Phenotyping a Diverse Collection of Forage Sorghum Genotypes for Chilling Tolerance
Abstract
1. Introduction
2. Materials and Methods
2.1. Seed Germination Rate and Vigor Index Evaluation
2.2. Field Establishment and Experimental Design
Air Temperature and Rainfall
2.3. Data Analysis
Soil Temperature and Soil Water Content from Planting to Emergence
3. Results and Discussion
3.1. Growth Chamber Seed Germination and Vigor Index
3.2. Seeding Date Study in Field Conditions
3.2.1. Seed Mortality
3.2.2. Plant Height
3.2.3. Biomass Yield
3.2.4. Dry Matter Content
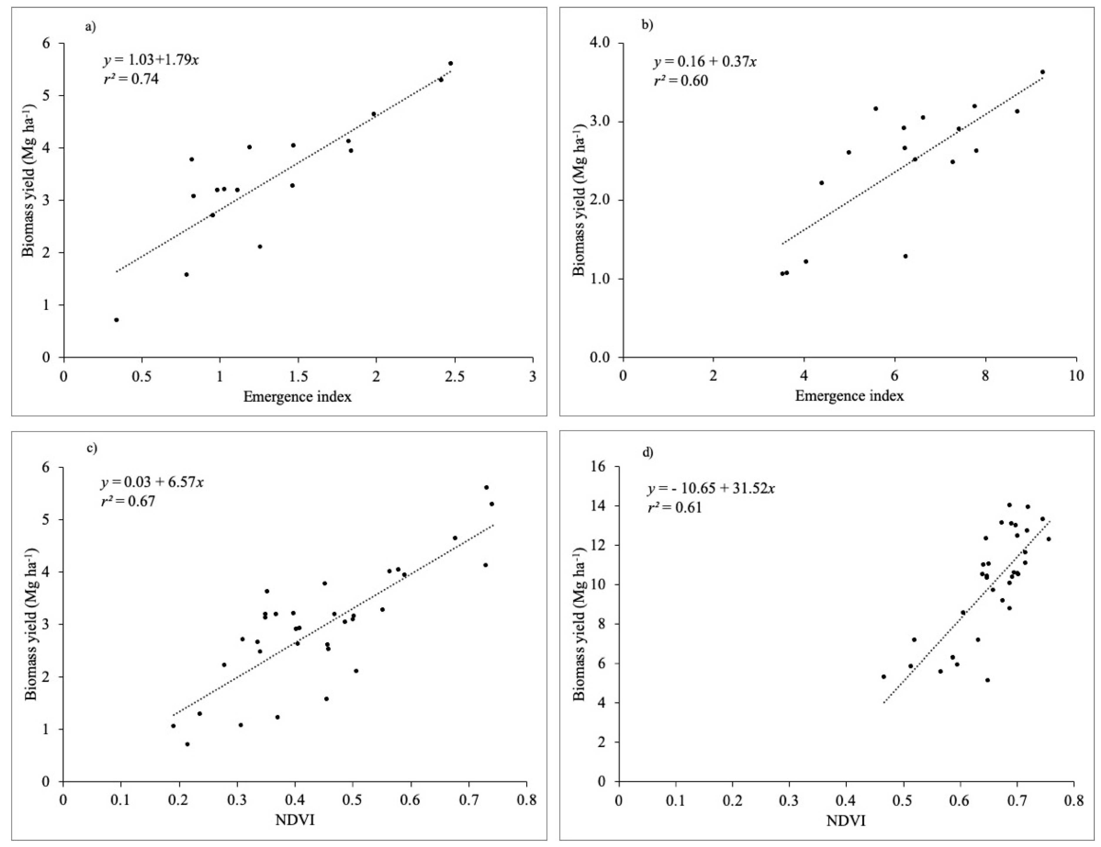
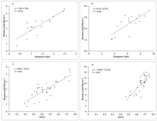
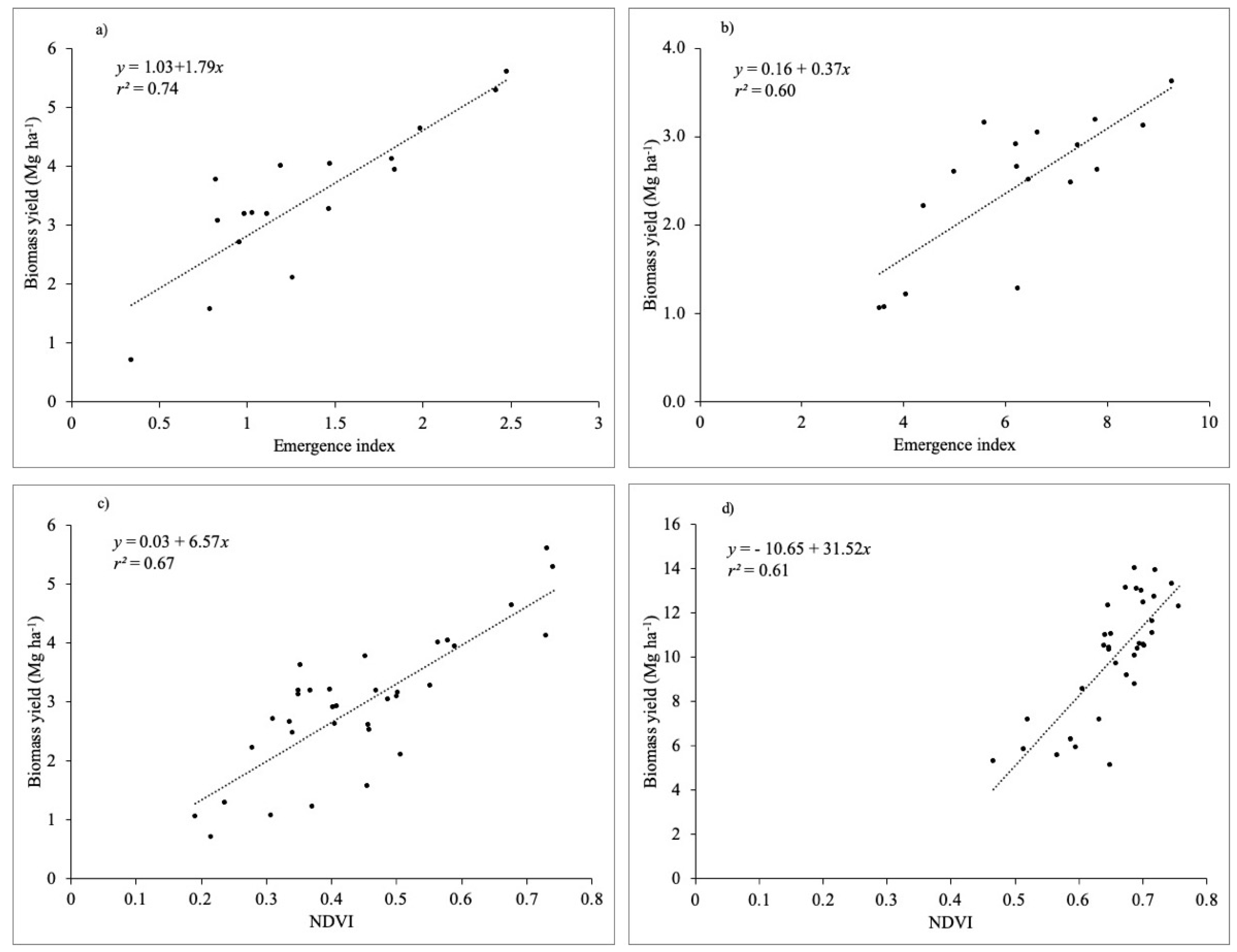
3.3. Biomass Yield Prediction
3.4. Forage Nutritive Value
4. Conclusions
Author Contributions
Funding
Acknowledgments
Conflicts of Interest
References
- Samarappuli, D.; Berti, M.T. Intercropping forage sorghum with maize is a promising alternative to maize silage for biogas production. J. Clean. Prod. 2018, 194, 515–524. [Google Scholar] [CrossRef]
- Berti, M.T.; Nudell, R.; Anfinrud, R.; Samarappuli, D.; Johnson, B.L. Forage resources as feedstocks for the biofuel industry in North Dakota. In Proceedings of the European Biomass Conference, Berlin, Germany, 6–9 June 2011; Available online: https://www.ag.ndsu.edu/plantsciences/research/forages/docs/ForageResourcesAsFeedstocksForBiofuel.pdf (accessed on 20 May 2020).
- Samarappuli, D.P.; Johnson, B.L.; Kandel, H.; Berti, M.T. Biomass yield and nitrogen content of annual energy/forage crops preceded by cover crops. Field Crops Res. 2014, 167, 31–39. [Google Scholar] [CrossRef]
- Anfinrud, R.; Cihacek, L.; Johnson, B.L.; Ji, Y.; Berti, M.T. Sorghum and kenaf biomass yield and quality response to nitrogen fertilization in the northern Great Plains of the USA. Ind. Crops Prod. 2013, 50, 159–165. [Google Scholar] [CrossRef]
- Rooney, W.L.; Blumenthal, J.; Bean, B.; Mullet, J.E. Designing sorghum as a dedicated bioenergy feedstock. Biofuels Bioprod. Biorefining 2007, 1, 147–157. [Google Scholar] [CrossRef]
- Howell, T.A.; Evett, S.R.; Tolk, J.A.; Copeland, K.S.; Colaizzi, P.D.; Gowda, P.H. Evapotranspiration of corn and forage sorghum for silage. In Proceedings of the World Environmental and Water Resources Congress, Ahupua’a, Honolulu, HI, USA, 12–16 May 2008; ASCE: Reston, VA, USA. [Google Scholar]
- McCollum III, T.; McCuistion, K.; Bean, B. Brown mid-rib and photoperiod sensitive forage sorghums. In Proceedings of the 2005 Plains Nutrition Council Spring, San Antonio, TX, USA, 14–15 April 2005; Available online: http://agrilife.org/amarillo/files/2010/11/brownmidrib.pdf (accessed on 19 May 2020).
- Maucieri, C.; Cavallaro, V.; Caruso, C.; Borin, M.; Milani, M.; Barbera, A.C. Sorghum biomass production for energy purpose using treated urban wastewater and different fertilization in a Mediterranean environment. Agriculture 2016, 6, 67. [Google Scholar] [CrossRef]
- Ganyo, K.K.; Muller, B.; Ndiaye, M.; Gaglo, E.K.; Guissé, A.; Adam, M. Defining fertilization strategies for sorghum (Sorghum bicolor (L.) Moench) production under Sudano-Sahelian conditions: Options for late basal fertilizer application. Agronomy 2019, 9, 697. [Google Scholar] [CrossRef]
- Perazzo, A.F.; Carvalho, G.G.P.; Santos, E.M.; Bezerra, H.F.C.; Silva, T.C.; Pereira, G.A.; Ramos, R.C.S.; Rodrigues, J.A.S. Agronomic evaluation of sorghum hybrids for silage production cultivated in semiarid conditions. Front. Plant Sci. 2017, 8, 8. [Google Scholar] [CrossRef]
- Undersander, D.J.; Smith, L.H.; Kaminski, A.R.; Kelling, K.A.; Doll, J.D. Sorghum-forage. In Alternative Field Crops Manual; Department of Agronomy, University of Wisconsin Cooperative or Extension Service: Madison, WI, USA; University of Minnesota Extension Service: St. Paul, MN, USA, 1990; Available online: https://hort.purdue.edu/newcrop/afcm/forage.html (accessed on 19 May 2020).
- Razmi, Z.; Hamidi, R.; Pirasteh-Anosheh, H. Seed germination and seedling growth of three sorghum (Sorghum bicolor L.) genotypes as affected by low temperatures. Int. J. Farm. Allied Sci. 2013, 20, 851–856. [Google Scholar]
- Peacock, J.M. Response and tolerance of sorghum to temperature stress. In Sorghum in the Eighties Proceedings of the International Symposium on Sorghum; House, L.R., Mughogho, L.K., Peacock, J.M., Mertin, J.V., Eds.; ICRISAT Center: Patancheru, India, 1981. [Google Scholar]
- Patane, C.; Cavallaro, V.; Avola, G.; D’Agosta, G. Seed respiration of sorghum Sorghum bicolor (L.) Moench during germination as affected by temperature and osmoconditioning. Seed Sci. Res. 2006, 16, 251–260. [Google Scholar] [CrossRef]
- Yu, J.; Tuinstra, M.R.; Claassen, M.M.; Gordon, W.B.; Witt, M.D. Analysis of cold tolerance in sorghum under controlled environment conditions. Field Crops Res. 2004, 85, 21–30. [Google Scholar] [CrossRef]
- Singh, S.P. Sources of cold tolerance in grain-sorghum. Can. J. Plant Sci. 1985, 65, 251–257. [Google Scholar] [CrossRef]
- Marla, S.R.; Shiva, S.; Welti, R.; Liu, S.Z.; Burke, J.J.; Morris, G.P. Comparative transcriptome and lipidome analyses reveal molecular chilling responses in chilling-tolerant sorghums. Plant Genome 2017, 10, 16. [Google Scholar] [CrossRef] [PubMed]
- Maulana, F.; Weerasooriya, D.; Tesso, T. Sorghum landrace collections from cooler regions of the world exhibit magnificent genetic differentiation and early season cold tolerance. Front. Plant Sci. 2017, 8, 756. [Google Scholar] [CrossRef] [PubMed]
- Knoll, J.; Gunaratna, N.; Ejeta, G. QTL analysis of early-season cold tolerance in sorghum. Theor. Appl. Genet. 2008, 116, 577–587. [Google Scholar] [CrossRef] [PubMed]
- Fiedler, K.; Bekele, W.A.; Duensing, R.; Gruendig, S.; Snowdon, R.; Stuetzel, H.; Zacharias, A.; Uptmoor, R. Genetic dissection of temperature-dependent sorghum growth during juvenile development. Theor. Appl. Genet. 2014, 127, 1935–1948. [Google Scholar] [CrossRef]
- Bekele, W.A.; Fiedler, K.; Shiringani, A.; Schnaubelt, D.; Windpassinger, S.; Uptmoor, R.; Friedt, W.; Snowdon, R.J. Unravelling the genetic complexity of sorghum seedling development under low-temperature conditions. Plant Cell Environ. 2014, 37, 707–723. [Google Scholar] [CrossRef]
- Franks, C.D.; Burow, G.B.; Burke, J.J. A comparison of US and Chinese sorghum germplasm for early season cold tolerance. Crop Sci. 2006, 46, 1371–1376. [Google Scholar] [CrossRef]
- Fernandez, M.G.S.; Schoenbaum, G.R.; Goggi, A.S. Novel germplasm and screening methods for early cold tolerance in sorghum. Crop Sci. 2014, 54, 2631–2638. [Google Scholar] [CrossRef]
- Tiryaki, I.; Andrews, D.J. Germination and seedling cold tolerance in sorghum: I. Evaluation of rapid screening methods. Agron. J. 2001, 93, 1386–1391. [Google Scholar] [CrossRef]
- Kapanigowda, M.H.; Perumal, R.; Aiken, R.M.; Herald, T.J.; Bean, S.R.; Little, C.R. Analyses of sorghum Sorghum bicolor (L.) Moench lines and hybrids in response to early-season planting and cool conditions. Can. J. Plant Sci. 2013, 93, 773–784. [Google Scholar] [CrossRef][Green Version]
- Chiluwal, A.; Bheemanahalli, R.; Perumal, R.; Asebedo, A.R.; Bashir, E.; Lamsal, A.; Sebela, D.; Shetty, N.J.; Jagadish, S.V.K. Integrated aerial and destructive phenotyping differentiates chilling stress tolerance during early seedling growth in sorghum. Field Crops Res. 2018, 227, 1–10. [Google Scholar] [CrossRef]
- Maulana, F.; Tesso, T.T. Cold temperature episode at seedling and flowering stages reduces growth and yield components in sorghum. Crop Sci. 2013, 53, 564–574. [Google Scholar] [CrossRef]
- Web Soil Survey. National Resources Conservation Service; United States Department of Agriculture: Washington, DC, USA, 2013. Available online: http://websoilsurvey.sc.egov.usda.gov/App/HomePage.htm (accessed on 19 May 2020).
- NDAWN. North Dakota Agricultural Weather Network; NDAWN Center, North Dakota State University: Fargo, ND, USA, 2016; Available online: http://ndawn.ndsu.nodak.edu (accessed on 30 May 2020).
- Franzen, D. North Dakota Fertilizer Recommendation: Tables and Equations; North Dakota State University: Fargo, ND, USA, 2013; p. 20. Available online: https://www.ndsu.edu/fileadmin/soils/pdfs/sf882.pdf (accessed on 19 May 2020).
- Vendrell, P.F.; Zupancic, J. Determination of soil nitrate by transnitration of salicylic-acid. Commun. Soil Sci. Plant Anal. 1990, 21, 1705–1713. [Google Scholar] [CrossRef]
- Cataldo, B.A.; Haroon, M.; Schrader, L.E.; Youngs, V.L. Rapid colorimetric determination of nitrate in plant tissue by nitration of salicylic acid. Commun. Soil Sci. Plant Anal. 1975, 6, 71–80. [Google Scholar] [CrossRef]
- Olsen, S.R.; Cole, C.V.; Watanabe, F.S.; Dean, L.A. Estimation of Available Phosphorus in Soils by Extraction with Sodium Bicarbonate; U.S. Department of Agriculture Circular: Washington, DC, USA, 1954; p. 19.
- Warncke, D.; Brown, J.R. Potassium and other basic cations. In Recommended Chemical Soil Test Procedures for the North Central Region; Brown, J.R., Ed.; Publ. 221 (revised); North Central Regional Library: Columbia, MO, USA, 1998; pp. 36–38. [Google Scholar]
- Patrignani, A.; Tyson, O. Canopeo: A powerful new tool for measuring fractional green canopy cover. Agron. J. 2015, 107, 2312–2320. [Google Scholar] [CrossRef]
- Speirs, J.; Mitchell, W.J. Estimation of nitrogen by Kjeldahl’s method note in the ammonia distillation. J. Inst. Brew. 2013, 42, 247–250. [Google Scholar] [CrossRef]
- Abrams, S.M.; Shenk, J.; Westerhaus, F.E. Determination of forage quality by near infrared reflectance spectroscopy: Efficacy of broad-based calibration equations. J. Dairy Sci. 1987, 70, 806–813. [Google Scholar] [CrossRef]
- SAS Institute. SAS User’s Guide: Statistics; SAS Institute: Cary, NC, USA, 2014. [Google Scholar]
- Kanemasu, E.T.; Bark, D.L.; Choy, E.C. Effect of soil temperature on sorghum emergence. Plant Soil 1975, 43, 411–417. [Google Scholar] [CrossRef]
- Marsalis, M.A. Sorghum Forage Production in New Mexico (Guide A-332); New Mexico State University Cooperative Extension Services: Las Cruces, NM, USA, 2006; Available online: https://aces.nmsu.edu/pubs/_a/A332/ (accessed on 20 May 2020).
- Pinthus, M.J.; Rosenblum, J. Germination and seedling emergence of sorghum at low temperatures. Crop Sci. 1961, 1, 293–296. [Google Scholar] [CrossRef]
- Chung, Y.S.; Choi, S.C.; Silva, R.R.; Kang, J.W.; Eom, J.H.; Kim, C. Case study: Estimation of sorghum biomass using digital image analysis with Canopeo. Biomass Bioenerg. 2017, 105, 207–210. [Google Scholar] [CrossRef]
- Janowiak, F.; Kaczanowska, K.; Jing, H.C.; Bekele, W.A.; Snowdon, R.J. Metabolic limitations to photosynthetic efficiency of sorghum seedling leaves at low temperature. Procedia Environ. Sci. 2015, 29, 277–278. [Google Scholar] [CrossRef][Green Version]
- Havaux, M. Fluorimetric determination of the genetic-variability existing for chilling tolerance in sweet sorghum and Sudan grass. Plant Breed. 1989, 102, 327–332. [Google Scholar] [CrossRef]
- Maughan, M.; Voigt, T.; Parrish, A.; Bollero, G.; Rooney, W.; Lee, D.K. Forage and energy sorghum responses to nitrogen fertilization in central and southern Illinois. Agron. J. 2012, 104, 1032–1040. [Google Scholar] [CrossRef]
- Meki, M.N.; Ogoshi, R.M.; Kiniry, J.R.; Crow, S.E.; Youkhana, A.H.; Nakahata, M.H.; Littlejohn, K. Performance evaluation of biomass sorghum in Hawaii and Texas. Ind. Crops Prod. 2017, 103, 257–266. [Google Scholar] [CrossRef]
- Martin, F.M. Methods for Research on Soilborne Phytopathogenic Fungi; Singleton, L.L., Milhail, J.D., Rush, C.M., Eds.; APS Press: St. Paul, MN, USA, 1992; p. 3949. [Google Scholar]
- Mahmood, A.; Ullah, H.; Ijaz, M.; Javaid, M.M.; Shahzad, A.N.; Honermeier, B. Evaluation of sorghum hybrids for biomass and biogas production. Aust. J. Crop Sci. 2013, 7, 1456–1462. [Google Scholar]
- Braconnier, S.; Trouche, G.; Gutjahr, S.; Luquet, D.; Dingkhun, M. Development of new sorghum ideotypes to meet the increasing demand of bioethanol. In Proceedings of the International Conference on Crop Improvement, Ideotyping and Modeling for African Cropping Systems under Climate Change (CIMAC), Stuttgart, Germany, 7–9 February 2011; University of Hohenheim: Stuttgart, Germany, 2011. [Google Scholar]
- Tagarakis, A.C.; Ketterings, Q.M.; Lyons, S.; Godwin, G. Proximal sensing to estimate yield of brown midrib forage sorghum. Agron. J. 2017, 109, 107–114. [Google Scholar] [CrossRef]
- Foster, A.J.; Kakani, V.G.; Mosali, J. Estimation of bioenergy crop yield and N status by hyperspectral canopy reflectance and partial least square regression. Precis. Agric. 2017, 18, 192–209. [Google Scholar] [CrossRef]
- Siemens, M.G.; Schaefer, D.M.; Vatthauer, R.J. Rations for Beef Cattle; Publ. A2387; University of Wisconsin-Ext.: Madison, WI, USA, 1999; Available online: http://learningstore.uwex.edu/assets/pdfs/A2387.PDF (accessed on 20 May 2020).
- Pedersen, J.F.; Moore, K.J.; Schroth, S.; Walters, D.T. Nitrogen accumulation of six groups of sorghum grown on a municipal biosolids use site. Water Environ. Res. 1995, 67, 1076–1080. [Google Scholar] [CrossRef]
- Johnson, C.; Albrecht, G.; Ketterings, Q.; Beckman, J.; Stockin, K. Nutrient Management Spear Program. Agronomy Fact Sheet Series; Fact Sheet 2; Cornell University Cornell Coop. Ext.: Middletown, NY, USA, 2005; Available online: http://nmsp.cals.cornell.edu/publications/factsheets/factsheet2.pdf (accessed on 20 May 2020).
- Kaur, J.; Cihacek, L.J.; Chatterjee, A. Estimation of nitrogen and sulfur mineralization in soils amended with crop residues contributing to nitrogen and sulfur nutrition of crops in the North Central U.S. Commun. Soil Sci. Plant Anal. 2018, 49, 2256–2266. [Google Scholar] [CrossRef]
- Lee, D.; Owens, V.N.; Boe, A.; Jeranyama, P. Composition of Herbaceous Biomass Feedstocks; North Central Sun Grant Center, South Dakota State University: Brookings, SD, USA, 2007; pp. 1–16. [Google Scholar]
- Parish, J.A.; Rhinehart, J.D. Fiber in Beef Cattle Diets; Mississippi State University Ext. Serv.: Starkville, MS, USA, 2008; Available online: https://extension.msstate.edu/sites/default/files/publications/publications/p2489.pdf (accessed on 20 May 2020).
- Stefaniak, T.R.; Dahlberg, J.A.; Bean, B.W.; Dighe, N.; Wolfrum, E.J.; Rooney, W.L. Variation in biomass composition components among forage, biomass, sorghum-sudangrass, and sweet sorghum types. Crop Sci. 2012, 52, 1949–1954. [Google Scholar] [CrossRef]
- Zhao, X.; Zhou, H.; Sikarwar, V.S.; Zhao, M.; Park, A.H.A.; Fennell, P.S.; Shen, L.H.; Fan, L.S. Biomass-based chemical looping technologies: The good, the bad and the future. Energy Environ. Sci. 2017, 10, 1885–1910. [Google Scholar] [CrossRef]





| Environment | Soil depth | NO3-N ‡ | P | K | pH | OM |
|---|---|---|---|---|---|---|
| Cm | kg ha−1 | mg kg−1 | mg kg−1 | |||
| 2017 | ||||||
| Fargo | 0–15 | 58 | 36 | 348 | 7.50 | 67 |
| 15–60 | 108 | - | - | - | - | |
| Hickson | 0–15 | 18 | 6 | 380 | 7.80 | 59 |
| 15–60 | 30 | - | - | - | - | |
| 2018 | ||||||
| Fargo | 0–15 | 47 | 18 | 324 | 7.48 | 71 |
| 15–60 | 81 | - | - | - | - | |
| Hickson | 0–15 | 22 | 12 | 330 | 7.40 | 55 |
| 15–60 | 20 | - | - | - | - | |
| Genotypes | SorghumType | Fungicide Treated Seed | Germination (%) | Corrected Vigor Index | |||||
|---|---|---|---|---|---|---|---|---|---|
| 24 °C | 12 °C | 10 °C | 12 °C | Rank12 °C | 10 °C | Rank10 °C | |||
| SPX-901 ab | FSH | Y | 96.7 | 99.3 | 97.3 | 25.1 † | 1 | 16.2 | 4 |
| CHR-FS4 | FS | Y | 96.0 | 97.3 | 96.7 | 25.0 | 2 | 14.9 | 14 |
| BTx623 a | GS | N | 98.7 | 98.7 | 82.7 | 25.0 | 3 | 10.6 | 45 |
| Sordan Headless b | SxS | Y | 97.3 | 98.7 | 94.7 | 24.9 | 4 | 15.7 | 8 |
| Pampa Triunfo XLT ab | SxS | Y | 94.7 | 97.3 | 95.3 | 24.6 | 5 | 17.8 | 1 |
| NK300 b | FSH | Y | 98.0 | 98.7 | 98.7 | 24.4 | 6 | 16.6 | 2 |
| SPX3952 | SxS | Y | 94.0 | 96.0 | 90.7 | 24.4 | 7 | 15.0 | 13 |
| Hay King ab | Su | Y | 100.0 | 100.0 | 98.0 | 24.4 | 8 | 14.8 | 16 |
| SC265 a | GS | N | 99.3 | 98.7 | 53.3 | 24.2 | 9 | 5.4 | 64 |
| Pampa Verde BMR 6 b | SxS | Y | 98.0 | 96.7 | 96.7 | 24.2 | 10 | 16.2 | 5 |
| 1990 ab | FSH | Y | 99.3 | 97.3 | 98.0 | 24.0 | 11 | 16.5 | 3 |
| CHR-FS3 | FS | Y | 99.3 | 99.3 | 96.7 | 23.9 | 12 | 12.3 | 30 |
| 54126 a | SW | Y | 90.0 | 94.0 | 86.7 | 23.9 | 13 | 12.2 | 31 |
| SPX-28313 | FSH | Y | 91.3 | 94.0 | 92.0 | 23.9 | 14 | 15.0 | 12 |
| CHR-SS2 | SxS | Y | 95.3 | 96.0 | 86.0 | 23.9 | 15 | 11.5 | 40 |
| X94Z | FS | Y | 96.0 | 96.7 | 94.7 | 23.8 | 16 | 11.7 | 38 |
| Hong Ke Zi | GS | N | 84.0 | 88.7 | 73.3 | 23.8 | 17 | 7.0 | 59 |
| SPX 902 | FSH | Y | 97.3 | 95.3 | 92.0 | 23.8 | 18 | 12.9 | 24 |
| SDH2942 BMR | SxS | Y | 100.0 | 98.0 | 90.0 | 23.6 | 19 | 10.5 | 47 |
| Niu Sheng Zui b | GS | N | 87.3 | 92.7 | 80.7 | 23.6 | 20 | 9.2 | 50 |
| SPX 903 | FSH | Y | 95.3 | 96.7 | 90.6 | 23.5 | 21 | 12.1 | 32 |
| Sweetie BMR ab | SW | Y | 96.0 | 96.0 | 99.3 | 23.5 | 22 | 15.2 | 9 |
| Shan Qui Red | GS | Y | 98.0 | 99.3 | 70.7 | 23.5 | 23 | 6.6 | 61 |
| 36126 | SW | Y | 89.3 | 91.3 | 84.7 | 23.4 | 24 | 13.2 | 23 |
| Green Treat 128 a | SxS | Y | 98.7 | 95.3 | 96.7 | 23.4 | 25 | 14.7 | 17 |
| Brachytic sorghum a | FS | Y | 97.3 | 96.0 | 86.7 | 23.4 | 26 | 12.1 | 33 |
| SPX 904 | FSH | Y | 92.7 | 88.7 | 87.3 | 23.3 | 27 | 16.0 | 7 |
| SPX-3402 | FS | Y | 97.3 | 96.7 | 93.3 | 23.3 | 28 | 15.0 | 11 |
| Pampa Karamelo | SW | Y | 94.0 | 95.3 | 90.0 | 23.2 | 29 | 12.0 | 34 |
| 36111 | SW | Y | 93.3 | 90.0 | 90.7 | 23.2 | 30 | 14.2 | 19 |
| CHR-FS9 | FS | Y | 98.7 | 96.0 | 98.0 | 23.0 | 31 | 15.1 | 10 |
| Honey Sweet | SxS | Y | 97.3 | 96.7 | 97.3 | 22.9 | 32 | 12.8 | 26 |
| BMR 105 | FS | Y | 97.3 | 98.0 | 96.6 | 22.9 | 33 | 13.2 | 22 |
| SS405 | FSH | Y | 90.7 | 92.0 | 85.3 | 22.9 | 34 | 12.5 | 28 |
| SCI 1345 | GS | N | 94.7 | 98.0 | 87.9 | 22.8 | 35 | 10.5 | 46 |
| Greentreat Dynamo | SxS | Y | 99.3 | 98.7 | 98.0 | 22.5 | 36 | 12.8 | 25 |
| Kaoliang b | GS | N | 98.0 | 96.0 | 85.3 | 22.5 | 37 | 8.1 | 54 |
| Pampa Centurion | FS | Y | 91.3 | 93.3 | 83.3 | 22.5 | 38 | 11.5 | 41 |
| AL 31 BMR | SxS | Y | 80.7 | 84.0 | 74.0 | 22.4 | 39 | 11.8 | 37 |
| BMR 106 | FS | Y | 96.7 | 91.3 | 89.3 | 22.4 | 40 | 13.5 | 21 |
| Trudan Headless | SxS | Y | 94.7 | 94.0 | 81.3 | 22.4 | 41 | 11.1 | 43 |
| CHR-SG1 | Su | Y | 94.7 | 95.3 | 82.0 | 22.4 | 42 | 12.0 | 36 |
| BMR-90 b | FS | Y | 99.3 | 94.7 | 98.7 | 22.3 | 43 | 16.1 | 6 |
| Green Treat Plus | SxS | Y | 92.0 | 87.3 | 74.7 | 22.3 | 44 | 12.7 | 27 |
| XAL 53 | SxS | N | 91.3 | 84.7 | 61.3 | 22.3 | 45 | 10.4 | 48 |
| SD-1741 | SxS | Y | 98.7 | 95.3 | 97.3 | 22.2 | 46 | 14.4 | 18 |
| Topper | SW | N | 93.3 | 86.0 | 68.0 | 22.1 | 47 | 7.7 | 55 |
| Sweet Thing BMR | SxS | Y | 98.7 | 96.7 | 96.7 | 22.0 | 48 | 12.4 | 29 |
| Pampa Verde Pacas | SxS | Y | 96.7 | 94.7 | 84.0 | 22.0 | 49 | 8.6 | 52 |
| BMR 108 | FS | Y | 98.7 | 96.7 | 91.3 | 21.3 | 50 | 11.2 | 42 |
| Top 76–6 | SW | N | 89.3 | 89.3 | 76.7 | 21.3 | 51 | 8.8 | 51 |
| PI 453014 | GS | N | 87.3 | 82.7 | 63.3 | 20.9 | 52 | 8..2 | 53 |
| SX17 | SxS | Y | 89.3 | 81.3 | 40.0 | 20.6 | 53 | 5.2 | 65 |
| Nutri Plus | SxS | N | 83.9 | 84.0 | 50.0 | 20.7 | 54 | 7.2 | 58 |
| 59–09 | FS | Y | 98.7 | 90.7 | 94.7 | 20.4 | 55 | 14.1 | 20 |
| 56111 | SW | Y | 94.7 | 89.3 | 84.0 | 20.3 | 56 | 11.6 | 39 |
| Greentreat A+ | SxS | Y | 92.7 | 94.7 | 80.7 | 20.2 | 57 | 10.0 | 49 |
| Theis | SW | N | 90.6 | 91.3 | 70.7 | 19.9 | 58 | 6.8 | 60 |
| Sweet Thing | SxS | Y | 90.7 | 87.3 | 86.7 | 19.8 | 59 | 11.1 | 44 |
| SPX 3903 | FSH | Y | 90.7 | 86.6 | 88.7 | 19.5 | 60 | 14.8 | 15 |
| RTx430 | GS | N | 90.7 | 84.0 | 56.7 | 19.1 | 61 | 7.6 | 56 |
| SS M81-E | SW | N | 93.3 | 91.2 | 26.0 | 18.5 | 62 | 2.5 | 70 |
| PI 452841 | GS | N | 86.7 | 76.7 | 49.3 | 18.4 | 63 | 7.4 | 57 |
| Piper (1) | Su | N | 92.7 | 90.0 | 52.0 | 16.2 | 64 | 4.5 | 67 |
| Dale | SW | N | 94.0 | 96.0 | 64.0 | 16.0 | 65 | 5.7 | 63 |
| Special Effort | SxS | N | 71.7 | 63.3 | 30.7 | 15.2 | 66 | 3.8 | 69 |
| Pacesetter BMR | FS | Y | 94.7 | 92.0 | 87.3 | 14.6 | 67 | 12.0 | 35 |
| FS-5 | FS | Y | 90.0 | 81.3 | 42.0 | 14.6 | 68 | 4.3 | 68 |
| Piper (2) | Su | Y | 98.0 | 92.7 | 60.0 | 14.0 | 69 | 4.9 | 66 |
| Enorma | Su | N | 92.6 | 71.3 | 72.0 | 11.0 | 70 | 6.3 | 62 |
| Forage King ab | Su | N | 52.0 | 32.7 | 6.7 | 5.2 | 71 | 0.8 | 71 |
| LSD (0.05) | 6.3 | 8.1 | 11.5 | 3.5 | 2.6 | ||||
| Genotype | Plant Height (m) | Biomass Yield (Mg ha−1) | Dry Matter (%) | ||||
|---|---|---|---|---|---|---|---|
| H-1 | H-2 | H-1 | H-2 | Total | H-1 | H-2 | |
| Early Seeding | |||||||
| Sweetie BMR | 1.31 | 1.68 | 3.2 | 8.5 | 11.7 | 17.2 | 22.0 |
| Brachytic sorghum | 0.94 | 1.07 | 3.2 | 8.8 | 12.0 | 18.6 | 23.0 |
| Pampa Triunfo XLT | 1.38 | 1.65 | 3.3 | 9.2 | 12.5 | 16.9 | 23.0 |
| Green Treat 128 | 1.10 | 1.74 | 3.2 | 10.4 | 13.6 | 19.1 | 19.6 |
| 54126 | 1.28 | 1.70 | 3.8 | 12.3 | 16.1 | 17.3 | 20.9 |
| Forage King | 1.64 | 1.95 | 3.1 | 10.4 | 13.4 | 19.0 | 32.9 |
| Hay King | 1.61 | 1.95 | 3.9 | 10.5 | 14.5 | 18.6 | 26.3 |
| SPX-901 | 1.28 | 1.79 | 4.0 | 11.0 | 15.0 | 18.2 | 22.5 |
| 1990 | 1.20 | 1.67 | 4.0 | 10.5 | 14.5 | 18.3 | 21.1 |
| BTx623 | 0.96 | 1.02 | 2.7 | 7.2 | 9.9 | 17.1 | 25.9 |
| SC 265 | 0.72 | 0.87 | 0.7 | 5.6 | 6.3 | 15.5 | 28.3 |
| Pampa Verde BMR-6 | 1.39 | 1.69 | 4.1 | 10.0 | 14.2 | 15.2 | 21.9 |
| Sordan Headless | 1.57 | 1.94 | 5.3 | 12.7 | 18.0 | 16.4 | 22.5 |
| NK300 | 1.41 | 1.45 | 5.6 | 10.3 | 15.9 | 17.7 | 24.1 |
| BMR-90 | 1.64 | 1.73 | 4.6 | 9.7 | 14.4 | 16.6 | 26.2 |
| Niu Sheng Zui | 1.68 | 2.04 | 2.1 | 5.3 | 7.4 | 14.9 | 30.9 |
| Kaoliang | 1.67 | 2.19 | 1.6 | 7.2 | 8.7 | 16.6 | 36.2 |
| Late Seeding | |||||||
| Sweetie BMR | 1.09 | 1.77 | 2.5 | 11.0 | 13.5 | 16.9 | 23.6 |
| Brachytic sorghum | 0.90 | 1.06 | 3.2 | 10.5 | 13.7 | 18.4 | 22.8 |
| Pampa Triunfo XLT | 1.17 | 1.74 | 2.6 | 10.6 | 13.2 | 16.7 | 23.4 |
| Green Treat 128 | 1.07 | 1.76 | 3.1 | 13.1 | 16.2 | 19.4 | 20.5 |
| 54126 | 1.25 | 1.74 | 3.6 | 14.0 | 17.6 | 17.8 | 21.5 |
| Forage King | 1.37 | 1.98 | 2.2 | 11.1 | 13.3 | 17.6 | 30.1 |
| Hay King | 1.43 | 1.98 | 2.9 | 11.6 | 14.5 | 17.5 | 26.4 |
| SPX-901 | 1.02 | 1.97 | 2.9 | 13.1 | 16.0 | 18.4 | 22.7 |
| 1990 | 0.97 | 1.89 | 2.7 | 13.0 | 15.7 | 17.9 | 21.7 |
| BTx623 | 0.89 | 1.10 | 1.3 | 5.1 | 6.4 | 17.0 | 25.8 |
| SC 265 | 0.71 | 0.85 | 1.1 | 5.9 | 7.0 | 15.9 | 27.5 |
| Pampa Verde BMR-6 | 1.03 | 1.87 | 2.5 | 12.3 | 14.8 | 15.3 | 20.1 |
| Sordan Headless | 1.14 | 2.11 | 2.6 | 13.3 | 15.9 | 15.0 | 20.4 |
| NK300 | 1.05 | 1.63 | 3.2 | 12.5 | 15.6 | 16.4 | 25.6 |
| BMR-90 | 1.26 | 1.94 | 3.0 | 13.9 | 17.0 | 14.6 | 28.3 |
| Niu Sheng Zui | 1.21 | 2.27 | 1.2 | 5.8 | 7.0 | 13.5 | 31.9 |
| Kaoliang | 1.21 | 2.37 | 1.1 | 6.3 | 7.3 | 14.3 | 31.6 |
| LSD1 (0.05) | 0.11 | 0.16 | 0.6 | 2.2 | 2.4 | 1.5 | 2.3 |
| LSD2 (0.05) | 0.5 | 1.2 | 1.4 | ||||
| CP | Nacc | N | ADL | ADF | NDF | Ash | |
|---|---|---|---|---|---|---|---|
| Genotypes | g kg−1 | kg ha−1 | g kg−1 | ||||
| First Harvest | |||||||
| Sweetie BMR | 172 | 75.8 | 28 | 29 | 279 | 543 | 130 |
| Brachytic sorghum | 169 | 86.2 | 27 | 32 | 278 | 552 | 102 |
| Pampa Triunfo XLT | 170 | 78.6 | 27 | 32 | 279 | 549 | 133 |
| Green Treat 128 | 168 | 84.7 | 27 | 29 | 285 | 543 | 99 |
| 54126 | 162 | 94.5 | 26 | 34 | 278 | 543 | 110 |
| Forage King | 183 | 73.4 | 29 | 36 | 277 | 546 | 118 |
| Hay King | 166 | 87.7 | 27 | 32 | 279 | 541 | 121 |
| SPX-901 | 162 | 88.7 | 26 | 35 | 288 | 562 | 127 |
| 1990 | 166 | 86.2 | 27 | 34 | 290 | 570 | 124 |
| BTx623 | 208 | 63.2 | 33 | 35 | 272 | 532 | 106 |
| SC 265 | 209 | 29.2 | 33 | 34 | 272 | 541 | 112 |
| Pampa Verde BMR-6 | 174 | 88.0 | 28 | 33 | 285 | 552 | 165 |
| Sordan Headless | 159 | 95.2 | 25 | 35 | 288 | 560 | 158 |
| NK300 | 146 | 99.0 | 23 | 35 | 289 | 571 | 146 |
| BMR-90 | 161 | 96.5 | 26 | 32 | 281 | 554 | 151 |
| Niu Sheng Zui | 170 | 40.1 | 27 | 32 | 289 | 564 | 143 |
| Kaoliang | 155 | 29.0 | 25 | 34 | 292 | 567 | 141 |
| LSD1 (0.05) | 13 | 16.5 | 2 | 3 | 9 | 15 | 14 |
| Second Harvest | |||||||
| Sweetie BMR | 79 | 119 | 13 | 28 | 309 | 585 | 91 |
| Brachytic sorghum | 86 | 133 | 14 | 26 | 311 | 585 | 83 |
| Pampa Triunfo XLT | 87 | 138 | 14 | 33 | 303 | 587 | 94 |
| Green Treat 128 | 69 | 121 | 11 | 17 | 328 | 591 | 83 |
| 54126 | 66 | 139 | 11 | 32 | 301 | 551 | 76 |
| Forage King | 69 | 117 | 11 | 46 | 344 | 641 | 80 |
| Hay King | 71 | 120 | 11 | 36 | 329 | 615 | 82 |
| SPX-901 | 81 | 148 | 13 | 38 | 330 | 623 | 91 |
| 1990 | 89 | 162 | 14 | 35 | 322 | 617 | 97 |
| BTx623 | 91 | 83 | 15 | 36 | 313 | 580 | 102 |
| SC 265 | 98 | 87 | 16 | 33 | 302 | 580 | 95 |
| Pampa Verde BMR-6 | 104 | 186 | 17 | 38 | 285 | 569 | 127 |
| Sordan Headless | 88 | 183 | 14 | 46 | 302 | 596 | 115 |
| NK300 | 93 | 169 | 15 | 47 | 296 | 607 | 96 |
| BMR-90 | 94 | 178 | 15 | 42 | 294 | 587 | 106 |
| Niu Sheng Zui | 96 | 83 | 15 | 52 | 325 | 630 | 102 |
| Kaoliang | 84 | 85 | 13 | 54 | 339 | 645 | 99 |
| LSD2 (0.05) | 15 | 35 | 2 | 5 | 18 | 25 | 14 |
© 2020 by the authors. Licensee MDPI, Basel, Switzerland. This article is an open access article distributed under the terms and conditions of the Creative Commons Attribution (CC BY) license (http://creativecommons.org/licenses/by/4.0/).
Share and Cite
Podder, S.; Samarappuli, D.; Anderson, J.V.; Berti, M.T. Phenotyping a Diverse Collection of Forage Sorghum Genotypes for Chilling Tolerance. Agronomy 2020, 10, 1074. https://doi.org/10.3390/agronomy10081074
Podder S, Samarappuli D, Anderson JV, Berti MT. Phenotyping a Diverse Collection of Forage Sorghum Genotypes for Chilling Tolerance. Agronomy. 2020; 10(8):1074. https://doi.org/10.3390/agronomy10081074
Chicago/Turabian StylePodder, Swarup, Dulan Samarappuli, James V. Anderson, and Marisol T. Berti. 2020. "Phenotyping a Diverse Collection of Forage Sorghum Genotypes for Chilling Tolerance" Agronomy 10, no. 8: 1074. https://doi.org/10.3390/agronomy10081074
APA StylePodder, S., Samarappuli, D., Anderson, J. V., & Berti, M. T. (2020). Phenotyping a Diverse Collection of Forage Sorghum Genotypes for Chilling Tolerance. Agronomy, 10(8), 1074. https://doi.org/10.3390/agronomy10081074

