Germination Patterns in Seeds Produced in Apical and Basal Fruits of Two Thlaspi arvense Populations
Abstract
1. Introduction
2. Materials and Methods
2.1. Cultural Practices, Site Description
2.2. Germination Study
2.3. Statistical Analysis
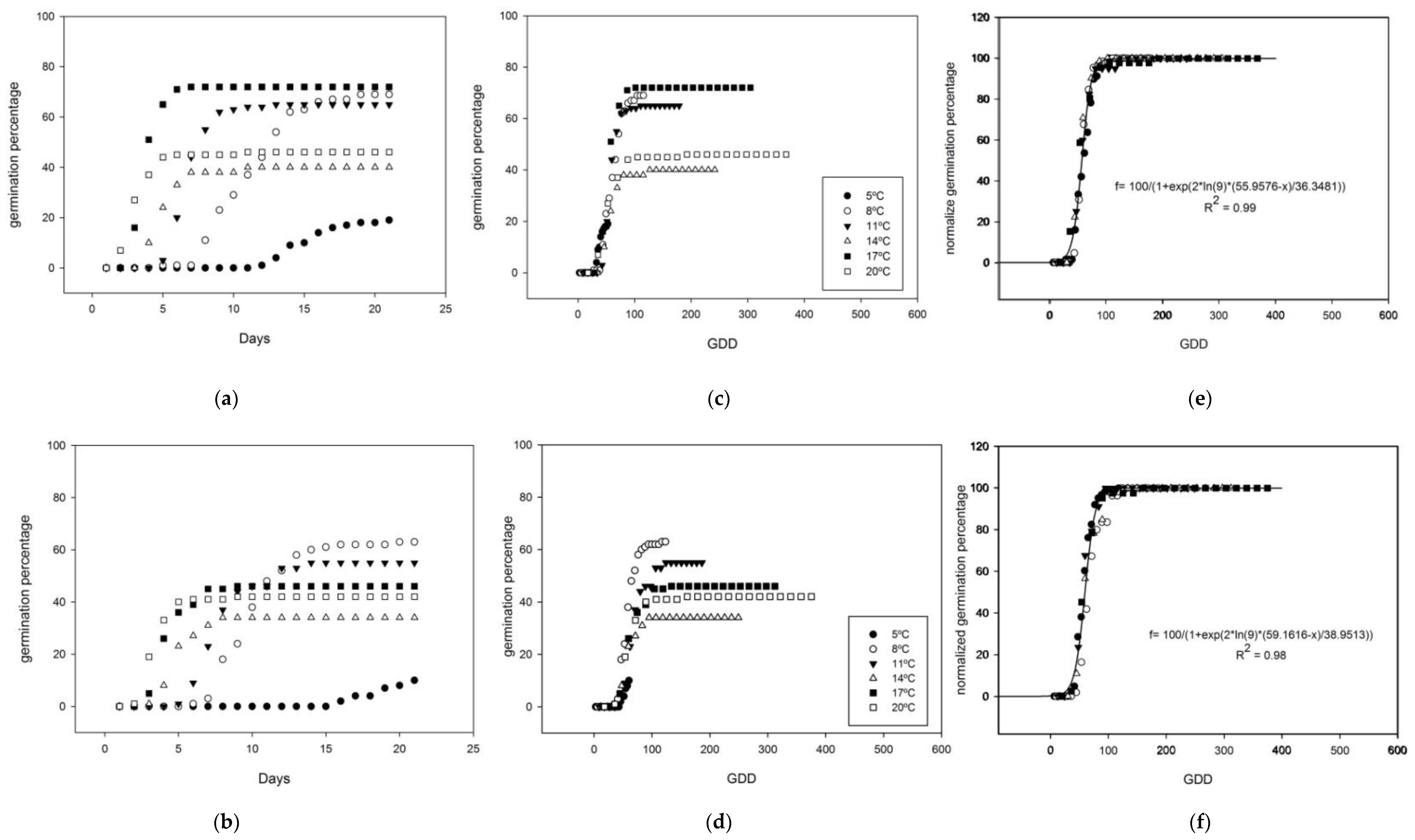
3. Results
3.1. Climate
3.2. Total Germination
3.3. Base Temperatures, Germination Rates, and Modeling
4. Discusion
Author Contributions
Funding
Conflicts of Interest
Abbreviations
References
- Best, K.F.; McIntyre, G.I. The biology of Canadian weeds 9. Thlaspi arvense L. Can. J. Plant Sci. 1975, 55, 279–292. [Google Scholar] [CrossRef]
- Blackshaw, R.E. Control of stinkweed (Thlaspi arvense) and flixweed (Descurainia sophia) in winter wheat (Triticum aestivum). Can. J. Plant Sci. 1990, 70, 817–824. [Google Scholar] [CrossRef]
- Aoki, M.; Asai, M. Emergence and control of naturalized weeds, Camelina microcarpa Andrz. ex DC., Descurainia sophia (L.) Webb ex Prantl, and Thlaspi arvense L., in wheat fields in Nagano Prefecture. J. Weed Sci. Technol. 2016, 61, 139–148. [Google Scholar] [CrossRef][Green Version]
- Sedbrook, J.C.; Phippen, W.B.; Marks, M.D. New approaches to facilitate rapid domestication of a wild plant to an oilseed crop: Example pennycress (Thlaspi arvense). Plant Sci. 2014, 227, 122–132. [Google Scholar] [CrossRef]
- Cirujeda, A.; Aibar, J.; Zaragoza, C. Remarkable changes of weed species in Spanish cereal fields from 1976 to 2007. Agron. Sustain. Dev. 2011, 31, 675–688. [Google Scholar] [CrossRef]
- Zanetti, F.; Monti, A.; Berti, M.T. Challenges and opportunities for new oilseed crops in EU-27: A review. Ind. Crop. Prod. 2013, 50, 580–595. [Google Scholar] [CrossRef]
- Sindelar, A.J.; Schmer, M.R.; Gesch, R.W.; Forcella, F.; Eberle, C.A.; Thom, M.D.; Archer, D.W. Winter oilseed production for biofuel in the US Corn Belt: Opportunities and limitations. GCB Bioenergy 2017, 9, 508–524. [Google Scholar] [CrossRef]
- Walsh, M.E. Potential New Bioenergy and Bioproducts Crops. Sun Grant Bioweb. Available online: http://bioweb.sungrant.org (accessed on 2 December 2019).
- Wortman, S.E. Field pennycress (Thlaspi arvense L.) has potential as an interseed cover crop. Renew. Agric. Food Syst. 2019, 1–5. [Google Scholar] [CrossRef]
- Cubins, J.A.; Wells, M.S.; Frels, K.; Ott, M.A.; Forcella, F.; Johnson, G.; Walia, M.K.; Becker, R.L.; Gesch, R.W. Managemente of pennycress as a winter annual cash cover crop. A review. Agron. Sustain. Dev. 2019, 39, 46. [Google Scholar] [CrossRef]
- Zanetti, F.; Isbell, T.A.; Gesch, R.W.; Evangelista, R.L.; Alexopoulou, E.; Moser, B.; Monti, A. Turning a burden into an opportunity: Pennycress (Thlaspi arvense L.) a new oilseed crop for biofuel production. Biomass Bioenergy 2019, 130, 105354. [Google Scholar] [CrossRef]
- Royo-Esnal, A.; Necajeva, J.; Torra, J.; Recasens, J.; Gesch, R.W. Emergence of field pennycress (Thlaspi arvense L.): Comparison of two accessions and modelling. Ind. Crop. Prod. 2015, 66, 161–169. [Google Scholar] [CrossRef]
- Royo-Esnal, A.; Edo-Tena, E.; Torra, J.; Recasens, J.; Gesch, R.W. Using fitness parameters to evaluate three oilseed Brassicaceae species as potential oil crops in two contrasting environments. Ind. Crop. Prod. 2017, 95, 148–155. [Google Scholar] [CrossRef][Green Version]
- Gardarin, A.; Coste, F.; Wagner, M.H.; Durr, C. How do seed and seedling traits influence germination and emergence parameters in crop species? A comparative analysis. Seed Sci. Res. 2016, 26, 317–331. [Google Scholar] [CrossRef]
- Baskin, C.C.; Baskin, J.M. Seeds; Academic Press: San Diego, CA, USA, 2014; p. 666. [Google Scholar]
- Matthies, D. Plasticity of reproductive components at different stages of development in the annual plant Thlaspi arvense L. Oecologia 1990, 83, 105–116. [Google Scholar] [CrossRef] [PubMed]
- Cernac, A.; Andre, C.; Hoffmann-Benning, S.; Benning, C. WRI1 is required for seed germination and seedling establishment. Plant Physiol. 2006, 141, 745–757. [Google Scholar] [CrossRef] [PubMed]
- Gesch, R.W.; Royo-Esnal, A.; Edo-Tena, E.; Recasens, J.; Isbell, T.; Forcella, F. Growth environment but not seed position on the parent plant affect seed germination of two Thlaspi arvense L. populations. Ind. Crops Prod. 2016, 84, 241–247. [Google Scholar] [CrossRef]
- Menegat, A.; Milberg, P.; Nilsson, A.T.S.; Andersson, L.; Vico, G. Soil water potential and temperature sum during reproductive growth control seed dormancy in Alopecurus myosuroides Huds. Ecol. Evol. 2018, 8, 7186–7194. [Google Scholar] [CrossRef]
- Bradford, K.J. Applications of hydrothermal time to quantifying and modeling seed germination and dormancy. Weed Sci. 2002, 50, 248–260. [Google Scholar] [CrossRef]
- Gesch, R.W.; Archer, D.W. Influence of sowing date on emergence characteristics of maize seed coated with a temperature-activated polymer. Agron. J. 2005, 97, 1543–1550. [Google Scholar] [CrossRef]
- Guillemin, J.P.; Gardarin, A.; Granger, S.; Reibel, C.; Munier-Jolain, N.; Colbach, N. Assessing potential germination period of weeds with base temperatures and base water potentials. Weed Res. 2013, 53, 76–87. [Google Scholar] [CrossRef]
- Braza, R.; García, M.B. Spreading recruitment over time to cope with environmental variability. Plant Ecol. 2011, 212, 283–292. [Google Scholar] [CrossRef]
- Liu, Y.; Dong, H.; Liu, T.; Wang, H.; Wang, R.; Ma, Q.; Zhao, W.; Li, Q. Relationship between seed germination and invasion of Ambrosia artemisiifolia and A. trifida at different positions. Acta Ecol. Sin. 2019, 39, 9079–9088. [Google Scholar]
- Matthews, S.; Khajeh Hosseini, M. Mean germination time as an indicator of emergence performance in soil of seed lots of maize (Zea mays). Seed Sci. Technol. 2006, 34, 339–347. [Google Scholar] [CrossRef]



| Morris, Minnesota USA | Almenar Spain | |||||||
|---|---|---|---|---|---|---|---|---|
| Month | Tm (°C) | GDD (°C d) | P (mm) | Day (h) | Tm (°C) | GDD (°C d) | P (mm) | Day (h) |
| September | 15.5 | 349 | 0 | 12.3 | 19.6 | 479 | 49 | 12.2 |
| October | 7.0 | 112 | 29 | 10.6 | 15.2 | 362 | 92 | 10.8 |
| November | 0.2 | 15 | 16 | 9.3 | 9.2 | 166 | 30 | 9.6 |
| December | −8.3 | 2 | 5 | 8.6 | 5.6 | 73 | 7 | 9.1 |
| January | −10.8 | 0 | 11 | 9.0 | 4.6 | 35 | 31 | 9.4 |
| February | −10.3 | 0 | 0 | 10.1 | 5.4 | 60 | 8 | 10.4 |
| March | −6.8 | 0 | 33 | 11.7 | 9.2 | 169 | 68 | 11.7 |
| April | 1.8 | 38 | 16 | 13.3 | 11.7 | 237 | 78 | 13.1 |
| May | 13.1 | 292 | 61 | 14.7 | 13.0 | 284 | 14 | 14.3 |
| June | 19.3 | 456 | 179 | 15.4 | 19.2 | 469 | 37 | 15.0 |
| July | 24.1 | 177 | 21 | 15.1 | 24.7 | 192 | 5 | 14.7 |
| Total | 1441 | 371 | 2526 | 419 | ||||
| Origin (Population) | Production Site | Apical | Basal | F | p |
|---|---|---|---|---|---|
| Teruel | Almenar (Spain) | 5.3 ± 2.3 | 1.4 ± 0.4 | ||
| Morris | Almenar (Spain) | 5.5 ± 1.3 | 2.8 ± 0.8 | ||
| Teruel | Morris (USA) | 72.3 ± 4.8 | 76.2 ± 5.3 | ||
| Morris | Morris (USA) | 46.3 ± 6.8 | 36.8 ± 7.2 | ||
| Production site (PS) | 21625.652 | 21625.652 | 90.244 | <0.001 ** | |
| Seed origin (SO) | 223.07 | 223.07 | 0.931 | 0.341 | |
| Seed type (ST) | 99.453 | 99.453 | 0.415 | 0.523 | |
| PS × SO | 291.128 | 291.128 | 1.215 | 0.277 | |
| PS × ST | 0.969 | 0.969 | 0.00404 | 0.950 | |
| So × ST | 423.638 | 423.638 | 1.768 | 0.191 | |
| PS × So × ST | 352.526 | 352.526 | 1.471 | 0.232 | |
| Residual | 9345.745 | 239.634 | |||
| Total | 45792.077 | 995.48 |
| Seed Type | b | G50 | R2 |
|---|---|---|---|
| Apical Teruel | 27.1467 ± 1.4485 B | 55.0059 ± 0.3731 B | 0.98 |
| Basal Teruel | 40.9301 ± 2.9071 A | 69.4624 ± 0.7351 A | 0.97 |
| Apical Morris | 36.3481 ± 1.6255 A | 55.9576 ± 0.4223 B | 0.99 |
| Basal Morris | 38.9513 ± 2.1679 A | 59.1616 ± 0.5664 A | 0.98 |
© 2020 by the authors. Licensee MDPI, Basel, Switzerland. This article is an open access article distributed under the terms and conditions of the Creative Commons Attribution (CC BY) license (http://creativecommons.org/licenses/by/4.0/).
Share and Cite
Edo-Tena, E.; Gesch, R.W.; Royo-Esnal, A. Germination Patterns in Seeds Produced in Apical and Basal Fruits of Two Thlaspi arvense Populations. Agronomy 2020, 10, 756. https://doi.org/10.3390/agronomy10050756
Edo-Tena E, Gesch RW, Royo-Esnal A. Germination Patterns in Seeds Produced in Apical and Basal Fruits of Two Thlaspi arvense Populations. Agronomy. 2020; 10(5):756. https://doi.org/10.3390/agronomy10050756
Chicago/Turabian StyleEdo-Tena, Eva, Russ W. Gesch, and Aritz Royo-Esnal. 2020. "Germination Patterns in Seeds Produced in Apical and Basal Fruits of Two Thlaspi arvense Populations" Agronomy 10, no. 5: 756. https://doi.org/10.3390/agronomy10050756
APA StyleEdo-Tena, E., Gesch, R. W., & Royo-Esnal, A. (2020). Germination Patterns in Seeds Produced in Apical and Basal Fruits of Two Thlaspi arvense Populations. Agronomy, 10(5), 756. https://doi.org/10.3390/agronomy10050756

