Effects of Adapted N-Fertilisation Strategies on Nitrate Leaching and Yield Performance of Arable Crops in North-Western Germany
Abstract
1. Introduction
2. Materials and Methods
2.1. Study Site
2.2. Experimental Setup and Agronomic Management
2.3. Field Measurements and Post-Harvest Analyses
2.4. Nitrate Leaching
2.5. Data Analyses
3. Results
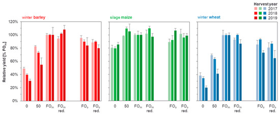
3.1. Yield and Yield Quality
3.2. Nitrate Concentrations
3.3. Nitrate Leaching Losses
4. Discussion
4.1. Yield Effects
4.2. Nitrogen Leaching
4.2.1. N-Level
4.2.2. N-Type
4.2.3. Catch Crop Effect
4.3. Perspectives
5. Conclusions
Supplementary Materials
Author Contributions
Funding
Acknowledgments
Conflicts of Interest
References
- Zhang, X.; Davidson, E.A.; Mauzerall, D.L.; Searchinger, T.D.; Dumas, P.; Shen, Y. Managing nitrogen for sustainable development. Nature 2015, 528, 51–59. [Google Scholar] [PubMed]
- Rockström, J.; Steffen, W.; Noone, K.; Persson, Å.; Chapin, F.S.; Lambin, E.F.; Lenton, T.M.; Scheffer, M.; Folke, C.; Schellnhuber, H.J.; et al. A safe operating space for humanity. Nature 2009, 461, 472–475. [Google Scholar] [CrossRef] [PubMed]
- Steffen, W.; Richardson, K.; Rockström, J.; Cornell, S.E.; Fetzer, I.; Bennett, E.M.; Biggs, R.; Carpenter, S.R.; De Vries, W.; De Wit, C.A.; et al. Planetary boundaries: Guiding human development on a changing planet. Science 2015, 347. [Google Scholar] [CrossRef]
- Campbell, B.M.; Beare, D.J.; Bennett, E.M.; Hall-Spencer, J.M.; Ingram, J.S.I.; Jaramillo, F.; Ortiz, R.; Ramankutty, N.; Sayer, J.A.; Shindell, D. Agriculture production as a major driver of the Earth system exceeding planetary boundaries. Ecol. Soc. 2017, 22, art8. [Google Scholar] [CrossRef]
- Sutton, M.A.; Oenema, O.; Erisman, J.W.; Leip, A.; van Grinsven, H.; Winiwarter, W. Too much of a good thing. Nature 2011, 472, 159. [Google Scholar]
- The Royal Society. Reaping the Benefits: Science and the Sustainable Intensification of Global Agriculture; RS Policy document 11/09; The Royal Society: London, UK, 2009. [Google Scholar]
- Tilman, D.; Balzer, C.; Hill, J.; Befort, B.L. Global food demand and the sustainable intensification of agriculture. Proc. Natl. Acad. Sci. USA 2011, 108, 20260–20264. [Google Scholar] [CrossRef]
- Tilman, D.; Cassman, K.G.; Matson, P.A.; Naylor, R.; Polasky, S. Agricultural sustainability and intensive production practices. Nature 2002, 418, 671–677. [Google Scholar] [CrossRef]
- Foley, J.A.; DeFries, R.; Asner, G.P.; Barford, C.; Bonan, G.; Carpenter, S.R.; Chapin, F.S.; Coe, M.T.; Daily, G.C.; Gibbs, H.K.; et al. Global Consequences of Land Use. Science 2005, 309, 570–574. [Google Scholar] [CrossRef]
- LBEG NIBIS Map Server–Soil Map Lower Saxony (BÜK50). Available online: https://nibis.lbeg.de/cardomap3/ (accessed on 5 September 2019).
- Di, H.J.; Cameron, K.C. Nitrate leaching in temperate agroecosystems: Sources, factors and mitigating strategies. Nutr. Cycl. Agroecosyst. 2002, 64, 237–256. [Google Scholar] [CrossRef]
- Meissner, R.; Rupp, H.; Seeger, J.; Schonert, P. Influence of mineral fertilizers and different soil types on nutrient leaching: Results of lysimeter studies in East Germany. Land Degrad. Dev. 1995, 6, 163–170. [Google Scholar] [CrossRef]
- Köhler, K.; Duynisveld, W.H.M.; Böttcher, J. Nitrogen fertilization and nitrate leaching into groundwater on arable sandy soils. J. Plant Nutr. Soil Sci. 2006, 169, 185–195. [Google Scholar] [CrossRef]
- Robertson, G.P.; Vitousek, P.M. Nitrogen in agriculture: Balancing the cost of an essential resource. Annu. Rev. Environ. Resour. 2009, 34, 97–125. [Google Scholar] [CrossRef]
- IPCC. N2O Emissions From Managed Soils, and CO2 Emissions From Lime and Urea Application. In 2019 Refinement to the 2006 IPCC Guidelines for National Greenhouse Gas Inventories; IPCC: Geneva, Switzerland, 2019; pp. 1–48. ISBN 4887880324. [Google Scholar]
- Schipanski, M.E.; Barbercheck, M.; Douglas, M.R.; Finney, D.M.; Haider, K.; Kaye, J.P.; Kemanian, A.R.; Mortensen, D.A.; Ryan, M.R.; Tooker, J.; et al. A framework for evaluating ecosystem services provided by cover crops in agroecosystems. Agric. Syst. 2014, 125, 12–22. [Google Scholar] [CrossRef]
- Zhou, M.; Butterbach-Bahl, K. Assessment of nitrate leaching loss on a yield-scaled basis from maize and wheat cropping systems. Plant Soil 2014, 374, 977–991. [Google Scholar] [CrossRef]
- Delin, S.; Stenberg, M. Effect of nitrogen fertilization on nitrate leaching in relation to grain yield response on loamy sand in Sweden. Eur. J. Agron. 2014, 52, 291–296. [Google Scholar] [CrossRef]
- Sanders, J.; Hess, J. Leistungen des ökologischen Landbaus für Umwelt und Gesellschaft, Thünen Rep 65; Sanders, J., Heß, J., Eds.; Johann Heinrich von Thünen-Institut: Braunschweig, Germany, 2019; ISBN 9783865761934. [Google Scholar]
- EC European Parliament & Council. Directive 2000/60/EC of the European Parliament and of the Council of 23 October 2000 establishing a framework for Community action in the field of water policy. OJL 2000, 327, 1–73. [Google Scholar]
- EC. European Commission: Report on the Implementation of Council Directive 91/676/EEC Concerning the Protection of Waters against Pollution Caused by Nitrates from Agricultural Sources Based on Member State Reports for the Period 2012-2015; European Commission: Brussels, Belgium, 2018. [Google Scholar]
- Vitousek, P.M.; Naylor, R.; Crews, T.; David, M.B.; Drinkwater, L.E.; Holland, E.; Johnes, P.J.; Katzenberger, J.; Martinelli, L.A.; Matson, P.A.; et al. Nutrient imbalances in agricultural development. Science 2009, 324, 1519–1520. [Google Scholar] [CrossRef]
- DüV Düngeverordnung vom 26. Mai 2017 (BGBl. I S. 1305), die durch Artikel 1 der Verordnung vom 28. April 2020 (BGBl. I S. 846) geändert worden ist–German Fertiliser Ordinance. Available online: https://www.gesetze-im-internet.de/d_v_2017/index.html (accessed on 1 May 2020).
- Hülsbergen, K.-J. Entwicklung und Anwendung eines Bilanzierungsmodells zur Bewertung der Nachhaltigkeit landwirtschaftlicher Systeme; Shaker: Aachen, Germany, 2003; ISBN 3-8322-1464-X. [Google Scholar]
- Lord, E.I.; Mitchell, R.D.J. Effect of nitrogen inputs to cereals on nitrate leaching from sandy soils. Soil Use Manag. 1998, 14, 78–83. [Google Scholar] [CrossRef]
- Goulding, K. Nitrate leaching from arable and horticultural land. Soil Use Manag. 2000, 16, 145–151. [Google Scholar] [CrossRef]
- Billen, G.; Garnier, J.; Némery, J.; Sebilo, M.; Sferratore, A.; Barles, S.; Benoit, P.; Benoît, M. A long-term view of nutrient transfers through the Seine river continuum. Sci. Total Environ. 2007, 375, 80–97. [Google Scholar] [CrossRef]
- Ying, H.; Ye, Y.; Cui, Z.; Chen, X. Managing nitrogen for sustainable wheat production. J. Clean. Prod. 2017, 162, 1308–1316. [Google Scholar] [CrossRef]
- Wang, Y.; Ying, H.; Yin, Y.; Zheng, H.; Cui, Z. Estimating soil nitrate leaching of nitrogen fertilizer from global meta-analysis. Sci. Total Environ. 2019, 657, 96–102. [Google Scholar] [CrossRef] [PubMed]
- Yin, Y.; Ying, H.; Xue, Y.; Zheng, H.; Zhang, Q.; Cui, Z. Calculating socially optimal nitrogen (N) fertilization rates for sustainable N management in China. Sci. Total Environ. 2019, 688, 1162–1171. [Google Scholar] [CrossRef] [PubMed]
- Tonitto, C.; David, M.B.B.; Drinkwater, L.E.E. Replacing bare fallows with cover crops in fertilizer-intensive cropping systems: A meta-analysis of crop yield and N dynamics. Agric. Ecosyst. Environ. 2006, 112, 58–72. [Google Scholar] [CrossRef]
- Abdalla, M.; Hastings, A.; Cheng, K.; Yue, Q.; Chadwick, D.; Espenberg, M.; Truu, J.; Rees, R.M.; Smith, P. A critical review of the impacts of cover crops on nitrogen leaching, net greenhouse gas balance and crop productivity. Glob. Chang. Biol. 2019, 25, 2530–2543. [Google Scholar] [CrossRef]
- Constantin, J.; Mary, B.; Laurent, F.; Aubrion, G.; Fontaine, A.; Kerveillant, P.; Beaudoin, N. Effects of catch crops, no till and reduced nitrogen fertilization on nitrogen leaching and balance in three long-term experiments. Agric. Ecosyst. Environ. 2010, 135, 268–278. [Google Scholar] [CrossRef]
- Quemada, M.; Baranski, M.; Nobel-de Lange, M.N.J.; Vallejo, A.; Cooper, J.M. Meta-analysis of strategies to control nitrate leaching in irrigated agricultural systems and their effects on crop yield. Agric. Ecosyst. Environ. 2013, 174, 1–10. [Google Scholar] [CrossRef]
- Trenkel, M.E. Controlled-Release and Stabilized Fertilizers in Agriculture; IFA: Paris, France, 1997; ISBN 2-9506299-0-3. [Google Scholar]
- Benoit, M.; Josette, G.; Gilles, B.; Julien, T.; Eric, G.; Bruno, M. Nitrous oxide emissions and nitrate leaching in an organic and a conventional cropping system (Seine basin, France). Agric. Ecosyst. Environ. 2015, 213, 131–141. [Google Scholar] [CrossRef]
- Hansen, B.; Steen, E.; Grant, R.; Høgh-Jensen, H.; Erik, S.; Olesen, J.E.; Kristensen, E.S.; Grant, R.; Høgh-Jensen, H.; Simmelsgaard, S.E.; et al. Nitrogen leaching from conventional versus organic farming systems—A systems modelling approach. Eur. J. Agron. 2000, 13, 65–82. [Google Scholar] [CrossRef]
- Benoit, M.; Garnier, J.; Beaudoin, N.; Billen, G. A participative network of organic and conventional crop farms in the Seine Basin (France) for evaluating nitrate leaching and yield performance. Agric. Syst. 2016, 148, 105–113. [Google Scholar] [CrossRef]
- Stopes, C.; Lord, E.I.; Philipps, L.; Woodward, L. Nitrate leaching from organic farms and conventional farms following best practice. Soil Use Manag. 2002, 18, 256–263. [Google Scholar] [CrossRef]
- Askegaard, M.; Olesen, J.E.; Rasmussen, I.A.; Kristensen, K. Nitrate leaching from organic arable crop rotations is mostly determined by autumn field management. Agric. Ecosyst. Environ. 2011, 142, 149–160. [Google Scholar] [CrossRef]
- De Notaris, C.; Rasmussen, J.; Sørensen, P.; Olesen, J.E. Nitrogen leaching: A crop rotation perspective on the effect of N surplus, field management and use of catch crops. Agric. Ecosyst. Environ. 2018, 255, 1–11. [Google Scholar] [CrossRef]
- Bender, S.F.; van der Heijden, M.G.A. Soil biota enhance agricultural sustainability by improving crop yield, nutrient uptake and reducing nitrogen leaching losses. J. Appl. Ecol. 2015, 52, 228–239. [Google Scholar] [CrossRef]
- Henneron, L.; Bernard, L.; Hedde, M.; Pelosi, C.; Villenave, C.; Chenu, C.; Bertrand, M.; Girardin, C.; Blanchart, E. Fourteen years of evidence for positive effects of conservation agriculture and organic farming on soil life. Agron. Sustain. Dev. 2014, 35, 169–181. [Google Scholar] [CrossRef]
- Boumans, L.J.M.; Fraters, D.; Van Drecht, G. Nitrate leaching in agriculture to upper groundwater in the sandy regions of the Netherlands during the 1992–1995 period. Environ. Monit. Assess. 2005, 102, 225–241. [Google Scholar] [CrossRef] [PubMed]
- Bakalowicz, M. Karst groundwater: A challenge for new resources. Hydrogeol. J. 2005, 13, 148–160. [Google Scholar] [CrossRef]
- Peel, M.C.; Finlayson, B.L.; McMahon, T.A. Updated world map of the Köppen-Geiger climate classification. Hydrol. Earth Syst. Sci. 2007, 11, 1633–1644. [Google Scholar] [CrossRef]
- DWD. Deutscher Wetterdienst: Climate Dataset—Archive Data Station 342 Belm. Available online: http://www.dwd.de (accessed on 20 June 2020).
- FAO. World Reference Base for Soil Resources 2014 International Soil Classification System for Naming Soils and Creating Legends for Soil Maps–Update 2015; FAO: Rome, Italy, 2015; ISBN 9789251083697/925108369X. [Google Scholar]
- VDLUFA. Determination of mineral nitrogen (nitrate and ammonium) in soil profiles (Nmin laboratory method. In Bestimmung von Mineralischem Stickstoff (Nitrat und Ammonium) in Bodenprofilen (Nmin-Labormethode A 6.1.4.1); VDLUFA: Darmstadt, Germany, 2002. (In German) [Google Scholar]
- VDLUFA. Determination of nitrate nitrogen by UV absorption (nitrate nitrogen (UV absorption). In Bestimmung von Nitrat-Stickstoff durch UV-Absorption (Nitrat-Stickstoff (UV-Absorption) A 6.1.1.1); VDLUFA: Darmstadt, Germany, 2002. (In German) [Google Scholar]
- Engel, N.; Müller, U.; Schäfer, W. BOWAB—Ein Mehrschicht-Bodenwasserhaushaltsmodell. In GeoBerichte 20: Klimawandel und Bodenwasserhaushalt; LBEG, Ed.; LBEG: Hannover, Germany, 2012; pp. 85–98. [Google Scholar]
- Trautz, D.; Beiküfner, M.; Vergara, M.; Kühling, I.; Siuts, H.; Müller, S. Modell-und Pilotprojekt zur Ermittlung von Grundlagen für die Umsetzung ordnungsrechtlicher Stickstoffdüngungsbeschränkungen am Beispiel des Wasserschutzgebietes Belm-Nettetal im Landkreis Osnabrück. NLWKN Grund. R. 2020, 44, 1–69. [Google Scholar]
- R Core Team. R: A Language and Environment for Statistical Computing R. Foundation for Statistical Computing Version 4.0.2. Available online: http://www.r-project.org/ (accessed on 22 June 2020).
- de Mendiburu, F. Agricolae: Statistical Procedures for Agricultural Research. Available online: http://cran.r-project.org/package=agricolae (accessed on 6 September 2020).
- Ho, J.; Tumkaya, T.; Aryal, S.; Choi, H.; Claridge-Chang, A. Moving beyond P values: Data analysis with estimation graphics. Nat. Methods 2019, 16, 565–566. [Google Scholar] [CrossRef]
- Ho, J.; Tumkaya, T. Dabestr: Data Analysis Using Bootstrap-Coupled Estimation. Available online: https://github.com/ACCLAB/dabestr (accessed on 14 September 2020).
- Sieling, K. Growth stage-specific application of slurry and mineral N to oilseed rape, wheat and barley. J. Agric. Sci. 2004, 142, 495–502. [Google Scholar] [CrossRef]
- Heumann, S.; Fier, A.; Haßdenteufel, M.; Höper, H.; Schäfer, W.; Eiler, T.; Böttcher, J. Minimizing nitrate leaching while maintaining crop yields: Insights by simulating net N mineralization. Nutr. Cycl. Agroecosyst. 2013, 95, 395–408. [Google Scholar] [CrossRef]
- Kayser, M.; Benke, M.; Isselstein, J. Little fertilizer response but high N loss risk of maize on a productive organic-sandy soil. Agron. Sustain. Dev. 2011, 31, 709–718. [Google Scholar] [CrossRef]
- Stehfest, E.; Bouwman, L. N2O and NO emission from agricultural fields and soils under natural vegetation: Summarizing available measurement data and modeling of global annual emissions. Nutr. Cycl. Agroecosyst. 2006, 74, 207–228. [Google Scholar] [CrossRef]
- Lin, B.L.; Sakoda, A.; Shibasaki, R.; Suzuki, M. A modelling approach to global nitrate leaching caused by anthropogenic fertilisation. Water Res. 2001, 35, 1961–1968. [Google Scholar] [CrossRef]
- Simmelsgaard, S.E.; Djurhuus, J. An empirical model for estimating nitrate leaching as affected by crop type and the long-term N fertilizer rate. Soil Use Manag. 1998, 14, 37–43. [Google Scholar] [CrossRef]
- Wachendorf, M.; Volkers, K.C.; Loges, R.; Rave, G.; Taube, F. Performance and environmental effects of forage production on sandy soils. IV. Impact of slurry application, mineral N fertilizer and grass understorey on yield and nitrogen surplus of maize for silage. Grass Forage Sci. 2006, 61, 232–242. [Google Scholar] [CrossRef]
- Cookson, W.R.; Rowarth, J.S.; Cameron, K.C. The effect of autumn applied 15N-labelled fertilizer on nitrate leaching in a cultivated soil during winter. Nutr. Cycl. Agroecosystems 2000. [Google Scholar] [CrossRef]
- Teixeira, E.I.; Johnstone, P.; Chakwizira, E.; de Ruiter, J.; Malcolm, B.; Shaw, N.; Zyskowski, R.; Khaembah, E.; Sharp, J.; Meenken, E.; et al. Sources of variability in the effectiveness of winter cover crops for mitigating N leaching. Agric. Ecosyst. Environ. 2016, 220, 226–235. [Google Scholar] [CrossRef]
- Mehranfar, O. Laboruntersuchungen zum langfristigen Denitrifikationspotential im oberflächennahen Grundwasser hydromorpher Mineralböden Nordwestdeutschlands. Ph.D. Thesis, University Göttingen, Göttingen, Germany, 2003. [Google Scholar]
- Wong, M.T.F.; Asseng, S.; Zhang, H. Precision agriculture improves efficiency of nitrogen use and minimises its leaching at within-field to farm scales. Precis. Agric. 2005 ECPA 2005, 969–976. [Google Scholar]
- Banger, K.; Wagner-Riddle, C.; Grant, B.B.; Smith, W.N.; Drury, C.; Yang, J. Modifying fertilizer rate and application method reduces environmental nitrogen losses and increases corn yield in Ontario. Sci. Total Environ. 2020, 722, 137851. [Google Scholar] [CrossRef] [PubMed]
- Stadtwerke Leipzig Wassergut Canitz. Available online: https://www.l.de/gruppe/das-sind-wir/leipziger-gruppe/wassergut-canitz (accessed on 26 November 2020).
- Stadtwerke München Ökologischer Landbau|Initiative Ökobauern. Available online: https://www.swm.de/wasser/trinkwasserschutz/oekologischer-landbau (accessed on 26 November 2020).
- Biernat, L.; Taube, F.; Vogeler, I.; Reinsch, T.; Kluß, C.; Loges, R. Is organic agriculture in line with the EU-Nitrate directive? On-farm nitrate leaching from organic and conventional arable crop rotations. Agric. Ecosyst. Environ. 2020, 298, 106964. [Google Scholar] [CrossRef]
- Poeplau, C.; Don, A. Carbon sequestration in agricultural soils via cultivation of cover crops–A meta-analysis. Agric. Ecosyst. Environ. 2015, 200, 33–41. [Google Scholar] [CrossRef]
- Basche, A.D.; Miguez, F.E.; Kaspar, T.C.; Castellano, M.J. Do cover crops increase or decrease nitrous oxide emissions? A meta-analysis. J. Soil Water Conserv. 2014, 69, 471–482. [Google Scholar] [CrossRef]
- Van Grinsven, H.J.M.; Holland, M.; Jacobsen, B.H.; Klimont, Z.; Sutton, M.A.; Jaap Willems, W. Costs and benefits of nitrogen for europe and implications for mitigation. Environ. Sci. Technol. 2013, 47, 3571–3579. [Google Scholar] [CrossRef] [PubMed]






| N-Fertiliser Applied (kg N ha−1) | |||
|---|---|---|---|
| 2016/2017 | 2017/2018 | 2018/2019 | |
| Barley | |||
| FOm | 134 | 174 | 153 |
| FOo red. | 119 | 156 | 140 |
| FOo | 134 | 163 | 141 |
| FOo red. | 119 | 145 | 125 |
| Maize | |||
| FOm | 143 | 164 | 153 |
| FOo red. | 114 | 124 | 121 |
| FOo | 143 | 149 | 132 |
| FOo red. | 114 | 123 | 108 |
| Wheat | |||
| FOm | 141 | 203 | 186 |
| FOo red. | 125 | 181 | 169 |
| FOo | 141 | 189 | 174 |
| FOo red. | 125 | 170 | 158 |
| 2016/2017 | 2017/2018 | 2018/2019 | |||||||
|---|---|---|---|---|---|---|---|---|---|
| Date | Barley | Maize | Wheat | Barley | Maize | Wheat | Barley | Maize | Wheat |
| Sowing | 14.10. | 26.04. | 14.10. | 15.10. | 23.04. | 07.11. | 05.10. | 30.04. | 09.10. |
| Seeds m−2 | 320 | 9 | 300 | 275 | 9 | 380 | 275 | 9 | 350 |
| Cultivar | Tamina | ES Metronom | Anapolis | Wootan | Baydinter | Benchmark | Wootan | Baydinter | Benchmark |
| N application | 15.03.* | 19.04.* | 15.03.* | 13.02.* | 19.04.* | 13.02.* | 13.03.* | 24.04.* | 13.03* |
| 19.04.* | 26.04. | 19.04.* | 05.03. | 23.04. | 05.03. | 20.03. | 30.04. | 20.03. | |
| 22.05. | 26.05.* | 22.05. | 03.05. | 03.05. | 03.05. | 17.04. | 08.05. | 17.04. | |
| Harvest | 19.07. | 18.10. | 28.07. | 05.07. | 11.09. | 18.07. | 09.07. | 09.09. | 30.07. |
| Winter Barley | Silage Maize | Winter Wheat | |||||||||||
|---|---|---|---|---|---|---|---|---|---|---|---|---|---|
| Yield (dt ha−1) | Protein (% DM) | Yield (dt ha−1) | Protein (% DM) | Yield (dt ha−1) | Protein (% DM) | ||||||||
| Year | Treatment | ||||||||||||
| 2017 | 0 | 27.61 | (± 1.15) | 11.33 | (± 1.09) | 177.98 | (± 8.63) | 5.37 | (± 0.17) | 21.89 | (± 2.29) | 14.23 | (± 2.02) |
| 50 | 46.64 | (± 0.56) | 12.37 | (± 1.09) | 216.84 | (± 1.09) | 5.60 | (± 0.15) | 39.46 | (± 1.03) | 11.70 | (± 0.85) | |
| FOm | 56.34 | (± 1.14) | 11.17 | (± 1.17) | 220.92 | (± 3.12) | 6.33 | (± 0.09) | 56.93 | (± 4.17) | 11.43 | (± 0.84) | |
| FOm red. | 53.15 | (± 1.71) | 11.37 | (± 1.11) | 225.48 | (± 11.89) | 6.80 | (± 0.10) | 52.93 | (± 1.32) | 10.77 | (± 0.09) | |
| HSD0.05 min | 5.50 | 5.05 | 34.11 | 0.59 | 11.44 | 5.32 | |||||||
| FOo | 53.76 | (± 1.97) | 9.80 | (± 0.12) | 197.56 | (± 9.88) | 5.97 | (± 0.20) | 48.67 | (± 3.75) | 12.03 | (± 0.89) | |
| FOo red. | 49.88 | (± 2.62) | 11.17 | (± 1.13) | 224.78 | (± 15.14) | 6.23 | (± 0.58) | 46.07 | (± 4.24) | 12.00 | (± 1.02) | |
| HSD0.05 org | 9.15 | 3.14 | 50.16 | 1.72 | 15.70 | 3.74 | |||||||
| 2018 | 0 | 25.45 | (± 0.84) | 9.93 | (± 0.07) | 128.16 | (± 3.96) | 3.13 | (± 0.09) | 29.63 | (± 2.01) | 9.13 | (± 0.23) |
| 50 | 46.80 | (± 1.46) | 9.40 | (± 0.15) | 176.77 | (± 3.41) | 3.53 | (± 0.49) | 54.54 | (± 1.78) | 8.57 | (± 0.12) | |
| FOm | 64.09 | (± 0.65) | 14.47 | (± 0.13) | 160.94 | (± 9.36) | 3.80 | (± 0.40) | 85.85 | (± 1.35) | 13.50 | (± 0.27) | |
| FOm red. | 65.25 | (± 0.74) | 13.87 | (± 0.09) | 177.00 | (± 5.47) | 3.60 | (± 0.35) | 86.05 | (± 1.27) | 13.00 | (± 0.06) | |
| HSD0.05 min | 4.43 | 0.52 * | 27.22 | 1.65 | 7.40 | 0.85 | |||||||
| FOo | 57.55 | (± 1.69) | 11.97 | (± 0.42) | 148.88 | (± 10.41) | 3.83 | (± 0.52) | 80.20 | (± 1.25) | 11.07 | (± 0.23) | |
| FOo red. | 57.62 | (± 0.58) | 11.27 | (± 0.18) | 154.47 | (± 10.07) | 3.57 | (± 0.12) | 74.53 | (± 2.72) | 10.37 | (± 0.23) | |
| HSD0.05 org | 4.92 | 1.27 | 40.24 | 1.48 | 8.31 | 0.92 | |||||||
| 2019 | 0 | 15.63 | (± 1.33) | 8.17 | (± 0.47) | 123.17 | (± 4.33) | 2.17 | (± 0.07) | 22.93 | (± 2.87) | 8.00 | (± 0.21) |
| 50 | 28.20 | (± 5.33) | 6.80 | (± 0.10) | 151.38 | (± 16.60) | 2.70 | (± 0.27) | 46.87 | (± 8.17) | 7.37 | (± 0.14) | |
| FOm | 51.33 | (± 5.78) | 9.73 | (± 0.09) | 143.75 | (± 4.95) | 2.67 | (± 0.14) | 113.87 | (± 3.71) | 11.43 | (± 0.23) | |
| FOm red. | 55.50 | (± 3.19) | 8.97 | (± 0.35) | 139.71 | (± 7.07) | 2.47 | (± 0.17) | 98.83 | (± 7.06) | 10.83 | (± 0.27) | |
| HSD0.05 min | 19.50 | 1.36 | 43.48 | 0.80 | 26.61 | 1.00 | |||||||
| FOo | 43.13 | (± 6.13) | 7.97 | (± 0.13) | 153.40 | (± 4.52) | 2.53 | (± 0.03) | 83.28 | (± 4.00) | 9.67 | (± 0.12) | |
| FOo red. | 41.01 | (± 2.59) | 7.67 | (± 0.22) | 141.93 | (± 4.86) | 2.70 | (± 0.06) | 73.82 | (± 13.19) | 8.93 | (± 0.12) | |
| HSD0.05 org | 18.43 | 0.71 | 18.39 | 0.19 | 38.34 | 0.47 * | |||||||
| Nitrate-N-Concentration (mg l−1) | ||||||
|---|---|---|---|---|---|---|
| Only Mineral | Organic + Mineral | |||||
| ES | 95% CI | N | ES | 95% CI | N | |
| Barley | −3.42 | [−18.20; 11.20] | 33/33 | 2.32 | [−12.60; 17.50] | 30/31 |
| Maize | −1.12 | [−12.20; 7.78] | 25/31 | −16.10 * | [−34.60; −3.93] | 31/31 |
| Wheat | −6.69 | [−18.50; 3.05] | 28/33 | −9.44 | [−24.00; 1.17] | 30/30 |
| All | −3.80 | [−11.20; 3.50] | 86/97 | −7.74 * | [−17.00; −0.16] | 91/92 |
Publisher’s Note: MDPI stays neutral with regard to jurisdictional claims in published maps and institutional affiliations. |
© 2020 by the authors. Licensee MDPI, Basel, Switzerland. This article is an open access article distributed under the terms and conditions of the Creative Commons Attribution (CC BY) license (http://creativecommons.org/licenses/by/4.0/).
Share and Cite
Kühling, I.; Beiküfner, M.; Vergara, M.; Trautz, D. Effects of Adapted N-Fertilisation Strategies on Nitrate Leaching and Yield Performance of Arable Crops in North-Western Germany. Agronomy 2021, 11, 64. https://doi.org/10.3390/agronomy11010064
Kühling I, Beiküfner M, Vergara M, Trautz D. Effects of Adapted N-Fertilisation Strategies on Nitrate Leaching and Yield Performance of Arable Crops in North-Western Germany. Agronomy. 2021; 11(1):64. https://doi.org/10.3390/agronomy11010064
Chicago/Turabian StyleKühling, Insa, Mareike Beiküfner, Maria Vergara, and Dieter Trautz. 2021. "Effects of Adapted N-Fertilisation Strategies on Nitrate Leaching and Yield Performance of Arable Crops in North-Western Germany" Agronomy 11, no. 1: 64. https://doi.org/10.3390/agronomy11010064
APA StyleKühling, I., Beiküfner, M., Vergara, M., & Trautz, D. (2021). Effects of Adapted N-Fertilisation Strategies on Nitrate Leaching and Yield Performance of Arable Crops in North-Western Germany. Agronomy, 11(1), 64. https://doi.org/10.3390/agronomy11010064

