Slight Shading Stress at Seedling Stage Does not Reduce Lignin Biosynthesis or Affect Lodging Resistance of Soybean Stems
Abstract
1. Introduction
2. Materials and Methods
2.1. Experimental Site and Planting Material
2.2. Treatments and Experimental Details
2.3. Sampling and Measurement
2.3.1. Indicators of Lodging Resistance
2.3.2. Stem Anatomical Structure
2.3.3. Carbohydrates
2.3.4. Lignin and Cellulose Content
2.3.5. Lignin Biosynthesis-Related Enzyme Activity
2.3.6. Gene Expression
2.3.7. Statistical Analysis
3. Results
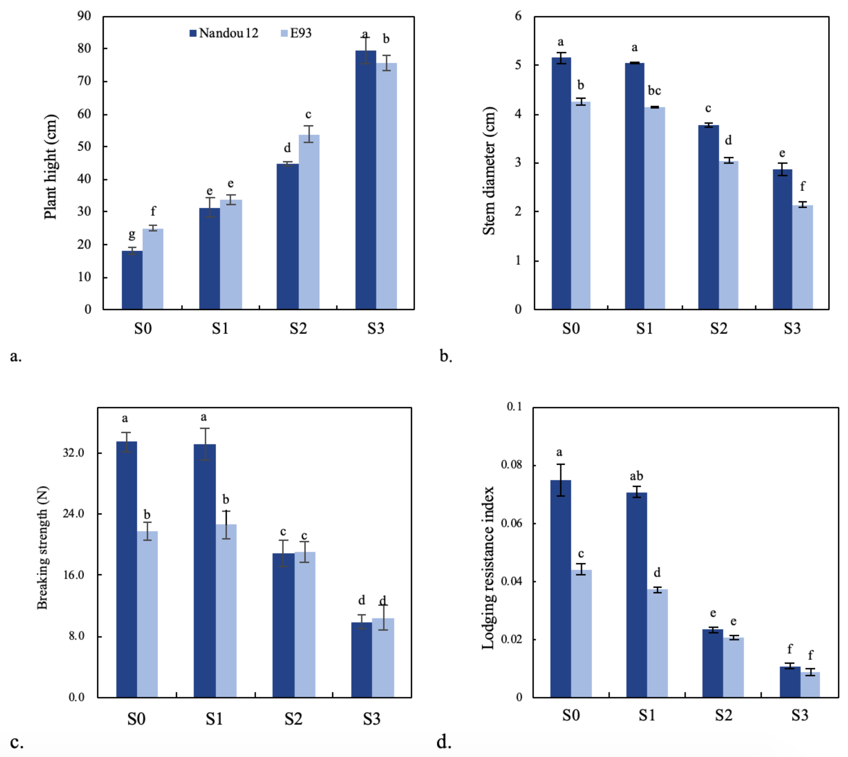
3.1. Effects of Shading Intensity on Phenotypic Indexes of Soybean Stems
3.2. Effects of Shading Intensity on Breaking Strength and Lodging Resistance Index
3.3. Effects of Shading Intensity on the Proportion of Xylem in Soybean Stems
3.4. Effects of Shading Intensity on Non-Structural Carbohydrates in Stem
3.5. Effects of Shading Intensity on Structural Carbohydrates in Stem
3.6. Effects of Shading Intensity on Enzymes Related to Lignin Biosynthesis
3.7. Effects of Shading Intensity on Key Lignin Biosynthetic Genes in Soybean Stems
3.8. Correlation Analysis
4. Discussion
5. Conclusions
Supplementary Materials
Author Contributions
Funding
Acknowledgments
Conflicts of Interest
References
- Yang, Y.X.; Ying, L.X.; Lang, X.Z.; Lei, J.X. Effects of light intensity on leaf microstructure and growth of rape seedlings cultivated under a combination of red and blue LEDs. J. Integr. Agric. 2017, 16, 97–105. [Google Scholar]
- Stinson, H.T.; Moss, D.N. Some Effects of Shade upon Corn Hybrids Tolerant and Intolerant of Dense Planting. Agron. J. 1960, 52, 482–484. [Google Scholar] [CrossRef]
- Su, B.Y.; Song, Y.X.; Song, C.; Cui, L.; Yong, T.W.; Yang, W.Y. Growth and photosynthetic responses of soybean seedlings to maize shading in relay intercropping system in Southwest China. Photosynthetica 2014, 52, 332–340. [Google Scholar] [CrossRef]
- Bentley, J.W.; Boa, E.; Stonehouse, J. Neighbor Trees: Shade, Intercropping, and Cacao in Ecuador. Hum. Ecol. 2004, 32, 241–270. [Google Scholar] [CrossRef]
- Liu, W.G.; Hussain, S.; Liu, T.; Zou, J.L.; Ren, M.L.; Zhou, T.; Liu, J.; Yang, F.; Yang, W.Y. Shade stress decreases stem strength of soybean through restraining lignin biosynthesis. J. Integr. Agric. 2019, 18, 47–57. [Google Scholar] [CrossRef]
- Norberg, O.S.; Mason, S.C.; Lowry, S.R. Ethephon Influence on Harvestable Yield, Grain Quality, and Lodging of Corn. Agron. J. 1988, 80, 768–772. [Google Scholar] [CrossRef]
- Kevers, C.; Prat, R.; Gaspar, T. Vitrification of carnation in vitro: Changes in cell wall mechanical properties, cellulose and lignin content. Plant Growth Regul. 1987, 5, 59–66. [Google Scholar] [CrossRef]
- Goujon, T.; Sibout, R.; Eudes, A.; MacKay, J.; Jouanin, L. Genes involved in the biosynthesis of lignin precursors in Arabidopsis thaliana. Plant Physiol. Biochem. 2003, 41, 677–687. [Google Scholar] [CrossRef]
- Dauwe, R.; Morreel, K.; Goeminne, G.; Gielen, B.; Rohde, A.; Beeumen, J.V.; Ralph, J.; Boudet, A.-M.; Kopka, J.; Rochange, S.F. Molecular phenotyping of lignin-modified tobacco reveals associated changes in cell-wall metabolism, primary metabolism, stress metabolism and photorespiration. Plant J. 2007, 52, 263–285. [Google Scholar] [CrossRef]
- Ookawa, T.; Inoue, K.; Matsuoka, M.; Ebitani, T.; Takarada, T.; Yamamoto, T.; Ueda, T.; Yokoyama, T.; Sugiyama, C.; Nakaba, S. Increased lodging resistance in long-culm, low-lignin gh2 rice for improved feed and bioenergy production. Sci. Rep. 2014, 4, 6567. [Google Scholar] [CrossRef]
- Goujon, T.; Sibout, R.; Pollet, B.; Maba, B.; Jouanin, L. A new Arabidopsis thalianadeficient in the expression of O-methyltransferase impacts lignins and sinapoyl esters. Plant Mol. Biol. 2003, 51, 973–989. [Google Scholar] [CrossRef] [PubMed]
- Nijnik, A.; Clare, S.; Hale, C.; Raisen, C.; Mcintyre, R.E.; Yusa, K.; Everitt, A.R.; Mottram, L.; Podrini, C.; Lucas, M.J.B. The critical role of histone H2A-deubiquitinase Mysm1 in hematopoiesis and lymphocyte differentiation. Blood 2012, 119, 1370. [Google Scholar] [CrossRef] [PubMed]
- Kamran, M.; Cui, W.; Ahmad, I.; Meng, X.; Liu, T. Effect of paclobutrazol, a potential growth regulator on stalk mechanical strength, lignin accumulation and its relation with lodging resistance of maize. Plant Growth Regul. 2018, 85, 171–172. [Google Scholar] [CrossRef]
- Bate, N.J.; Orr, J.; Ni, W.; Meromi, A.; Nadler-Hassar, T.; Doerner, P.W.; Dixon, R.A.; Lamb, C.J.; Elkind, Y. Quantitative relationship between phenylalanine ammonia-lyase levels and phenylpropanoid accumulation in transgenic tobacco identifies a rate-determining step in natural product synthesis. Proc. Natl. Acad. Sci. USA 1994, 91, 7608–7612. [Google Scholar] [CrossRef] [PubMed]
- Lu, H.; Zhao, Y.-L.; Jiang, X.-N. Stable and specific expression of 4-coumarate:coenzyme A ligase gene (4CL1) driven by the xylem-specificPto4CL1promoter in the transgenic tobacco. Biotechnol. Lett. 2004, 26, 1147–1152. [Google Scholar] [CrossRef]
- Liu, W.G.; Ren, M.L.; Liu, T.; Du, Y.L.; Yang, W.Y. Effect of shade stress on lignin biosynthesis in soybean stems. J. Integr. Agric. 2018, 17, 1594–1604. [Google Scholar] [CrossRef]
- Thévenin, J.; Pollet, B.; Letarnec, B.; Saulnier, L.; Gissot, L.; Maia-Grondard, A.; Lapierre, C.; Jouanin, L. The Simultaneous Repression of CCR and CAD, Two Enzymes of the Lignin Biosynthetic Pathway, Results in Sterility and Dwarfism in Arabidopsis thaliana. Mol. Plant Breed. 2011, 4, 70–82. [Google Scholar] [CrossRef]
- Sangha, A.K.; Parks, J.M.; Standaert, R.F.; Ziebell, A.; Davis, M.; Smith, J.C. Radical Coupling Reactions in Lignin Synthesis: A Density Functional Theory Study. J. Phys. Chem. B 2012, 116, 4760–4768. [Google Scholar] [CrossRef]
- Sun, Z.D.; Zhang, Z.P.; Cai, Z.Y.; Zeng, W.Y.; Lai, Z.G.; Chen, H.Z.; Yang, S.Z.; Tang, X.M.; Yanzhu, S.U.; Gai, J.Y. Establishment of an Evaluation System of Shade Tolerance in Soybean and Its Variation in Southern China Germplasm Population. Sci. Agric. Sin. 2017, 50, 729–801. [Google Scholar]
- Lieffers, V.J.; Mugasha, A.G.; Macdonald, S.E. Ecophysiology of shade needles of Picea glauca saplings in relation to removal of competing hardwoods and degree of prior shading. Tree Physiol. 1993, 12, 271–280. [Google Scholar] [CrossRef]
- Downie, B.; Bewley, J.D. Soluble sugar content of white spruce (Picea glauca L.) seeds during and after germination. Physiol. Plant. 2001, 110, 1–12. [Google Scholar] [CrossRef]
- Hymowitz, T.; Collins, F.I.; Panczner, J.; Walker, W.M. Relationship Between the Content of Oil, Protein, and Sugar in Soybean Seed1. Agron. J. 1972, 64, 613–616. [Google Scholar] [CrossRef]
- Shu, K.; Chen, Q.; Wu, Y.; Liu, R.; Zhang, H.; Wang, P.; Li, Y.; Wang, S.; Tang, S.; Liu, C. ABI4 mediates antagonistic effects of abscisic acid and gibberellins at transcript and protein levels. Plant J. 2016, 85, 348–361. [Google Scholar] [CrossRef] [PubMed]
- Schmittgen, T.; Livak, K. Analyzing real-time PCR data by the comparative C(T) method. Nat. Protoc. 2008, 3, 1101–1108. [Google Scholar] [CrossRef]
- Suqin, Y.E. Relationship between Lignin Synthesis and Lodging Resistance at Seedlings Stage in Soybean Intercropping System. Acta Agron. Sin. 2015, 41, 1098–1104. [Google Scholar]
- Ghosh, P.K.; Mohanty, M.; Bandyopadhyay, K.K.; Painuli, D.K.; Misra, A.K. Growth, competition, yields advantage and economics in soybean/pigeonpea intercropping system in semi-arid tropics of India: II. Effect of nutrient management. Field Crop. Res. 2006, 96, 80–89. [Google Scholar] [CrossRef]
- Liu, W.G.; Zou, J.L.; Zhang, J.; Yang, F.; Wan, Y.; Yang, W.Y. Evaluation of Soybean (Glycine max L.) Stem Vining in Maize-Soybean Relay Strip Intercropping System. Proc. Jpn. Acad. 2015, 91, 69–75. [Google Scholar] [CrossRef]
- Zhang, W.; Wu, L.; Ding, Y.; Yao, X.; Wu, X.; Weng, F.; Li, G.; Liu, Z.; Tang, S.; Ding, C. Nitrogen fertilizer application affects lodging resistance by altering secondary cell wall synthesis in japonica rice (Oryza sativa L.). J. Plant Res. 2017, 130, 1–13. [Google Scholar] [CrossRef]
- Li, Y.; Liu, G.; Li, J.; You, Y.; Mao, P. Acid detergent lignin, lodging resistance index, and expression of the caffeic acid O-methyltransferase gene in brown midrib-12 sudangrass. Jpn. J. Breed. 2015, 65, 291–297. [Google Scholar] [CrossRef]
- Schultz, H.R.; Matthews, M.A. Xylem development and hydraulic conductance in sun and shade shoots of grapevine (Vitis vinifera L.): Evidence that low light uncouples water transport capacity from leaf area. Planta 1993, 190, 393–406. [Google Scholar] [CrossRef]
- Zhang, W.; Wu, L.; Wu, X.; Ding, Y.; Li, G.; Li, J.; Weng, F.; Liu, Z.; Tang, S.; Ding, C. Lodging Resistance of Japonica Rice (Oryza Sativa L.): Morphological and Anatomical Traits due to top-Dressing Nitrogen Application Rates. Rice 2016, 9, 31–39. [Google Scholar] [CrossRef] [PubMed]
- Hu, X.Q.; Sun, L.; Luo, S.G.; Liu, Y.Y. Effect of integrated nutrient management on accumulation and distribution of soluble sugar and yield of soybean. J. Northeast Agric. Univ. 2011, 42, 8–12. [Google Scholar]
- Liang, W.; Zhang, Z.; Wen, X.; Liao, Y.; Yang, L. Effect of non-structural carbohydrate accumulation in the stem pre-anthesis on grain filling of wheat inferior grain. Field Crop. Res. 2017, 211, 66–76. [Google Scholar] [CrossRef]
- Xu, C.; Tao, H.; Wang, P.; Wang, Z. Slight shading after anthesis increases photosynthetic productivity and grain yield of winter wheat (Triticum aestivum L,) due to the delaying of leaf senescence. J. Integr. Agric. 2016, 15, 63–75. [Google Scholar] [CrossRef]
- Oswald, A.; Alkämper, J.; Midmore, D.J. The Effect of Different Shade Levels on Growth and Tuber Yield of Sweet Potato: II. Tuber Yield. J. Agron. Crop Sci. 1995, 175, 29–40. [Google Scholar] [CrossRef]
- Ruben, V.; Brecht, D.; Kris, M.; John, R.; Wout, B. Lignin biosynthesis and structure. Plant Physiol. 2010, 153, 895–905. [Google Scholar]
- Hu, D.; Liu, X.B.; She, H.Z.; Gao, Z.; Ruan, R.W. The lignin synthesis related genes and lodging resistance of Fagopyrum esculentum. Biol. Plant. 2016, 61, 1–9. [Google Scholar] [CrossRef]
- Li, Y.; Kajita, S.; Kawai, S.; Katayama, Y.; Morohoshi, N. Down-regulation of an anionic peroxidase in transgenic aspen and its effect on lignin characteristics. J. Plant Res. 2003, 116, 175–182. [Google Scholar] [CrossRef]
- Sibout, R. Cinnamyl Alcohol Dehydrogenase-C and -D Are the Primary Genes Involved in Lignin Biosynthesis in the Floral Stem of Arabidopsis. Plant Cell 2005, 17, 2059–2076. [Google Scholar] [CrossRef]
- Koevoets, I.T.; Venema, J.H.; Elzenga, J.T.M.; Testerink, C. Roots Withstanding their Environment: Exploiting Root System Architecture Responses to Abiotic Stress to Improve Crop Tolerance. Front. Plant Sci. 2016, 7, 1335. [Google Scholar] [CrossRef]
- Gong, W.Z.; Jiang, C.D.; Wu, Y.S.; Chen, H.H.; Liu, W.Y.; Yang, W.Y. Tolerance vs. avoidance: Two strategies of soybean (Glycine max L.) seedlings in response to shade in intercropping. Photosynthetica 2015, 53, 259–268. [Google Scholar]
- Carruthers, K.; Prithiviraj, B.; Fe, Q.; Cloutier, D.; Martin, R.C.; Smith, D.L.J.J.o.A. Intercropping of corn with soybean, lupin and forages: Silage yield and quality. J. Agron. 2010, 185, 177–185. [Google Scholar] [CrossRef]









| Xylem Area (mm2) | Pith Area (mm2) | ||
|---|---|---|---|
| Nandou12 | S0 | 13.493 ± 0.013 a | 5.587 ± 0.008 c |
| S1 | 12.293 ± 0.009 b | 4.681 ± 0.005 b | |
| S2 | 6.389 ± 0.013 e | 4.035 ± 0.007 e | |
| S3 | 3.614 ± 0.005 g | 2.584 ± 0.004 g | |
| E93 | S0 | 10.576 ± 0.020 c | 6.252 ± 0.12 a |
| S1 | 8.457 ± 0.005 d | 5.115 ± 0.008 d | |
| S2 | 4.363 ± 0.019 f | 2.769 ± 0.002 f | |
| S3 | 1.816 ± 0.011 h | 1.599 ± 0.003 h |
| Nnadou12 | E93 | |||||
|---|---|---|---|---|---|---|
| Gene | S1 | S2 | S3 | S1 | S2 | S3 |
| PAL | 1.16 | 0.63 | –0.86 | 1.11 | –0.69 | –1.34 |
| C4H | 1.35 | 0.35 | –0.46 | 1.07 | –1.10 | –1.22 |
| C3H | 1.10 | 1.01 | –1.16 | 0.75 | –0.40 | –1.30 |
| 4CL | 1.05 | 0.55 | –0.92 | 0.79 | 0.27 | –1.75 |
| CCoAOMT | 1.21 | 0.49 | –1.60 | 0.29 | 0.69 | –1.08 |
| COMT | 1.59 | –0.06 | –0.71 | 0.86 | –0.20 | –1.47 |
| CCR | 0.32 | –0.34 | –1.61 | 1.36 | 0.94 | –0.68 |
| CAD | 1.50 | 0.15 | –0.88 | 0.93 | –0.29 | –1.41 |
| LAC | 1.55 | 0.88 | –1.24 | 0.22 | –0.37 | –1.04 |
| LRI | BS | LC | XP | PAL | 4CL | POD | CAD | ||
|---|---|---|---|---|---|---|---|---|---|
| Nandou12 | LRI | 1 | |||||||
| BS | 0.982 ** | 1 | |||||||
| LC | 0.748 * | 0.822 * | 1 | ||||||
| XP | 0.69 | 0.778 * | 0.54 | 1 | |||||
| PAL | 0.803 * | 0.898 * | 0.846 * | 0.904 * | 1 | ||||
| 4CL | 0.726 | 0.827 * | 0.686 | 0.980 ** | 0.967 * | 1 | |||
| POD | 0.988 ** | 0.971 * | 0.814 * | 0.609 | 0.786 * | 0.673 | 1 | ||
| CAD | 0.366 | 0.531 | 0.763 * | 0.687 | 0.832 * | 0.794 | 0.385 | 1 | |
| E93 | LRI | 1 | |||||||
| BS | 0.999 ** | 1 | |||||||
| LC | 0.824 * | 0.820 * | 1 | ||||||
| XP | 0.692 | 0.681 | 0.973 * | 1 | |||||
| PAL | 0.686 | 0.698 | 0.932 * | 0.899 * | 1 | ||||
| 4CL | 0.546 | 0.568 | 0.823 * | 0.788 * | 0.972 * | 1 | |||
| POD | 0.563 | 0.572 | 0.904 * | 0.912 * | 0.982 * | 0.964 * | 1 | ||
| CAD | −0.185 | −0.212 | 0.346 | 0.55 | 0.304 | 0.257 | 0.462 | 1 |
© 2020 by the authors. Licensee MDPI, Basel, Switzerland. This article is an open access article distributed under the terms and conditions of the Creative Commons Attribution (CC BY) license (http://creativecommons.org/licenses/by/4.0/).
Share and Cite
Wen, B.; Zhang, Y.; Hussain, S.; Wang, S.; Zhang, X.; Yang, J.; Xu, M.; Qin, S.; Yang, W.; Liu, W. Slight Shading Stress at Seedling Stage Does not Reduce Lignin Biosynthesis or Affect Lodging Resistance of Soybean Stems. Agronomy 2020, 10, 544. https://doi.org/10.3390/agronomy10040544
Wen B, Zhang Y, Hussain S, Wang S, Zhang X, Yang J, Xu M, Qin S, Yang W, Liu W. Slight Shading Stress at Seedling Stage Does not Reduce Lignin Biosynthesis or Affect Lodging Resistance of Soybean Stems. Agronomy. 2020; 10(4):544. https://doi.org/10.3390/agronomy10040544
Chicago/Turabian StyleWen, Bingxiao, Yi Zhang, Sajad Hussain, Shan Wang, Xiaowen Zhang, Jiayue Yang, Mei Xu, Sisi Qin, Wenyu Yang, and Weiguo Liu. 2020. "Slight Shading Stress at Seedling Stage Does not Reduce Lignin Biosynthesis or Affect Lodging Resistance of Soybean Stems" Agronomy 10, no. 4: 544. https://doi.org/10.3390/agronomy10040544
APA StyleWen, B., Zhang, Y., Hussain, S., Wang, S., Zhang, X., Yang, J., Xu, M., Qin, S., Yang, W., & Liu, W. (2020). Slight Shading Stress at Seedling Stage Does not Reduce Lignin Biosynthesis or Affect Lodging Resistance of Soybean Stems. Agronomy, 10(4), 544. https://doi.org/10.3390/agronomy10040544

