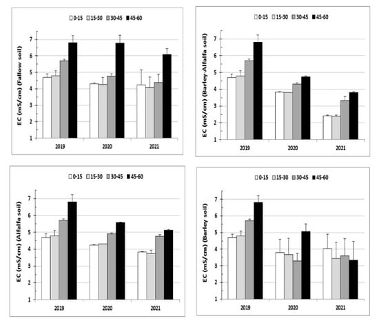
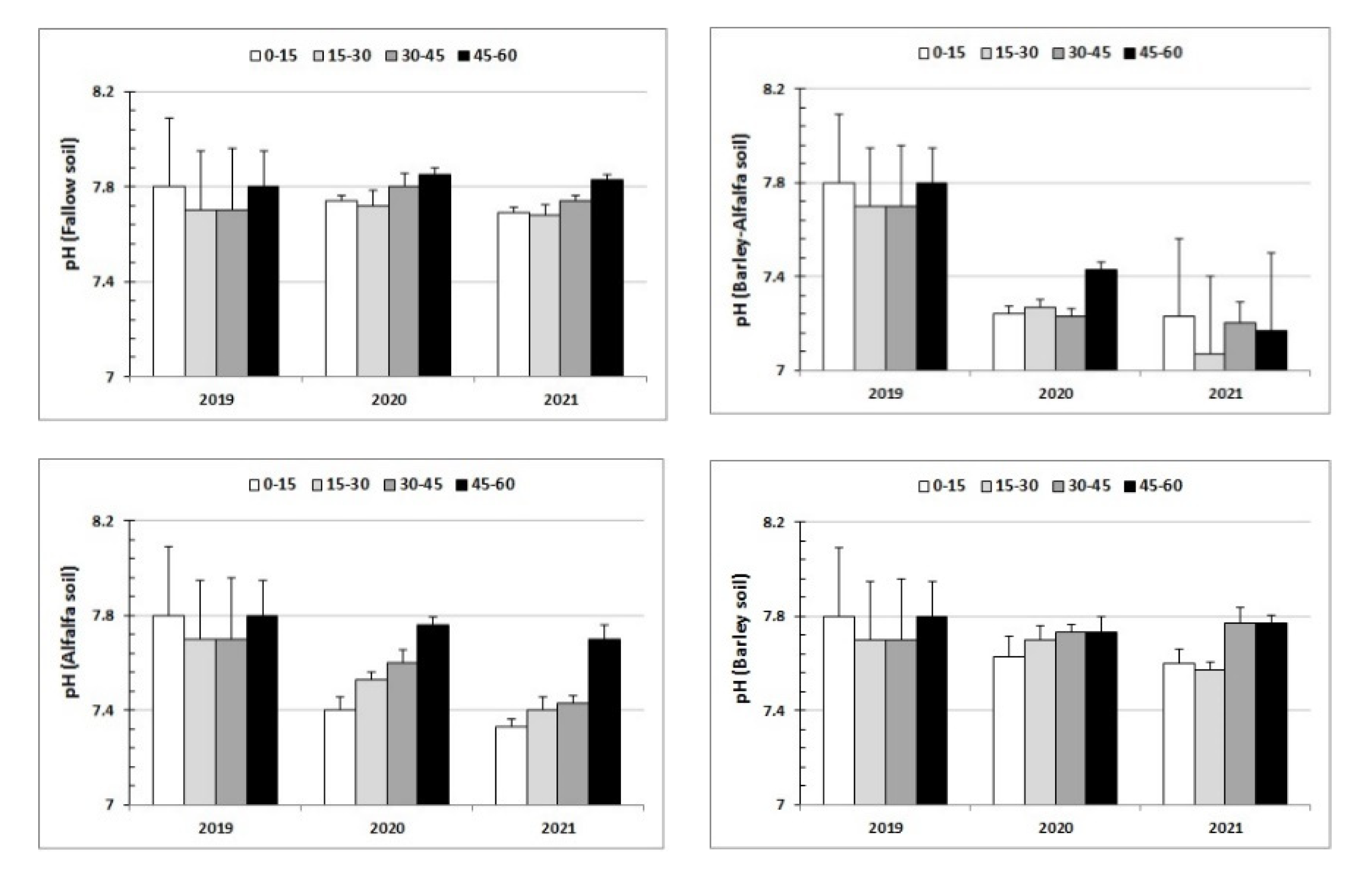
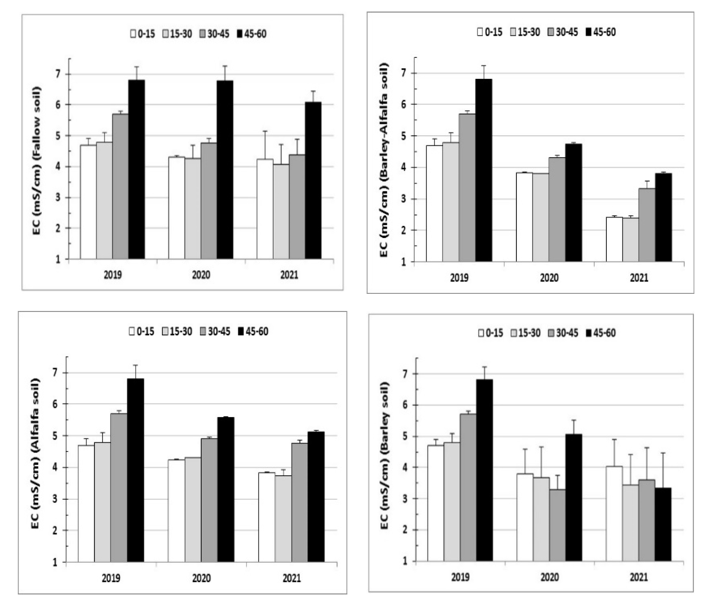
3.2. Soil pH, BD, EC, C, and N in 2020 and 2021
3.3. Carbon Stocks
3.4. Nitrogen Stocks
4. Discussion
5. Conclusions
Supplementary Materials
Author Contributions
Funding
Institutional Review Board Statement
Informed Consent Statement
Data Availability Statement
Acknowledgments
Conflicts of Interest
References
- Prugue, M. Une Agriculture Productive Soucieuse de Prévenir les Risques Sanitaires et Environnementaux; Conseil Économique et Social: Paris, France, 2008; p. 76. [Google Scholar]
- Hbirkou, C.; Martius, C.; Khamzina, A.; Lamers, J.P.A.; Welp, G.; Amelung, W. Reducing topsoil salinity and raising carbon stocks through afforestation in Khorezm, Uzbekistan. J. Arid Environ. 2011, 75, 146–155. [Google Scholar] [CrossRef]
- Znaidi, A.; Brahim, N.; Ibrahim, H.; Bol, R.; Chaouachi, M. Comparison of organic carbon stock of Regosols under two different climates and land use in Tunisia. Arab. J. Geosci. 2020, 13, 1011. [Google Scholar] [CrossRef]
- GIZ. Les Oasis de Tunisie à Protéger Contre la Dégradation et les Effets du Changement Climatique; (GIZ) GmbH Publication: Tunis, Tunisia, 2012; p. 34. [Google Scholar]
- Mbow, C.; Rosenzweig, C.; Barioni, L.G.; Benton, T.G.; Herrero, M.; Krishnapillai, M.; Liwenga, E.; Pradhan, P.; Rivera-Ferre, M.G.; Sapkota, T.; et al. Food Security. In Climate Change and Land: An IPCC Special Report on Climate Change, Desertification, Land Degradation, Sustainable Land Management, Food Security, and Greenhouse Gas Fluxes in Terrestrial Ecosystems; Shukla, P.R., Skea, J., Calvo Buendia, E., Masson-Delmotte, V.H., Pörtner, O., Roberts, D.C., Zhai, P., Slade, R., Connors, S., van Diemen, R., et al., Eds.; IPCC: Geneva, Switzerland, 2019; p. 114. [Google Scholar]
- Carpentier, I. Diversité des dynamiques locales dans les oasis du Sud de la Tunisie. Cah. Agric. 2017, 26, 35001. [Google Scholar] [CrossRef] [Green Version]
- Pansu, M.; Martineau, Y.; Saugier, B. A modelling method to quantify in situ the input of carbon from roots and the resulting C turnover in soil. Plant Soil 2009, 317, 103–120. [Google Scholar] [CrossRef]
- Karbout, N.; Essifi, B.; Lamourou, H.; Brahim, N.; Moussa, M.; Bousnina, H. Effect of mineral amendment on the gypsum and salinity distributions in soil from a South Tunisian oasis. Euro-Mediterr. J. Environ. Integr. 2020, 5, 13. [Google Scholar] [CrossRef]
- Karbout, N.; Brahim, N.; Mlih, R.; Moussa, M.; Bousnina, H.; Weihermuller, L.; Bol, R. Bentonite clay combined with organic amendments to enhance soil fertility in oasis agrosystem. Arab. J. Geosci. 2021, 14, 428. [Google Scholar] [CrossRef]
- Callaway, R.M. Direct Mechanisms for Facilitation. In Positive Interactions and Interdependence in Plant Communities; Callaway, R.M., Ed.; Springer: Dordrecht, The Netherlands, 2007; pp. 15–59. [Google Scholar]
- Steinbeiss, S.; Bessler, H.; Engels, C.; Temperton, V.M.; Buchmann, N.; Roscher, C.; Kreutziger, Y.; Baade, J.; Habekost, M.; Gleixner, G. Plant diversity positively affects short-term soil carbon storage in experimental grasslands. Glob. Chang. Biol. 2008, 14, 2937–2949. [Google Scholar] [CrossRef]
- Cong, W.F.; Hoffland, E.; Li, L.; Six, J.; Sun, J.H.; Bao, X.G.; Zhang, F.S.; Van Der Werf, W. Intercropping enhances soil carbon and nitrogen. Glob. Chang. Biol. 2015, 21, 1715–1726. [Google Scholar] [CrossRef] [PubMed]
- Li, Q.Z.; Sun, J.H.; Wei, X.J.; Christie, P.; Zhang, F.S.; Li, L. Over yielding and interspecific interactions mediated by nitrogen fertilization in strip intercropping of maize with faba bean, wheat and barley. Plant Soil 2011, 339, 147–161. [Google Scholar] [CrossRef] [Green Version]
- Nelson, D.W.; Sommers, L.E. Total carbon, organic carbon, and organic matter, Methods soil Anal Part 3. Chem. Methods 1996, 5, 961–1010. [Google Scholar]
- AFNOR Association Française de Normalisation. Qualité du Sol-Dosage de L’azote Total- Méthode de Kjeldahl Modifiée; AFNOR Association Française de Normalisation: Paris, France, 1995. [Google Scholar]
- AFNOR Association Française de Normalisation. Qualité du Sol-Détermination de la Distribution Granulométrique des Particules du Sol-Méthode à la Pipette; AFNOR Association Française de Normalisation: Paris, France, 2003. [Google Scholar]
- Vieillefon, J. Contribution à l’amélioration de l’étude des sols gypseux. Cah. ORSTOM Série Pédologie 1979, XVII, 195–223. [Google Scholar]
- Sherrod, L.A.; Dunn, G.; Peterson, G.A.; Kolberg, R.L. Inorganic Carbon Analysis by Modified Pressure-Calcimeter Method. Soil Sci. Soc. Am. J. 2002, 66, 299–305. [Google Scholar] [CrossRef]
- APHA American Public Health Association. Standard Methods for the Examination of Water and Wastewater, 20th ed.; American Public Health Association, American Water Works Association and Water Environmental Federation: Washington, DC, USA, 1998. [Google Scholar]
- Brahim, N.; Ibrahim, H.; Hatira, A. Tunisian soil organic carbon stock-Spatial and vertical variation. Procedia Eng. 2014, 69, 1549–1555. [Google Scholar] [CrossRef]
- Yigini, Y.; Panagos, P. Assessment of soil organic carbon stocks under future climate and land cover changes in Europe. Sci. Total Environ. 2016, 557, 838–850. [Google Scholar] [CrossRef]
- IUSS Working Group WRB. World Reference Base for Soil Resources 2014, Update 2015 International Soil Classification System for Naming Soils and Creating Legends for Soil Maps. In World Soil Resources Reports No. 106; FAO: Rome, Italy, 2015; p. 193. [Google Scholar]
- Boulbaba, A.; Marzouk, L.; Ben Rabah, R.; Shimi, N. Variations of Natural Soil Salinity in an Arid Environment Using Underground Watertable Effects on Salinization of Soils in Irrigated Perimeters in South Tunisia. Int. J. Geosci. 2012, 3, 1040–1047. [Google Scholar] [CrossRef] [Green Version]
- Omar, Z.; Bouajila, A.; Brahim, N.; Grira, M. Soil property and soil organic carbon pools and stocks of soil under oases in arid regions of Tunisia. Environ. Earth Sci. 2017, 76. [Google Scholar] [CrossRef]
- Mlih, R.; Gocke, M.I.; Bol, R.; Berns, A.E.; Fuhrmann, I.; Brahim, N. Soil organic matter composition in coastal and continental date palm systems-Insights from Tunisian oases. Pedosphere 2019, 29, 444–456. [Google Scholar] [CrossRef]
- Maatoug, S.; Brahim, N.; Hatira, A. Amendment of Saline Soils by Adding Sand in the Old Oasis of Nefzaoua in Tunisia. Res. J. Appl. Sci. Eng. Technol. 2019, 4, 153–159. [Google Scholar] [CrossRef]
- Selmy, S.; El-Aziz, S.A.; Gameh, M.; Abdelsalam, A.-S. Characterization and mapping spatial variability of Entisols derived from shale in Dakhla Oasis, Egypt. Arab. J. Geosci. 2020, 13, 592. [Google Scholar] [CrossRef]
- Karbout, N.; Bol, R.; Brahim, N.; Moussa, M.; Bousnina, H. Applying biochar from date palm waste residues to improve the organic matter, nutrient status and water retention in sandy oasis soils. J. Res. Environ. Earth Sci. 2019, 7, 203–209. [Google Scholar]
- Yang, Z.; Su, Q.; Chen, H.; Yang, G. Anthropogenic impacts recorded by a 200-year peat profile from the Zoige Peatland, northeastern Qinghai–Tibetan Plateau. CATENA 2021, 206, 105463. [Google Scholar] [CrossRef]
- Davidson, E.A.; Janssens, I.A. Temperature sensitivity of soil carbon decomposition and feedbacks to climate change. Nature 2006, 440, 165–173. [Google Scholar] [CrossRef]
- Chiheb Bouraoui, C. Cartographie et Estimation des Stocks de Carbone et D’azote Dans les Sols de Zarcine-Kebili. Master’s Thesis, University of Tunis El Manar, Tunis, Tunisia, 2017; p. 110. [Google Scholar]
- Nehed Sbawelgi, N. Etude des Amendements Organiques et de L’ajout du Sable et des Argiles Pour la Restauration du sol de L’oasis Fatnassa (Kebili). Master’s Thesis, University of Tunis El Manar,, Tunis, Tunisia, 2018; p. 62. [Google Scholar]
- Li, M.; Zhang, X.; Pang, G.; Han, F. The estimation of soil organic carbon distribution and storage in a small catchment area of the Loess Plateau. CATENA 2013, 101, 11–16. [Google Scholar] [CrossRef]
- Ben Soltan, M. Effet de la Salinité sur L’évolution de la Matière Organique: Cas de L’oasis de Fatnassa-Kebili. Master’s Thesis, University of Tunis El Manar, Tunis, Tunisia, 2018; p. 66. [Google Scholar]
- Trabelsi, H. La Gestion de la Matière Organique Dans les Sols des Oasis Continentales de Kebili: Étude de L’ajout du Fumier et du Compost Dans L’oasis Guetaaya. Master’s Thesis, University of Tunis El Manar, Tunis, Tunisia, 2016; p. 89. [Google Scholar]
- Maestre, F.T.; Cortina, J.; Bautista, S.; Bellot, J.; Vallejo, R. Small-scale environmental heterogeneity and spatiotemporal dynamics of seedling establishment in a semiarid degraded ecosystem. Ecosystems 2003, 6, 630–643. [Google Scholar] [CrossRef]
- Zhao, Y.; Li, X.; Zhang, Z.; Hu, Y.G.; Wu, P. Soil–plant relationships in the Hetao irrigation region drainage ditch banks, northern China. Arid Land Res. Manag. 2014, 28, 74–86. [Google Scholar] [CrossRef]
- Victor, A.D.; Valery, N.N.; Louis, Z. Soil organic carbon stock under different age ranges of cashew agroecosystems in the Sudano-Sahelian zone of Cameroon. Am. J. Agric. Biol. Sci. 2020, 15, 138–147. [Google Scholar] [CrossRef]
- Zhang, Y.; Zhao, W. Effects of variability in land surface characteristics on the summer radiation budget across desert-oasis region in Northwestern China. Theor. Appl. Climatol. 2014, 119, 771–780. [Google Scholar] [CrossRef]
- Wichern, J.; Wichern, F.; Joergensen, R.G. Impact of salinity on soil microbial communities and the decomposition of maize in acidic soils. Geoderma 2006, 137, 100–108. [Google Scholar] [CrossRef]
- Li, C.; Li, Y.; Tang, L. Soil organic carbon stock and carbon efflux in deep soils of desert and oasis. Environ. Earth Sci. 2010, 60, 549–557. [Google Scholar] [CrossRef]
- Su, Y.Z.; Liu, W.J.; Yang, R.; Chang, X.X. Changes in soil aggregate, carbon, and nitrogen storages following the conversion of cropland to alfalfa forage land in the marginal oasis of Northwest China. Environ. Manag. 2009, 43, 1061–1070. [Google Scholar] [CrossRef] [PubMed]
- Latati, M.; Aouiche, A.; Tellah, S.; Laribi, A.; Benlahrech, S.; Kaci, G.; Faiza Ouarem, F.; Ounane, S.M. Intercropping maize and common bean enhances microbial carbon and nitrogen availability in low phosphorus soil under Mediterranean conditions. Eur. J. Soil Biol. 2017, 80, 9–18. [Google Scholar] [CrossRef]
- Gebhart, D.L.; Johnson, H.B.; Mayeux, H.S.; Polley, H.W. The CRP increases soil organic matter carbon. J. Soil Water Conserv. 1994, 49, 488–492. [Google Scholar]
- Paustian, K.; Collins, H.P.; Paul, E.A. Management Controls on Soil Carbon. In Soil Organic Matter in Temperate Agoecosystems; Paustian, K., Elliott, E.T., Cole, C.V., Eds.; CRC Press: Boca Raton, EL, USA, 1997. [Google Scholar]
- Conant, R.T.; Paustian, K.; Elliott, E. Grassland management and conversion into grassland: Effects on soil carbon. Ecol. Appl. 2001, 11, 343–355. [Google Scholar] [CrossRef]
- Liang, B.C.; McConkey, B.G.; Schoenau, J.; Curtin, D.; Campell, C.A.; Moulin, A.P.; Lanford, G.P.; Brandt, S.A.; Wang, H. Effects of tillage and crop rotations on the light fraction organic carbon and carbon mineralization in Chermozemic soils of Saskatchewan. Can. J. Soil Sci. 2002, 83, 65–72. [Google Scholar] [CrossRef]
- Malhi, S.S.; Brandt, S.; Gill, K.S. Cultivation and grassland type effects on light fraction and total organic C and N in a Dark Brown Chernozemic soil. Can. J. Soil Sci. 2002, 83, 145–153. [Google Scholar] [CrossRef]
- Ibrahim, H.; Pansu, M.; Blavet, D.; Hatira, A.; McDonald, P.; Bernoux, M.; Drevon, J.J. Modelling the continuous exchange of carbon between living organisms, the soil and the atmosphere. Plant Soil 2016, 398, 381–397. [Google Scholar] [CrossRef]
- Pansu, M.; Ibrahim, H.; Hatira, A.; Brahim, N.; Drevon, J.J.; Harmand, J.M.; Blavet, D. Modelling the continuous exchange of nitrogen between microbial decomposers, the organs and symbionts of plants, soil reserves and the atmosphere. Soil Biol. Biochem. 2018, 125, 185–196. [Google Scholar] [CrossRef]
- Ibrahim, H.; Gaieb, S.; Brahim, N.; Blavet, D.; Van den Meersche, K.; Pansu, M. Modelling the Organic Evolution of a Mediterranean Limestone Soil under Usual Cropping of Durum Wheat and Faba Bean. Agronomy 2021, 11, 1688. [Google Scholar] [CrossRef]






| D | Particle Size (%) | pH | C | N | BD | C Stock | N Stock | EC | CaCO3 | Gypsum | ||
|---|---|---|---|---|---|---|---|---|---|---|---|---|
| (cm) | Sand | Silt | Clay | (%) | (%) | (g/cm) | kg C m−2 | kg N m−2 | (mS/cm) | (%) | (%) | |
| 0–15 | 86.20 ± 1.10 | 10.00 ± 1.15 | 3.80 ± 1.01 | 7.80 ± 0.29 | 1.33 ± 0.788 | 0.084 ± 0.02 | 1.57 ± 0.003 | 3.14 ± 0.182 | 0.20 ± 0.005 | 4.70 ± 0.20 | 7.00 ± 0.72 | 10.00 ± 1.36 |
| 15–30 | 84.70 ± 2.19 | 13.10 ± 2.80 | 2.20 ± 0.96 | 7.70 ± 0.25 | 1.12 ± 0.020 | 0.078 ± 0.03 | 1.55 ± 0.003 | 2.59 ± 0.041 | 0.18 ± 0.007 | 4.80 ± 0.29 | 22.00 ± 3.52 | 13.00 ± 1.97 |
| 30–45 | 80.80 ± 2.31 | 8.90 ± 3.20 | 10.30 ± 1.32 | 7.70 ± 0.26 | 0.81 ± 0.038 | 0.077 ± 0.02 | 1.62 ± 0.006 | 1.96 ± 0.087 | 0.19 ± 0.005 | 5.70 ± 0.10 | 26.00 ± 1.89 | 24.00 ± 1.61 |
| 45–60 | 65.60 ± 1.85 | 17.20 ± 2.26 | 17.20 ± 2.06 | 7.80 ± 0.15 | 0.33 ± 0.008 | 0.070 ± 0.05 | 1.72 ± 0.003 | 0.85 ± 0.024 | 0.18 ± 0.012 | 6.80 ± 0.42 | 18.00 ± 2.93 | 47.00 ± 1.15 |
| D | Soluble Salts of the Soil Solution Extract (1/5) mEq/L | SAR | |||||||
|---|---|---|---|---|---|---|---|---|---|
| (cm) | Ca2+ | Mg2+ | Na+ | K+ | CO32− | HCO3− | Cl− | SO42− | |
| 0–15 | 30.80 ± 1.59 | 4.20 ± 0.45 | 17.20 ± 0.81 | 0.30 ± 0.06 | 0.02 ± 0.01 | 0.20 ± 0.06 | 17.10 ± 2.72 | 43.20 ± 3.96 | 4.11 ± 0.16 |
| 15–30 | 27.10 ± 2.53 | 8.30 ± 0.21 | 18.50 ± 2.32 | 1.10 ± 0.17 | 0.01 ± 0.00 | 0.40 ± 0.12 | 20.10 ± 1.35 | 37.20 ± 3.01 | 4.39 ± 0.41 |
| 30–45 | 42.80 ± 1.14 | 55.20 ± 2.75 | 75.20 ± 5.61 | 18.80 ± 2.41 | 0.02 ± 0.01 | 0.80 ± 0.21 | 99.10 ± 7.85 | 192.20 ± 2.52 | 10.74 ± 0.78 |
| 45–60 | 32.60 ± 2.09 | 20.00 ± 1.67 | 70.20 ± 0.38 | 4.20 ± 0.55 | 0.01 ± 0.00 | 0.40 ± 0.06 | 122.00 ± 1.53 | 44.90 ± 7.70 | 13.69 ± 0.48 |
| D (cm) | pH | EC (mS/cm) | C (%) | N (%) | C/N | BD (g/cm3) | ||||||
|---|---|---|---|---|---|---|---|---|---|---|---|---|
| 2020 | 2021 | 2020 | 2021 | 2020 | 2021 | 2020 | 2021 | 2020 | 2021 | 2020 | 2021 | |
| Barley (BA) | ||||||||||||
| 0–15 | 7.63 ± 0.088 | 7.60 ± 0.058 | 3.80 ± 0.794 | 4.03 ± 0.867 | 1.44 ± 0.005 | 1.38 ± 0.009 | 0.09 ± 0.006 | 0.07 ± 0.006 | 16.133 ± 1.099 | 19.93 ± 1.534 | 1.477 ± 0.015 | 1.48 ± 0.003 |
| 15–30 | 7.70 ± 0.057 | 7.57 ± 0.033 | 3.67 ± 0.994 | 3.43 ± 0.994 | 1.126 ± 0.014 | 1.08 ± 0.003 | 0.08 ± 0.006 | 0.07 ± 0.003 | 14.2 ± 0.839 | 16.33 ± 0.933 | 1.507 ± 0.003 | 1.54 ± 0.003 |
| 30–45 | 7.73 ± 0.033 | 7.77 ± 0.067 | 3.30 ± 0.458 | 3.60 ± 01.026 | 0.88 ± 0.011 | 0.86 ± 0.006 | 0.087 ± 0.003 | 0.08 ± 0.003 | 10.2 ± 0.416 | 10.37 ± 0.393 | 1.503 ± 0.006 | 1.55 ± 0.003 |
| 45–60 | 7.73 ± 0.066 | 7.77 ± 0.033 | 5.07 ± 0.441 | 3.33 ± 01.135 | 0.316 ± 0.008 | 0.45 ± 0.006 | 0.06 ± 0.006 | 0.08 ± 0.003 | 5.4 ± 0.666 | 5.90 ± 0.208 | 1.703 ± 0.003 | 1.71 ± 0.006 |
| Alfalfa (AL) | ||||||||||||
| 0–15 | 7.40 ± 0.058 | 7.33 ± 0.033 | 4.23 ± 0.033 | 3.83 ± 0.033 | 1.45 ± 0.006 | 1.56 ± 0.003 | 0.12 ± 0.006 | 0.14 ± 0.009 | 12.13 ± 0.581 | 10.93 ± 0.669 | 1.46 ± 0.003 | 1.45 ± 0.006 |
| 15–30 | 7.53 ± 0.033 | 7.40 ± 0.058 | 4.30 ± 0.000 | 3.73 ± 0.203 | 1.06 ± 0.029 | 1.39 ± 0.033 | 0.10 ± 0.007 | 0.20 ± 0.012 | 10.33 ± 0.987 | 7.00 ± 0.306 | 1.51 ± 0.012 | 1.53 ± 0.006 |
| 30–45 | 7.60 ± 0.057 | 7.43 ± 0.033 | 4.90 ± 0.058 | 4.77 ± 0.088 | 1.06 ± 0.031 | 0.81 ± 0.047 | 0.13 ± 0.012 | 0.18 ± 0.009 | 8.27 ± 0.623 | 4.47 ± 0.467 | 1.53 ± 0.003 | 1.66 ± 0.003 |
| 45–60 | 7.76 ± 0.033 | 7.70 ± 0.058 | 5.57 ± 0.033 | 5.13 ± 0.033 | 0.45 ± 0.009 | 0.43 ± 0.018 | 0.09 ± 0.006 | 0.10 ± 0.010 | 5.07 ± 0.273 | 4.40 ± 0.404 | 1.71 ± 0.012 | 1.71 ± 0.006 |
| Barley-Alfalfa (BA/AL) | ||||||||||||
| 0–15 | 7.24 ± 0.032 | 7.23 ± 0.333 | 3.83 ± 0.033 | 2.43 ± 0.033 | 1.87 ± 0.006 | 3.96 ± 0.078 | 0.14 ± 0.003 | 0.33 ± 0.006 | 13.70 ± 0.300 | 12.00 ± 0.100 | 1.44 ± 0.003 | 1.42 ± 0.012 |
| 15–30 | 7.27 ± 0.033 | 7.07 ± 0.333 | 3.80 ± 0.000 | 2.40 ± 0.058 | 1.64 ± 0.019 | 2.51 ± 0.330 | 0.20 ± 0.009 | 0.23 ± 0.006 | 8.37 ± 0.418 | 11.00 ± 1.701 | 1.44 ± 0.023 | 1.43 ± 0.007 |
| 30–45 | 7.23 ± 0.033 | 7.20 ± 0.088 | 4.30 ± 0.078 | 3.33 ± 0.233 | 1.37 ± 0.006 | 1.44 ± 0.003 | 0.18 ± 0.003 | 0.20 ± 0.015 | 7.50 ± 0.153 | 7.40 ± 0.586 | 1.54 ± 0.020 | 1.50 ± 0.031 |
| 45–60 | 7.43 ± 0.033 | 7.17 ± 0.333 | 4.73 ± 0.067 | 3.80 ± 0.058 | 0.78 ± 0.006 | 0.88 ± 0.012 | 0.17 ± 0.003 | 0.18 ± 0.015 | 4.50 ± 0.058 | 5.07 ± 0.498 | 1.67 ± 0.047 | 1.71 ± 0.101 |
| Fallow (FA) | ||||||||||||
| 0–15 | 7.74 ± 0.023 | 7.69 ± 0.021 | 4.30 ± 0.057 | 4.23 ± 0.913 | 0.82 ± 0.035 | 0.72 ± 0.026 | 0.08 ± 0.000 | 0.05 ± 0.001 | 10.43 ± 0.470 | 14.27 ± 0.353 | 1.57 ± 0.019 | 1.57 ± 0.015 |
| 15–30 | 7.72 ± 0.062 | 7.68 ± 0.042 | 4.26 ± 0.417 | 4.07 ± 0.636 | 0.61 ± 0.024 | 0.64 ± 0.015 | 0.06 ± 0.000 | 0.06 ± 0.003 | 10.10 ± 0.265 | 11.30 ± 0.800 | 1.54 ± 0.003 | 1.58 ± 0.038 |
| 30–45 | 7.80 ± 0.053 | 7.74 ± 0.022 | 4.76 ± 0.133 | 4.37 ± 0.524 | 0.52 ± 0.012 | 0.44 ± 0.015 | 0.07 ± 0.003 | 0.06 ± 0.004 | 7.87 ± 0.593 | 7.30 ± 0.306 | 1.61 ± 0.006 | 1.65 ± 0.040 |
| 45–60 | 7.85 ± 0.026 | 7.83 ± 0.018 | 6.76 ± 0.491 | 6.07 ± 0.371 | 0.29 ± 0.023 | 0.29 ± 0.021 | 0.06 ± 0.006 | 0.06 ± 0.001 | 4.87 ± 0.684 | 4.87 ± 0.333 | 1.72 ± 0.009 | 1.72 ± 0.015 |
| Barley (BA) | Alfalfa (AL) | Barley-Alfalfa (BA/AL) | Fallow (F) | |||||
|---|---|---|---|---|---|---|---|---|
| kg C m−2 | kg N m−2 | kg C m−2 | kg N m−2 | kg C m−2 | kg N m−2 | kg C m−2 | kg N m−2 | |
| June 2020 | ||||||||
| 0–15 | 3.19 ± 0.019 | 0.20 ± 0.015 | 3.17 ± 0.014 | 0.26 ± 0.013 | 4.03 ± 0.021 | 0.30 ± 0.008 | 1.93 ± 0.061 | 0.19 ± 0.004 |
| 15–30 | 2.55 ± 0.038 | 0.18 ± 0.013 | 2.39 ± 0.078 | 0.23 ± 0.014 | 3.54 ± 0.042 | 0.43 ± 0.017 | 1.42 ± 0.054 | 0.14 ± 0.001 |
| 30–45 | 2.02 ± 0.024 | 0.20 ± 0.007 | 2.43 ± 0.072 | 0.30 ± 0.027 | 3.17 ± 0.051 | 0.42 ± 0.009 | 1.26 ± 0.032 | 0.16 ± 0.010 |
| 45–60 cm | 0.81 ± 0.023 | 0.15 ± 0.015 | 1.16 ± 0.029 | 0.23 ± 0.016 | 1.96 ± 0.068 | 0.44 ± 0.019 | 0.74 ± 0.062 | 0.16 ± 0.016 |
| Total | 8.57 ± 0.104 | 0.73 ± 0.05 | 9.15 ± 0.193 | 1.02 ± 0.07 | 12.7 ± 0.182 | 1.59 ± 0.053 | 5.35 ± 0.209 | 0.65 ± 0.031 |
| June 2021 | ||||||||
| 0–15 | 3.06 ± 0.022 | 0.16 ± 0.013 | 3.39 ± 0.020 | 0.31 ± 0.018 | 8.44 ± 0.229 | 0.70 ± 0.016 | 1.70 ± 0.076 | 0.12 ± 0.003 |
| 15–30 | 2.50 ± 0.011 | 0.15 ± 0.008 | 3.20 ± 0.088 | 0.46 ± 0.028 | 5.39 ± 0.682 | 0.50 ± 0.014 | 1.51 ± 0.067 | 0.13 ± 0.004 |
| 30–45 | 2.00 ± 0.017 | 0.19 ± 0.008 | 2.01 ± 0.114 | 0.46 ± 0.022 | 3.25 ± 0.062 | 0.44 ± 0.041 | 1.08 ± 0.040 | 0.15 ± 0.006 |
| 45–60 cm | 1.15 ± 0.017 | 0.20 ± 0.009 | 1.11 ± 0.044 | 0.26 ± 0.027 | 2.26 ± 0.154 | 0.45 ± 0.029 | 0.75 ± 0.058 | 0.16 ± 0.004 |
| Total | 8.71 ± 0.067 | 0.7 ± 0.04 | 9.71 ± 0.266 | 1.49 ± 0.095 | 19.34 ± 1.127 | 2.09 ± 0.1 | 5.04 ± 0.241 | 0.56 ± 0.017 |
| C Stock (kg C m−2) | N Stock (kg N m−2) | |||||||||
|---|---|---|---|---|---|---|---|---|---|---|
| 2019 | 2020 | 2021 | 2021–2019 | Stock Evolution % | 2019 | 2020 | 2021 | 2021–2019 | Stock Evolution % | |
| BA | 8.54 | 8.57 | 8.71 | 0.17 | +1.99 | 0.75 | 0.73 | 0.70 | −0.05 | −6.67 |
| AL | 8.54 | 9.15 | 9.71 | 1.17 | +13.70 | 0.75 | 1.02 | 1.49 | 0.74 | +98.67 |
| BA/AL | 8.54 | 12.7 | 19.34 | 10.8 | +126.46 | 0.75 | 1.59 | 2.09 | 1.34 | +178.67 |
| FA | 8.54 | 5.35 | 5.04 | −3.5 | −40.98 | 0.75 | 0.65 | 0.56 | −0.19 | −5.33 |
Publisher’s Note: MDPI stays neutral with regard to jurisdictional claims in published maps and institutional affiliations. |
© 2021 by the authors. Licensee MDPI, Basel, Switzerland. This article is an open access article distributed under the terms and conditions of the Creative Commons Attribution (CC BY) license (https://creativecommons.org/licenses/by/4.0/).
Share and Cite
Brahim, N.; Karbout, N.; Dhaouadi, L.; Bouajila, A. Global Landscape of Organic Carbon and Total Nitrogen in the Soils of Oasis Ecosystems in Southern Tunisia. Agronomy 2021, 11, 1903. https://doi.org/10.3390/agronomy11101903
Brahim N, Karbout N, Dhaouadi L, Bouajila A. Global Landscape of Organic Carbon and Total Nitrogen in the Soils of Oasis Ecosystems in Southern Tunisia. Agronomy. 2021; 11(10):1903. https://doi.org/10.3390/agronomy11101903
Chicago/Turabian StyleBrahim, Nadhem, Nissaf Karbout, Latifa Dhaouadi, and Abdelhakim Bouajila. 2021. "Global Landscape of Organic Carbon and Total Nitrogen in the Soils of Oasis Ecosystems in Southern Tunisia" Agronomy 11, no. 10: 1903. https://doi.org/10.3390/agronomy11101903
APA StyleBrahim, N., Karbout, N., Dhaouadi, L., & Bouajila, A. (2021). Global Landscape of Organic Carbon and Total Nitrogen in the Soils of Oasis Ecosystems in Southern Tunisia. Agronomy, 11(10), 1903. https://doi.org/10.3390/agronomy11101903

