Slow-Release Fertilizer Improves the Growth, Quality, and Nutrient Utilization of Wintering Chinese Chives (Allium tuberosum Rottler ex Spreng.)
Abstract
1. Introduction
2. Materials and Methods
2.1. Experimental Sites, Greenhouse Management and Environment, and Test Materials
2.2. Methods and Treatments
- (i)
- No fertilizer (CK).
- (ii)
- Conventional fertilization (CF, NPK dosage: 1369.5 kg ha−1: 655.5 kg N ha−1, 559.5 kg P ha−1, and 154.5 kg K ha−1) applied in accordance with the traditional, customary amount of fertilizer used by local farmers.
- (iii)
- Conventional fertilization with slow-release fertilizer (SRF, NPK dosage: 1369.5 kg ha−1: 655.5 kg N ha−1, 559.5 kg P ha−1, and 154.5 kg K ha−1), in which SRF replaced CF, and the nutrient dosage was the same as that of CF).
- (iv)
- Reduced fertilization with slow-release fertilizer (SRFR, NPK dosage: 942.0 kg ha−1: 438.0 kg N ha−1, 180.0 kg P ha−1, 324.0 kg K ha−1). The nutrient dosages were decreased by 31% in this treatment compared to CF, N was decreased by 33%, P was decreased by 68%, and K was increased by 110%.
2.3. Yield and Dry Matter Determination
2.4. Determination of Vitamin C, Soluble Sugar, Soluble Protein, Nitrate, Total Phenol and Flavonoid Contents, Root Activity, and Nitrate Reductase Activity
2.5. Determination of N, P, and K Contents
2.6. Determination of Accumulation of N, P and K in Organs Apparent Utilization, Partial Factor Productivity, and Agronomic Efficiency
2.7. Statistical Analysis
3. Results
3.1. Dry Matter Accumulation
3.2. Yield and Economic Benefits
3.3. Root Activity and Nitrate Reductase Activity
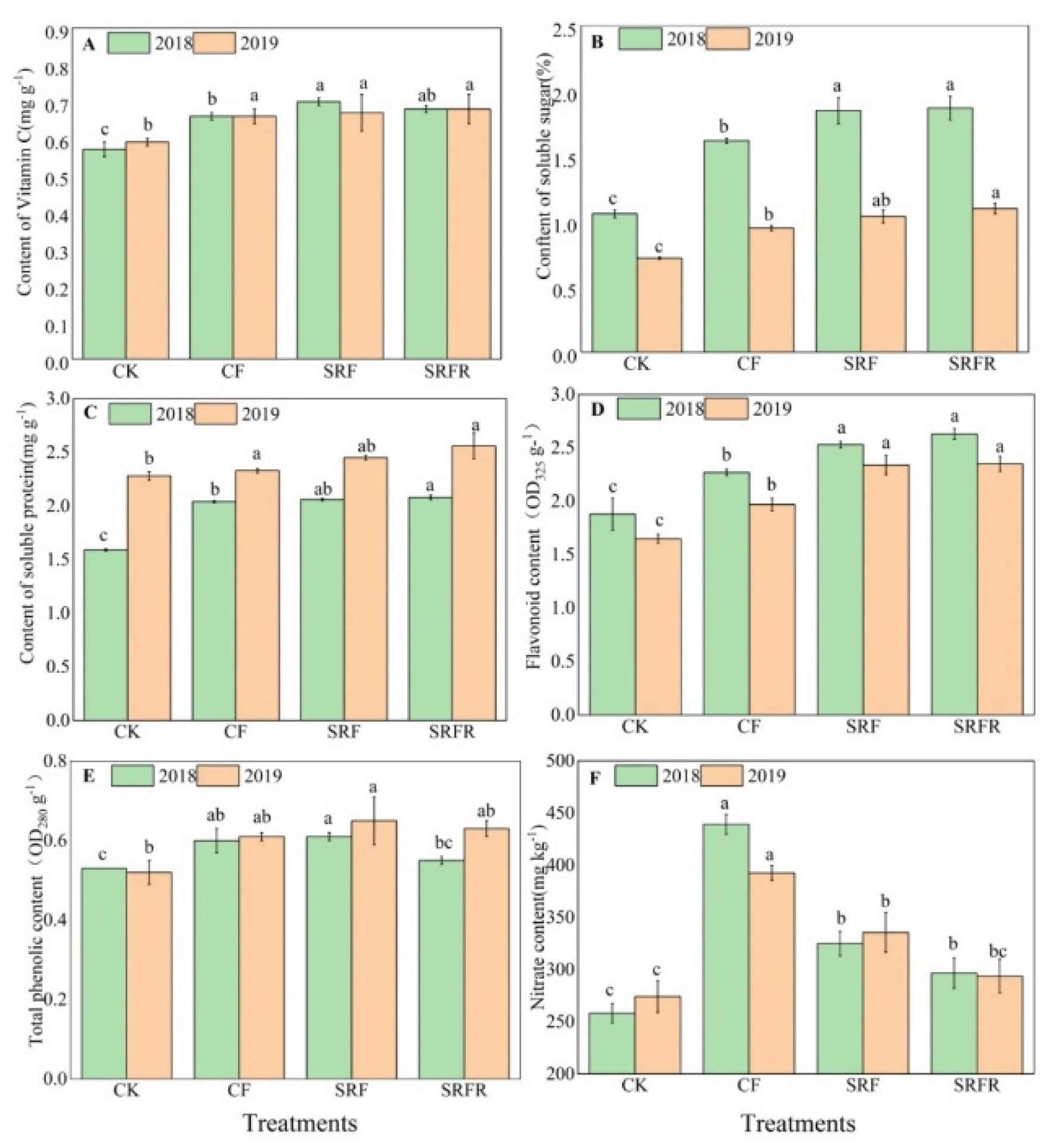
3.4. Nutritional Quality
3.5. Soil Nutrient Balance
3.6. N, P, and K Accumulation and Distribution in the Root, Stem, and Leaf of Chinese Chives
3.7. Nutrient Utilization
4. Discussion
4.1. Effect of Slow-Release Fertilizer on Dry Matter Accumulation and Yield
4.2. Effect of Slow-Release Fertilizer on Root Activity, Nitrate Reductase Activity, and Nutritional Quality
4.3. Effect of Slow-Release Fertilizer on Nutrient Utilization
5. Conclusions
Author Contributions
Funding
Conflicts of Interest
References
- Massiot, G. Saponin. In Chemistry and Pharmacology of Natural Products Series; Hostettmann, K., Marston, A., Eds.; University Press: Cambridge, UK, 1995; Volume 548, p. £85. ISBN 0-521-32970-1. [Google Scholar]
- Zhang, W.-N.; Zhang, H.-L.; Lu, C.-Q.; Luo, J.-P.; Zha, X.-Q. A new kinetic model of ultrasound-assisted extraction of polysaccharides from Chinese chive. Food Chem. 2016, 212, 274–281. [Google Scholar] [CrossRef] [PubMed]
- Moon, G.-S.; Ryu, B.-M.; Lee, M.-J. Components and antioxidative activities of buchu (Chinese chives) harvested at different times. Korean J. Food Sci. Technol. 2003, 35, 493–498. [Google Scholar]
- Imahori, Y.; Suzuki, Y.; Uemura, K.; Kishioka, I.; Fujiwara, H.; Ueda, Y.; Chachin, K. Physiological and quality responses of Chinese chive leaves to low oxygen atmosphere. Postharvest Biol. Technol. 2004, 31, 295–303. [Google Scholar] [CrossRef]
- Gao, Q.; Li, X.-B.; Sun, J.; Xia, E.-D.; Tang, F.; Cao, H.-Q.; Xun, H. Isolation and identification of new chemical constituents from Chinese chive (Allium tuberosum) and toxicological evaluation of raw and cooked Chinese chive. Food Chem. Toxicol. 2018, 112, 400–411. [Google Scholar] [CrossRef] [PubMed]
- Putnik, P.; Gabrić, D.; Roohinejad, S.; Barba, F.J.; Granato, D.; Mallikarjunan, K.; Lorenzo, J.M.; Kovačević, D.B. An overview of organosulfur compounds from Allium spp.: From processing and preservation to evaluation of their bioavailability, antimicrobial, and anti-inflammatory properties. Food Chem. 2019, 276, 680–691. [Google Scholar] [CrossRef]
- Song, M.; Hou, D.; Ma, Y.; Zhang, S.; Yang, S. Study on Winter Thermal Insulation Effect of Multi-layer Plastic Shed in Wushan, Gansu. Chin. VegeTable. 2017, 11, 57–61. [Google Scholar]
- Rose, T.; Bowden, B. Matching soil nutrient supply and crop demand during the growing season. In Improving Water and Nutrient use Efficiency in Food Production Systems; Wiley: Ames, IA, USA, 2013; pp. 93–103. [Google Scholar]
- Goulding, K.; Jarvis, S.; Whitmore, A. Optimizing nutrient management for farm systems. Philos. Trans. R. Soc. B Biol. Sci. 2007, 363, 667–680. [Google Scholar] [CrossRef]
- Ozer, H. Sowing date and nitrogen rate effects on growth, yield and yield components of two summer rapeseed cultivars. Eur. J. Agron. 2003, 19, 453–463. [Google Scholar] [CrossRef]
- Wang, R.; An, D.; Hu, C.; Li, L.; Zhang, Y.; Jia, Y.; Tong, Y. Relationship between nitrogen uptake and use efficiency of winter wheat grown in the North China Plain. Crop Pasture Sci. 2011, 62, 504–514. [Google Scholar] [CrossRef]
- Wang, Y. Status and suggestions on fertilization of protected vegetables in Liaoning Province. Liaoning Agric. Sci. 2015, 3, 49–50. [Google Scholar]
- Ju, X.; Liu, X.; Zhang, F.; Roelcke, M. Nitrogen fertilization, soil nitrate accumulation, and policy recommendations in several agricultural regions of China. AMBIO A J. Hum. Environ. 2004, 33, 300–306. [Google Scholar] [CrossRef] [PubMed]
- Dong, Z.; Wu, L.; Chai, J.; Zhu, Y.; Chen, Y.; Zhu, Y. Effects of nitrogen application rates on rice grain yield, nitrogen-use efficiency, and water quality in paddy field. Commun. Soil Sci. Plant Anal. 2015, 46, 1579–1594. [Google Scholar] [CrossRef]
- Bian, Z.H.; Yang, Q.C.; Liu, W.K. Effects of light quality on the accumulation of phytochemicals in vegetables produced in controlled environments: A review. J. Sci. Food Agric. 2015, 95, 869–877. [Google Scholar] [CrossRef] [PubMed]
- Zheng, W.; Zhang, M.; Liu, Z.; Zhou, H.; Lu, H.; Zhang, W.; Yang, Y.; Li, C.; Chen, B. Combining controlled-release urea and normal urea to improve the nitrogen use efficiency and yield under wheat-maize double cropping system. Field Crops Res. 2016, 197, 52–62. [Google Scholar] [CrossRef]
- Timilsena, Y.P.; Adhikari, R.; Casey, P.; Muster, T.; Gill, H.; Adhikari, B. Enhanced efficiency fertilisers: A review of formulation and nutrient release patterns. J. Sci. Food Agric. 2015, 95, 1131–1142. [Google Scholar] [CrossRef]
- Jat, R.A.; Wani, S.P.; Sahrawat, K.L.; Singh, P.; Dhaka, S.; Dhaka, B. Recent approaches in nitrogen management for sustainable agricultural production and eco-safety. Arch. Agron. Soil Sci. 2012, 58, 1033–1060. [Google Scholar] [CrossRef]
- Geng, J.; Ma, Q.; Zhang, M.; Li, C.; Liu, Z.; Lyu, X.; Zheng, W. Synchronized relationships between nitrogen release of controlled release nitrogen fertilizers and nitrogen requirements of cotton. Field Crops Res. 2015, 184, 9–16. [Google Scholar] [CrossRef]
- Zhijie, W.; Jianmin, Z. Present situation, trend and strategy of control-released fertilizer and slow-released fertilizer in China. Rev. China Agric. Sci. Technol. 2001, 3, 73–76. [Google Scholar]
- Shaviv, A. Advances in controlled-release fertilizers. Adv. Agron. 2001, 71, 1–49. [Google Scholar]
- Yang, X.; Geng, J.; Li, C.; Zhang, M.; Tian, X. Cumulative release characteristics of controlled-release nitrogen and potassium fertilizers and their effects on soil fertility, and cotton growth. Sci. Rep. 2016, 6, 39030. [Google Scholar] [CrossRef]
- Gao, X.; Li, C.; Zhang, M.; Wang, R.; Chen, B. Controlled release urea improved the nitrogen use efficiency, yield and quality of potato (Solanum tuberosum L.) on silt loamy soil. Field Crops Res. 2015, 181, 60–68. [Google Scholar] [CrossRef]
- Lu, R.S. Chemical Analysis Methods of Soil and Agriculture; China Agricultural Science and Technology Press: Beijing, China, 2000. [Google Scholar]
- Hu, L.; Liao, W.; Dawuda, M.M.; Yu, J.; Lv, J. Appropriate NH 4+: NO 3− ratio improves low light tolerance of mini Chinese cabbage seedlings. BMC Plant Biol. 2017, 17, 22. [Google Scholar] [CrossRef] [PubMed]
- Arya, S.; Mahajan, M.; Jain, P. Non-spectrophotometric methods for the determination of Vitamin C. Anal. Chim. Acta 2000, 417, 1–14. [Google Scholar] [CrossRef]
- Li, H.; Sun, Q.; Zhao, S.; Zhang, W. Principles and Techniques of Plant Physiological Biochemical Experiment; Higher Education Press: Beijing, China, 2000; pp. 195–197. [Google Scholar]
- Sedmak, J.J.; Grossberg, S.E. A rapid, sensitive, and versatile assay for protein using Coomassie brilliant blue G250. Anal. Biochem. 1977, 79, 544–552. [Google Scholar] [CrossRef]
- Cataldo, D.; Maroon, M.; Schrader, L.; Youngs, V. Rapid colorimetric determination of nitrate in plant tissue by nitration of salicylic acid. Commun. Soil Sci. Plant Anal. 1975, 6, 71–80. [Google Scholar] [CrossRef]
- Vlaic, R.A.; Muresan, V.; Muresan, A.E.; Muresan, C.C.; Paucean, A.; Mitre, V.; Chis, S.M.; Muste, S. The changes of polyphenols, flavonoids, anthocyanins and chlorophyll content in plum peels during growth phases: From fructification to ripening. Not. Bot. Horti Agrobot. Cluj-Napoca 2018, 46, 148–155. [Google Scholar] [CrossRef]
- Lindström, A.; Nyström, C. Seasonal variation in root hardiness of container-grown Scots pine, Norway spruce, and lodgepole pine seedlings. Can. J. For. Res. 1987, 17, 787–793. [Google Scholar] [CrossRef]
- Wany, A.; Pathak, P.K.; Gupta, K.J. Methods for Measuring Nitrate Reductase, Nitrite Levels, and Nitric Oxide from Plant Tissues. In Nitrogen Metabolism in Plants; Springer: Berlin/Heidelberg, Germany, 2020; pp. 15–26. [Google Scholar]
- Watson, M.; Galliher, T. Comparison of Dumas and Kjeldahl methods with automatic analyzers on agricultural samples under routine rapid analysis conditions. Commun. Soil Sci. Plant Anal. 2001, 32, 2007–2019. [Google Scholar] [CrossRef]
- Konieczynski, P.; Wesolowski, M. Total phosphorus and its extractable form in plant drugs. Interrelation with selected micro-and macroelements. Food Chem. 2007, 103, 210–216. [Google Scholar] [CrossRef]
- Neața, G.; Gheorghița, H.; Teodorescu, R.I.; Basarabă, A.; Petcuci, A.; Rodica, S. Phosphorus, Potassium and Nitrate Contents in Fruit of Pickling Cucumbers Grown in a High Tunnel. Not. Bot. Horti Agrobot. Cluj-Napoca 2016, 44, 541–547. [Google Scholar] [CrossRef][Green Version]
- Dordas, C. Dry matter, nitrogen and phosphorus accumulation, partitioning and remobilization as affected by N and P fertilization and source–sink relations. Eur. J. Agron. 2009, 30, 129–139. [Google Scholar] [CrossRef]
- Devkota, M.; Martius, C.; Lamers, J.; Sayre, K.; Devkota, K.; Vlek, P.L. Tillage and nitrogen fertilization effects on yield and nitrogen use efficiency of irrigated cotton. Soil Tillage Res. 2013, 134, 72–82. [Google Scholar] [CrossRef]
- Cassman, K.G.; Peng, S.; Olk, D.; Ladha, J.; Reichardt, W.; Dobermann, A.; Singh, U. Opportunities for increased nitrogen-use efficiency from improved resource management in irrigated rice systems. Field Crops Res. 1998, 56, 7–39. [Google Scholar] [CrossRef]
- Fageria, N.; Baligar, V. Methodology for evaluation of lowland rice genotypes for nitrogen use efficiency. J. Plant Nutr. 2003, 26, 1315–1333. [Google Scholar] [CrossRef]
- Chen, X.; Xu, W.; Wang, C.; Chen, Y.; Chi, S.; Xiong, S.; Xie, W.; Chen, R.; Zhang, J.; Xiong, Z. Slow-release fertilizer containing urease inhibitor and nitrification inhibitor improving nitrogen release characteristic and uptake and utilization of nitrogen, phosphorus and potassium in tomato. Trans. Chin. Soc. Agric. Eng. 2015, 31, 168–176. [Google Scholar]
- Li, T.; Chen, X.; Xu, W.; Chi, S.; Zhao, W.; Li, Y.; Zhang, C.; Feng, D.; He, Z.; Wang, Z. Effects of coated slow-release fertilizer with urease and nitrification inhibitors on nitrogen release characteristic and uptake and utilization of nitrogen, phosphorus and potassium in cabbage. Int. J. Agric. Biol. 2018, 20, 422–430. [Google Scholar]
- Giroto, A.S.; Guimarães, G.G.; Foschini, M.; Ribeiro, C. Role of slow-release nanocomposite fertilizers on nitrogen and phosphate availability in soil. Sci. Rep. 2017, 7, 46032. [Google Scholar] [CrossRef]
- Dalling, M.; Boland, G.; Wilson, J. Relation between acid proteinase activity and redistribution of nitrogen during grain development in wheat. Funct. Plant Biol. 1976, 3, 721–730. [Google Scholar] [CrossRef]
- Tu, B.; Liu, C.; Tian, B.; Zhang, Q.; Liu, X.; Herbert, S.J. Reduced abscisic acid content is responsible for enhanced sucrose accumulation by potassium nutrition in vegetable soybean seeds. J. Plant Res. 2017, 130, 551–558. [Google Scholar] [CrossRef]
- Xiaohong, T.; Saigusa, M. Merits, utilization, perspectives of controlled-release nitrogen fertilizers. Tohoku J. Agric. Res. 2002, 52, 39–55. [Google Scholar]
- Zhang, J.; Lv, J.; Dawuda, M.M.; Xie, J.; Yu, J.; Li, J.; Zhang, X.; Tang, C.; Wang, C.; Gan, Y. Appropriate Ammonium-Nitrate Ratio Improves Nutrient Accumulation and Fruit Quality in Pepper (Capsicum annuum L.). Agronomy 2019, 9, 683. [Google Scholar] [CrossRef]
- Zhao, Y.; Zhao, T.C.; Wang, S.R. Nitrogen release characteristics of slow/controlled release fertilizer in soil and its effect on nitrogen uptake of spring corn. Chin. Agric. Sci. Bull. 2015, 31, 163–168. [Google Scholar]
- Raun, W.R.; Johnson, G.; Westerman, R. Fertilizer nitrogen recovery in long-term continuous winter wheat. Soil Sci. Soc. Am. J. 1999, 63, 645–650. [Google Scholar] [CrossRef][Green Version]
- Shi, W.-M.; Yao, J.; Yan, F. Vegetable cultivation under greenhouse conditions leads to rapid accumulation of nutrients, acidification and salinity of soils and groundwater contamination in South-Eastern China. Nutr. Cycl. Agroecosyst. 2009, 83, 73–84. [Google Scholar] [CrossRef]
- Tian, C.; Zhou, X.; Liu, Q.; Peng, J.-w.; Wang, W.-m.; Zhang, Z.-h.; Yang, Y.; Song, H.-x.; Guan, C.-y. Effects of a controlled-release fertilizer on yield, nutrient uptake, and fertilizer usage efficiency in early ripening rapeseed (Brassica napus L.). J. Zhejiang Univ. Sci. B 2016, 17, 775–786. [Google Scholar] [CrossRef] [PubMed]
- Khan, A.; Ali, B.; Afzal, M.; Wahab, S.; Khalil, S.; Amin, N.; Ping, Q.; Qiaojing, T.; Zhou, W. Effects of sulfur and urease coated controlled release urea on dry matter yield, N uptake and grain quality of rice. J. Anim. Plant Sci. 2015, 25, 679–685. [Google Scholar]
- Ni, B.; Liu, M.; Lü, S. Multifunctional slow-release urea fertilizer from ethylcellulose and superabsorbent coated formulations. Chem. Eng. J. 2009, 155, 892–898. [Google Scholar] [CrossRef]
- Dai, J.-J.; Fan, X.-L.; Yu, J.-G.; Fang, L.; Zhang, Q. Study on the rapid method to predict longevity of controlled release fertilizer coated by water soluble resin. Agric. Sci. China 2008, 7, 1127–1132. [Google Scholar] [CrossRef]
- Miao, Y.; Stewart, B.A.; Zhang, F. Long-term experiments for sustainable nutrient management in China. A review. Agron. Sustain. Dev. 2011, 31, 397–414. [Google Scholar] [CrossRef]
- Zhang, F.; Niu, J.; Zhang, W.; Chen, X.; Li, C.; Yuan, L.; Xie, J. Potassium nutrition of crops under varied regimes of nitrogen supply. Plant Soil 2010, 335, 21–34. [Google Scholar] [CrossRef]
- Juan, Y.H.; Chen, Z.H.; Chen, L.J.; Qiu, W.W.; Zhang, L.L.; Zhang, Y.L. Kinetics of Soil Urease in Four Agricultural Soils Affected by Urease Inhibitor PPD at Contrasting Moisture Regimes. Commun. Soil Sci. Plant Anal. 2014, 45, 2268–2276. [Google Scholar] [CrossRef]
- Zhu, Z.; Chen, D. Nitrogen fertilizer use in China–Contributions to food production, impacts on the environment and best management strategies. Nutr. Cycl. Agroecosyst. 2002, 63, 117–127. [Google Scholar] [CrossRef]
- Gilsanz, C.; Báez, D.; Misselbrook, T.H.; Dhanoa, M.S.; Cárdenas, L.M. Development of emission factors and efficiency of two nitrification inhibitors, DCD and DMPP. Agric. Ecosyst. Environ. 2016, 216, 1–8. [Google Scholar] [CrossRef]
- Shi, Y.X.; Liu, S.Q.; Lu, Y.; Cao, Y.Z. Effects of Boric Acid/Dicyandiamide Double Inhibitor Slow-release fertilizer on Rape Yield and Nitrogen Utilization. North. Hortic. 2014, 19, 183–187. [Google Scholar]
- Li, J.; Liu, T.; Xin, C.G. Effects of urease inhibitors on urea conversion and N2O emission from calcareous soil. J. Agro Environ. Sci. 2014, 33, 1866–1872. [Google Scholar]





| Treatment | N (kg ha−1) | P (kg ha−1) | K (kg ha−1) | Total Fertilizer (kg ha−1) | |||
|---|---|---|---|---|---|---|---|
| Rooting Period | Production Period | Rooting Period | Production Period | Rooting Period | Production Period | ||
| CK | 0 | 0 | 0 | 0 | 0 | 0 | — |
| CF | 298.5 | 357.0 | 394.5 | 165.0 | 46.5 | 108.0 | 1369.5 |
| SRF | 298.5 | 357.0 | 394.5 | 165.0 | 46.5 | 108.0 | 1369.5 |
| SRFR | 219.0 | 219.0 | 90.0 | 90.0 | 162.0 | 162.0 | 942.0 |
| Year | Treatment | Yield (kg ha−1) | Total Yield (kg ha−1) | Increase in Total Yield Compared to CF(kg ha−1) | Increase in Total Yield Compare to CF(%) | ||
|---|---|---|---|---|---|---|---|
| First Harvest | Second Harvest | Third Harvest | |||||
| 2018 | CK | 11,540.0 ± 253.1c | 9340.1 ± 69.8c | 6758.4 ± 60.6d | 27,638.4 ± 235.8c | - | - |
| CF | 14,699.9 ± 102.4b | 11,892.0 ± 83.1b | 9483.5 ± 129.2c | 36,075.3 ± 142.7b | - | - | |
| SRF | 22,700.0 ± 303.6a | 16,160.1 ± 160.7a | 13,805.0 ± 142.3a | 52,665.0 ± 584.5a | 16,589.7 | 46.0 | |
| SRFR | 22,560.0 ± 158.6a | 15,900.0 ± 176.3a | 13,203.5 ± 106.0b | 51,663.5 ± 385.4a | 15,588.2 | 43.2 | |
| 2019 | CK | 10,446.5 ± 192.3c | 8692.5 ± 120.0c | 5460.6 ± 248.0c | 24,599.6 ± 530.2c | - | - |
| CF | 16,443.7 ± 115.7b | 13,302.8 ± 117.5b | 9108.5 ± 90.9b | 38,855.0 ± 291.7b | - | - | |
| SRF | 23,204.9 ± 105.5a | 16,354.6 ± 975.0a | 11,864.4 ± 116.6a | 51,423.9 ± 1002.91a | 12,568.9 | 32.3 | |
| SRFR | 22,975.6 ± 181.5a | 16,144.4 ± 179.0a | 11,680.9 ± 177.3a | 50,800.9 ± 331.1a | 11,945.9 | 30.7 | |
| Year (Y) | * | ns | *** | ns | *** | *** | |
| Treatment (T) | *** | *** | *** | *** | ns | ns | |
| T × Y | *** | . | *** | *** | ns | ns | |
| Year | Treatment | Revenue (CNY ha−1) | Increase in Revenue Compared to CF (%) | Fertilizer Cost (CNY ha−1) | Fertilization Labor Cost (CNY.time−1) | Net Return (CNY ha−1) | Increase Revenue Compare to CF (%) |
|---|---|---|---|---|---|---|---|
| 2018 | CK | 89,258.7 ± 1279.6c | - | - | - | - | - |
| CCF | 114,383.6 ± 374.8b | - | 15,025.5 | 350.0 | 99,008.1 ± 374.8b | - | |
| SRF | 16,9792.2 ± 2033.3a | 48.4 | 16,909.5 | 200.0 | 152,622.7 ± 2033.3a | 54.2 | |
| SRFR | 167,882.7 ± 1319.4a | 46.8 | 14,039.9 | 200.0 | 153,642.8 ± 1319.4a | 55.2 | |
| 2019 | CK | 74,416.2 ± 1336.4c | - | - | - | - | |
| CCF | 116,613.4 ± 837.7b | - | 20,864.9 | 300.0 | 101,287.9 ± 837.7b | - | |
| SRF | 156,120.7 ± 2834a | 33.9 | 6825.0 | 250.0 | 138,961.2 ± 2834a | 37.2 | |
| SRFR | 154,352.7 ± 1191a | 32.4 | 21,850.5 | 250.0 | 140,062.8 ± 1191a | 38.3 |
| Years | Treatments | N | P | K | |||
|---|---|---|---|---|---|---|---|
| Crop Harvest (kg ha−1) | Soil N Surplus | Crop Harvest (kg ha−1) | Soil P Surplus | Crop Harvest (kg ha−1) | Soil K Surplus | ||
| 2018 | CK | 90.5 ± 1.5d | -14.8 ± 1.5d | 10.9 ± 0.4e | 117.8 ± 0.4d | 36.3 ± 0.3c | 25.1 ± 0.3d |
| CF | 168.4 ± 0.7c | 592.4 ± 0.7a | 37.8 ± 0.5c | 650.4 ± 0.5a | 82.6 ± 0.1b | 133.3 ± 0.1b | |
| SRF | 260.1 ± 0.6a | 500.7 ± 0.6b | 55.6 ± 0.5a | 632.6 ± 0.5b | 126.0 ± 2.4a | 89.9 ± 2.4c | |
| SRFR | 230.7 ± 0.8b | 312.6 ± 0.8c | 42.5 ± 0.5b | 266.2 ± 0.5c | 130.1 ± 0.9a | 255.3 ± 0.9a | |
| 2019 | CK | 29.7 ± 0.7d | 75.6 ± 0.7d | 7.2 ± 0.1c | 121.5 ± 0.1d | 9.6 ± 0.5d | 51.8 ± 0.5d |
| CF | 103.6 ± 1.6c | 657.2 ± 1.6a | 21.0 ± 1.1b | 667.2 ± 1.1a | 38.8 ± 1.7c | 177.1 ± 1.7b | |
| SRF | 140.6 ± 2.3a | 620.7 ± 2.3b | 29.9 ± 0.5a | 658.3 ± 0.5b | 56.2 ± 1.7a | 159.7 ± 1.7c | |
| SRFR | 129.7 ± 2.0b | 413.6 ± 2.0c | 23.3 ± 1.8b | 285.4 ± 1.8c | 47.0 ± 1.5b | 338.4 ± 1.5a | |
| Year (Y) | *** | *** | *** | *** | *** | *** | |
| Treatment (T) | *** | *** | ** | *** | *** | *** | |
| Y × T | *** | *** | . | *** | *** | *** | |
| Year | Treatment | Leaf | Stem | Root | |||
|---|---|---|---|---|---|---|---|
| N Uptake (kg ha−1) | Distribution Rate (%) | N Uptake (kg ha−1) | Distribution Rate (%) | N Uptake (kg ha−1) | Distribution Rate (%) | ||
| 2018 | CK | 68.9 ± 1.5d | 30.4 ± 0.5a | 21.6 ± 0.0d | 9.5 ± 0.1d | 136.2 ± 0.3c | 60.1 ± 0.4c |
| CF | 92.8 ± 0.6c | 16.1 ± 0.1c | 75.6 ± 0.2b | 13.1 ± 0.1b | 409.5 ± 6.9a | 70.9 ± 0.3a | |
| SRF | 186.2 ± 0.5a | 29.4 ± 0.3a | 74.0 ± 0.3c | 11.7 ± 0.1c | 373.8 ± 6.0b | 59.0 ± 0.4c | |
| SRFR | 145.8 ± 0.5b | 23.2 ± 0.2b | 84.9 ± 0.6a | 13.5 ± 0.1a | 396.8 ± 6.2a | 63.2 ± 0.3b | |
| 2019 | CK | 22.4 ± 0.9d | 33.4 ± 1.7a | 7.3 ± 0.2c | 10.9 ± 0.9a | 38.8 ± 5c | 55.7 ± 2.3b |
| CF | 77.6 ± 1.2c | 27.9 ± 1.8b | 26.0 ± 1.5b | 9.3 ± 0.7a | 178.3 ± 14.5ab | 62.8 ± 2.2a | |
| SRF | 109.1 ± 3.4a | 31.5 ± 0.2ab | 31.6 ± 1.1a | 9.2 ± 0.5a | 206.1 ± 5.3a | 59.3 ± 0.4ab | |
| SRFR | 101.4 ± 1.8b | 35.5 ± 1.2a | 28.3 ± 0.3b | 10.0 ± 0.4a | 158.7 ± 8.5b | 54.5 ± 1.5b | |
| Year (Y) | *** | *** | *** | *** | *** | *** | |
| Treatment (T) | *** | *** | *** | * | *** | *** | |
| Y × T | *** | *** | *** | *** | *** | *** | |
| Year | Treatment | Leaf | Stem | Root | |||
|---|---|---|---|---|---|---|---|
| P Uptake (kg ha−1) | Distribution Rate (%) | P uptake (kg ha−1) | Distribution Rate (%) | P Uptake (kg ha−1) | Distribution Rate (%) | ||
| 2018 | CK | 7.5 ± 0.30d | 15.7 ± 0.8b | 3.5 ± 0.0c | 7.2 ± 0.1c | 36.8 ± 0.8c | 77.0 ± 0.8ab |
| CF | 19.4 ± 0.30c | 11.0 ± 0.2c | 18.5 ± 0.0a | 10.5 ± 0.1a | 137.9 ± 1.8a | 78.5 ± 0.4a | |
| SRF | 39.6 ± 0.45a | 21.5 ± 0.2a | 16.1 ± 0.2b | 8.7 ± 0.1b | 128.7 ± 0.5b | 69.8 ± 0.2c | |
| SRFR | 26.6 ± 0.15b | 15.0 ± 0.0b | 15.9 ± 0.6b | 9.0 ± 0.4b | 134.4 ± 1.2a | 76.0 ± 0.4b | |
| 2019 | CK | 5.2 ± 0.1c | 20.6 ± 1.5a | 2.1 ± 0.1c | 8.3 ± 0.5a | 19.1 ± 2.3b | 71.18 ± 1.9a |
| CF | 14.8 ± 1.1b | 19.6 ± 2.7a | 6.2 ± 0.6b | 8.1 ± 0.6a | 57.5 ± 7.6a | 72.3 ± 3a | |
| SRF | 20.9 ± 0.6a | 20.8 ± 1.7a | 9.0 ± 1.0a | 9.4 ± 1.3a | 69.1 ± 4.1a | 69.8 ± 1.3a | |
| SRFR | 15.9 ± 1.8b | 18.9 ± 1.4a | 7.4 ± 0.4ab | 8.9 ± 0.5a | 61.3 ± 4.3a | 72.2 ± 1.0a | |
| Year (Y) | *** | *** | *** | ns | *** | *** | |
| Treatment (T) | *** | ** | *** | . | *** | ** | |
| Y × T | *** | * | *** | * | *** | ns | |
| Year | Treatment | Leaf | Stem | Root | |||
|---|---|---|---|---|---|---|---|
| K Uptake (kg ha−1) | Distribution Rate (%) | K Uptake (kg ha−1) | Distribution Rate (%) | K Uptake (kg ha−1) | Distribution Rate (%) | ||
| 2018 | CK | 21.2 ± 0.4d | 26.1 ± 0.5b | 15.2 ± 0.6d | 18.7 ± 0.8a | 44.9 ± 0.3c | 55.3 ± 0.3c |
| CF | 63.0 ± 0.3c | 26.6 ± 0.2b | 19.7 ± 0.2c | 8.3 ± 0.1c | 154.1 ± 1.1b | 65.1 ± 0.2a | |
| SRF | 93.5 ± 2.4b | 33.1 ± 0.6a | 32.6 ± 0.2a | 11.5 ± 0.2b | 156.2 ± 1.1b | 55.3 ± 0.5c | |
| SRFR | 104.6 ± 1.1a | 34.0 ± 0.2a | 25.5 ± 0.3b | 8.3 ± 0.2c | 177.2 ± 2.3a | 57.7 ± 0.2b | |
| 2019 | CK | 5.5 ± 0.3d | 22.2 ± 1.2b | 4.2 ± 0.2c | 16.9 ± 1.0a | 15.4 ± 0.8b | 60.9 ± 2.2a |
| CF | 24.3 ± 0.1c | 21.5 ± 1.9b | 14.5 ± 1.7b | 12.6 ± 0.4b | 76.7 ± 7.8a | 65.9 ± 1.5a | |
| SRF | 38.3 ± 2.5a | 26.8 ± 1.1a | 17.9 ± 0.8a | 12.8 ± 1.4b | 87.0 ± 7.9a | 60.4 ± 1.9a | |
| SRFR | 31.7 ± 1.5b | 25.5 ± 1.2ab | 15.3 ± 0.5ab | 12.3 ± 0.2b | 78.5 ± 2.3a | 62.2 ± 0.9a | |
| Year (Y) | *** | *** | *** | *** | *** | *** | |
| Treatment (T) | *** | ** | *** | *** | *** | * | |
| Y × T | *** | *** | *** | ** | *** | *** | |
| Year | Treatment | UE (%) | AE (kg kg−1) | PEP (kg kg−1) | ||||||
|---|---|---|---|---|---|---|---|---|---|---|
| N | P | K | N | P | K | N | P | K | ||
| 2018 | CF | 11.9 ± 0.3c | 4.8 ± 0.07c | 30.0 ± 0.1b | 12.9 ± 0.4c | 15.1 ± 0.5c | 54.6 ± 1.7c | 55 ± 0.2c | 64.5 ± 0.2c | 233.5 ± 0.9b |
| SRF | 25.9 ± 0.1b | 8.0 ± 0.03b | 58.1 ± 1.1a | 38.2 ± 0.6b | 143.5 ± 1.4a | 162 ± 2.8a | 80.4 ± 0.9b | 94.1 ± 1 b | 340.9 ± 3.8a | |
| SRFR | 32.0 ± 0.5a | 17.5 ± 0.5a | 28.9 ± 0.2b | 54.9 ± 0.5a | 133.5 ± 1.3b | 74.1 ± 0.7b | 118 ± 0.9a | 287 ± 2.1a | 159.5 ± 1.2c | |
| 2019 | CF | 11.3 ± 0.2c | 2.5 ± 0.2b | 18.9 ± 1.4b | 16.2 ± 0.2b | 19.0 ± 0.2b | 68.7 ± 0.6b | 45.4 ± 0.3b | 53.2 ± 0.4b | 192.5 ± 1.4b |
| SRF | 16.9 ± 0.3b | 4.1 ± 0.1b | 30.1 ± 1.2a | 28.2 ± 3.1b | 101.4 ± 2.8a | 119.6 ± 13.3a | 57.4 ± 2.8b | 67.3 ± 3.2b | 243.5 ± 12.0a | |
| SRFR | 22.8 ± 0.6a | 8.9 ± 1.0a | 11.5 ± 0.4c | 46.6 ± 4.5a | 113.4 ± 10.9a | 63.0 ± 6.1b | 90.3 ± 5.1a | 219.8 ± 12.4a | 122.1 ± 6.9c | |
| Year (Y) | *** | *** | *** | * | *** | * | *** | *** | *** | |
| Treatment (T) | *** | *** | *** | *** | *** | *** | *** | *** | *** | |
| Y × T | *** | *** | *** | * | * | * | ** | * | *** | |
© 2020 by the authors. Licensee MDPI, Basel, Switzerland. This article is an open access article distributed under the terms and conditions of the Creative Commons Attribution (CC BY) license (http://creativecommons.org/licenses/by/4.0/).
Share and Cite
Wang, C.; Lv, J.; Coulter, J.A.; Xie, J.; Yu, J.; Li, J.; Zhang, J.; Tang, C.; Niu, T.; Gan, Y. Slow-Release Fertilizer Improves the Growth, Quality, and Nutrient Utilization of Wintering Chinese Chives (Allium tuberosum Rottler ex Spreng.). Agronomy 2020, 10, 381. https://doi.org/10.3390/agronomy10030381
Wang C, Lv J, Coulter JA, Xie J, Yu J, Li J, Zhang J, Tang C, Niu T, Gan Y. Slow-Release Fertilizer Improves the Growth, Quality, and Nutrient Utilization of Wintering Chinese Chives (Allium tuberosum Rottler ex Spreng.). Agronomy. 2020; 10(3):381. https://doi.org/10.3390/agronomy10030381
Chicago/Turabian StyleWang, Cheng, Jian Lv, Jeffrey A. Coulter, Jianming Xie, Jihua Yu, Jing Li, Jing Zhang, Chaonan Tang, Tianhang Niu, and Yantai Gan. 2020. "Slow-Release Fertilizer Improves the Growth, Quality, and Nutrient Utilization of Wintering Chinese Chives (Allium tuberosum Rottler ex Spreng.)" Agronomy 10, no. 3: 381. https://doi.org/10.3390/agronomy10030381
APA StyleWang, C., Lv, J., Coulter, J. A., Xie, J., Yu, J., Li, J., Zhang, J., Tang, C., Niu, T., & Gan, Y. (2020). Slow-Release Fertilizer Improves the Growth, Quality, and Nutrient Utilization of Wintering Chinese Chives (Allium tuberosum Rottler ex Spreng.). Agronomy, 10(3), 381. https://doi.org/10.3390/agronomy10030381

