Investigating the Proper Application Rate of Nitrogen under Mulched Drip Irrigation to Improve the Yield and Quality of Tomato in Saline Soil
Abstract
1. Introduction
2. Materials and Methods
2.1. Experimental Site
2.2. Experimental Design
2.3. Field Measurements
2.3.1. Soil Water Storage
2.3.2. Soil Salinity
2.3.3. Fresh Fruit Yield and Quality
2.4. Statistics
3. Results and Discussion
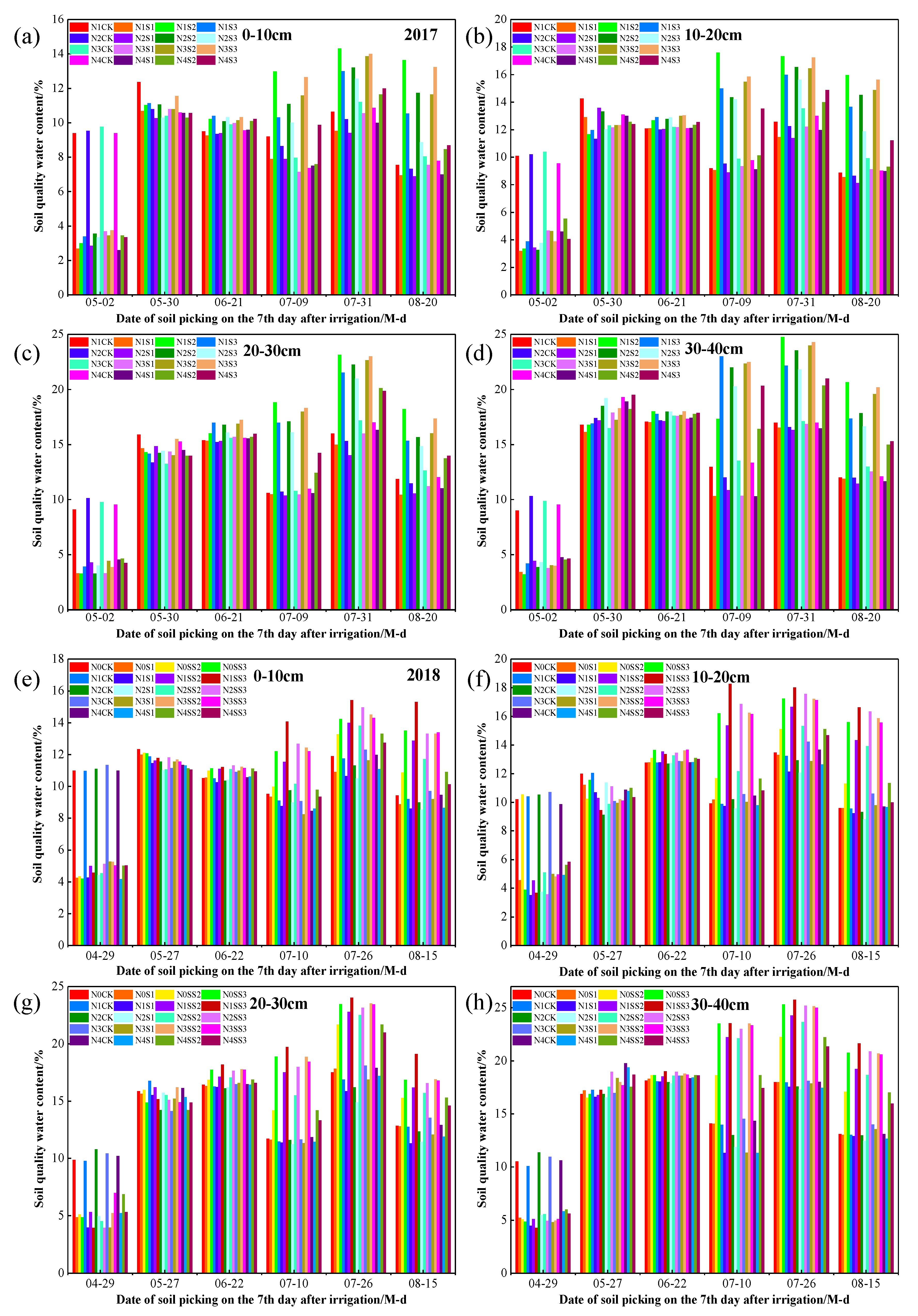
3.1. Dynamic Characteristics of Soil Moisture
3.2. Soil Salt Distribution Characteristics
3.3. Fresh Fruit Yield and Quality
3.3.1. Responses of Yield and Quality of Processing Tomato Fresh Fruit to Nitrogen and Soil Salinity
3.3.2. Determination of the Optimal Range for Processing Tomato Yield and Quality
4. Conclusions
Author Contributions
Funding
Conflicts of Interest
References
- Ren, Z.; Li, Y.; Fang, W.; Yan, D.; Huang, B.; Zhu, J.; Wang, X.; Wang, X.; Wang, Q.; Guo, M.; et al. Evaluation of allyl isothiocyanate as a soil fumigant against soil-borne diseases in commercial tomato (Lycopersicon esculentum Mill.) production in China. Pest. Manag. Sci. 2018, 74, 2146–2155. [Google Scholar] [CrossRef] [PubMed]
 - Chen, W.; Hou, Z.; Wu, L.; Liang, Y.; Wei, C. Evaluating salinity distribution in soil irrigated with saline water in arid regions of northwest China. Agric. Water Manag. 2010, 97, 2001–2008. [Google Scholar] [CrossRef]
 - Xi, J.; Zhang, F.; Mao, D.; Tian, C.; Song, Y.; Liu, D. Saline-soil distribution and halophyte resources in Xinjiang. Chin. J. Soil Sci. 2005, 36, 299–303. [Google Scholar]
 - Liu, H.; Wang, X.; Xian, Z.; Zhang, L.; Yan, L.; Huang, G. Evaluation on the responses of maize (Zea mays L.) growth, yield and water use efficiency to drip irrigation water under mulch condition in the Hetao irrigation District of China. Agric. Water Manag. 2017, 179, 144–157. [Google Scholar] [CrossRef]
 - Yang, A.; Akhtar, S.S.; Iqbal, S.; Amjad, M.; Naveed, M.; Zahir, Z.A.; Jacobsen, S.E. Enhancing salt tolerance in quinoa by halotolerant bacterial inoculation. Funct. Plant Biol. 2016, 43, 632–642. [Google Scholar] [CrossRef]
 - Razavizadeh, R.; Ehsanpour, A.A.; Ahsan, N.; Komatsu, S. Proteome analysis of tobacco leaves under salt stress. Peptides 2009, 30, 1651–1659. [Google Scholar] [CrossRef]
 - Scandalios, J.G. Oxygen stress and superoxide dismutases. Plant Physiol. 1993, 101, 7–12. [Google Scholar] [CrossRef]
 - Bassil, E.S.; Kaffka, S.R. Response of safflower (Carthamus tinctorius L.) to saline soils and irrigation: I. Consumptive water use. Agric. Water Manag. 2002, 54, 67–80. [Google Scholar] [CrossRef]
 - Bassil, E.S.; Kaffka, S.R. Response of safflower (Carthamus tinctorius L.) to saline soils and irrigation: II. Crop response to salinity. Agric. Water Manag. 2002, 54, 81–92. [Google Scholar] [CrossRef]
 - Hanson, B.R.; May, D.M. Crop coefficients for drip-irrigated processing tomato. Agric. Water Manag. 2006, 81, 381–399. [Google Scholar] [CrossRef]
 - Hanson, B.; May, D. Effect of subsurface drip irrigation on processing tomato yield, water table depth, soil salinity, and profitability. Agric. Water Manag. 2007, 68, 1–17. [Google Scholar] [CrossRef]
 - Roberts, T.L.; White, S.A.; Warrick, A.W.; Thompson, T.L. Tape depth and germination method influence patterns of salt accumulation with subsurface drip irrigation. Agric. Water Manag. 2008, 95, 669–677. [Google Scholar] [CrossRef]
 - Ayars, J.E.; Phene, C.J.; Hutmacher, R.B.; Davis, K.R.; Schoneman, R.A.; Vail, S.S.; Mead, R.M. Subsurface drip irrigation of row crops: A review of 15 years of research at the Water Management Research Laboratory. Agric. Water Manag. 1999, 42, 1–27. [Google Scholar] [CrossRef]
 - Batchelor, C.; Lovell, C.; Murata, M. Simple microirrigation techniques for improving irrigation efficiency on vegetable gardens. Agric. Water Manag. 1996, 32, 37–48. [Google Scholar] [CrossRef]
 - Karlberg, L.; Vries, F.W.P. Exploring potentials and constraints of low-cost drip irrigation with saline water in sub-Saharan Africa. Phys. Chem. Earth 2004, 29, 1035–1042. [Google Scholar] [CrossRef]
 - National Bureau of Statistics. Xinjiang Statistical Yearbook; China Statistics Press: Beijing, China, 2015.
 - Hanson, B.R.; Hutmacher, R.B.; May, D.M. Drip irrigation of tomato and cotton under shallow saline ground water conditions. Irrig. Drain. Syst. 2006, 20, 155–175. [Google Scholar] [CrossRef]
 - Rajak, D.; Manjunatha, M.V.; Rajkumar, G.R.; Hebbara, M.; Minhas, P.S. Comparative effects of drip and furrow irrigation on the yield and water productivity of cotton (Gossypium hirsutum L.) in a saline and waterlogged vertisol. Agric. Water Manag. 2006, 83, 30–36. [Google Scholar] [CrossRef]
 - Kashyap, P.S.; Panda, R.K. Effect of irrigation scheduling on potato crop parameters under water stressed conditions. Agric. Water Manag. 2003, 59, 49–66. [Google Scholar] [CrossRef]
 - Kochsiek, A.; Ciganda, V.; Bryan, N.; Hite, L.; Awada, T. Ecophysiolgoical responses of schizachyrium scoparium to water and nitrogen manipulations. Great Plains Res. 2006, 16, 29–36. [Google Scholar]
 - Wang, Z.; Fan, B.; Guo, L. Soil salinization after long-term mulched drip irrigation poses a potential risk to agricultural sustainability. Euro. J. Soil Sci. 2019, 70, 20–24. [Google Scholar] [CrossRef]
 - Tan, J.L.; Kang, Y.H. Changes in soil properties under the influences of cropping and drip irrigation during the reclamation of severe salt-affected soils. Agric. Sci. China 2009, 8, 1228–1237. [Google Scholar] [CrossRef]
 - Buttery, R.G.; Teranishi, R.; Flath, R.A.; Ling, L.C. Identification of additional tomato paste volatiles. J. Agric. Food Chem. 1990, 38, 792–795. [Google Scholar] [CrossRef]
 - Chung, T.Y.; Hayase, F.; Kato, H. Volatile Components of Ripe Tomatoes and Their Juices, Purées and Pastes. J. Agric. Chem. Soc. Jpn. 2006, 47, 9. [Google Scholar]
 - Kazeniac, S.J.; Hall, R.M. Flavor chemistry of tomato volatiles. J. Food Sci. 2010, 35, 519–530. [Google Scholar] [CrossRef]
 - Miki, N. Effects of chemical components on the browning of tomato juice. J. Agric. Chem. Soc. Jpn. 1974, 38, 499–506. [Google Scholar]
 - Min, S.; Zhang, Q.H. Effects of commercial-scale pulsed electric field processing on flavor and color of tomato juice. J. Food Sci. 2010, 68, 1600–1606. [Google Scholar] [CrossRef]
 - Huang, Y.; Lu, R.; Dong, H.; Chen, K. Quality assessment of tomato fruit by optical absorption and scattering properties. Postharvest Biol. Technol. 2018, 143, 78–85. [Google Scholar] [CrossRef]
 - Johnstone, P.R.; Hartz, T.K.; Lestrange, M.; Nunez, J.J.; Miyao, E.M.; Hartz, T.K.; Lestrange, M.; Nunez, J.J.; Miyao, E.M. Managing fruit soluble solids with late-season deficit irrigation in drip-irrigated processing tomato production. Hortsci 2005, 40, 1857–1861. [Google Scholar] [CrossRef]
 - Gierson, D.; Kader, A.A. Fruit Ripening and Quality; Chapman & Hall: London, UK, 1986. [Google Scholar]
 - Zhang, T.Q.; Tan, C.S.; Liu, K.; Drury, C.F.; Papadopoulos, A.P.; Warner, J. Yield and economic assessments of fertilizer nitrogen and phosphorus for processing tomato with drip fertigation. Agric. J. 2010, 102, 774–780. [Google Scholar] [CrossRef]
 - Khan, M.M.R.; Rahman, M.M.; Islam, M.S.; Begum, S.A. A simple UV-spectrophotometric method for the determination of vitamin c content in various fruits and vegetables at Sylhet area in Bangladesh. J. Biol. Sci. 2006, 6, 388–392. [Google Scholar] [CrossRef]
 - Akhtar, S.S.; Andersen, M.N.; Liu, F. Residual effects of biochar on improving growth, physiology and yield of wheat under salt stress. Agric. Water Manag. 2015, 158, 61–68. [Google Scholar] [CrossRef]
 - Qi, Z.; Hao, F.; Ying, Z.; Zhang, T.; Yang, A.; Zhang, Z. Spatial distribution and simulation of soil moisture and salinity under mulched drip irrigation combined with tillage in an arid saline irrigation district, northwest China. Agric. Water Manag. 2018, 201, 219–231. [Google Scholar] [CrossRef]
 - Wenhao, L.Z.W.; Xurong, Z. Effects of freezing and thawing on soil salinity in cotton fields by long-term drip irrigation of saline-alkaline soil in North Xinjiang. Agric. Res. Arid Areas 2015, 33, 40–46. [Google Scholar]
 - Sobhani, G.; Golchin, A.; Shekari, F. Effects of different levels of nitrogen and induced-NaCl stress on yield and growth indices of tomato. J. Sci. Technol. Greenh. Cult. 2014, 5, 49–63. [Google Scholar]
 - Cuartero, J.; Fernández-Muñoz, R. Tomato and salinity. Sci. Hortic. 1998, 78, 83–125. [Google Scholar] [CrossRef]
 - Eltez, R.Z.; Tüzel, Y.; Gül, A.; Tüzel, I.H.; Duyar, H. Effects of different Ec levels of nutrient solution on greenhouse tomato growing. Acta Hortic. 2002, 573, 443–448. [Google Scholar] [CrossRef]
 - Keutgen, A.J.; Pawelzik, E. Contribution of amino acids to strawberry fruit quality and their relevance as stress indicators under NaCl salinity. Food Chem. 2008, 111, 642–647. [Google Scholar] [CrossRef]
 - Yurtseven, E.; Kesmez, G.D.; Ünlükara, A. The effects of water salinity and potassium levels on yield, fruit quality and water consumption of a native central Anatolian tomato species (Lycopersicon esculantum). Agric. Water Manag. 2005, 78, 128–135. [Google Scholar] [CrossRef]
 






| Years | Soil Salt Treatments | Dry Bulk Density (g/cm3) | Total Nitrogen (g/kg) | Total Phosphorus (g/kg) | Total Potassium (g/kg) | Available Phosphorus (mg/kg) | Available Potassium (g/kg) | Field Water Holding Capacity (%) | pH | EC (ms/cm) | 
|---|---|---|---|---|---|---|---|---|---|---|
| 2017 | CK | 1.32 | 0.62 | 0.87 | 7.5 | 30.87 | 420.57 | 28.61 | 7.73 | 0.63 | 
| S1 | 1.27 | 0.56 | 0.83 | 7.4 | 31.05 | 416.85 | 30.88 | 7.84 | 2.25 | |
| S2 | 1.30 | 0.61 | 0.76 | 6.6 | 28.68 | 419.21 | 33.14 | 8.11 | 3.89 | |
| S3 | 1.27 | 0.53 | 0.82 | 6.9 | 26.36 | 417.73 | 29.97 | 8.42 | 5.41 | |
| 2018 | CK | 1.35 | 0.65 | 0.78 | 8.3 | 31.30 | 415.27 | 28.40 | 7.67 | 0.60 | 
| S1 | 1.33 | 0.61 | 0.80 | 7.9 | 31.18 | 415.35 | 28.45 | 7.88 | 2.28 | |
| SS2 | 1.31 | 0.63 | 0.74 | 8.1 | 31.23 | 415.33 | 28.41 | 7.96 | 2.87 | |
| SS3 | 1.29 | 0.64 | 0.77 | 7.7 | 31.10 | 415.29 | 28.46 | 8.19 | 3.82 | 
| Years | Growth Stage | Date | Water Treatment | Fertilizer Treatment | |||||||
|---|---|---|---|---|---|---|---|---|---|---|---|
| Irrigation Amount (mm) | Irrigation Frequency | Urea (kg/ha) * | Monoammonium Phosphate (kg/ha) | Potassium Chloride (kg/ha) | Potassium Chloride (kg/ha) | ||||||
| N1 | N2 | N3 | N4 | ||||||||
| 2017 | Seedling stage | May 3 to 31 | 50 | 1 | 47 | 38 | 28 | 19 | 28 | 28 | 1 | 
| Flowering stage | June 1 to 21 | 150 | 3 | 141 | 112 | 84 | 56 | 84 | 84 | 3 | |
| Expansion stage | June 22 to July 31 | 200 | 4 | 187 | 150 | 113 | 75 | 113 | 113 | 4 | |
| Mature stage | August 1 to 20 | 50 | 1 | - | - | - | - | - | - | - | |
| Total growth stage | - | 450 | 9 | 375 | 300 | 225 | 150 | 225 | 225 | 8 | |
| 2018 | Seedling stage | April 30 to May 27 | 50 | 1 | 47 | 38 | 28 | 19 | 28 | 28 | 1 | 
| Flowering stage | May 28 to June 22 | 150 | 3 | 141 | 112 | 84 | 56 | 84 | 84 | 3 | |
| Expansion stage | June 23 to July 26 | 200 | 4 | 187 | 150 | 113 | 75 | 113 | 113 | 4 | |
| Mature stage | July 27 to August 15 | 50 | 1 | - | - | - | - | - | - | - | |
| total growth stage | - | 450 | 9 | 375 | 300 | 225 | 150 | 225 | 225 | 8 | |
| Treatment | Fresh Fruit Yield (kg/pot) | Fruit Mean Weight (g) | TSS (%) | VC (mg/100g) | SSC (%) | TA (%) | SAR (%) | 
|---|---|---|---|---|---|---|---|
| 2017 | |||||||
| N1CK | 2.31 ± 0.12ab | 33.60 ± 0.28d | 7.34 ± 0.07h | 15.74 ± 0.08i | 7.05 ± 0.11j | 0.42 ± 0.02j | 16.64 ± 0.01g | 
| N1S1 | 2.33 ± 0.04a | 35.05 ± 0.14c | 13.86 ± 0.08g | 18.55 ± 0.09ef | 10.91 ± 0.09g | 0.61 ± 0.01g | 17.78 ± 0.08d | 
| N1S2 | 0.77 ± 0.08g | 23.31 ± 0.17i | 18.32 ± 0.06a | 21.89 ± 0.15a | 13.79 ± 0.06a | 0.90 ± 0.03d | 15.26 ± 0.01j | 
| N1S3 | 1.05 ± 0.10de | 25.62 ± 0.16g | 18.04 ± 0.04c | 19.74 ± 0.11cd | 11.89 ± 0.13d | 1.33 ± 0.01a | 8.92 ± 0.07k | 
| N2CK | 2.35 ± 0.13a | 35.51 ± 0.02b | 7.35 ± 7.00h | 15.76 ± 0.07i | 7.01 ± 0.14j | 0.41 ± 0.02jk | 16.95 ± 0.11f | 
| N2S1 | 2.38 ± 0.11a | 35.07 ± 0.13c | 13.85 ± 0.11g | 18.53 ± 0.09ef | 10.86 ± 0.15gh | 0.60 ± 0.04gh | 18.00 ± 0.06c | 
| N2S2 | 1.90 ± 0.07c | 27.85 ± 0.06f | 18.26 ± 0.07ab | 21.84 ± 0.11a | 13.74 ± 0.04ab | 0.89 ± 0.01de | 15.38 ± 0.07ij | 
| N2S3 | 1.13 ± 0.09d | 24.74 ± 0.13h | 17.94 ± 0.06d | 19.69 ± 0.03d | 11.84 ± 0.06de | 1.32 ± 0.03ab | 8.95 ± 0.05k | 
| N3CK | 2.31 ± 0.12ab | 34.97 ± 0.11c | 7.22 ± 0.12i | 16.17 ± 0.05h | 6.96 ± 0.07jk | 0.40 ± 0.01k | 17.25 ± 0.13e | 
| N3S1 | 2.34 ± 0.17a | 35.08 ± 0.04c | 13.85 ± 0.11g | 18.35 ± 0.11fg | 10.81 ± 0.06hi | 0.59 ± 0.02hi | 18.21 ± 0.07b | 
| N3S2 | 0.92 ± 0.05ef | 22.28 ± 0.10k | 18.26 ± 0.09ab | 20.95 ± 0.13b | 13.69 ± 0.04bc | 0.88 ± 0.04ef | 15.50 ± 0.05hi | 
| N3S3 | 0.88 ± 0.08fg | 22.54 ± 0.22j | 17.76 ± 0.12e | 19.45 ± 0.14d | 11.79 ± 0.03ef | 1.31 ± 0.06bc | 8.98 ± 0.07k | 
| N4CK | 2.34 ± 0.12a | 35.72 ± 0.11ab | 7.24 ± 0.14i | 15.66 ± 0.13i | 6.91 ± 0.15k | 0.38 ± 0.01l | 18.02 ± 0.13c | 
| N4S1 | 2.36 ± 0.09a | 36.24 ± 0.25a | 13.84 ± 0.11g | 18.00 ± 0.07g | 10.76 ± 0.10i | 0.58 ± 0.01i | 18.44 ± 0.11a | 
| N4S2 | 2.18 ± 0.13b | 33.35 ± 0.09e | 18.19 ± 0.07b | 20.12 ± 0.09c | 13.64 ± 0.07c | 0.87 ± 0.02f | 15.62 ± 0.05h | 
| N4S3 | 1.97 ± 0.05c | 27.83 ± 0.02f | 17.55 ± 0.08f | 18.92 ± 0.14e | 11.74 ± 0.08f | 1.30 ± 0.03c | 9.01 ± 0.06k | 
| 2018 | |||||||
| N0CK | 2.57 ± 0.09cdef | 37.77 ± 0.04h | 6.09 ± 0.0.7i | 15.80 ± 0.16i | 7.68 ± 0.06m | 0.48 ± 0.01l | 16.17 ± 0.05b | 
| N0S1 | 2.62 ± 0.03abcd | 38.64 ± 0.05g | 14.47 ± 0.08g | 18.56 ± 0.05h | 11.25 ± 0.02j | 0.68 ± 0.02i | 16.45 ± 0.03a | 
| N0SS2 | 2.12 ± 0.04i | 32.45 ± 0.08k | 16.90 ± 0.06e | 19.08 ± 0.09g | 13.06 ± 0.20h | 0.83 ± 0.02f | 15.66 ± 0.04cd | 
| N0SS3 | 2.15 ± 0.08i | 33.52 ± 0.16j | 19.04 ± 0.09c | 21.91 ± 0.14b | 13.69 ± 0.21d | 1.12 ± 0.01c | 12.18 ± 0.07g | 
| N1CK | 2.71 ± 0.07abcd | 40.72 ± 0.14c | 7.11 ± 0.11h | 15.86 ± 0.21i | 7.78 ± 0.05k | 0.52 ± 0.03j | 15.11 ± 0.08ef | 
| N1S1 | 2.74 ± 0.07abc | 41.04 ± 0.11b | 14.60 ± 0.12f | 19.24 ± 0.07e | 11.36 ± 0.04i | 0.73 ± 0.04g | 15.48 ± 0.09d | 
| N1SS2 | 2.25 ± 0.09hi | 34.35 ± 0.04i | 17.04 ± 0.14d | 20.36 ± 0.08c | 13.17 ± 0.11e | 0.88 ± 0.04d | 14.89 ± 0.11f | 
| N1SS3 | 1.69 ± 0.50k | 26.71 ± 0.08n | 19.25 ± 0.07a | 21.97 ± 0.17ab | 13.79 ± 0.13a | 1.17 ± 0.05a | 11.74 ± 0.12i | 
| N2CK | 2.75 ± 0.10ab | 41.51 ± 0.09a | 7.08 ± 0.06h | 15.85 ± 0.16i | 7.75 ± 0.11kl | 0.51 ± 0.04j | 15.18 ± 0.07e | 
| N2S1 | 2.79 ± 0.11a | 41.61 ± 0.15a | 14.55 ± 0.08fg | 19.20 ± 0.04ef | 11.33 ± 0.15i | 0.72 ± 0.03gh | 15.65 ± 0.04cd | 
| N2SS2 | 2.38 ± 0.08gh | 34.75 ± 0.14i | 17.00 ± 0.11d | 20.32 ± 0.11cd | 13.13 ± 0.05ef | 0.87 ± 0.04de | 15.02 ± 0.05ef | 
| N2SS3 | 1.87 ± 0.07j | 27.48 ± 0.1m | 19.20 ± 0.08ab | 22.02 ± 0.18a | 13.77 ± 0.06ab | 1.16 ± 0.06ab | 11.83 ± 0.06hi | 
| N3CK | 2.55 ± 0.01def | 40.34 ± 0.11d | 7.04 ± 0.07h | 15.83 ± 0.14i | 7.73 ± 0.12lm | 0.50 ± 0.01k | 15.61 ± 0.12cd | 
| N3S1 | 2.59 ± 0.03bcde | 39.38 ± 0.11f | 14.51 ± 0.03fg | 19.17 ± 0.08ef | 11.27 ± 0.13j | 0.71 ± 0.02hi | 15.78 ± 0.10c | 
| N3SS2 | 2.09 ± 0.11i | 29.97 ± 0.18l | 16.97 ± 0.07de | 20.28 ± 0.07cd | 13.11 ± 0.08fg | 0.86 ± 0.03e | 15.17 ± 0.07e | 
| N3SS3 | 2.18 ± 0.08i | 34.50 ± 0.10i | 19.16 ± 0.09ab | 21.98 ± 0.14ab | 13.74 ± 0.04bc | 1.15 ± 0.03b | 11.90 ± 0.03hi | 
| N4CK | 2.63 ± 0.06abcd | 39.61 ± 0.28e | 6.11 ± 0.08i | 15.82 ± 0.06i | 7.69 ± 0.12m | 0.49 ± 0.01kl | 15.82 ± 0.09c | 
| N4S1 | 2.68 ± 0.07abcd | 39.64 ± 0.17e | 14.47 ± 0.01g | 19.12 ± 0.18fg | 11.27 ± 0.16j | 0.69 ± 0.03i | 16.24 ± 0.01ab | 
| N4SS2 | 2.41 ± 0.04fgh | 38.76 ± 0.11g | 16.95 ± 0.05de | 20.24 ± 0.14d | 13.08 ± 0.14gh | 0.84 ± 0.02f | 15.49 ± 0.04d | 
| N4SS3 | 2.45 ± 0.12efg | 39.74 ± 0.11e | 19.11 ± 0.11bc | 21.94 ± 0.16ab | 13.70 ± 0.11cd | 1.13 ± 0.01c | 12.08 ± 0.07gh | 
| Indices | 2017 | 2018 | ||||
|---|---|---|---|---|---|---|
| N | S | N*S | N | S | N*S | |
| Fresh fruit yield | 179.40 ** | 705.67 ** | 69.96 ** | 9.99 ** | 160.28 ** | 11.13 ** | 
| Fruit mean weight | 1423.71 * | 10,683.32 | 475.11 ** | 1256.70 * | 9468.99 * | 1280.21 * | 
| TSS | 28.91 ** | 1.12 × 105 ** | 10.00 ** | 136.18 ** | 1.61 × 105 ** | 63.56 ** | 
| VC | 30.25 ** | 1092.12 * | 7.29 ** | 215.35 ** | 3.65 × 104 * | 69.48 ** | 
| SSC | 18.57 ** | 3.75 × 104 ** | 0.02 n.s. | 31.48 ** | 1.56 × 105 ** | 0.37 n.s. | 
| TA | 63.10 ** | 5.14 × 104 ** | 0.51 n.s. | 83.36 ** | 2.03 × 104 ** | 0.37 n.s. | 
| SAR | 101.82 ** | 2.48 × 104 ** | 21.24 ** | 64.35 ** | 2405.46 ** | 2.28 n.s. | 
© 2020 by the authors. Licensee MDPI, Basel, Switzerland. This article is an open access article distributed under the terms and conditions of the Creative Commons Attribution (CC BY) license (http://creativecommons.org/licenses/by/4.0/).
Share and Cite
Zhang, J.; Wang, Z.; Fan, B.; Hou, Y.; Dou, Y.; Ren, Z.; Chen, X. Investigating the Proper Application Rate of Nitrogen under Mulched Drip Irrigation to Improve the Yield and Quality of Tomato in Saline Soil. Agronomy 2020, 10, 293. https://doi.org/10.3390/agronomy10020293
Zhang J, Wang Z, Fan B, Hou Y, Dou Y, Ren Z, Chen X. Investigating the Proper Application Rate of Nitrogen under Mulched Drip Irrigation to Improve the Yield and Quality of Tomato in Saline Soil. Agronomy. 2020; 10(2):293. https://doi.org/10.3390/agronomy10020293
Chicago/Turabian StyleZhang, Jifeng, Zhenhua Wang, Bihang Fan, Yusheng Hou, Yunqing Dou, Zuoli Ren, and Xiaojie Chen. 2020. "Investigating the Proper Application Rate of Nitrogen under Mulched Drip Irrigation to Improve the Yield and Quality of Tomato in Saline Soil" Agronomy 10, no. 2: 293. https://doi.org/10.3390/agronomy10020293
APA StyleZhang, J., Wang, Z., Fan, B., Hou, Y., Dou, Y., Ren, Z., & Chen, X. (2020). Investigating the Proper Application Rate of Nitrogen under Mulched Drip Irrigation to Improve the Yield and Quality of Tomato in Saline Soil. Agronomy, 10(2), 293. https://doi.org/10.3390/agronomy10020293
        
