Impact of Chelated or Inorganic Manganese and Zinc Applications in Closed Hydroponic Bean Crops on Growth, Yield, Photosynthesis, and Nutrient Uptake
Abstract
1. Introduction
2. Materials and Methods
2.1. Plant Material and Growth Conditions
2.2. Measurements and Analyses
2.3. Statistical Analysis
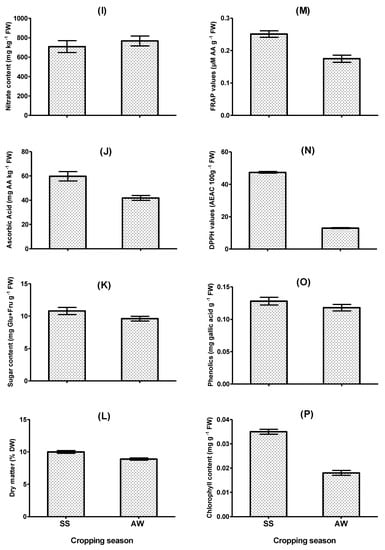
3. Results
3.1. Uptake Concentrations
3.2. Recycled Drainage Nutrients, EC, pH and Water Uptake
3.3. Physiological and Agronomical Responses
3.4. Tissue Nutrient Concentrations
4. Discussion
5. Conclusions
Author Contributions
Funding
Conflicts of Interest
List of Abbreviations and Symbols
| Abbreviations | |
| AW | autumn-winter |
| DAT | days after transplanting |
| DTPA | diethylenetriaminepenta acetic acid |
| DW | dry weight |
| EC | electrical conductivity |
| EDDHA | ethylenediamine-di-o-hydroxyphenyl acetic acid |
| EDTA | ethylenediaminetetra acetic acid |
| FW | fresh weight |
| NADPH | nicotinamide adenine dinucleotide phosphate |
| NFT | nutrient film technique |
| NS | nutrient solution |
| pH | hydrogen exponent |
| RDS | recycled drainage solution |
| RNS | replenishment nutrient solution |
| SS | spring-summer |
| UCs | uptake concentrations |
| WUE | water use efficiency |
| Symbols | |
| Ca | calcium |
| Cu | copper |
| Cxadd | the concentration of the nutrient x in the replenishment NS (mmol L−1 or μmol L−1) in each treatment |
| (Cxin − Cxf) | the initial minus final concentration of the x nutrient in the recycled solution (mmol L−1 or μmol L−1) in each time interval |
| Fe | iron |
| K | potassium |
| Mg | magnesium |
| Mn | manganese |
| N | nitrogen |
| P | phosphorus |
| Rhi | relative air humidity inside greenhouse (%) |
| Rho | relative air humidity outside greenhouse (%) |
| SR | solar radiation (kJ m−2) |
| Ti | air temperature inside greenhouse (°C) |
| To | air temperature outside greenhouse (°C) |
| UV | ultraviolet radiation (kJ m−2) |
| Wadd | the amount of water added to the closed system (L) in each time interval |
| Ws | the amount of water in each hydroponic unit (L) |
| Zn | zinc |
References
- Sonneveld, C.; Voogt, W. Plant Nutrition of Greenhouse Crops; Springer: Dordrecht, The Netherlands, 2009. [Google Scholar] [CrossRef]
- Savvas, D.; Gruda, N. Application of Soilless Culture Technologies in the Modern Greenhouse Industry—A Review. Eur. J. Hortic. Sci. 2018, 83, 280–293. [Google Scholar] [CrossRef]
- Raviv, M.; Lieth, J.H. Significance of Soilless Culture in Agriculture; Elsevier BV: Amsterdam, The Netherlands, 2008; pp. 1–11. [Google Scholar]
- Hoagland, D.R.; Arnon, D.I. The Water-Culture Method for Growing Plants without Soil. In Circular (California Agricultural Experiment Station); University of California: Davis, CA, USA, 1950. [Google Scholar]
- Sonneveld, C.; Straver, N. Nutrient Solutions for Vegetables and Flowers Grown in Water or Substrates; Research Station for Floriculture and Glasshouse Vegetables: Aalsmeer, The Netherlands; Naaldwijk, The Netherlands, 1994; Volume 8. [Google Scholar]
- Savvas, D.; Gianquinto, G.P.; Tüzel, Y.; Gruda, N. Soilless Culture. In Good Agricultural Practices for Greenhouse Vegetable Crops. Principles for Mediterranean Climate Areas; FAO, Ed.; Food and Agriculture Organization of the United Nations: Rome, Italy, 2013; pp. 303–354. [Google Scholar]
- Savvas, D.; Neocleous, D. Developments in Soilless/Hydroponic Cultivation of Vegetables. In Achieving Sustainable Cultivation of Vegetables (Burleigh Dodds Series in Agricultural Science); Hochmuth, G., Ed.; Burleigh Dodds Science Publishing: Cambridge, UK, 2019; pp. 1–12. ISBN 978-1-78676-236-8. [Google Scholar]
- Adams, P. Nutritional Control in Hydroponics. In Hydroponic Production of Vegetables and Ornamental; Savvas, D., Passam, H., Eds.; Embryo Publications: Athens, Greece, 2002; pp. 211–261. ISBN 960-8002-12-5. [Google Scholar]
- Gianquinto, G.; Munoz, P.; Pardossi, A.; Ramazzotti, S.; Savvas, D. Soil Fertility and Plant Nutrition. In Good Agricultural Practices for Greenhouse Vegetable Crops. Principles for Mediterranean Climate Areas; Plant Production and Protection Paper 217; FAO: Rome, Italy, 2013; pp. 215–270. [Google Scholar]
- Liu, Q.D.; Mudadu, M.S.; Thummel, R.; Tao, Y.; Wang, S. From Blue to Red: Syntheses, Structures, Electronic and Electroluminescent Properties of Tunable Luminescent N,N Chelate Boron Complexes. Adv. Funct. Mater. 2005, 15, 143–154. [Google Scholar] [CrossRef]
- De Rijck, G.; Schrevens, E. Cationic speciation in nutrient solutions as a function of pH. J. Plant Nutr. 1998, 21, 861–870. [Google Scholar] [CrossRef]
- López-Rayo, S.; Correas, C.; Lucena, J.J. Novel chelating agents as manganese and zinc fertilisers: Characterisation, theoretical speciation and stability in solution. Chem. Speciat. Bioavailab. 2012, 24, 147–158. [Google Scholar] [CrossRef]
- Jones, J.B., Jr. Hydroponics, A Practical Guide for the Soilless Grower; St. Lucie Press: Boca Raton, FL, USA, 1997; ISBN 9780849331671. [Google Scholar]
- Savvas, D. Soilless Culture. Hydroponics—Substrates; Agrotypos Publishing: Athens, Greece, 2012; ISBN 978-960-7667-44-1. (In Greek) [Google Scholar]
- Wang, Z.-H.; Li, S.-X.; Malhi, S. Effects of fertilization and other agronomic measures on nutritional quality of crops. J. Sci. Food Agric. 2007, 88, 7–23. [Google Scholar] [CrossRef]
- Monika, G.; Natasha, S.; Saloni, S.; Payal, K.; Aman, K.; Venkatesh, C.; Priya, A. Biofortified Crops Generated by Breeding, Agronomy, and Transgenic Approaches Are Improving Lives of Millions of People around the World. Front. Nutr. 2018, 5, 12. [Google Scholar]
- Rietra, R.; Heinen, M.; Dimkpa, C.O.; Bindraban, P.S. Effects of Nutrient Antagonism and Synergism on Yield and Fertilizer Use Efficiency. Commun. Soil Sci. Plant Anal. 2017, 48, 1895–1920. [Google Scholar] [CrossRef]
- Sambo, P.; Nicoletto, C.; Giro, A.; Pii, Y.; Valentinuzzi, F.; Mimmo, T.; Lugli, P.; Orzes, G.; Mazzetto, F.; Astolfi, S.; et al. Hydroponic Solutions for Soilless Production Systems: Issues and Opportunities in a Smart Agriculture Perspective. Front. Plant Sci. 2019, 10, 923. [Google Scholar] [CrossRef]
- Lazar, T.; Taiz, L.; Zeiger, E. Plant physiology. 3rd ed. Ann. Bot. 2003, 91, 750–751. [Google Scholar] [CrossRef]
- Kobraee, S. Effect of zinc, iron and manganese fertilization on concentrations of these metals in the stem and leaves of soybean and on the chlorophyll content in leaves during the reproductive development stages. J. Elem. 2016, 21, 395–412. [Google Scholar] [CrossRef]
- Welch, R.M.; Shuman, L. Micronutrient Nutrition of Plants. Crit. Rev. Plant Sci. 1995, 14, 49–82. [Google Scholar] [CrossRef]
- Fageria, N.; Baligar, V.; Clark, R. Micronutrients in Crop Production. Adv. Agron. 2002, 77, 185–268. [Google Scholar] [CrossRef]
- Clemens, S.; Palmgren, M.; Krämer, U. A long way ahead: Understanding and engineering plant metal accumulation. Trends Plant Sci. 2002, 7, 309–315. [Google Scholar] [CrossRef]
- Guerinot, M.L. The ZIP Family of Metal Transporters. Biochim. Biophys. Acta (BBA) Biomembr. 2000, 1–2, 190–198. [Google Scholar] [CrossRef]
- Savvas, D. SW-Soil and Water: Automated Replenishment of Recycled Greenhouse Effluents with Individual Nutrients in Hydroponics by Means of Two Alternative Models. Biosyst. Eng. 2002, 83, 225–236. [Google Scholar] [CrossRef]
- De Kreij, C.; Voogt, W.; Baas, R. Nutrient Solutions and Water Quality for Soilless Culture; Research Station for Floriculture and Glasshouse Vegetables (PBG): Naaldwijk, The Netherlands, 1999; p. 196. ISSN 1385-3015. [Google Scholar]
- Ropokis, A.; Ntatsi, G.; Kittas, C.; Katsoulas, N.; Savvas, D. Impact of Cultivar and Grafting on Nutrient and Water Uptake by Sweet Pepper (Capsicum annuum L.) Grown Hydroponically Under Mediterranean Climatic Conditions. Front. Plant Sci. 2018, 9, 9. [Google Scholar] [CrossRef]
- Neocleous, D.; Nikolaou, G. Antioxidant Seasonal Changes in Soilless Greenhouse Sweet Peppers. Agronomy 2019, 9, 730. [Google Scholar] [CrossRef]
- Neocleous, D.; Savvas, D. Effect of different macronutrient cation ratios on macronutrient and water uptake by melon (Cucumis melo) grown in recirculating nutrient solution. J. Plant Nutr. Soil Sci. 2015, 178, 320–332. [Google Scholar] [CrossRef]
- Neocleous, D.; Savvas, D. NaCl accumulation and macronutrient uptake by a melon crop in a closed hydroponic system in relation to water uptake. Agric. Water Manag. 2016, 165, 22–32. [Google Scholar] [CrossRef]
- FAO. Good Agricultural Practices for Greenhouse Vegetable Crops; FAO Plant Production and Protection Paper; Food and Agriculture Organization of the United Nations: Rome, Italy, 2013; Volume 217, E-ISBN 978-92-5-107650-7. [Google Scholar]
- Kalra, Y.P. Handbook of Reference Methods for Plant Analysis; CRC Press: Boca Raton, FL, USA, 1998; ISBN 1-57444-124-8. [Google Scholar]
- Estefan, G.; Sommer, R.; Ryan, J. Methods of Soil, Plant and Water Analysis: A Manual for the West Asia and North Africa Region: Third Edition; International Center for Agricultural Research in the Dry Areas: Beirut, Lebanon, 2013; (ICARDA). [Google Scholar]
- Pardossi, A.; Falossi, F.; Malorgio, F.; Incrocci, L.; Bellocchi, G. Empirical Models of Macronutrient Uptake in Melon Plants Grown in Recirculating Nutrient Solution Culture. J. Plant Nutr. 2005, 27, 1261–1280. [Google Scholar] [CrossRef]
- Neocleous, D.; Savvas, D. The effects of phosphorus supply limitation on photosynthesis, biomass production, nutritional quality, and mineral nutrition in lettuce grown in a recirculating nutrient solution. Sci. Hortic. 2019, 252, 379–387. [Google Scholar] [CrossRef]
- Neocleous, D.; Ntatsi, G. Seasonal variations of antioxidants and other agronomic features in soilless production of selected fresh aromatic herbs. Sci. Hortic. 2018, 234, 290–299. [Google Scholar] [CrossRef]
- Sonneveld, C. Composition of Nutrient Solution. In Hydroponic Production of Vegetables and Ornamentals; Savvas, D., Passam, H.C., Eds.; Embryo Publications: Athens, Greece, 2002; pp. 179–210. [Google Scholar]
- Bar-Yosef, B. Fertigation Management and Crops Response to Solution Recycling in Semi-Closed Greenhouses. In Soilless Culture; Elsevier BV: Amsterdam, The Netherlands, 2008; pp. 341–424. [Google Scholar]
- Savvas, D.; Lenz, F. Nährstoffaufnahme von Aubergine (Solanum melongena L.) in Hydrokultur. Gartenbauwissenschaft 1995, 60, 29–33. [Google Scholar]
- Neocleous, D.; Savvas, D. Simulating NaCl accumulation in a closed hydroponic crop of zucchini: Impact on macronutrient uptake, growth, yield, and photosynthesis. J. Plant Nutr. Soil Sci. 2017, 180, 283–293. [Google Scholar] [CrossRef]
- Silber, A.; Bar-Tal, A. Nutrition of Substrate-Grown Plants. In Soilless Culture. Theory and Practice; Raviv, M., Lieth, J.M., Eds.; Elsevier: Amsterdam, The Netherlands, 2008; pp. 291–328. ISBN 978-0-444-52975-6. [Google Scholar]
- Neocleous, D.; Savvas, D. Modelling Ca2+ accumulation in soilless zucchini crops: Physiological and agronomical responses. Agric. Water Manag. 2018, 203, 197–206. [Google Scholar] [CrossRef]
- Savvas, D.; Gizas, G.; Karras, G.; Lydakis-Simantiris, N.; Salahas, G.; Papadimitriou, M.; Tsouka, N. Interactions between Silicon and NaCl-Salinity in a Soilless Culture of Roses in Greenhouse. Europ. J. Hort. Sci. 2007, 72, 73–79. [Google Scholar]
- Gallardo, M.; Thompson, R.B.; Fernández, M.D. Water Requirements and Irrigation Management in Mediterranean Greenhouses: The Case of the Southeast Coast of Spain. In Good Agricultural Practices for Greenhouse Vegetable Crops; Plant Production and Protection Paper 217; FAO: Rome, Italy, 2013; pp. 109–136. [Google Scholar]
- Hatfield, J.L.; Dold, C. Water-Use Efficiency: Advances and Challenges in a Changing Climate. Front. Plant Sci. 2019, 10, 103. [Google Scholar] [CrossRef]
- Korshunova, Y.O.; Eide, D.; Clark, W.G.; Guerinot, M.L.; Pakrasi, H.B. The IRT1 protein from Arabidopsis thaliana is a metal transporter with a broad substrate range. Plant Mol. Biol. 1999, 40, 37–44. [Google Scholar] [CrossRef]




| Period | SR | UV | To | Rho | Ti | Rhi |
|---|---|---|---|---|---|---|
| AW | ||||||
| October | 1375.2 (35.7) | 47.5 (2.51) | 17.5 (0.35) | 63.4 (1.02) | 27.5 (0.10) | 70.4 (0.25) |
| November | 1113.2 (59.46) | 35.2 (1.87) | 14.9 (0.42) | 68.0 (1.96) | 24.2 (0.07) | 72.0 (0.23) |
| December | 1089.9 (40.32) | 34.4 (1.27) | 14.5 (0.27) | 70.5 (1.22) | 21.5 (0.05) | 69.2 (0.30) |
| January | 1075.0 (810) | 32.2 (1.05) | 14.2 (0.34) | 72.8 (1.50) | 21.1 (0.07) | 73.0 (0.35) |
| SS | ||||||
| March | 1639.6 (58.52) | 55.1 (1.96) | 15.8 (0.20) | 73.9 (0.79) | 22.8 (0.06) | 69.6 (0.20) |
| April | 1884.0 (62.90) | 67.1 (2.23) | 18.4 (0.22) | 69.1 (0.77) | 24.4 (0.08) | 67.5 (0.17) |
| May | 2222.9 (61.95) | 80.7 (2.24) | 24.0 (0.22) | 60.2 (0.71) | 25.2 (0.04) | 71.8 (0.15) |
| June | 2156.2 (62.10) | 70.3 (2.02) | 27.1 (0.45) | 62.3 (0.87) | 27.6 (0.06) | 78.5 (0.22) |
| Chelates | N† | P | K | Ca | Mg | Fe | Mn | Zn | Cu | |||||||||
|---|---|---|---|---|---|---|---|---|---|---|---|---|---|---|---|---|---|---|
| SS crop | V | R | V | R | V | R | V | R | V | R | V | R | V | R | V | R | V | R |
| Ct | 12.7d | 11.1 | 0.82a | 0.83a | 5.29 | 5.62 | 2.33 | 1.98 | 0.93 | 0.89 | 13.8c | 11.9a | 5.22c | 5.16 | 4.87 | 4.30 | 0.99 | 1.06 |
| Mn | 12.3ab | 11.2 | 0.85b | 0.86b | 5.32 | 5.54 | 2.20 | 2.01 | 0.97 | 0.90 | 12.4b | 12.1b | 5.15b | 5.15 | 4.79 | 4.36 | 0.93 | 1.05 |
| Zn | 12.2a | 10.7 | 0.81a | 0.82a | 5.30 | 5.56 | 2.15 | 1.97 | 0.91 | 0.88 | 11.7a | 12.2c | 5.07a | 5.18 | 4.92 | 4.42 | 0.99 | 1.03 |
| All | 12.4bc | 11.3 | 0.87c | 0.88c | 5.28 | 5.40 | 2.23 | 2.00 | 0.95 | 0.91 | 14.1c | 12.5d | 5.18bc | 5.16 | 4.86 | 4.35 | 0.98 | 1.06 |
| Significance | * | NS | * | * | NS | NS | NS | NS | NS | NS | * | * | * | NS | NS | NS | NS | NS |
| Mean | 12.4B | 11.1A | 0.84A | 0.85A | 5.30A | 5.55B | 2.21B | 2.00A | 0.94B | 0.89A | 13.0B | 12.2A | 5.15A | 5.16A | 4.86B | 4.35A | 0.97A | 1.05B |
| AW crop | ||||||||||||||||||
| Ct | 12.1 | 10.5b | 1.04 | 0.98 | 5.19b | 5.59 | 2.15 | 1.79 | 0.96a | 0.84a | 13.5 | 12.7 | 5.75 | 5.31 | 4.74 | 4.92 | 0.91 | 0.84ab |
| Mn | 11.9 | 9.51a | 0.99 | 1.00 | 5.05a | 5.49 | 2.11 | 1.73 | 0.95a | 0.85a | 13.3 | 12.5 | 5.64 | 5.35 | 4.63 | 4.88 | 0.88 | 1.33c |
| Zn | 11.9 | 10.0ab | 1.01 | 1.02 | 5.24b | 5.57 | 2.13 | 1.78 | 0.97ab | 0.86ab | 13.3 | 12.6 | 5.71 | 5.32 | 4.68 | 4.98 | 0.79 | 0.82a |
| All | 12.0 | 10.3b | 1.04 | 1.01 | 5.26b | 5.85 | 2.10 | 1.89 | 1.05c | 1.00b | 13.5 | 12.7 | 5.63 | 5.27 | 4.77 | 4.87 | 0.85 | 0.82a |
| Significance | NS | * | NS | NS | * | NS | NS | NS | * | * | NS | NS | NS | NS | NS | NS | NS | * |
| Mean | 12.0B | 10.1A | 1.03A | 1.00A | 5.19A | 5.62B | 2.12B | 1.80A | 0.98B | 0.89A | 13.4B | 12.6A | 5.64B | 5.33A | 4.71A | 4.91B | 0.86A | 0.90A |
| Leaves | Pods | |||||||
|---|---|---|---|---|---|---|---|---|
| Chelates | Fe | Mn | Zn | Cu | Fe | Mn | Zn | Cu |
| SS crop | ||||||||
| Ct | 155d | 68 | 92ab | 5.54 | 62.8b | 21.0 | 48.3ab | 5.55b |
| Mn | 119a | 66 | 102b | 5.60 | 51.8a | 22.3 | 51.8b | 4.96ab |
| Zn | 139bc | 74 | 88a | 5.64 | 61.3ab | 22.0 | 45.0ab | 4.88ab |
| All | 131ab | 72 | 83a | 5.87 | 62.0b | 19.8 | 40.3a | 4.10a |
| Significance | * | NS | * | NS | * | NS | * | * |
| AW crop | ||||||||
| Ct | 214b | 97 | 155ab | 6.80 | 63.3b | 25.3a | 40.8a | 5.03 |
| Mn | 174a | 115 | 168b | 6.55 | 48.3a | 33.5c | 50.3c | 4.82 |
| Zn | 188ab | 107 | 160ab | 6.95 | 59.3b | 26.3a | 41.8ab | 4.50 |
| All | 163a | 95 | 136a | 6.48 | 58.0ab | 27.3ab | 39.5a | 4.21 |
| Significance | * | NS | * | NS | * | * | NS | |
© 2020 by the authors. Licensee MDPI, Basel, Switzerland. This article is an open access article distributed under the terms and conditions of the Creative Commons Attribution (CC BY) license (http://creativecommons.org/licenses/by/4.0/).
Share and Cite
Neocleous, D.; Nikolaou, G.; Ntatsi, G.; Savvas, D. Impact of Chelated or Inorganic Manganese and Zinc Applications in Closed Hydroponic Bean Crops on Growth, Yield, Photosynthesis, and Nutrient Uptake. Agronomy 2020, 10, 881. https://doi.org/10.3390/agronomy10060881
Neocleous D, Nikolaou G, Ntatsi G, Savvas D. Impact of Chelated or Inorganic Manganese and Zinc Applications in Closed Hydroponic Bean Crops on Growth, Yield, Photosynthesis, and Nutrient Uptake. Agronomy. 2020; 10(6):881. https://doi.org/10.3390/agronomy10060881
Chicago/Turabian StyleNeocleous, Damianos, Georgios Nikolaou, Georgia Ntatsi, and Dimitrios Savvas. 2020. "Impact of Chelated or Inorganic Manganese and Zinc Applications in Closed Hydroponic Bean Crops on Growth, Yield, Photosynthesis, and Nutrient Uptake" Agronomy 10, no. 6: 881. https://doi.org/10.3390/agronomy10060881
APA StyleNeocleous, D., Nikolaou, G., Ntatsi, G., & Savvas, D. (2020). Impact of Chelated or Inorganic Manganese and Zinc Applications in Closed Hydroponic Bean Crops on Growth, Yield, Photosynthesis, and Nutrient Uptake. Agronomy, 10(6), 881. https://doi.org/10.3390/agronomy10060881

