Nitrogen Availability in Biochar-Amended Soils with Excessive Compost Application
Abstract
1. Introduction
2. Materials and Methods
2.1. Soils, Biochar, and Compost
2.2. Incubation Experiment
2.3. Statistical Analysis
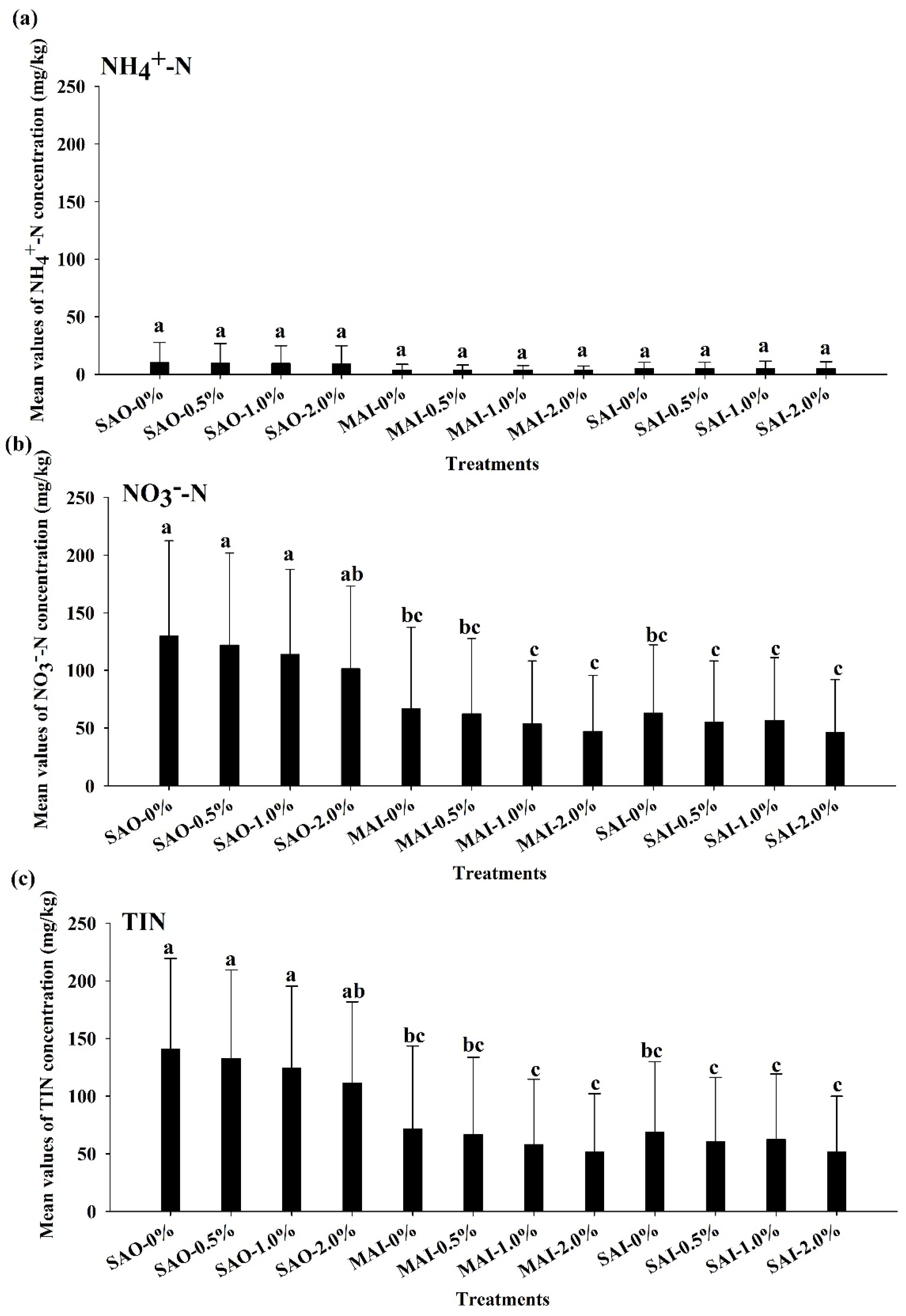
3. Results and Discussion
3.1. Available NH4+-N in the Soils
3.2. Available NO3−-N in the Soils
4. Conclusions
Author Contributions
Funding
Acknowledgments
Conflicts of Interest
References
- Oldfield, T.L.; Sikirica, N.; Mondini, C.; López, G.; Kuikman, P.J.; Holden, N.M. Biochar, compost and biochar- compost blend as options to recover nutrients and sequester carbon. J. Environ. Manag. 2018, 218, 465–476. [Google Scholar] [CrossRef]
- Trupiano, D.; Cocozza, C.; Baronti, S.; Ame ndola, C.; Vaccari, F.P.; Lustrato, G.; Di Lonardo, S.; Fantasma, F.; Togne tti, R.; Scippa, G.S. The effects of biochar and its combination with compost on lettuce (Lactuca sativa L.) growth, soil properties, and soil microbial activity and abundance. Int. J. Agron. 2017, 2017, 3158207. [Google Scholar] [CrossRef]
- Lal, R. Sequestering carbon and increasing productivity by conservation agriculture. J. Soil Water Conserv. 2015, 70, 55A–62A. [Google Scholar] [CrossRef]
- Zebarth, B.J.; Drury, C.F.; Tremblay, N.; Cambouris, A.N. Opportunities for improved fertilizer nitrogen management in production of arable crops in eastern Canada: A review. Can. J. Soil Sci. 2009, 89, 113–132. [Google Scholar] [CrossRef]
- Yun, S.I.; Ro, H.M.; Choi, W.J.; Chang, S.X. Interactive effects of N fertilizer source and timing of fertilization leave specific N isotope signatures in Chinese cabbage and soil. Soil Biol. Biochem. 2006, 38, 1682–1689. [Google Scholar] [CrossRef]
- Yun, S.I.; Ro, H.M. Natural 15N abundance of plant and soil inorganic-N as evidence for over-fertilization with compost. Soil Biol. Biochem. 2009, 41, 1541–1547. [Google Scholar] [CrossRef]
- Lee, J.S.; Chang, K.W.; Cho, S.H.; Oh, J.G. Effect of compost application on radish quality and changes of soil physico-chemical properties in organic farming. Korean J. Soil. Sci. Fert. 1996, 29, 145–149. [Google Scholar]
- Dempster, D.N.; Gleeson, D.B.; Solaiman, Z.M.; Jones, D.L.; Murphy, D.V. Decreased soil microbial biomass and nitrogen mineralisation with Eucalyptus biochar addition to a coarse textured soil. Plant Soil 2012, 354, 311–324. [Google Scholar] [CrossRef]
- Mirabella, N.; Castellani, V.; Sala, S. Current options for the valorization of food manufacturing waste: A review. J. Clean. Prod. 2014, 65, 28–41. [Google Scholar] [CrossRef]
- Liu, J.; Schulz, H.; Brandl, S.; Miehtke, H.; Huwe, B.; Glaser, B. Short-term effect of biochar and compost on soil fertility and water status of a Dystric Cambisol in NE Germany under field conditions. J. Plant Nutr. Soil Sci. 2012, 175, 698–707. [Google Scholar] [CrossRef]
- Agegnehu, G.; Bird, M.; Nelson, P.; Bass, A. The ameliorating effects of biochar and compost on soil quality and plant growth on a Ferralsol. Soil Res. 2015, 53, 1–12. [Google Scholar] [CrossRef]
- Agegnehu, G.; Srivastava, A.K.; Bird, M.I. The role of biochar and biochar-compost in improving soil quality and crop performance: A review. Appl. Soil Ecol. 2017, 119, 156–170. [Google Scholar] [CrossRef]
- Chan, K.Y.; Van Zwieten, L.; Meszaros, I.; Downie, A.; Joseph, S. Agronomic values of greenwaste biochar as a soil amendment. Aust. J. Soil Res. 2007, 45, 629–634. [Google Scholar] [CrossRef]
- Kammann, C.I.; Linsel, S.; Gobling, J.W.; Koyro, H. Influence of biochar on drought tolerance of Chenopodium quinoa Willd and on soil-plant relations. Plant Soil 2011, 345, 195–210. [Google Scholar] [CrossRef]
- Kameyama, K.; Miyamoto, T.; Shiono, T.; Shinogi, Y. Influence of sugarcane bagasse-derived biochar application on nitrate leaching in calcaric dark red soil. J. Environ. Qual. 2012, 41, 1131–1137. [Google Scholar] [CrossRef]
- Lentz, R.D.; Ippolito, J.A.; Spokas, K.A. Biochar and manure effects on net nitrogen mineralization and greenhouse gas emissions from calcareous soil under corn. Soil Sci. Am. J. 2014, 78, 1641–1655. [Google Scholar] [CrossRef]
- Ippolito, J.A.; Stromberger, M.E.; Lentz, R.D.; Dungan, R.S. Hardwood biochar and manure co-application to a calcareous soil. Chemosphere 2016, 142, 84–91. [Google Scholar] [CrossRef]
- Manirakiza, E.; Ziadi, N.; St.Luce, M.; Hamel, C.; Antoun, H.; Karama, A. Nitrogen mineralization and microbial biomass carbon and nitrogen in response to co-application of biochar and paper mill biosolids. Appl. Soil Ecol. 2019, 142, 90–98. [Google Scholar] [CrossRef]
- Tsai, C.C.; Chang, Y.F. Carbon dynamics and fertility in biochar-amended soils with excessive compost application. Agronomy 2019, 9, 511. [Google Scholar] [CrossRef]
- Tsai, C.C.; Chang, Y.F.; Hwang, G.S.; Hseu, Z.Y. Impact of wood biochar addition on nutrient leaching and fertility in a rural Ultisols of Taiwan. Taiwan. J. Agric. Chem. Food Sci. 2013, 51, 80–93. [Google Scholar]
- Tsai, C.C.; Chang, Y.F. Viability of biochar on reducing C mineralization and improving nutrients status in a compost-treated Oxisols. Taiwan. J. Agric. Chem. Food Sci. 2016, 54, 74–89. [Google Scholar]
- Mulvaney, R.L. Nitrogen-inorganic forms. In Methods of Soil Analysis, Part 3 Chemical Method, 5.3, 1st ed.; Book Series No.5; Sparks, D.L., Page, A.L., Helmke, P.A., Loeppert, R.H., Soltanpour, P.N., Tabatabai, M.A., Johnston, C.T., Sumner, M.E., Eds.; Soil Science Society of America: Madison, WI, USA, 1996; pp. 1123–1185. [Google Scholar]
- Hailegnaw, N.S.; Mercl, F.; Pračke, K.; Száková, J.; Tlustoš, P. High temperature-produced biochar can be efficient in nitrate loss prevention and carbon sequestration. Geoderma 2019, 338, 48–55. [Google Scholar] [CrossRef]
- Dou, Z.X.; Toth, J.D.; Jabro, J.D.; Fox, R.H.; Fritton, D.D. Soil nitrogen mineralization during laboratory incubation: Dynamics and model fitting. Soil Biol. Biochem. 1996, 28, 625–632. [Google Scholar] [CrossRef]
- Lentz, R.D.; Ippolito, J.A. Biochar and manure affects calcareous soil and corn silage nutrient concentrations and uptake. J. Environ. Qual. 2012, 41, 1033–1043. [Google Scholar] [CrossRef]
- Clough, T.J.; Condron, L.M.; Kammann, C.; Müller, C. A review of biochar and soil nitrogen dynamics. Agronom 2013, 3, 275–293. [Google Scholar] [CrossRef]
- Gai, X.; Wang, H.; Liu, J.; Zhai, L.; Liu, S.; Ren, T.; Liu, H. Effects of feedstock and pyrolysis temperature on biochar adsorption of ammonium and nitrate. PLoS ONE 2014, 9, e113888. [Google Scholar] [CrossRef]
- Luo, X.X.; Chen, L.; Zheng, H.; Chang, J.J.; Wang, H.F.; Wang, Z.Y.; Xing, B.S. Biochar addition reduced net N mineralization of a coastal wetland soil in the Yellow River Delta, China. Geoderma 2016, 282, 120–128. [Google Scholar] [CrossRef]
- Jones, D.L.; Rousk, J.; Edwards-Jones, G.; Deluca, T.H.; Murphy, D.V. Biochar-mediated changes in soil quality and plant growth in a three year field trial. Soil Biol. Biochem. 2012, 45, 113–124. [Google Scholar] [CrossRef]
- Nguyen, T.T.N.; Xu, C.-Y.; Tahmasbian, I.; Che, R.; Xu, Z.; Zhou, X.; Wallace, H.M.; Bai, S.H. Effects of biochar on soil available inorganic nitrogen: A review and meta-analysis. Geoderma 2017, 288, 79–96. [Google Scholar] [CrossRef]
- Kameyama, K.; Miyamoto, T.; Iwata, Y.; Shiono, T. Influences of feedstock and pyrolysis temperature on the nitrate adsorption of biochar. Soil Sci. Plant Nutr. 2016, 62, 180–184. [Google Scholar] [CrossRef]
- Yao, Y.; Gao, B.; Zhang, M.; Inyang, M.; Zimmerman, A.R. Effect of biochar amendment on sorption and leaching of nitrate, ammonium, and phosphate in a sandy soil. Chemosphere 2012, 89, 1467–1471. [Google Scholar] [CrossRef] [PubMed]
- Hagemann, N.; Kammann, C.I.; Schmidt, H.-P.; Kappler, A.; Behrens, S. Nitrate capture and slow release in biochar amended compost and soil. PLoS ONE 2017, 12, e0171214. [Google Scholar] [CrossRef] [PubMed]
- Li, S.L.; Liang, C.T.; Shangguan, Z.P. Effects of apple branch biochar on soil C mineralization and nutrient cycling under two levels of N. Sci. Total Environ. 2017, 607, 109–119. [Google Scholar] [CrossRef] [PubMed]
- Šimanský, V.; Horák, J.; Igaz, D.; Balashov, E.; Jonczak, J. Biochar and biochar with N fertilizer as a potential tool for improving soil sorption of nutrients. J. Soils Sedi. 2018, 18, 1432–1440. [Google Scholar] [CrossRef]




| Biochar | Compost | Pc Soil | Eh Soil | An Soil | |
|---|---|---|---|---|---|
| (SAO) | (MAI) | (SAI) | |||
| pH | 9.91 | 8.41 | 6.1/5.03 | 7.5/7.23 | 6.5/6.23 |
| EC (dS/m) | 0.771/1.362 | 3.791 | 0.45 | 2.21 | 0.81 |
| Sand (%) | -- | -- | 11 | 24 | 33 |
| Silt (%) | -- | -- | 30 | 36 | 33 |
| Clay (%) | -- | -- | 59 | 39 | 34 |
| Soil Texture | -- | -- | Clay | Clay loam | Clay loam |
| Total C (%) | 81.1 | 23.3 | 2.03 | 1.11 (0.81)4 | 0.94 |
| Total N (g/kg) | 8.36 | 22.6 | 2.71 | 2.32 | 1.58 |
| Total P (g/kg) | 0.55 | 10.2 | 1.16 | 0.98 | 0.77 |
| Ex. K (cmol(+)/kg soil) | 1.91 | -- | 0.32 | 0.29 | 0.21 |
| Ex. Na (cmol(+)/kg soil) | 1.26 | -- | 0.31 | 0.26 | 0.37 |
| Ex. Ca (cmol(+)/kg soil) | 3.62 | -- | 4.85 | 2.94 | 2.24 |
| Ex. Mg (cmol(+)/kg soil) | 0.40 | -- | 0.64 | 0.80 | 0.36 |
| CEC (cmol(+)/kg soil) | 5.20 | -- | 8.58 | 11.5 | 14.2 |
| BS6 (%) | 138 | -- | 71 | 37 | 22 |
| M37-P (mg/kg) | 96.6 | 6874 | 163 | 236 | 94.0 |
| M3-K (mg/kg) | 616 | 8911 | 68.4 | 108 | 94.1 |
| M3-Ca (g/kg) | 4.09 | 14.5 | 2.03 | 8.22 | 2.99 |
| M3-Mg (mg/kg) | 278 | 3972 | 143 | 344 | 401 |
| M3-Fe (mg/kg) | 65.5 | 396 | 524 | 589 | 1199 |
| M3-Mn (mg/kg) | 20.9 | 188 | 29.0 | 213 | 185 |
| M3-Cu (mg/kg) | 0.02 | 6.22 | 9.77 | 9.95 | 3.17 |
| M3-Pb (mg/kg) | ND5 | 1.23 | 10.8 | 11.7 | 1.54 |
| M3-Zn (mg/kg) | 0.35 | 62.4 | 20.4 | 7.98 | 5.28 |
| Source of Variation | df1 | NH4+-N | NO3−-N | TIN |
|---|---|---|---|---|
| Between subject effect | ||||
| Soil | 2 | * | * | * |
| Rate | 3 | 0.17 | * | * |
| Soil×Rate | 6 | 0.29 | * | * |
| Within subject effect | ||||
| Time | 21 | * | * | * |
| Time×Soil | 42 | * | * | * |
| Time×Rate | 63 | * | * | * |
| Time×Soil×Rate | 126 | * | * | * |
| Treats | 1d | 3d | 7d | 14d | 21d | 28d | 35d | 42d | 49d | 56d | 63d | |||||||||||
| SAO-0 | 34.3 | a1 | 77.6 | a | 33.3 | a | 6.78 | ab | 5.78 | a | 0.94 | ab | 3.28 | bcd | 4.32 | bc | 3.40 | ab | 6.20 | a | 5.20 | ab |
| SAO-0.5 | 33.7 | a | 75.9 | a | 31.0 | a | 6.08 | abcd | 6.12 | a | 1.68 | ab | 4.52 | b | 2.84 | cd | 3.00 | abc | 5.00 | ab | 3.80 | bcd |
| SAO-1 | 30.1 | b | 68.9 | b | 30.6 | a | 7.28 | a | 5.26 | ab | 0.34 | b | 2.46 | bcd | 2.76 | cd | 4.20 | a | 5.00 | ab | 4.60 | abc |
| SAO-2 | 28.2 | bc | 71.0 | b | 29.1 | a | 6.18 | abc | 3.84 | c | 1.60 | ab | 4.18 | b | 2.22 | d | 4.40 | a | 4.00 | bcd | 2.60 | de |
| MAI-0 | 25.0 | cde | 0.10 | f | 0.00 | b | 3.82 | ef | 6.14 | a | 1.96 | ab | 3.72 | bc | 4.28 | bc | 0.00 | e | 0.60 | f | 4.00 | bcd |
| MAI-0.5 | 22.6 | def | 0.06 | f | 0.00 | b | 4.41 | cdef | 4.38 | bc | 0.16 | b | 1.10 | d | 6.08 | a | 0.00 | e | 1.76 | ef | 3.91 | bcd |
| MAI-1 | 19.6 | fg | 0.94 | f | 0.16 | b | 4.30 | def | 3.82 | c | 0.16 | b | 0.94 | d | 5.46 | ab | 0.00 | e | 3.40 | bcde | 5.80 | a |
| MAI-2 | 18.9 | g | 1.44 | f | 1.12 | b | 6.82 | ab | 3.26 | c | 0.08 | b | 0.96 | d | 3.26 | cd | 0.80 | de | 4.40 | abc | 4.00 | bcd |
| SAI-0 | 21.9 | efg | 21.3 | cd | 4.26 | b | 4.38 | cdef | 1.06 | d | 3.60 | a | 4.42 | b | 0.00 | e | 2.00 | bcd | 2.20 | def | 3.00 | cde |
| SAI-0.5 | 25.4 | cd | 17.5 | e | 1.64 | b | 5.38 | bcde | 0.88 | d | 1.40 | ab | 6.94 | a | 0.00 | e | 2.20 | bcd | 2.80 | cde | 3.40 | cd |
| SAI-1 | 25.7 | cd | 21.6 | c | 3.70 | b | 3.16 | fg | 0.16 | d | 3.72 | a | 3.86 | bc | 0.16 | e | 1.00 | de | 3.00 | bcde | 1.60 | e |
| SAI-2 | 27.5 | bc | 17.9 | de | 5.14 | b | 2.04 | g | 0.00 | d | 3.54 | a | 1.54 | cd | 0.00 | e | 1.60 | cde | 4.40 | abc | 2.60 | de |
| Treats | 77d | 91d | 105d | 119d | 133d | 161d | 189d | 217d | 245d | 308d | 371d | |||||||||||
| SAO-0 | 5.20 | a | 2.20 | cd | 4.80 | ab | 3.20 | a | 2.60 | b | 2.00 | bc | 2.80 | b | 4.60 | a | 5.40 | a | 6.40 | a | 5.20 | b |
| SAO-0.5 | 3.00 | bcd | 3.00 | bc | 6.00 | a | 4.40 | a | 2.20 | b | 3.40 | a | 3.40 | b | 4.60 | a | 4.20 | b | 6.20 | a | 7.00 | ab |
| SAO-1 | 3.60 | bcd | 4.40 | ab | 4.80 | ab | 4.00 | a | 3.20 | b | 3.40 | a | 5.60 | a | 3.20 | ab | 4.00 | bc | 5.60 | abcd | 6.40 | ab |
| SAO-2 | 3.80 | abc | 3.00 | bc | 5.80 | a | 4.00 | a | 3.00 | b | 2.60 | ab | 5.00 | a | 3.20 | ab | 3.80 | bc | 6.40 | a | 8.00 | a |
| MAI-0 | 2.60 | cd | 0.80 | de | 3.40 | bc | 2.60 | a | 5.40 | a | 1.00 | cd | 2.60 | b | 3.60 | ab | 3.80 | bc | 4.60 | de | 3.20 | c |
| MAI-0.5 | 2.13 | d | 0.40 | e | 3.54 | bc | 3.55 | a | 5.93 | a | 1.01 | cd | 3.14 | b | 3.72 | ab | 3.38 | bc | 3.77 | e | 3.00 | c |
| MAI-1 | 3.40 | bcd | 1.20 | de | 3.60 | bc | 4.00 | a | 5.20 | a | 1.20 | cd | 3.60 | b | 4.60 | a | 3.80 | bc | 4.60 | de | 2.00 | c |
| MAI-2 | 3.40 | bcd | 0.20 | e | 2.80 | c | 3.40 | a | 5.00 | a | 0.40 | d | 3.20 | b | 3.60 | ab | 3.40 | bc | 5.80 | abc | 2.60 | c |
| SAI-0 | 3.20 | bcd | 3.00 | bc | 5.00 | ab | 4.00 | a | 2.40 | b | 2.00 | bc | 5.40 | a | 2.60 | b | 4.00 | bc | 6.00 | ab | 5.80 | b |
| SAI-0.5 | 3.00 | bcd | 3.20 | bc | 2.60 | c | 3.60 | a | 2.80 | b | 2.80 | ab | 4.80 | a | 2.80 | b | 3.60 | bc | 4.80 | cde | 6.80 | ab |
| SAI-1 | 3.40 | bcd | 5.00 | a | 4.80 | ab | 4.20 | a | 2.40 | b | 3.40 | a | 4.80 | a | 3.60 | ab | 3.60 | bc | 5.00 | bcd | 8.00 | a |
| SAI-2 | 4.20 | ab | 4.00 | ab | 2.80 | c | 3.80 | a | 3.20 | b | 2.00 | bc | 5.20 | a | 3.00 | b | 3.00 | c | 4.60 | de | 5.80 | b |
| Treats | 1d | 3d | 7d | 14d | 21d | 28d | 35d | 42d | 49d | 56d | 63d | |||||||||||
| SAO-0 | 7.74 | abc1 | 22.4 | cd | 71.9 | ab | 89.3 | a | 82.8 | a | 59.3 | a | 47.6 | a | 59.8 | a | 67.4 | a | 86.0 | a | 95.2 | a |
| SAO-0.5 | 8.60 | abc | 22.4 | cd | 74.8 | ab | 79.9 | ab | 65.0 | b | 51.6 | b | 45.8 | a | 45.1 | b | 57.0 | b | 79.4 | b | 95.6 | a |
| SAO-1 | 10.9 | a | 20.1 | d | 76.5 | a | 88.0 | a | 64.8 | b | 45.0 | c | 31.5 | b | 39.3 | b | 57.2 | b | 74.2 | b | 85.4 | b |
| SAO-2 | 6.08 | bc | 19.1 | d | 67.1 | abc | 78.3 | b | 57.9 | b | 33.4 | d | 30.3 | b | 25.3 | c | 39.8 | c | 53.4 | c | 70.0 | c |
| MAI-0 | 9.82 | ab | 33.4 | bc | 63.8 | abc | 46.2 | e | 18.3 | e | 8.50 | fg | 5.84 | cd | 2.42 | d | 4.80 | de | 3.60 | e | 15.8 | d |
| MAI-0.5 | 6.53 | bc | 39.7 | ab | 51.4 | cde | 45.8 | e | 27.9 | de | 3.40 | g | 3.14 | cd | 3.06 | d | 3.77 | de | 3.72 | e | 14.8 | d |
| MAI-1 | 5.48 | c | 45.7 | a | 52.0 | cde | 36.1 | f | 23.1 | e | 5.10 | fg | 2.72 | cd | 2.20 | d | 2.80 | e | 5.40 | de | 12.2 | d |
| MAI-2 | 7.70 | abc | 41.3 | ab | 47.0 | de | 41.2 | ef | 24.2 | e | 4.50 | fg | 2.66 | cd | 2.24 | d | 2.80 | e | 7.00 | de | 8.60 | d |
| SAI-0 | 7.74 | abc | 31.6 | bc | 64.8 | abc | 65.0 | c | 38.9 | c | 8.92 | efg | 6.26 | c | 1.90 | d | 4.80 | de | 3.40 | e | 16.0 | d |
| SAI-0.5 | 10.0 | ab | 33.2 | bc | 37.9 | e | 58.3 | cd | 27.0 | de | 10.7 | ef | 2.08 | cd | 2.24 | d | 4.00 | de | 9.80 | d | 10.6 | d |
| SAI-1 | 8.22 | abc | 29.8 | bcd | 58.1 | bcd | 57.3 | cd | 36.7 | cd | 15.1 | e | 3.76 | cd | 2.22 | d | 7.40 | d | 8.40 | de | 9.40 | d |
| SAI-2 | 6.94 | bc | 33.3 | bc | 41.1 | e | 49.5 | de | 21.4 | e | 7.30 | fg | 1.40 | d | 1.56 | d | 6.00 | de | 11.2 | d | 8.00 | d |
| Treats | 77d | 91d | 105d | 119d | 133d | 161d | 189d | 217d | 245d | 308d | 371d | |||||||||||
| SAO-0 | 107 | a | 138 | a | 154 | a | 155 | a | 172 | a | 179 | b | 233 | a | 242 | a | 204 | a | 273 | a | 308 | a |
| SAO-0.5 | 98.6 | ab | 131 | ab | 150 | ab | 154 | a | 165 | a | 197 | a | 226 | ab | 197 | bc | 176 | ab | 268 | a | 295 | ab |
| SAO-1 | 94.2 | bc | 122 | b | 137 | b | 145 | a | 161 | ab | 175 | b | 211 | b | 214 | ab | 147 | b | 227 | b | 277 | bc |
| SAO-2 | 85.8 | c | 105 | c | 120 | c | 107 | b | 151 | b | 161 | c | 194 | c | 174 | c | 160 | b | 223 | b | 268 | cd |
| MAI-0 | 19.4 | de | 42.0 | de | 67.0 | d | 71.0 | c | 93.8 | c | 122 | d | 147 | d | 122 | de | 105 | c | 214 | bc | 257 | cd |
| MAI-0.5 | 20.1 | de | 38.6 | def | 53.4 | de | 63.2 | c | 88.9 | cd | 106 | e | 141 | de | 133 | d | 94.7 | cd | 181 | cd | 246 | d |
| MAI-1 | 17.6 | de | 34.0 | ef | 45.8 | ef | 49.4 | cd | 78.6 | d | 89.4 | f | 128 | ef | 106 | def | 88.6 | cd | 138 | de | 210 | ef |
| MAI-2 | 14.2 | e | 26.6 | ef | 31.6 | f | 46.8 | cd | 63.2 | e | 66.4 | g | 117 | f | 102 | def | 72.6 | d | 114 | e | 192 | ef |
| SAI-0 | 27.2 | de | 54.6 | d | 57.0 | de | 51.2 | cd | 89.2 | cd | 116 | de | 148 | d | 114 | def | 96.0 | cd | 163 | d | 219 | e |
| SAI-0.5 | 15.6 | de | 42.4 | de | 69.2 | d | 53.8 | cd | 76.6 | de | 114 | de | 120 | f | 98.4 | def | 86.0 | cd | 107 | e | 218 | e |
| SAI-1 | 27.8 | d | 40.4 | def | 57.2 | de | 35.0 | d | 75.2 | de | 106 | e | 127 | ef | 88.2 | ef | 77.6 | cd | 161 | d | 210 | ef |
| SAI-2 | 19.2 | de | 25.4 | f | 32.2 | f | 46.4 | cd | 63.2 | e | 85.6 | f | 113 | f | 79.6 | f | 68.8 | d | 106 | e | 185 | f |
| Treats | 1d | 3d | 7d | 14d | 21d | 28d | 35d | 42d | 49d | 56d | 63d | |||||||||||
| SAO-0 | 42.1 | a1 | 100 | a | 105 | a | 96.1 | a | 88.6 | a | 60.3 | a | 50.9 | a | 64.1 | a | 70.6 | a | 92.6 | a | 100 | a |
| SAO-0.5 | 42.3 | a | 98.3 | ab | 106 | a | 86.0 | bc | 71.1 | b | 53.3 | b | 50.3 | a | 47.9 | b | 60.2 | b | 84.2 | b | 99.4 | a |
| SAO-1 | 41.0 | a | 88.9 | b | 107 | a | 95.3 | ab | 70.0 | b | 45.4 | c | 34.0 | b | 42.1 | b | 61.4 | b | 79.6 | b | 90.2 | b |
| SAO-2 | 34.3 | bcd | 90.1 | ab | 96.2 | a | 84.5 | c | 61.7 | b | 35.1 | d | 34.5 | b | 27.5 | c | 44.4 | c | 57.6 | c | 72.8 | c |
| MAI-0 | 34.9 | bc | 33.5 | e | 63.8 | bc | 50.1 | fg | 24.4 | ef | 10.4 | fg | 9.58 | c | 6.70 | d | 4.80 | def | 4.40 | g | 19.8 | d |
| MAI-0.5 | 29.1 | de | 39.7 | de | 51.3 | cde | 50.3 | fg | 32.2 | cde | 3.60 | g | 4.18 | de | 9.06 | d | 3.80 | ef | 5.60 | fg | 18.8 | d |
| MAI-1 | 25.0 | e | 46.6 | cd | 52.1 | cde | 40.4 | g | 26.9 | def | 5.24 | fg | 3.68 | e | 7.68 | d | 3.00 | f | 8.40 | efg | 17.6 | d |
| MAI-2 | 26.5 | e | 42.7 | cde | 48.1 | de | 48.0 | fg | 27.5 | def | 4.58 | g | 3.62 | e | 5.52 | d | 3.40 | f | 11.6 | def | 12.8 | d |
| SAI-0 | 29.7 | cde | 53.0 | c | 69.0 | b | 69.4 | d | 40.0 | c | 12.5 | ef | 10.7 | c | 1.90 | d | 6.80 | def | 5.40 | fg | 19.4 | d |
| SAI-0.5 | 35.4 | b | 50.7 | c | 39.6 | e | 63.7 | e | 27.9 | def | 12.1 | ef | 9.02 | cd | 2.24 | d | 6.40 | def | 12.6 | de | 14.2 | d |
| SAI-1 | 34.0 | bcd | 51.5 | c | 61.8 | bcd | 60.6 | de | 36.8 | cd | 18.8 | e | 7.62 | cde | 2.40 | d | 8.40 | d | 11.0 | defg | 11.0 | d |
| SAI-2 | 34.5 | bcd | 51.2 | c | 46.3 | de | 51.5 | ef | 21.4 | f | 10.8 | fg | 2.94 | e | 1.56 | d | 7.80 | de | 15.8 | d | 10.6 | d |
| Treats | 77d | 91d | 105d | 119d | 133d | 161d | 189d | 217d | 245d | 308d | 371d | |||||||||||
| SAO-0 | 112 | a | 140 | a | 159 | a | 158 | a | 175 | a | 181 | b | 235 | a | 246 | a | 209 | a | 279 | a | 329 | a |
| SAO-0.5 | 102 | ab | 134 | a | 156 | ab | 158 | a | 167 | ab | 200 | a | 229 | ab | 202 | bc | 180 | b | 275 | a | 319 | ab |
| SAO-1 | 98.0 | b | 126 | a | 142 | b | 149 | a | 164 | ab | 179 | b | 217 | b | 217 | ab | 151 | b | 233 | b | 299 | bc |
| SAO-2 | 89.6 | b | 108 | b | 126 | c | 111 | b | 154 | b | 163 | c | 199 | c | 178 | c | 163 | b | 230 | b | 292 | c |
| MAI-0 | 22.0 | cd | 43.0 | cde | 70.4 | d | 74.2 | c | 99.0 | c | 123 | d | 150 | d | 126 | de | 110 | c | 218 | bc | 275 | cd |
| MAI-0.5 | 22.4 | cd | 39.0 | de | 56.8 | de | 67.2 | c | 95.0 | cd | 107 | e | 145 | de | 137 | d | 98.4 | cd | 184 | cd | 264 | de |
| MAI-1 | 21.2 | cd | 35.2 | de | 49.4 | ef | 53.0 | cd | 83.8 | def | 90.8 | f | 132 | ef | 111 | def | 92.4 | cd | 143 | de | 228 | fgh |
| MAI-2 | 17.4 | d | 26.8 | e | 34.6 | f | 50.2 | cd | 68.2 | g | 66.8 | g | 121 | f | 106 | def | 75.8 | d | 120 | e | 210 | gh |
| SAI-0 | 30.4 | cd | 57.8 | c | 62.0 | de | 55.2 | cd | 92.0 | cde | 117 | de | 153 | d | 117 | def | 100 | cd | 169 | d | 240 | ef |
| SAI-0.5 | 18.8 | cd | 45.8 | cd | 72.0 | d | 57.8 | cd | 79.6 | efg | 117 | de | 125 | f | 101 | def | 89.8 | cd | 112 | e | 240 | ef |
| SAI-1 | 31.4 | c | 45.4 | cd | 61.8 | de | 39.4 | d | 77.2 | fg | 109 | de | 131 | ef | 91.4 | ef | 81.4 | cd | 166 | d | 233 | fg |
| SAI-2 | 23.6 | cd | 29.4 | de | 35.0 | f | 50.2 | cd | 66.8 | g | 87.6 | f | 119 | f | 82.8 | f | 72.4 | d | 111 | e | 206 | h |
© 2020 by the authors. Licensee MDPI, Basel, Switzerland. This article is an open access article distributed under the terms and conditions of the Creative Commons Attribution (CC BY) license (http://creativecommons.org/licenses/by/4.0/).
Share and Cite
Tsai, C.-C.; Chang, Y.-F. Nitrogen Availability in Biochar-Amended Soils with Excessive Compost Application. Agronomy 2020, 10, 444. https://doi.org/10.3390/agronomy10030444
Tsai C-C, Chang Y-F. Nitrogen Availability in Biochar-Amended Soils with Excessive Compost Application. Agronomy. 2020; 10(3):444. https://doi.org/10.3390/agronomy10030444
Chicago/Turabian StyleTsai, Chen-Chi, and Yu-Fang Chang. 2020. "Nitrogen Availability in Biochar-Amended Soils with Excessive Compost Application" Agronomy 10, no. 3: 444. https://doi.org/10.3390/agronomy10030444
APA StyleTsai, C.-C., & Chang, Y.-F. (2020). Nitrogen Availability in Biochar-Amended Soils with Excessive Compost Application. Agronomy, 10(3), 444. https://doi.org/10.3390/agronomy10030444

