Nitrogen Fertilizer Equivalence of Black Soldier Fly Frass Fertilizer and Synchrony of Nitrogen Mineralization for Maize Production
Abstract
1. Introduction
2. Materials and Methods
2.1. Site Characteristics
2.2. Experiment 1: Nitrogen Fertilizer Equivalence Values of Black Soldier Fly Frass Fertilizer (BSFFF) and Commercial Organic Fertilizer (SAFI)
2.2.1. Source of Organic Fertilizers
2.2.2. Experimental Design and Data Collection
2.3. Experiment 2: Nitrogen Mineralization and Synchrony of N Release for Maize Uptake
2.3.1. Soil Sampling and Incubation
2.3.2. Mineral Nitrogen Release
2.3.3. Synchrony of Nitrogen Release and Nitrogen Uptake
2.4. Laboratory Analysis Methods
2.5. Data Analysis
3. Results
3.1. Influence of BSFFF and SAFI Organic Fertilizer on Soil N Mineralization at Different Seasons
3.2. Variation of Soil Mineral N in Two Cropping Seasons in Plots Treated with BSFFF and SAFI Organic Fertilizer
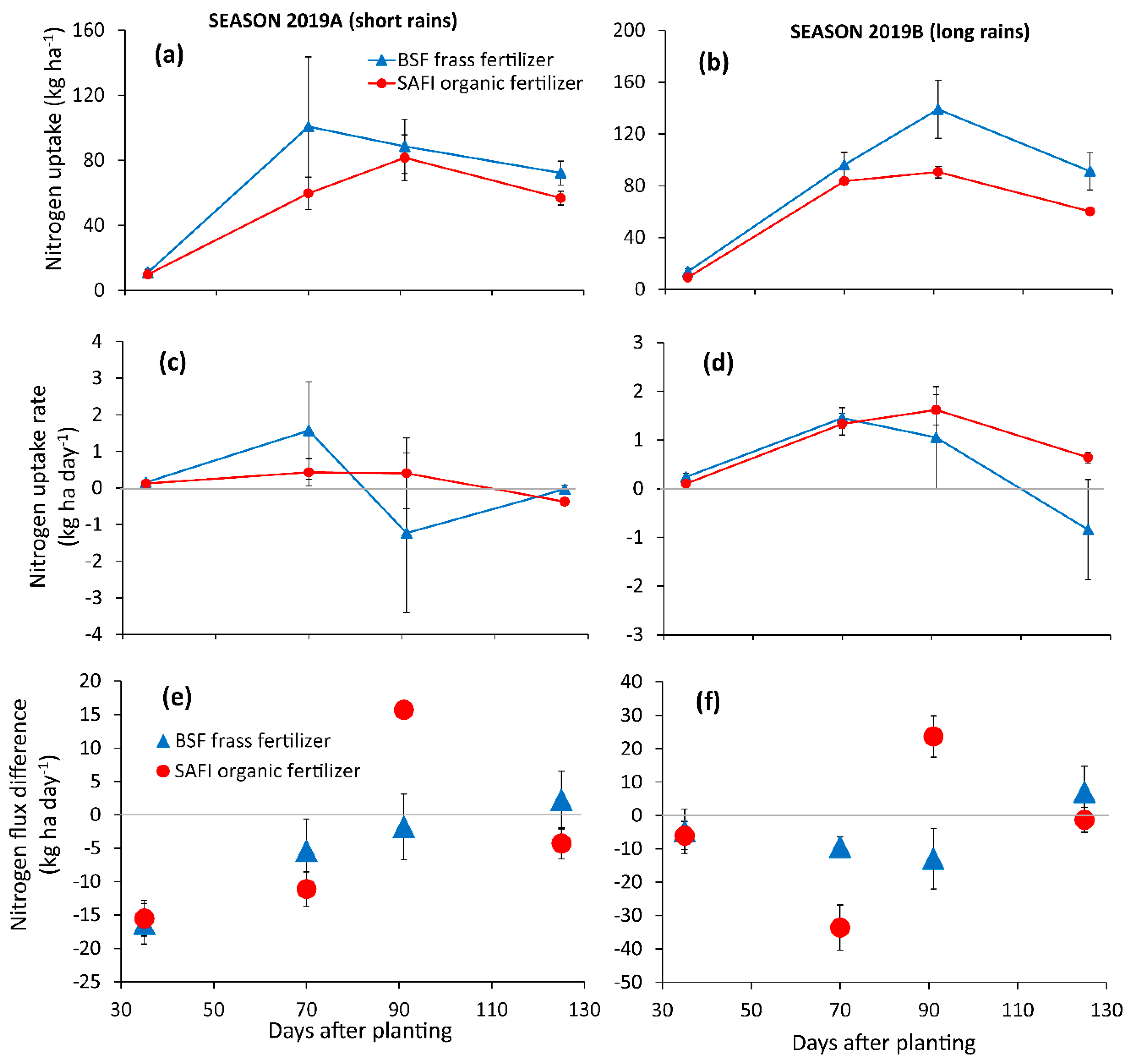
3.3. The Effects of BSFFF and SAFI Organic Fertilizer on Maize N Uptake
3.4. Effects of BSFFF and SAFI Organic Fertilizer on the Degree of N Synchrony
3.5. Effects of BSFFF and SAFI Organic Fertilizer on Maize Grain Yield
3.6. Nitrogen Fertilizer Equivalence Values of BSFFF and SAFI Organic Fertilizer
4. Discussion
4.1. Effects of BSFFF and SAFI Organic Fertilizer on the Degree of N Synchrony
4.2. Nitrogen Fertilizer Equivalence Values of BSFFF and SAFI Organic Fertilizer
5. Conclusions
Author Contributions
Funding
Acknowledgments
Conflicts of Interest
References
- Vanlauwe, B.; Coyne, D.; Gockowski, J.; Hauser, S.; Huising, J.; Masso, C.; Nziguheba, G.; Schut, M.; Van Asten, P. Sustainable intensification and the African smallholder farmer. Curr. Opin. Environ. Sustain. 2014, 8, 15–22. [Google Scholar] [CrossRef]
- Vanlauwe, B.; Descheemaeker, K.; Giller, K.E.; Huising, J.; Merckx, R.; Nziguheba, G.; Wendt, J. Integrated soil fertility management in sub-Saharan Africa: Unravelling local adaptation. Soil J. 2015, 1, 491–508. [Google Scholar] [CrossRef]
- Cobo, J.G.; Dercon, G.; Cadisch, G. Nutrient balances in African land use systems across different spatial scales: A review of approaches, challenges and progress. Agric. Ecosyst. Environ. 2010, 136, 1–15. [Google Scholar] [CrossRef]
- Tully, K.; Sullivan, C.; Weil, R.; Sanchez, P. The State of Soil Segradation in Sub-Saharan Africa: Baselines, Trajectories, and Solutions. Sustainability 2015, 6523–6552. [Google Scholar] [CrossRef]
- Musinguzi, P.; Ebanyat, P.; Tenywa, J.S.; Basamba, T.A.; Tenywa, M.M.; Mubiru, D.N. Critical soil organic carbon range for optimal crop response to mineral Fertiliser nitrogen on a Ferralsol. Exp. Agric. 2016, 52, 635–653. [Google Scholar] [CrossRef]
- Grigatti, M.; Boanini, E.; Cavani, L.; Ciavatta, C.; Marzadori, C. Phosphorus in Digestate-Based Compost: Chemical Speciation and Plant-Availability. Waste Biomass Valorization 2015, 6, 481–493. [Google Scholar] [CrossRef]
- Baligar, V.C.; Fageria, N.K.; He, Z.L. Nutrient Use Efficiency in Plants. Commun. Soil Sci. Plant Anal. 2001, 32, 921–950. [Google Scholar] [CrossRef]
- Ch’Ng, H.Y.; Ahmed, O.H.; Majid, N.M.A. Improving phosphorus availability, nutrient uptake and dry matter production of Zea Mays L. on a tropical acid soil using poultry manure biochar and pineapple leaves compost. Exp. Agric. 2016, 52, 447–465. [Google Scholar] [CrossRef]
- Tittonell, P.; Vanlauwe, B.; Corbeels, M.; Giller, K.E. Yield gaps, nutrient use efficiencies and response to fertilisers by maize across heterogeneous smallholder farms of western Kenya. Plant Soil 2008, 313, 19–37. [Google Scholar] [CrossRef]
- Wortmann, C.S.; Kaizzi, K.C.; Maman, N.; Cyamweshi, A.; Dicko, M.; Garba, M.; Milner, M.; Senkoro, C.; Tarfa, B.; Tettah, F.; et al. Diagnosis of crop secondary and micro-nutrient deficiencies in sub-Saharan Africa. Nutr. Cycl. Agroecosyst. 2019, 113, 127–140. [Google Scholar] [CrossRef]
- FAO. The State of Food and Agriculture. Leveraging food systems for inclusive rural transformation. Available online: www.fao.org/publications (accessed on 17 October 2017).
- Rufino, M.C.; Dury, J.; Tittonell, P.; van Wijk, M.T.; Herrero, M.; Zingore, S.; Mapfumo, P.; Giller, K.E. Competing use of organic resources, village-level interactions between farm types and climate variability in a communal area of NE Zimbabwe. Agric. Syst. 2011, 104, 175–190. [Google Scholar] [CrossRef]
- Rusinamhodzi, L.; Corbeels, M.; Giller, K.E. Diversity in crop residue management across an intensification gradient in southern Africa: System dynamics and crop productivity. Field Crop. Res. 2016, 185, 79–88. [Google Scholar] [CrossRef]
- Ndambi, O.A.; Pelster, D.E.; Owino, J.O.; de Buisonjé, F.; Vellinga, T. Manure Management Practices and Policies in Sub-Saharan Africa: Implications on Manure Quality as a Fertilizer. Front. Sustain. Food Syst. 2019, 3, 1–14. [Google Scholar] [CrossRef]
- Makkar, H.P.S.; Tran, G.; Heuzé, V.; Ankers, P. State-of-the-art on use of insects as animal feed. Anim. Feed Sci. Technol. 2014, 197, 1–33. [Google Scholar] [CrossRef]
- Oonincx, D.G.A.B.; Van Broekhoven, S.; Van Huis, A.; Van Loon, J.J.A. Feed conversion, survival and development, and composition of four insect species on diets composed of food by-products. PLoS ONE 2015, 10, 1–20. [Google Scholar] [CrossRef] [PubMed]
- Lalander, C.H.; Fidjeland, J.; Diener, S.; Eriksson, S.; Vinnerås, B. High waste-to-biomass conversion and efficient Salmonella spp. reduction using black soldier fly for waste recycling. Agron. Sustain. Dev. 2015, 35, 261–271. [Google Scholar] [CrossRef]
- Oonincx, D.G.A.B.; van Huis, A.; van Loon, J.J.A. Nutrient utilisation by black soldier flies fed with chicken, pig, or cow manure. J. Insects Food Feed 2015, 1, 131–139. [Google Scholar] [CrossRef]
- Xiao, X.; Mazza, L.; Yu, Y.; Cai, M.; Zheng, L.; Tomberlin, J.K.; Yu, J.; van Huis, A.; Yu, Z.; Fasulo, S.; et al. Efficient co-conversion process of chicken manure into protein feed and organic fertilizer by Hermetia illucens L. (Diptera: Stratiomyidae) larvae and functional bacteria. J. Environ. Manag. 2018, 217, 668–676. [Google Scholar] [CrossRef]
- Diener, S.; Studt Solano, N.M.; Roa Gutiérrez, F.; Zurbrügg, C.; Tockner, K. Biological treatment of municipal organic waste using black soldier fly larvae. Waste Biomass Valorization 2011, 2, 357–363. [Google Scholar] [CrossRef]
- Cabrera, M.L.; Kissel, D.E.; Vigil, M.F. Nitrogen Mineralization from Organic Residues. J. Environ. Qual. 2005, 34, 75–79. [Google Scholar] [CrossRef]
- Bowden, C.; Spargo, J.; Evanylo, G. Mineralization and N fertilizer equivalent value of composts as assessed by tall fescue (festuca arundinacea). Compost. Sci. Util. 2007, 15, 111–118. [Google Scholar] [CrossRef]
- Musyoka, M.W.; Adamtey, N.; Bünemann, E.K.; Muriuki, A.W.; Karanja, E.N.; Mucheru-Muna, M.; Fiaboe, K.K.M.; Cadisch, G. Nitrogen release and synchrony in organic and conventional farming systems of the Central Highlands of Kenya. Nutr. Cycl. Agroecosyst. 2019, 113, 283–305. [Google Scholar] [CrossRef]
- Li, L.; Li, S. Nitrogen mineralization from animal manures and its relation to organic N fractions. J. Integr. Agric. 2014, 13, 2040–2048. [Google Scholar] [CrossRef]
- Cai, A.; Xu, H.; Shao, X.; Zhu, P.; Zhang, W.; Xu, M.; Murphy, D.V. Carbon and nitrogen mineralization in relation to soil particle-size fractions after 32 years of chemical and manure application in a continuous maize cropping system. PLoS ONE 2016, 11, 1–14. [Google Scholar] [CrossRef] [PubMed][Green Version]
- Johnson, H.J.; Colquhoun, J.B.; Bussan, A.J.; Laboski, C.A.M. Estimating nitrogen mineralization of composted poultry manure, organic fertilizers, and green manure crops for organic sweet corn production on a sandy soil under laboratory conditions. Horttechnology 2012, 22, 37–43. [Google Scholar] [CrossRef]
- Alizadeh, P.; Fallah, S.; Raiesi, F. Potential N mineralization and availability to irrigated maize in a calcareous soil amended with organic manures and urea under field conditions. Int. J. Plant Prod. 2012, 6, 493–512. [Google Scholar]
- Adin Yéton, B.G.; Aliou, S.; Noël, O.; Guillaume Lucien, A.; Attanda Mouinou, I.; Victor Attuquaye, C.; Christophe Achille Armand Mahussi, C.; Marc, K.; Guy Apollinaire, M. Decomposition and nutrient release pattern of agro-processing by-products biodegraded by fly larvae in Acrisols. Arch. Agron. Soil Sci. 2019, 00, 1–12. [Google Scholar] [CrossRef]
- Friedel, J.K.; Herrmann, A.; Kleber, M. Ion exchange resin-soil mixtures as a tool in net nitrogen mineralisation studies. Soil Biol. Biochem. 2000, 32, 1529–1536. [Google Scholar] [CrossRef]
- Osterholz, W.R.; Rinot, O.; Liebman, M.; Castellano, M.J. Can mineralization of soil organic nitrogen meet maize nitrogen demand? Plant Soil 2017, 415, 73–84. [Google Scholar] [CrossRef]
- Lalor, S.T.J.; Schröder, J.J.; Lantinga, E.A.; Oenema, O.; Kirwan, L.; Schulte, R.P.O. Nitrogen Fertilizer Replacement Value of Cattle Slurry in Grassland as Affected by Method and Timing of Application. J. Environ. Qual. 2011, 40, 362–373. [Google Scholar] [CrossRef]
- Hijbeek, R.; ten Berge, H.F.M.; Whitmore, A.P.; Barkusky, D.; Schröder, J.J.; van Ittersum, M.K. Nitrogen fertiliser replacement values for organic amendments appear to increase with N application rates. Nutr. Cycl. Agroecosyst. 2018, 110, 105–115. [Google Scholar] [CrossRef]
- Kimetu, J.M.; Mugendi, D.N.; Palm, C.A.; Mutuo, P.K.; Gachengo, C.N.; Bationo, A.; Nandwa, S.; Kungu, J.B. Nitrogen fertilizer equivalencies of organics of differing quality and optimum combination with inorganic nitrogen source in Central Kenya. Nutr. Cycl. Agroecosyst. 2004, 68, 127–135. [Google Scholar] [CrossRef]
- Kenya Meteorological Department. Kenya Weather. Available online: https://www.govserv.org/KE/Dagoretti/246433692156497/Kenya-Meteorological-Department (accessed on 12 February 2019).
- Gachene, C.; Kimaru, G. Soil Fertility and Land Productivity: A Guide for Extension Workers in the Eastern Africa Region; World Agroforestry: Nairobi, Kenya, 2003; ISBN 9966896651. [Google Scholar]
- Okalebo, J.R.; Gathua, K.W.; Woomer, P.L. Laboratory Methods of Soil and Plant Analysis: A Working Manual, 2nd ed.; TSBF-CIAT and SACRED Africa: Nairobi, Kenya, 2002. [Google Scholar]
- Shumo, M.; Osuga, I.M.; Khamis, F.M.; Tanga, C.M.; Fiaboe, K.K.M.; Subramanian, S.; Ekesi, S.; van Huis, A.; Borgemeister, C. The nutritive value of black soldier fly larvae reared on common organic waste streams in Kenya. Sci. Rep. 2019, 9, 1–13. [Google Scholar] [CrossRef] [PubMed]
- Safi Organics. Decentralizing Fertilizer Production. Available online: https://safiorganics.co.ke/ (accessed on 5 August 2018).
- Tittonell, P.; Corbeels, M.; Van Wijk, M.T.; Vanlauwe, B.; Giller, K.E. Combining organic and mineral fertilizers for integrated soil fertility management in smallholder farming systems of Kenya: Explorations using the crop-soil model FIELD. Agron. J. 2008, 100, 1511–1526. [Google Scholar] [CrossRef]
- Murwira, H.K.; Mutuo, P.; Nhamo, N.; Marandu, A.E.; Rabeson, R.; Mwale, M.; Palm, C.A. Fertilizer Equivalency Values of Organic Materials of Differing Quality. In Intergrated Plant Nutrient Management in sub-Saharan Africa: From Concept to Practice; CABI: Wallingford, UK, 2003; p. 367. [Google Scholar]
- Van Middelkoop, J.C.; Holshof, G. Nitrogen Fertilizer Replacement Value of Concentrated Liquid Fraction of Separated Pig Slurry Applied to Grassland. Commun. Soil Sci. Plant Anal. 2017, 48, 1132–1144. [Google Scholar] [CrossRef]
- Mucheru-Muna, M.; Mugendi, D.; Pypers, P.; Mugwe, J.; Kung’U, J.; Vanlauwe, B.; Merckx, R. Enhancing maize productivity and profitability using organic inputs and mineral fertilizer in central Kenya small-hold farms. Exp. Agric. 2014, 50, 250–269. [Google Scholar] [CrossRef]
- Musyoka, M.W.; Adamtey, N.; Muriuki, A.W.; Cadisch, G. Effect of organic and conventional farming systems on nitrogen use efficiency of potato, maize and vegetables in the Central highlands of Kenya. Eur. J. Agron. 2017, 86, 24–36. [Google Scholar] [CrossRef]
- Loecke, T.D.; Cambardella, C.A.; Liebman, M. Synchrony of net nitrogen mineralization and maize nitrogen uptake following applications of composted and fresh swine manure in the Midwest U.S. Nutr. Cycl. Agroecosyst. 2012, 93, 65–74. [Google Scholar] [CrossRef]
- Nelson, D.W.; Sommers, L.E. Total carbon, organic carbon, and organic matter. Methods of soil analysis Part 2: Chemical and microbiological properties. Am. Soc. Agron. 1982, 9, 539–579. [Google Scholar]
- Jackson, M.L. Soil Chemical Analysis; Prentice Hall of India Pvt. Ltd.: New Delhi, India, 1973; p. 498. [Google Scholar]
- Bates, D.; Mächler, M.; Bolker, B.M.; Walker, S.C. Fitting linear mixed-effects models using lme4. J. Stat. Softw. 2015, 67. [Google Scholar] [CrossRef]
- R Core Team R. A Language and Environment for Statistical Computing. Vienna, Austria. Available online: http://www.r-project.org/ (accessed on 15 June 2019).
- Kagata, H.; Ohgushi, T. Positive and negative impacts of insect frass quality on soil nitrogen availability and plant growth. Popul. Ecol. 2012, 54, 75–82. [Google Scholar] [CrossRef]
- Houben, D.; Daoulas, G.; Faucon, M.P.; Dulaurent, A.M. Potential use of mealworm frass as a fertilizer: Impact on crop growth and soil properties. Sci. Rep. 2020, 10, 1–9. [Google Scholar] [CrossRef]
- Fornara, D.A.; Bardgett, R.; Steinbeiss, S.; Zak, D.R.; Gleixner, G.; Tilman, D. Plant effects on soil N mineralization are mediated by the composition of multiple soil organic fractions. Ecol. Res. 2011, 26, 201–208. [Google Scholar] [CrossRef]
- Bernal, M.P.; Alburquerque, J.A.; Moral, R. Composting of animal manures and chemical criteria for compost maturity assessment. A review. Bioresour. Technol. 2009, 100, 5444–5453. [Google Scholar] [CrossRef]
- Rovira, P.; Vallejo, V.R. Labile and recalcitrant pools of carbon and nitrogen in organic matter decomposing at different depths in soil: An acid hydrolysis approach. Geoderma 2002, 107, 109–141. [Google Scholar] [CrossRef]
- Kleber, M. What is recalcitrant soil organic matter? Environ. Chem. 2010, 7, 320–332. [Google Scholar] [CrossRef]
- Sanchez-Monedero, M.A.; Cayuela, M.L.; Roig, A.; Jindo, K.; Mondini, C.; Bolan, N. Role of biochar as an additive in organic waste composting. Bioresour. Technol. 2018, 247, 1155–1164. [Google Scholar] [CrossRef] [PubMed]
- Gómez-Muñoz, B.; Hinojosa, M.B.; García-Ruiz, R. In situ net N mineralisation and nitrification under organic and conventionally managed olive oil orchards. Nutr. Cycl. Agroecosyst. 2015, 101, 223–239. [Google Scholar] [CrossRef]
- Musyoka, M.W.; Adamtey, N.; Muriuki, A.W.; Bautze, D.; Karanja, E.N.; Mucheru-Muna, M.; Fiaboe, K.K.M.; Cadisch, G. Nitrogen leaching losses and balances in conventional and organic farming systems in Kenya. Nutr. Cycl. Agroecosyst. 2019, 114, 237–260. [Google Scholar] [CrossRef]
- Cavalli, D.; Cabassi, G.; Borrelli, L.; Geromel, G.; Bechini, L.; Degano, L.; Marino Gallina, P. Nitrogen fertilizer replacement value of undigested liquid cattle manure and digestates. Eur. J. Agron. 2016, 73, 34–41. [Google Scholar] [CrossRef]
- Poveda, J.; Jiménez-Gómez, A.; Saati-Santamaría, Z.; Usategui-Martín, R.; Rivas, R.; García-Fraile, P. Mealworm frass as a potential biofertilizer and abiotic stress tolerance-inductor in plants. Appl. Soil Ecol. 2019, 142, 110–122. [Google Scholar] [CrossRef]
- Quilliam, R.S.; Nuku-Adeku, C.; Maquart, P.; Little, D.; Newton, R.; Murray, F. Integrating insect frass biofertilisers into sustainable peri-urban agro-food systems. J. Insects Food Feed 2020, 6, 315–322. [Google Scholar] [CrossRef]
- De Notaris, C.; Sørensen, P.; Møller, H.B.; Wahid, R.; Eriksen, J. Nitrogen fertilizer replacement value of digestates from three green manures. Nutr. Cycl. Agroecosyst. 2018, 112, 355–368. [Google Scholar] [CrossRef]




| Experimental Soil | ||||||||||||||
| Parameter | pH (1:2.5 water) | Bulk density | Mineral N | Total N | TOC | SOM | Available P (ppm) | Exchangeable cations (cmol kg−1) | Sand | Clay | Silt | Textural class | ||
| (g cm−3) | (mg kg−1) | (%) | K | Ca | Mg | (%) | ||||||||
| Test value | 5.9 | 1.35 | 1.81 | 0.04 | 1.3 | 2.3 | 9.7 | 2.07 | 0.91 | 0.07 | 63 | 20.3 | 16.7 | Sandy loam |
| Organic Fertilizers | ||||||||||||||
| Parameters | Moisture (%) | pH | EC (mS cm−1) | Ammonium | Nitrate | TOC | Total N | Total P | Total K | Total Ca | Total Mg | C/N ratio | ||
| (mg kg−1) | (%) | |||||||||||||
| BSFFF | 30.1 | 7.7 | 2.7 | 74.4 | 1.39 | 35.2 | 2.1 | 1.16 | 0.17 | 0.19 | 0.16 | 16.8 | ||
| SAFI | 29.8 | 6.4 | 6.1 | 39.4 | 92.3 | 45.1 | 3.0 | 1.23 | 1.49 | 0.29 | 0.43 | 15.0 | ||
| Treatments | pH | Ammonium | Nitrate | Bacteria | Fungi | Total N | Available P | Exchange Cations (cmol kg−1) | Ammonium/Nitrate Ratio | ||
|---|---|---|---|---|---|---|---|---|---|---|---|
| (mg kg−1) | CFU g−1 | (%) | (ppm) | K | Ca | Mg | |||||
| Soil alone | 6.2 | 1.44 | 0.36 | 2.08 × 107 | 3.71 × 107 | 0.02 | 12.0 | 1.2 | 0.77 | 0.07 | 4.0 |
| Soil + BSFFF | 8.2 | 402.2 | 7.5 | 2.78 × 108 | 8.59 × 107 | 0.56 | 693.6 | 3.2 | 0.58 | 0.24 | 53.6 |
| Soil + SAFI | 5.5 | 171.5 | 197.2 | 6.69 × 107 | 5.05 × 107 | 0.09 | 331.6 | 9.1 | 0.73 | 0.09 | 0.87 |
| Fertilizer | Rate (kg N ha−1) | Season 2019A (Short Rains) | Season 2019B (Long Rains) | ||
|---|---|---|---|---|---|
| Grain Yield (t ha−1) | NFRV (%) | Grain Yield (t ha−1) | NFRV (%) | ||
| BSFFF | 30 | 4.96 ± 0.21 a | 229.4 ± 28.4 a | 5.20 ± 0.32 ab | 131.8 ± 34.3 ab |
| 60 | 5.59 ± 0.40 a | 165.9 ± 32.7 ab | 5.95 ± 0.26 a | 151.0 ± 37.5 a | |
| 100 | 5.72 ± 0.32 a | 105.3 ± 17.7 ab | 6.15 ± 0.10 a | 110.6 ± 8.6 ab | |
| SAFI | 30 | 4.49 ± 0.52 a | 178.6 ± 59.7 ab | 3.68 ± 0.04 c | 3.5 ± 1.3 c |
| 60 | 4.00 ± 0.44 a | 61.2 ± 21.9 b | 4.48 ± 0.27 bc | 30.4 ± 10.9 bc | |
| 100 | 4.51 ± 0.15 a | 52.1 ± 5.3 b | 5.12 ± 0.20 ab | 35.6 ± 6.5 bc | |
| p value | * | * | *** | ** | |
© 2020 by the authors. Licensee MDPI, Basel, Switzerland. This article is an open access article distributed under the terms and conditions of the Creative Commons Attribution (CC BY) license (http://creativecommons.org/licenses/by/4.0/).
Share and Cite
Beesigamukama, D.; Mochoge, B.; Korir, N.; Musyoka, M.W.; Fiaboe, K.K.M.; Nakimbugwe, D.; Khamis, F.M.; Subramanian, S.; Dubois, T.; Ekesi, S.; et al. Nitrogen Fertilizer Equivalence of Black Soldier Fly Frass Fertilizer and Synchrony of Nitrogen Mineralization for Maize Production. Agronomy 2020, 10, 1395. https://doi.org/10.3390/agronomy10091395
Beesigamukama D, Mochoge B, Korir N, Musyoka MW, Fiaboe KKM, Nakimbugwe D, Khamis FM, Subramanian S, Dubois T, Ekesi S, et al. Nitrogen Fertilizer Equivalence of Black Soldier Fly Frass Fertilizer and Synchrony of Nitrogen Mineralization for Maize Production. Agronomy. 2020; 10(9):1395. https://doi.org/10.3390/agronomy10091395
Chicago/Turabian StyleBeesigamukama, Dennis, Benson Mochoge, Nicholas Korir, Martha W. Musyoka, Komi K. M. Fiaboe, Dorothy Nakimbugwe, Fathiya M. Khamis, Sevgan Subramanian, Thomas Dubois, Sunday Ekesi, and et al. 2020. "Nitrogen Fertilizer Equivalence of Black Soldier Fly Frass Fertilizer and Synchrony of Nitrogen Mineralization for Maize Production" Agronomy 10, no. 9: 1395. https://doi.org/10.3390/agronomy10091395
APA StyleBeesigamukama, D., Mochoge, B., Korir, N., Musyoka, M. W., Fiaboe, K. K. M., Nakimbugwe, D., Khamis, F. M., Subramanian, S., Dubois, T., Ekesi, S., & Tanga, C. M. (2020). Nitrogen Fertilizer Equivalence of Black Soldier Fly Frass Fertilizer and Synchrony of Nitrogen Mineralization for Maize Production. Agronomy, 10(9), 1395. https://doi.org/10.3390/agronomy10091395

