Nitrogen Rate Increase Not Required for No-Till Wheat in Cool and Humid Conditions
Abstract
1. Introduction
2. Materials and Methods
2.1. Experimental Conditions
2.2. 15N labelled Fertilizer Assessment
2.3. Plant Sampling and Analysis
2.4. Soil Sampling and Analysis
2.5. Statistical Analysis
3. Results
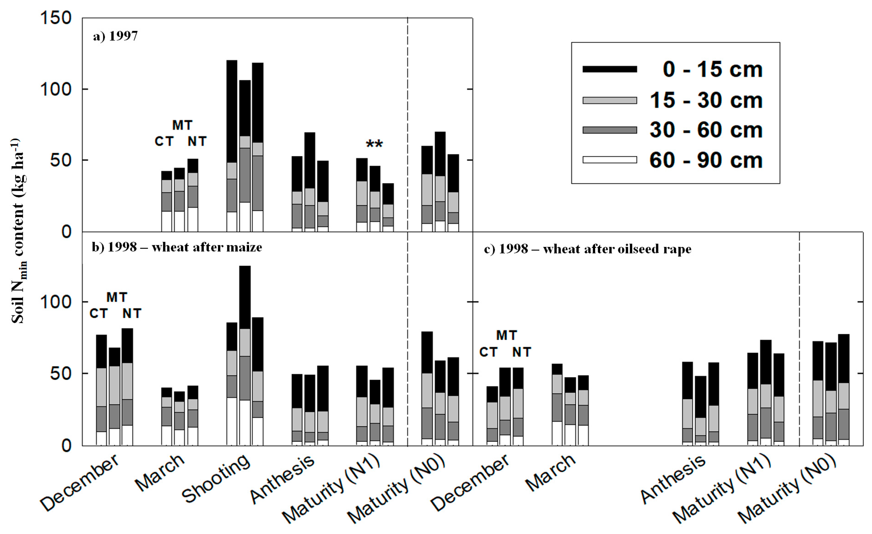
3.1. Soil Mineral N Content (Nmin)
3.2. Establishment and N Uptake of Wheat
3.3. 15N-Labelled Fertilizer Recovery
3.4. Grain Yield and Yield Components
4. Discussion
5. Conclusions
Author Contributions
Funding
Acknowledgments
Conflicts of Interest
References
- Montgomery, D.R. Soil erosion and agricultural sustainability. Proc. Natl. Acad. Sci. USA 2007, 104, 13268–13272. [Google Scholar] [CrossRef]
- Dendooven, L.; Gutiérrez-Oliva, V.F.; Patiño-Zúñiga, L.; Ramírez-Villanueva, D.A.; Verhulst, N.; Luna-Guido, M.; Marsch, R.; Montes-Molina, J.; Gutiérrez-Miceli, F.A.; Vásquez-Murrieta, S.; et al. Greenhouse gas emissions under conservation agriculture compared to traditional cultivation of maize in the central highlands of Mexico. Sci. Total Environ. 2012, 431, 237–244. [Google Scholar] [CrossRef]
- Lal, R. Sequestering carbon and increasing productivity by conservation agriculture. J. Soil Water Conserv. 2015, 70, 55A–62A. [Google Scholar] [CrossRef]
- Paustian, K.; Lehmann, J.; Ogle, S.; Reay, D.; Robertson, G.P.; Smith, P. Climate-smart soils. Nature 2016, 532, 49. [Google Scholar] [CrossRef]
- Hobbs, P.R.; Sayre, K.; Gupta, R. The role of conservation agriculture in sustainable agriculture. Philos. Trans. R. Soc. B Biol. Sci. 2008, 363, 543–555. [Google Scholar] [CrossRef]
- Lal, R. Soil erosion impact on agronomic productivity and environment quality. Crit. Rev. Plant Sci. 1998, 17, 319–464. [Google Scholar] [CrossRef]
- Singh, B.; Malhi, S.S. Response of soil physical properties to tillage and residue management on two soils in a cool temperate environment. Soil Tillage Res. 2006, 85, 143–153. [Google Scholar] [CrossRef]
- Kassam, A.; Friedrich, T.; Derpsch, R.; Kienzle, J. Overview of the worldwide spread of conservation agriculture. Field Actions Sci. Rep. 2015, 8, 1–12. [Google Scholar]
- Basch, G.; Friedrich, T.; Kassam, A.; Gonzalez-Sanchez, E. Conservation agriculture in Europe. In Conservation Agriculture; Springer: Cham, Switzerland, 2015; pp. 357–389. [Google Scholar] [CrossRef]
- Friedrich, T.; Derpsch, R.; Kassam, A. Overview of the global spread of Conservation Agriculture. Field Actions Sci. Rep. 2012, 6, 1–32. [Google Scholar]
- Lundy, M.E.; Pittelkow, C.M.; Linquist, B.A.; Liang, X.; van Groenigen, K.J.; Lee, J.; Six, J.; Venterea, R.T.; van Kessel, C. Nitrogen fertilization reduces yield declines following no-till adoption. Field Crops Res. 2015, 183, 204–210. [Google Scholar] [CrossRef]
- Pittelkow, C.M.; Liang, X.; Linquist, B.A.; Groenigen, L.J.V.; Lee, J.; Lundy, M.E.; Gestel, N.V.; Six, J.; Venterea, R.T.; Kessel, C.V. Productivity limits and potentials of the principles of conservation agriculture. Nature 2015, 517, 365–368. [Google Scholar] [CrossRef] [PubMed]
- Pittelkow, C.M.; Linquist, B.A.; Lundy, M.E.; Liang, X.; van Groenigen, K.J.; Lee, J.; van Gestel, N.; Six, J.; Venterea, R.T.; van Kessel, C. When does no-till yield more? A global meta-analysis. Field Crops Res. 2015, 183, 156–168. [Google Scholar] [CrossRef]
- Sommer, R.; Thierfelder, C.; Tittonell, P.; Hove, L.; Mureithi, J.; Mkomwa, S. Fertilizer use should not be a fourth principle to define conservation agriculture. Response to the opinion paper of Vanlauwe et al. (2014) ‘A fourth principle is required to define conservation agriculture in sub-Saharan Africa: The appropriate use of fertilizer to enhance crop productivity’. Field Crops Res. 2014, 169, 145–148. [Google Scholar] [CrossRef]
- Vanlauwe, B.; Wendt, J.; Giller, K.E.; Corbeels, M.; Gerard, B. Response to Sommer et al. (2014) “Fertilizer use is not required as a fourth principle to define conservation agriculture”. Field Crops Res. 2014, 169, 149. [Google Scholar] [CrossRef]
- Vanlauwe, B.; Wendt, J.; Giller, K.E.; Corbeels, M.; Gerard, B. Response to Sommer et al. (2014) Fertiliser use is not required as a fourth principle to define conservation agriculture. Field Crops Res. 2014, 167, 159. [Google Scholar] [CrossRef]
- Vanlauwe, B.; Wendt, J.; Giller, K.E.; Corbeels, M.; Gerard, B.; Nolte, C. A fourth principle is required to define Conservation Agriculture in sub-Saharan Africa: The appropriate use of fertilizer to enhance crop productivity. Field Crops Res. 2014, 155, 10–13. [Google Scholar] [CrossRef]
- Carefoot, J.M.; Lindwall, C.W.; Nyborg, M. Differential fertilizer N immobilization in two tillage systems influences grain N concentration. Can. J. Soil Sci. 1990, 70, 215–225. [Google Scholar] [CrossRef]
- Dowdell, R.J.; Cannell, R.Q. Effect of ploughing and direct drilling on soil nitrate content. J. Soil Sci. 1975, 26, 53–61. [Google Scholar] [CrossRef]
- McCarty, G.W.; Meisinger, J.J.; Jenniskens, F.M.M. Relationships between total-N, biomass-N and active-N in soil under different tillage and N fertilizer treatments. Soil Biol. Biochem. 1995, 27, 1245–1250. [Google Scholar] [CrossRef]
- Six, J.; Ogle, S.M.; Breidt, F.J.; Conant, R.T.; Mosiers, A.R.; Paustian, K. The potential to mitigate global warming with no-tillage management is only realized when practised in the long term. Glob. Chang. Biol. 2004, 10, 155–160. [Google Scholar] [CrossRef]
- Chien, S.H.; Prochnow, L.I.; Cantarella, H. Chapter 8 Recent Developments of Fertilizer Production and Use to Improve Nutrient Efficiency and Minimize Environmental Impacts. Adv. Agron. 2009, 102, 267. [Google Scholar]
- Chien, S.H.; Teixeira, L.A.; Cantarella, H.; Rehm, G.W.; Grant, C.A.; Gearhart, M.M. Agronomic Effectiveness of Granular Nitrogen/Phosphorus Fertilizers Containing Elemental Sulfur with and without Ammonium Sulfate: A Review. Agron. J. 2016, 108, 1203–1213. [Google Scholar] [CrossRef]
- Malhi, S.S.; Grant, C.A.; Johnston, A.M.; Gill, K.S. Nitrogen fertilization management for no-till cereal production in the Canadian Great Plains: A review. Soil Tillage Res. 2001, 60, 101–122. [Google Scholar] [CrossRef]
- Sharma, L.K.; Bali, S.K. A review of methods to improve nitrogen use efficiency in agriculture. Sustainability 2018, 10, 51. [Google Scholar] [CrossRef]
- IPNI. 4R Nutrient Stewardship. Available online: http://www.ipni.net/4r (accessed on 4 October 2018).
- Rasmussen, P.E.; Douglas, C.L. The influence of tillage and cropping-intensity on cereal response to nitrogen, sulfur, and phosphorus. Fertil. Res. 1992, 31, 15–19. [Google Scholar] [CrossRef]
- Gastal, F.; Lemaire, G. N uptake and distribution in crops: An agronomical and ecophysiological perspective. J. Exp. Bot. 2002, 53, 789–799. [Google Scholar] [CrossRef]
- Thorup-Kristensen, K. The Effect of Nitrogen Catch Crops on the Nitrogen Nutrition of a Succeeding Crop I. Effects through Mineralization and Pre-Emptive Competition. Acta Agric. Scand. B Soil Plant Sci. 1993, 43, 74–81. [Google Scholar] [CrossRef]
- Thorup-Kristensen, K. The effect of nitrogen catch crop species on the nitrogen nutrition of succeeding crops. Fertil. Res. 1994, 37, 227–234. [Google Scholar] [CrossRef]
- Fraser, P.M.; Curtin, D.; Harrison-Kirk, T.; Meenken, E.D.; Beare, M.H.; Tabley, F.; Gillespie, R.N.; Francis, G.S. Winter Nitrate Leaching under Different Tillage and Winter Cover Crop Management Practices. Soil Sci. Soc. Am. J. 2013, 77, 1391–1401. [Google Scholar] [CrossRef]
- Ketterings, Q.M.; Swink, S.N.; Duiker, S.W.; Czymmek, K.J.; Beegle, D.B.; Cox, W.J. Integrating Cover Crops for Nitrogen Management in Corn Systems on Northeastern US Dairies. Agron. J. 2015, 107, 1365–1376. [Google Scholar] [CrossRef]
- Miller, I.H. Soil Degradation in Eastern Canada: Its Extent and Impact. Can. J. Agric. Econ. 1985, 33, 7–18. [Google Scholar] [CrossRef]
- Ranaivoson, L.; Naudin, K.; Ripoche, A.; Affholder, F.; Rabeharisoa, L.; Corbeels, M. Agro-ecological functions of crop residues under conservation agriculture. A review. Agron. Sustain. Dev. 2017, 37, 26. [Google Scholar] [CrossRef]
- Siemens, M.C.; Wilkins, D.E. Effect of residue management methods on no-till drill performance. Appl. Eng. Agric. 2006, 22, 51–60. [Google Scholar] [CrossRef]
- IUSS W IUSS Working Group WRB. World Reference Base for Soil Resources; World Soil Resources Reports No. 106; FAO: Rome, Italy, 2015; ISBN 978-92-5-108369-7. [Google Scholar]
- Gee, G.W.; Bauder, J.W. Particle-size analysis. In Methods of Soil Analysis: Part. 1–Physical and Mineralogical Methods; Soil Society of America: Madison, WI, USA, 1986; pp. 383–411. [Google Scholar]
- McLean, E.O. Soil pH and lime requirement. In Methods of Soil Analysis: Part 2–Chemical and Microbiological Properties; America Society Agronomy: Madison, WI, USA, 1982; pp. 199–224. [Google Scholar]
- Nelson, D.; Sommers, L. Total carbon, organic carbon and organic matter. In Methods of Soil Analysis: Part 2—Chemical and Microbiological Properties; Soil Society of America: Madison, WI, USA, 1982; pp. 539–579. [Google Scholar]
- Bremner, J.M.; Mulvaney, C. Nitrogen-total. In Methods of Soil Analysis: Part 2—Chemical and Microbiological Properties; America Society Agronomy: Madison, WI, USA, 1982; pp. 595–624. [Google Scholar]
- Olsen, S.; Sommers, L. Determination of available phosphorus. In Methods of Soil Analysis: Part 2—Chemical and Microbiological Properties; American Society of Agronomy, Soil Science Society of America: Madison, WI, USA, 1982; pp. 403–430. [Google Scholar]
- Thomas, G.W. Exchangeable cations. In Methods of Soil Analysis: Part 2—Chemical and Microbiological Properties; American Society of Agronomy, Soil Science Society of America: Madison, WI, USA, 1982; pp. 159–165. [Google Scholar]
- Courvoisier, N.; Häner, L.L.; Bertossa, M.; Thévoz, E.; Anders, M.; Stoll, P.; Weisflog, T.; Dugon, J.; Graf, B.; Hofer, M. Liste der empfohlenen getreidesorten für die ernte 2018. Agrarforsch. Schweiz 2017, 8, 1–8. [Google Scholar]
- Lancashire, P.D.; Bleiholder, H.; Vandenboom, T.; Langeluddeke, P.; Stauss, R.; Weber, E.; Witzenberger, A. A uniform decimal code for growth-stages of crops and weeds. Ann. Appl. Biol. 1991, 119, 561–601. [Google Scholar] [CrossRef]
- Justes, E.; Mary, B.; Meynard, J.-M.; Machet, J.-M.; Thelier-Huche, L. Determination of a critical nitrogen dilution curve for winter wheat crops. Ann. Bot. 1994, 74, 397–407. [Google Scholar] [CrossRef]
- Follett, R.F. Innovative 15N microplot research techniques to study nitrogen use efficiency under different ecosystems. Commun. Soil Sci. Plan. 2001, 32, 951–979. [Google Scholar] [CrossRef]
- Powlson, D.S.; Pruden, G.; Johnston, A.E.; Jenkinson, D.S. The nitrogen cycle in the Broadbalk Wheat Experiment: Recovery and losses of15N-labelled fertilizer applied in spring and inputs of nitrogen from the atmosphere. J. Agric. Sci. 1986, 107, 591–609. [Google Scholar] [CrossRef]
- Hauck, R.; Bremner, J. Use of tracers for soil and fertilizer nitrogen research. Adv. Agron. 1976, 28, 219. [Google Scholar]
- SAS Institute. SAS® v6.12. Available online: https://www.sas.com/en_us/home.html (accessed on 10 May 2020).
- Durst, L.; Kahnt, G.; Kübler, E. Vorfruchtwirkungen verschiedener Blattfrüchte auf Winterweizen und Einfluß von Anbaumaßnahmen. J. Agron. Crop Sci. 1988, 160, 239–249. [Google Scholar] [CrossRef]
- Goss, M.J.; Howse, K.R.; Lane, P.W.; Christian, D.G.; Harris, G.L. Losses of nitrate-nitrogen in water draining from under autumn-sown crops established by direct drilling or mouldboard ploughing. J. Soil Sci. 1993, 44, 35–48. [Google Scholar] [CrossRef]
- Angus, J.F.; Kirkegaard, J.A.; Hunt, J.R.; Ryan, M.H.; Ohlander, L.; Peoples, M.B. Break crops and rotations for wheat. Crop Pasture Sci. 2015, 66, 523–552. [Google Scholar] [CrossRef]
- Milford, G.F.J.; Pennny, A.; Prew, R.D.; Darby, R.J.; Todd, A.D. Effects of previous crop, sowing date, and winter and spring applications of nitrogen on the growth, nitrogen uptake and yield of winter wheat. J. Agric. Sci. 1993, 121, 1–12. [Google Scholar] [CrossRef]
- Shepherd, M.A.; Sylvester-Bradley, R. Effect of nitrogen fertilizer applied to winter oilseed rape (Brassica napus) on soil mineral nitrogen after harvest and on the response of a succeeding crop of winter wheat to nitrogen fertilizer. J. Agric. Sci. 1996, 126, 63–74. [Google Scholar] [CrossRef]
- Stenberg, M.; Aronsson, H.; Lindén, B.; Rydberg, T.; Gustafson, A. Soil mineral nitrogen and nitrate leaching losses in soil tillage systems combined with a catch crop. Soil Tillage Res. 1999, 50, 115–125. [Google Scholar] [CrossRef]
- Hansen, E.M.; Djurhuus, J. Nitrate leaching as influenced by soil tillage and catch crop. Soil Tillage Res. 1997, 41, 203–219. [Google Scholar] [CrossRef]
- Chen, X.; Zhang, F.; Römheld, V.; Horlacher, D.; Schulz, R.; Böning-Zilkens, M.; Wang, P.; Claupein, W. Synchronizing N supply from soil and fertilizer and N demand of winter wheat by an improved Nmin method. Nutr. Cycl. Agroecosyst. 2006, 74, 91–98. [Google Scholar] [CrossRef]
- Gruber, S.; Möhring, J.; Claupein, W. On the way towards conservation tillage-soil moisture and mineral nitrogen in a long-term field experiment in Germany. Soil Tillage Res. 2011, 115–116, 80–87. [Google Scholar] [CrossRef]
- Weisz, R.; Bowman, D.T. Influence of tillage system on soft red winter wheat cultivar selection. J. Prod. Agric. 1999, 12, 415–418. [Google Scholar] [CrossRef]
- Sunderman, H.D. Response of hard red winter wheat to seed density and seeding rate in no-till. J. Prod. Agric. 1999, 12, 100–104. [Google Scholar] [CrossRef]
- Hall, E.F.; Cholick, F.A. Cultivar × Tillage Interaction of Hard Red Spring Wheat Cultivars. Agron. J. 1989, 81, 789–792. [Google Scholar] [CrossRef]
- Kharub, A.S.; Chatrath, R.; Shoran, J. Performance of wheat (Triticum aestivum) genotypes in alternate tillage environments. Indian J. Agric. Sci. 2008, 78, 884–886. [Google Scholar]
- Richards, R.A.; Lukacs, Z. Seedling vigour in wheat - Sources of variation for genetic and agronomic improvement. Aust. J. Agric. Res. 2002, 53, 41–50. [Google Scholar] [CrossRef]
- Trethowan, R.M.; Reynolds, M.; Sayre, K.; Ortiz-Monasterio, I. Adapting wheat cultivars to resource conserving farming practices and human nutritional needs. Ann. Appl. Biol. 2005, 146, 405–413. [Google Scholar] [CrossRef]
- Rao, S.C.; Dao, T.H. Nitrogen placement and tillage effects on dry matter and nitrogen accumulation and redistribution in winter wheat. Agron. J. 1996, 88, 365–371. [Google Scholar] [CrossRef]
- Cornish, P.; Lymbery, J. Reduced early growth of direct drilled wheat in southern New South Wales: Causes and consequences. Aust. J. Exp. Agric. 1987, 27, 869–880. [Google Scholar] [CrossRef]
- Qin, R.; Stamp, P.; Richner, W. Impact of tillage on root systems of winter wheat. Agron. J. 2004, 96, 1523–1530. [Google Scholar] [CrossRef]
- Power, J.F.; Alessi, J. Tiller development and yield of standard and semidwarf spring wheat varieties as affected by nitrogen fertilizer. J. Agric. Sci. 1978, 90, 97–108. [Google Scholar] [CrossRef]
- Francis, G.S.; Knight, T.L. Long-term effects of conventional and no-tillage on selected soil properties and crop yields in Canterbury, New Zealand. Soil Tillage Res. 1993, 26, 193–210. [Google Scholar] [CrossRef]
- Rasmussen, P.E. Surface residue and nitrogen fertilization effects on no-till wheat. In Plant Nutrition—From Genetic Engineering to Field Practice; Barrow, N.J., Ed.; Springer: Dordrecht, The Netherlands, 1993. [Google Scholar]
- Carefoot, J.M.; Nyborg, M.; Lindwall, C.W. Tillage-induced soil changes and related grain yield in a semi-arid region. Can. J. Soil Sci. 1990, 70, 203–214. [Google Scholar] [CrossRef]
- Matzel, W.; Lippold, H. N application to winter wheat at tillering and shooting: N balance at different growth stages. Fertil. Res. 1990, 26, 139–144. [Google Scholar] [CrossRef]
- Lafond, G.P.; Clayton, G.W.; Johnston, A.M.; May, W.E.; Derksen, D.A.; Stevenson, F.C. Nitrogen management systems to optimize spring wheat under no-till: Effects on plant development. Can. J. Plant Sci. 2006, 86, 443–451. [Google Scholar] [CrossRef][Green Version]
- Lafond, G.P.; May, W.E.; Stevenson, F.C.; Derksen, D.A. Effects of tillage systems and rotations on crop production for a thin Black Chernozem in the Canadian Prairies. Soil Tillage Res. 2006, 89, 232–245. [Google Scholar] [CrossRef]
- White, C.A.; Sylvester-Bradley, R.; Berry, P.M. Root length densities of UK wheat and oilseed rape crops with implications for water capture and yield. J. Exp. Bot. 2015, 66, 2293–2303. [Google Scholar] [CrossRef] [PubMed]
- Weiser, C.; Fuß, R.; Kage, H.; Flessa, H. Do farmers in Germany exploit the potential yield and nitrogen benefits from preceding oilseed rape in winter wheat cultivation? Arch. Agron. Soil Sci. 2018, 64, 25–37. [Google Scholar] [CrossRef]
- Justes, E.; Mary, B.; Nicolardot, B. Quantifying and modelling C and N mineralization kinetics of catch crop residues in soil: Parameterization of the residue decomposition module of STICS model for mature and non mature residues. Plant Soil 2009, 325, 171–185. [Google Scholar] [CrossRef]
- Christian, D.G.; Bacon, E.T.G. A long-term comparison of ploughing, tine cultivation and direct drilling on the growth and yield of winter cereals and oilseed rape on clayey and silty soils. Soil Tillage Res. 1990, 18, 311–331. [Google Scholar] [CrossRef]
- Tebrügge, F.; Düring, R.A. Reducing tillage intensity - A review of results from a long-term study in Germany. Soil Tillage Res. 1999, 53, 15–28. [Google Scholar] [CrossRef]
- Ball, B.C.; Lang, R.W.; Robertson, E.A.G.; Franklin, M.F. Crop performance and soil conditions on imperfectly drained loams after 20-25 years of conventional tillage or direct drilling. Soil Tillage Res. 1994, 31, 97–118. [Google Scholar] [CrossRef]
- Maidl, F.X.; Fischbeck, G. Auswirkungen differenzierter Bodenbearbeitung auf Ertragsbildung und Stickstoffaufnahme von Zuckerrüben bei viehstarker und viehloser Wirtschaftsweise. J. Agron. Crop Sci. 1988, 160, 29–37. [Google Scholar] [CrossRef]
- Rieger, S.; Richner, W.; Streit, B.; Frossard, E.; Liedgens, M. Growth, yield, and yield components of winter wheat and the effects of tillage intensity, preceding crops, and N fertilisation. Eur. J. Agron. 2008, 28, 405–411. [Google Scholar] [CrossRef]
- Parry, D.W.; Jenkinson, P.; McLeod, L. Fusarium ear blight (scab) in small grain cereals—A review. Plant Pathol. 1995, 44, 207–238. [Google Scholar] [CrossRef]
- David Miller, J.; Culley, J.; Fraser, K.; Hubbard, S.; Meloche, F.; Ouellet, T.; Lloyd Seaman, W.; Seifert, K.A.; Turkington, K.; Voldeng, H. Effect of tillage practice on fusarium head blight of wheat. Can. J. Plant Pathol. 1998, 20, 95–103. [Google Scholar] [CrossRef]
- Dill-Macky, R.; Jones, R.K. The effect of previous crop residues and tillage on fusarium head blight of wheat. Plant Dis. 2000, 84, 71–76. [Google Scholar] [CrossRef]
- Ditsch, D.C.; Grove, J.H. Influence of tillage on plant populations, disease incidence, and grain yield of two soft red winter wheat cultivars. J. Prod. Agric. 1991, 4, 360–365. [Google Scholar] [CrossRef]
- Carter, M.R.; Johnston, H.W.; Kimpinski, J. Direct drilling and soil loosening for spring cereals on a fine sandy loam in Atlantic Canada. Soil Tillage Res. 1988, 12, 365–384. [Google Scholar] [CrossRef]




| Site | Soil Depth (cm) | Zollikofen | Schafisheim |
|---|---|---|---|
| Soil classification 1 | 0–90 | Gleyic Cambisol | Orthic Luvisol |
| Soil texture | Silt-loam | loam | |
| Particle size distribution 1 (sand-silt-clay), % | 0–30 | 35/51/14 | 50/35/15 |
| pH (H2O) 2 | 0–30 | 5.6 | 6.3 |
| Organic matter (g kg−1) 3 | 0–30 | 27 | 33 |
| Ntot (g kg−1) 4 | 0–30 | 1.3 | 1.8 |
| C/N | 0–30 | 12.0 | 10.6 |
| P (g kg−1) 5 | 0–30 | 0.31 | 1.17 |
| K (g kg−1) 6 | 0–30 | 2.15 | 6.84 |
| Soil bulk density (Mg m−3) 7 | 0–10 | 1.26 | 1.21 |
| 10–20 | 1.41 | 1.29 | |
| 20–30 | 1.37 | 1.29 | |
| 30–60 | 1.55 | 1.43 | |
| 60–90 | 1.52 | 1.48 |
| Environment | Tillage | Shoot Biomass | Spike Density | Grains Spike−1 | TKW † | Shoot N Uptake | Grain N Content | Grain Yield | |
|---|---|---|---|---|---|---|---|---|---|
| Year | Preceding Crop | Mg ha−1 | m−2 | g | kg ha−1 | kg ha−1 | Mg ha−1 | ||
| 1996 | oats | CT | 14.65 | 533 | 27.4 | 50.3 | 205 | 163 | 7.33 |
| MT | 15.02 | 559 | 27.7 | 49.4 | 217 | 172 | 7.62 | ||
| NT | 15.57 | 625 | 24.2 | 49.2 | 217 | 169 | 7.40 | ||
| 1997 | maize | CT | 11.48 | 523 | 20.5 | 43.8 | 149 | 108 | 4.70 |
| MT | 10.82 | 433 | 25.0 | 42.5 | 148 | 111 | 4.57 | ||
| NT | 11.73 | 476 | 24.6 | 42.6 | 165 | 116 | 4.88 | ||
| oilseed rape | CT | 13.17 | 631 | 18.3 | 44.1 | 182 | 114 | 4.94 | |
| MT | 12.21 | 560 | 20.1 | 43.2 | 179 | 114 | 4.80 | ||
| NT | 12.44 | 535 | 21.3 | 42.7 | 174 | 109 | 4.74 | ||
| 1998 | maize | CT | 10.16 | 431 | 26.2 | 42.7 | 136 | 109 | 4.35 |
| MT | 10.79 | 456 | 24.5 | 42.7 | 140 | 121 | 4.77 | ||
| NT | 10.49 | 399 | 28.6 | 42.2 | 151 | 127 | 4.80 | ||
| oilseed rape | CT | 13.19 | 542 | 25.5 | 43.1 | 193 a †† | 153 a | 5.68 a | |
| MT | 11.36 | 449 | 27.3 | 42.3 | 165 ab | 136 b | 5.00 b | ||
| NT | 11.34 | 482 | 22.9 | 41.7 | 147 b | 118 c | 4.87 b | ||
| 1999 | maize | CT | 10.77 b | 396 | 28.2 | 38.5 b | 141 | 112 | 4.42 |
| MT | 13.42 a | 465 | 24.0 | 42.1 a | 166 | 111 | 4.78 | ||
| NT | 11.15 b | 437 | 25.7 | 39.6 b | 133 | 107 | 4.46 | ||
| oilseed rape | CT | 14.62 a | 512 | 24.2 | 42.4 | 208 a | 148 a | 5.15 b | |
| MT | 15.81 a | 576 | 24.1 | 42.0 | 216 a | 158 a | 5.66 a | ||
| NT | 12.98 b | 488 | 25.0 | 41.8 | 170 b | 125 b | 5.04 b | ||
| Environment | Tillage | Shoot Biomass | Spike Density | Grains Spike−1 | TKW † | Shoot N Uptake | Grain N Content | GrainYield | |
|---|---|---|---|---|---|---|---|---|---|
| Year | Preceding Crop | Mg ha−1 | m−2 | g | kg ha−1 | kg ha−1 | Mg ha−1 | ||
| 1997 | wheat | CT | 11.95 | 557 | 17.8 | 43.0 a †† | 163 | 110 | 4.19 |
| MT | 11.87 | 573 | 16.8 | 41.9 a | 162 | 105 | 4.03 | ||
| NT | 11.17 | 510 | 18.1 | 39.9 b | 160 | 97 | 3.70 | ||
| 1998 | maize | CT | 12.48 | 494 ab | 25.4 ab | 43.8 | 205 | 160 | 5.41 |
| MT | 11.48 | 569 a | 20.8 b | 42.4 | 183 | 147 | 5.20 | ||
| NT | 12.74 | 423 b | 30.9 a | 42.1 | 205 | 152 | 5.27 | ||
| oilseed rape | CT | 12.97 | 442 | 29.1 | 43.2 | 222 | 154 | 5.52 | |
| MT | 13.11 | 565 | 22.1 | 43.0 | 210 | 157 | 5.43 | ||
| NT | 13.04 | 482 | 24.8 | 43.9 | 204 | 148 | 5.33 | ||
| 1999 | maize | CT | 13.03 | 425 | 31.2 ab | 40.5 a | 156 | 121 | 5.21 |
| MT | 11.00 | 395 | 34.5 a | 38.6 b | 143 | 110 | 4.81 | ||
| NT | 12.22 | 495 | 25.3 b | 37.7 b | 142 | 107 | 4.70 | ||
| oilseed rape | CT | 14.29 | 447 | 31.6 | 37.3 | 209 | 143 | 5.25 | |
| MT | 14.28 | 401 | 37.0 | 37.8 | 203 | 145 | 5.47 | ||
| NT | 14.70 | 454 | 31.1 | 37.9 | 213 | 142 | 5.23 | ||
| 2000 | maize | CT | 12.11 | 477 | 24.4 | 45.6 | 180 | 136b | 5.27 |
| MT | 11.55 | 481 | 23.0 | 45.6 | 178 | 138ab | 5.05 | ||
| NT | 12.11 | 470 | 23.9 | 44.6 | 186 | 144a | 5.03 | ||
| oilseed rape | CT | 15.03 | 511 | 27.0 | 45.7 | 236 | 171 | 6.29 | |
| MT | 14.68 | 490 | 26.5 | 45.6 | 220 | 161 | 5.92 | ||
| NT | 15.06 | 510 | 26.6 | 45.9 | 226 | 164 | 6.24 | ||
| Environment | Tillage | End of Tillering | Begin of Stem Elongation | Anthesis | Physiological Maturity | |||||
|---|---|---|---|---|---|---|---|---|---|---|
| Site | Year | Ndff | NR | Ndff | NR | Ndff | NR | Ndff | NR | |
| % | kg ha−1 | % | kg ha−1 | % | kg ha−1 | % | kg ha−1 | |||
| Zollikofen | 1997 | CT | NA | NA | 54.6 a † | 18.4 | 35.6 | 50.3 | 25.9 | 46.7 |
| NT | NA | NA | 47.5 b | 15.1 | 31.5 | 57.5 | 22.9 | 41.5 | ||
| 1998 | CT | 0.16 | 0.01 | 67.1 | 17.2 a | 29.4 | 39.1 | 27.6 | 49.2 | |
| NT | 0.15 | 0.01 | 64.7 | 12.1 b | 23.7 | 29.8 | 27.3 | 47.5 | ||
| Schafisheim | 1997 | CT | NA | NA | 46.9 b | 13.2 | 32.2 | 52.5 | 22.9 | 34.4 |
| NT | NA | NA | 56.9 a | 9.4 | 31.8 | 39.5 | 22.4 | 35.0 | ||
| 1998 | CT | 0.31 | 0.04 | 46.8 b | 12.8 | 28.1 | 46.4 | 20.2 | 39.9 | |
| NT | 0.31 | 0.03 | 52.7 a | 11.2 | 25.2 | 39.6 | 19.1 | 38.6 | ||
© 2020 by the authors. Licensee MDPI, Basel, Switzerland. This article is an open access article distributed under the terms and conditions of the Creative Commons Attribution (CC BY) license (http://creativecommons.org/licenses/by/4.0/).
Share and Cite
Herrera, J.M.; Noulas, C.; Stamp, P.; Levy-Häner, L.; Pellet, D.; Qin, R. Nitrogen Rate Increase Not Required for No-Till Wheat in Cool and Humid Conditions. Agronomy 2020, 10, 430. https://doi.org/10.3390/agronomy10030430
Herrera JM, Noulas C, Stamp P, Levy-Häner L, Pellet D, Qin R. Nitrogen Rate Increase Not Required for No-Till Wheat in Cool and Humid Conditions. Agronomy. 2020; 10(3):430. https://doi.org/10.3390/agronomy10030430
Chicago/Turabian StyleHerrera, Juan Manuel, Christos Noulas, Peter Stamp, Lilia Levy-Häner, Didier Pellet, and Ruijun Qin. 2020. "Nitrogen Rate Increase Not Required for No-Till Wheat in Cool and Humid Conditions" Agronomy 10, no. 3: 430. https://doi.org/10.3390/agronomy10030430
APA StyleHerrera, J. M., Noulas, C., Stamp, P., Levy-Häner, L., Pellet, D., & Qin, R. (2020). Nitrogen Rate Increase Not Required for No-Till Wheat in Cool and Humid Conditions. Agronomy, 10(3), 430. https://doi.org/10.3390/agronomy10030430

