Browning of Early and Late-Harvested ‘Empire’ Apples Affected by Cold Storage and 1-MCP
Abstract
1. Introduction
2. Materials and Methods
2.1. Plant Material and Sampling
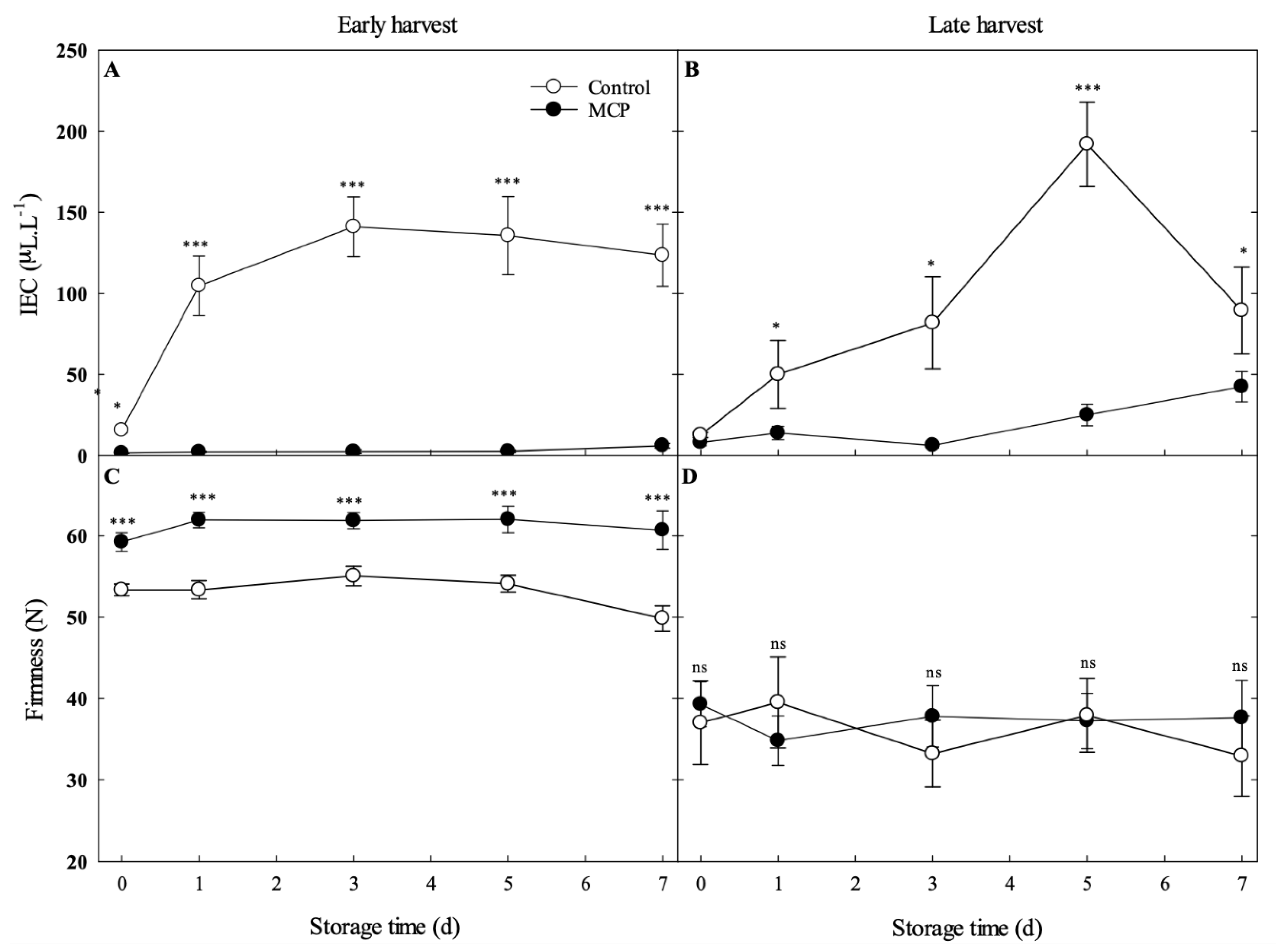
2.2. Ethylene Production and Respiration
2.3. Enzyme Extraction and Assays
2.4. Total Phenolic Concentration
2.5. Leakage Assessment
2.6. Statistical Analysis
3. Results
4. Discussion
5. Conclusions
Author Contributions
Funding
Acknowledgments
Conflicts of Interest
References
- DeELL, J.R.; Lum, G.B. Effects of low oxygen and 1-methylcyclopropene on storage disorders of ‘Empire’ apples. HortScience 2017, 52, 1265–1270. [Google Scholar] [CrossRef]
- Fawbush, F.; Nock, J.F.; Watkins, C.B. External carbon dioxide injury and 1-methylcyclopropene (1-MCP) in the ‘Empire’ apple. Postharvest Biol. Technol. 2008, 48, 92–98. [Google Scholar] [CrossRef]
- James, H.; Nock, J.F.; Watkins, C.B. Internal browning in Empire apples in relation to harvest date. N. Y. Fruit Q. 2010, 18, 11–14. [Google Scholar]
- Jung, S.-K.; Watkins, C.B. Involvement of ethylene in browning development of controlled atmosphere-stored ‘Empire’ apple fruit. Postharvest Biol. Technol. 2011, 59, 219–226. [Google Scholar] [CrossRef]
- Watkins, C.B.; Liu, F.W. Temperature and carbon dioxide interactions on quality of controlled atmosphere-stored ‘Empire’ apples. HortScience 2010, 45, 1708–1712. [Google Scholar] [CrossRef]
- De Castro, E.; Barrett, D.M.; Jobling, J.; Mitcham, E.J. Biochemical factors associated with a CO2-induced flesh browning disorder of Pink Lady apples. Postharvest Biol. Technol. 2008, 48, 182–191. [Google Scholar] [CrossRef]
- Mellidou, I.; Buts, K.; Hatoum, D.; Ho, Q.T.; Johnston, J.W.; Watkins, C.B.; Schaffer, R.J.; Gapper, N.E.; Giovannoni, J.J.; Rudell, D.R.; et al. Transcriptomic events associated with internal browning of apple during postharvest storage. BMC Plant Biol. 2014, 14, 328–344. [Google Scholar] [CrossRef]
- Vilaplana, R.; Valentines, M.C.; Toivonen, P.; Larrigaudiere, C. Antioxidant potential and peroxidative state of ‘Golden Smoothee’ apples treated with 1-Methylcyclopropene. J. Am. Soc. Hortic. Sci. 2006, 131, 104–109. [Google Scholar] [CrossRef]
- Hatoum, D.; Buts, K.; Hertog, M.L.A.T.M.; Geeraerd, A.H.; Schenk, A.; Vercammen, J.; Nicolai, B.M. Effects of pre- and postharvest factors on browning in Braeburn. HortScience 2014, 41, 19–26. [Google Scholar] [CrossRef]
- James, H.J.; Jobling, J.J. Contrasting the structure and morphology of the radial and diffuse flesh browning disorders and CO2 injury of ‘Cripps Pink’ apples. Postharvest Biol. Technol. 2009, 53, 36–42. [Google Scholar] [CrossRef]
- Sisler, E.C.; Serek, M. Inhibitors of ethylene responses in plants at the receptor level: Recent developments. Physiol. Plant. 1997, 100, 577–582. [Google Scholar] [CrossRef]
- Watkins, C.B. Overview of 1-methylcyclopropene trials and uses for edible horticultural crops. HortScience 2008, 43, 86–94. [Google Scholar] [CrossRef]
- Köpcke, D. 1-Methylcyclopropene (1-MCP) and dynamic controlled atmosphere (DCA) applications under elevated storage temperatures: Effects on fruit quality of ‘Elstar’, ‘Jonagold’ and ‘Gloster’ apple (Malus domestica Borkh.). Eur. J. Hortic. Sci. 2015, 80, 25–32. [Google Scholar] [CrossRef]
- Lee, J.W.; Cheng, L.; Rudell, D.R.; Watkins, C.B. Antioxidant metabolism of 1-methylcyclopropene (1-MCP) treated ‘Empire’ apples during controlled atmosphere storage. Postharvest Biol. Technol. 2012, 65, 79–91. [Google Scholar] [CrossRef]
- Lau, O.L. Effect of growing season, harvest maturity, waxing, low O2 and elevated CO2 on flesh browning disorders in ‘Braeburn’ apples. Postharvest Biol. Technol. 1998, 14, 131–141. [Google Scholar] [CrossRef]
- Wright, A.H.; Delong, J.M.; Arul, J.; Prange, R.K. The trend toward lower oxygen levels during apple (Malus × domestica Borkh) storage. J. Hortic. Sci. Biotechnol. 2015, 90, 1–13. [Google Scholar] [CrossRef]
- Moran, R.E.; McManus, P. Firmness retention and prevention of coreline browning and senescence in. “Macoun” apples with l-methylcyclopropene. HortScience 2005, 40, 161–163. [Google Scholar] [CrossRef]
- DeEll, R.R.; Geoffrey, B.L.; Behrouz, E.M. Effects of multiple 1-methylcyclopropene treatments on apple fruit quality and disorders in controlled atmosphere storage. Postharvest Biol. Technol. 2016, 111, 93–98. [Google Scholar] [CrossRef]
- Watkins, C.B.; Nock, J.F.; Whitaker, B.D. Responses of early, mid and late season apple cultivars to postharvest application of 1-methylcyclopropene (1-MCP) under air and controlled atmosphere storage conditions. Postharvest Biol. Technol. 2000, 19, 17–32. [Google Scholar] [CrossRef]
- Kochhar, S.; Watkins, C.B.; Conklin, P.L.; Brown, S.K. A quantitative and qualitative analysis of antioxidant enzymes in relation to susceptibility of apples to superficial scald. J. Am. Soc. Hortic. Sci. 2003, 128, 910–916. [Google Scholar] [CrossRef]
- Zhou, P.; Smith, N.L.; Lee, C.Y. Potential purification and some properties of Monroe apple peel polyphenol oxidase. J. Agric. Food Chem. 1993, 41, 532–536. [Google Scholar] [CrossRef]
- Bradford, M.M. A rapid and sensitive method for the quantitation of microgram quantities of protein utilizing the principle of protein-dye binding. Anal. Biochem. 1976, 72, 248–254. [Google Scholar] [CrossRef]
- Meyers, K.J.; Watkins, C.B.; Pritts, M.P.; Liu, R.H. Antioxidant and antiproliferative activities of strawberries. J. Agric. Food Chem. 2003, 51, 6887–6892. [Google Scholar] [CrossRef] [PubMed]
- Barrett, D.M.; Lee, C.Y.; Liu, F.W. Changes in ‘Delicious’ apple browning and softening during controlled atmosphere storage. J. Food Qual. 1991, 14, 443–453. [Google Scholar] [CrossRef]
- Zanella, A.; Cazzanelli, P.; Panarese, A.; Coser, M.; Chistè, C.; Zeni, F. Fruit fluorescence response to low oxygen stress: Modern storage technologies compared to 1-MCP treatment of apple. Acta Hort. 2005, 682, 1535–1542. [Google Scholar] [CrossRef]
- Gamrasni, D.; Nerya, O.; Tsvilling, A.; Gizis, A.; Maoz-Katz, M.; Ben-Arie, R. Complexity of Preventing Diffuse Skin Browning (DSB) on 1-MCP (SmartFresh)-Treated ‘Golden Delicious’ Apple. Acta Hort. 2009, 877, 507–511. [Google Scholar]
- Bennett, A.B.; Labavitch, J.M. Ethylene and ripening-regulated expression and function of fruit cell wall modifying proteins. Plant Sci. 2008, 175, 130–136. [Google Scholar] [CrossRef]
- Marangoni, A.G.; Palma, T.; Stanley, D.W. Membrane effects in postharvest physiology. Postharvest Biol. Technol. 1996, 7, 193–217. [Google Scholar] [CrossRef]
- Schotsmans, W.; Verlinden, B.E.; Lammertyn, J.; Nicolai, B.M. The relationship between gas transport properties and the histology of apple. J. Sci. Food Agric. 2004, 84, 1131–1140. [Google Scholar] [CrossRef]
- Watkins, C.B.; Nock, J.F. Effects of delays between harvest and 1-methylcyclopropene treatment, and temperature during treatment, on ripening of air-stored and controlled-atmosphere-stored apples. HortScience 2005, 40, 2096–2101. [Google Scholar] [CrossRef]
- Ding, C.K.; Chachin, K.; Hamauzu, Y.; Ueda, Y.; Imahori, Y. Effects of storage temperatures on physiology and quality of loquat fruit. Postharvest Biol. Technol. 1998, 14, 309–315. [Google Scholar] [CrossRef]
- Qu, H.; Duan, X.; Su, X.; Liu, H.; Jiang, Y. Effects of anti-ethylene treatments on browning and energy metabolism of harvested litchi fruit. Aust. J. Exp. Agric. 2006, 46, 1085–1090. [Google Scholar] [CrossRef]
- Hatoum, D.; Hertog, M.L.A.T.M.; Geeraerd, A.H.; Nicolai, B.M. Effect of browning related pre- and postharvest factors on the ‘Braeburn’ apple metabolome during CA storage. Postharvest Biol. Technol. 2016, 111, 106–116. [Google Scholar] [CrossRef]
- Watkins, C.B.; Nock, J.F. Repeated treatment of apple fruit with 1-methylcyclopropene (1-MCP) prior to controlled atmosphere storage. Postharvest Biol. Technol. 2013, 79, 73–79. [Google Scholar]





| Variables | CO2-POX | CO2-PPO | CO2-Phenol | |||
|---|---|---|---|---|---|---|
| R2 | p-Value | R2 | p-Value | R2 | p-Value | |
| Early harvest | 0.6077 | 0.0078 | 0.7061 | 0.0023 | 0.0051 | 0.9920 |
| Late harvest | 0.0114 | 0.3627 | 0.0306 | 0.9754 | 0.0154 | 0.0103 |
| With MCP | 0.5440 | 0.0149 | 0.4277 | 0.0402 | 0.7753 | 0.0008 |
| Without 1-MCP | 0.3850 | 0.0556 | 0.0650 | 0.4771 | 0.5329 | 0.0165 |
© 2020 by the authors. Licensee MDPI, Basel, Switzerland. This article is an open access article distributed under the terms and conditions of the Creative Commons Attribution (CC BY) license (http://creativecommons.org/licenses/by/4.0/).
Share and Cite
Jung, S.-K.; Choi, H.-S. Browning of Early and Late-Harvested ‘Empire’ Apples Affected by Cold Storage and 1-MCP. Agronomy 2020, 10, 1050. https://doi.org/10.3390/agronomy10071050
Jung S-K, Choi H-S. Browning of Early and Late-Harvested ‘Empire’ Apples Affected by Cold Storage and 1-MCP. Agronomy. 2020; 10(7):1050. https://doi.org/10.3390/agronomy10071050
Chicago/Turabian StyleJung, Seok-Kyu, and Hyun-Sug Choi. 2020. "Browning of Early and Late-Harvested ‘Empire’ Apples Affected by Cold Storage and 1-MCP" Agronomy 10, no. 7: 1050. https://doi.org/10.3390/agronomy10071050
APA StyleJung, S.-K., & Choi, H.-S. (2020). Browning of Early and Late-Harvested ‘Empire’ Apples Affected by Cold Storage and 1-MCP. Agronomy, 10(7), 1050. https://doi.org/10.3390/agronomy10071050
