Treatment of WASTEWATER from the Tannery Industry in a Constructed Wetland Planted with Phragmites australis
Abstract
1. Introduction
2. Materials and Methods
2.1. Description of the Pilot Treatment System
2.2. Wetland Management and Sampling Strategy
2.3. Analytical Methods
2.4. Data Analysis
3. Results
3.1. Wastewater Characterization at the Inlet and Outlet of the Wetland
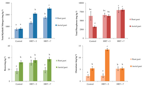
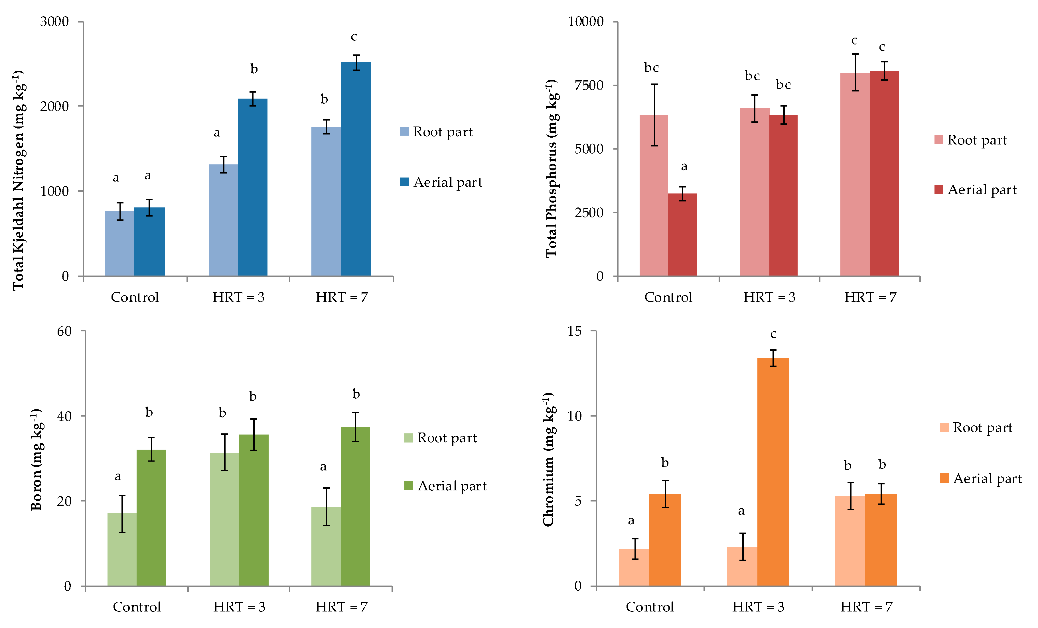
3.2. Absorption Capacity by Phragmites Australis
3.3. Substrate Influence
4. Discussion
4.1. Decreased Eutrophication Risk caused by the Constructed Wetland
4.2. Contamination Risk from Toxic Elements
5. Conclusions
Author Contributions
Funding
Conflicts of Interest
References
- Goh, P.S.; Ismail, A.F. A review on inorganic membranes for desalination and wastewater treatment. Desalination 2018, 434, 60–80. [Google Scholar] [CrossRef]
- Raper, E.; Stephenson, T.; Anderson, D.R.; Fisher, R.; Soares, A. Industrial wastewater treatment through bioaugmentation. Process Saf. Environ. Prot. 2018, 118, 178–187. [Google Scholar] [CrossRef]
- Crudu, M.; Deselnicu, V.; Deselnicu, D.C.; Albu, L. Valorization of titanium metal wastes as tanning agent used in leather industry. Waste Manag. 2014, 34, 1806–1814. [Google Scholar] [CrossRef] [PubMed]
- Wang, F.; Yu, C.; Xiong, L.; Chang, Y. How can agricultural water use efficiency be promoted in China? A spatial-temporal analysis. Resour. Conserv. Recycl. 2019, 145, 411–418. [Google Scholar] [CrossRef]
- Swain, A.K.; Sahoo, A.; Jena, H.M.; Patra, H. Industrial wastewater treatment by Aerobic Inverse Fluidized Bed Biofilm Reactors (AIFBBRs): A review. J. Water Process Eng. 2018, 23, 61–74. [Google Scholar] [CrossRef]
- Ricart, S.; Rico, A.M. Assessing technical and social driving factors of water reuse in agriculture: A review on risks, regulation and the yuck factor. Agric. Water Manag. 2019, 217, 426–439. [Google Scholar] [CrossRef]
- Nazer, D.W.; Al-Sa’Ed, R.M.; Siebel, M.A. Reducing the environmental impact of the unhairing-liming process in the leather tanning industry. J. Clean. Prod. 2006, 14, 65–74. [Google Scholar] [CrossRef]
- Nguyen, T.T.N.; Némery, J.; Gratiot, N.; Strady, E.; Quoc, V.; Truong, A.; Aimé, J.; Peyne, A. Science of the Total Environment Nutrient dynamics and eutrophication assessment in the tropical river system of Saigon – Dongnai ( southern Vietnam ). Sci. Total Environ. 2019, 653, 370–383. [Google Scholar] [CrossRef]
- Vignati, D.A.L.; Ferrari, B.J.D.; Roulier, J.; Coquery, M.; Szalinska, E.; Bobrowski, A.; Czaplicka, A. Science of the Total Environment Chromium bioavailability in aquatic systems impacted by tannery wastewaters. Part 1: Understanding chromium accumulation by indigenous chironomids. Sci. Total Environ. 2019, 653, 401–408. [Google Scholar] [CrossRef]
- Can, O.; Yakar, A.; Gür, N. Bioaccumulation and toxicity assessment of irrigation water contaminated with boron ( B ) using duckweed ( Lemna gibba L.) in a batch reactor system. J. Hazard. Mater. 2017, 324, 151–159. [Google Scholar]
- Salgot, M.; Folch, M.; Unit, S.S.; Goh, P.S.; Ismail, A.F.; Raper, E.; Stephenson, T.; Anderson, D.R.; Fisher, R.; Soares, A. A review on inorganic membranes for desalination and wastewater treatment. Process Saf. Environ. Prot. 2018, 118, 178–187. [Google Scholar]
- Gerek, E.E.; Yılmaz, S.; Koparal, A.S.; Gerek, N. Combined energy and removal efficiency of electrochemical wastewater treatment for leather industry. J. Water Process Eng. 2019, 30, 100382. [Google Scholar] [CrossRef]
- Gill, L.W.; Ring, P.; Casey, B.; Higgins, N.M.P.; Johnston, P.M. Long term heavy metal removal by a constructed wetland treating rainfall runoff from a motorway. Sci. Total Environ. 2017, 601–602, 32–44. [Google Scholar] [CrossRef] [PubMed]
- Di Luca, G.A.; Maine, M.A.; Mufarrege, M.M.; Hadad, H.R.; Pedro, M.C.; Sánchez, G.C.; Caffaratti, S.E. Phosphorus distribution pattern in sediments of natural and constructed wetlands. Ecol. Eng. 2017, 108, 227–233. [Google Scholar] [CrossRef]
- Bakhshoodeh, R.; Alavi, N.; Paydary, P. Composting plant leachate treatment by a pilot-scale, three-stage, horizontal flow constructed wetland in central Iran. Environ. Sci. Pollut. Res. 2017, 24, 23803–23814. [Google Scholar] [CrossRef] [PubMed]
- Kizito, S.; Lv, T.; Wu, S.; Ajmal, Z.; Luo, H.; Dong, R. Treatment of anaerobic digested effluent in biochar-packed vertical flow constructed wetland columns: Role of media and tidal operation. Sci. Total Environ. 2017, 592, 197–205. [Google Scholar] [CrossRef]
- Lu, S.; Zhang, X.; Wang, J.; Pei, L. Impacts of different media on constructed wetlands for rural household sewage treatment. J. Clean. Prod. 2016, 127, 325–330. [Google Scholar] [CrossRef]
- Caballero-Lajarín, A.; Zornoza, R.; Faz, A.; Lobera, J.B.; Muñoz, M.A.; Domínguez-Oliver, S.G. Combination of Low-Cost Technologies for Pig Slurry Purification under Semiarid Mediterranean Conditions. Water. Air. Soil Pollut. 2015, 226, 341. [Google Scholar] [CrossRef]
- Saggaï, M.M.; Ainouche, A.; Nelson, M.; Cattin, F.; El Amrani, A. Long-term investigation of constructed wetland wastewater treatment and reuse: Selection of adapted plant species for metaremediation. J. Environ. Manag. 2017, 201, 120–128. [Google Scholar] [CrossRef]
- Mulkeen, C.J.; Williams, C.D.; Gormally, M.J.; Healy, M.G. Seasonal patterns of metals and nutrients in Phragmites australis (Cav.) Trin. ex Steudel in a constructed wetland in the west of Ireland. Ecol. Eng. 2017, 107, 192–197. [Google Scholar] [CrossRef]
- Vymazal, J.; Březinová, T. Accumulation of heavy metals in aboveground biomass of Phragmites australis in horizontal flow constructed wetlands for wastewater treatment: A review. Chem. Eng. J. 2016, 290, 232–242. [Google Scholar] [CrossRef]
- Irwin, N.B.; Irwin, E.G.; Martin, J.F.; Aracena, P. Constructed wetlands for water quality improvements: Benefit transfer analysis from Ohio. J. Environ. Manag. 2018, 206, 1063–1071. [Google Scholar] [CrossRef] [PubMed]
- Saeed, T.; Afrin, R.; Al Muyeed, A.; Sun, G. Treatment of tannery wastewater in a pilot-scale hybrid constructed wetland system in Bangladesh. Chemosphere 2012, 88, 1065–1073. [Google Scholar] [CrossRef] [PubMed]
- APHA; AWWA. Standard Methods for Examination of Water and Wastewater; 22nd American Public Health Association: Washington, DC, USA, 2012. [Google Scholar]
- Duchaufour, P. Council Directive of 12 December 1991. 1970. [Google Scholar]
- Watanabe, F.S.; Olsen, S.R. Test of Ascorbic Acid Method for Determining Phosphorous in Water and NaHCO3 Extracts from Soil; Soil Science Society of America Proceedings: Madison, WI, USA, 1965. [Google Scholar]
- Risser, J.A.; Baker, D.E. Testing Soils for Toxic Metals; Westerman, R.L., Ed.; Soil Sciences Society of America Spec. Publ: Madison, WI, USA, 1990. [Google Scholar]
- Lavrnić, S.; Alagna, V.; Iovino, M.; Anconelli, S.; Solimando, D.; Toscano, A. Hydrological and hydraulic behaviour of a surface flow constructed wetland treating agricultural drainage water in northern Italy. Sci. Total Environ. 2020, 702, 134795. [Google Scholar] [CrossRef] [PubMed]
- Huang, J.; Xu, C.; Ridoutt, B.G.; Wang, X.; Ren, P. An Nitrogen and phosphorus losses and eutrophication potential associated with fertilizer application to cropland in China. J. Clean. Prod. 2017, 159, 171–179. [Google Scholar] [CrossRef]
- McIver, R.; Cullain, N.; Schmidt, A.L.; Lotze, H.K. Linking eutrophication indicators in eelgrass habitats to nitrogen loading and mitigating site characteristics in eastern New Brunswick, Canada. Mar. Environ. Res. 2019, 144, 141–153. [Google Scholar] [CrossRef]
- Cosme, N.; Jones, M.C.; Cheung, W.W.L.; Larsen, H.F. Spatial differentiation of marine eutrophication damage indicators based on species density. Ecol. Indic. 2017, 73, 676–685. [Google Scholar] [CrossRef]
- Zhang, W.; Jin, X.; Liu, D.; Lang, C.; Shan, B. Temporal and spatial variation of nitrogen and phosphorus and eutrophication assessment for a typical arid river — Fuyang River in northern China. J. Environ. Sci. (China) 2017, 55, 41–48. [Google Scholar] [CrossRef]
- Muñoz, M.A.; Rosales, R.M.; Gabarrón, M.; Faz, A.; Acosta, J.A. Effects of the Hydraulic Retention Time on Pig Slurry Purification by Constructed Wetlands and Stabilization Ponds. Water. Air. Soil Pollut. 2016, 227, 293. [Google Scholar] [CrossRef]
- Calheiros, C.S.C.; Quitério, P.V.B.; Silva, G.; Crispim, L.F.C.; Brix, H.; Moura, S.C.; Castro, P.M.L. Use of constructed wetland systems with Arundo and Sarcocornia for polishing high salinity tannery wastewater. J. Environ. Manag. 2012, 95, 66–71. [Google Scholar] [CrossRef]
- Steidl, J.; Kalettka, T.; Bauwe, A. Nitrogen retention efficiency of a surface-flow constructed wetland receiving tile drainage water: A case study from north-eastern Germany. Agric. Ecosyst. Environ. 2019, 283, 106577. [Google Scholar] [CrossRef]
- Vymazal, J. Removal of nutrients in various types of constructed wetlands. Sci. Total Environ. 2007, 380, 48–65. [Google Scholar] [CrossRef] [PubMed]
- Liu, X.; Zhang, Y.; Li, X.; Fu, C.; Shi, T.; Yan, P. Effects of influent nitrogen loads on nitrogen and COD removal in horizontal subsurface flow constructed wetlands during different growth periods of Phragmites australis. Sci. Total Environ. 2018, 635, 1360–1366. [Google Scholar] [CrossRef] [PubMed]
- Zhuang, L.-L.; Yang, T.; Zhang, J.; Li, X. The configuration, purification effect and mechanism of intensified constructed wetland for wastewater treatment from the aspect of nitrogen removal: A review. Bioresour. Technol. 2019, 293, 122086. [Google Scholar] [CrossRef] [PubMed]
- Sehar, S.; Sumera; Naeem, S.; Perveen, I.; Ali, N.; Ahmed, S. A comparative study of macrophytes influence on wastewater treatment through subsurface flow hybrid constructed wetland. Ecol. Eng. 2014, 81, 62–69. [Google Scholar] [CrossRef]
- Healy, M.G.; O’ Flynn, C.J. The performance of constructed wetlands treating primary, secondary and dairy soiled water in Ireland (a review). J. Environ. Manag. 2011, 92, 2348–2354. [Google Scholar] [CrossRef]
- Vymazal, J. Removal of phosphorus in constructed wetlands with horizontal sub-surface flow in the Czech Republic. Water Air Soil Pollut. Focus 2004, 4, 657–670. [Google Scholar] [CrossRef]
- Bolton, L.; Joseph, S.; Greenway, M.; Donne, S.; Munroe, P.; Marjo, C.E. Phosphorus adsorption onto an enriched biochar substrate in constructed wetlands treating wastewater. Ecol. Eng. X 2019, 1, 100005. [Google Scholar] [CrossRef]
- Gao, Y.; Xie, Y.W.; Zhang, Q.; Wang, A.L.; Yu, Y.X.; Yang, L.Y. Intensified nitrate and phosphorus removal in an electrolysis -integrated horizontal subsurface-flow constructed wetland. Water Res. 2017, 108, 39–45. [Google Scholar] [CrossRef]
- Liang, Y.; Zhu, H.; Bañuelos, G.; Yan, B.; Zhou, Q.; Yu, X.; Cheng, X. Constructed wetlands for saline wastewater treatment: A review. Ecol. Eng. 2017, 98, 275–285. [Google Scholar] [CrossRef]
- Mohammed, K.; Sahu, O. Recovery of chromium from tannery industry waste water by membrane separation technology: Health and engineering aspects. Sci. African 2019, 4, e00096. [Google Scholar] [CrossRef]
- Babiker, E.; Al-Ghouti, M.A.; Zouari, N.; McKay, G. Removal of boron from water using adsorbents derived from waste tire rubber. J. Environ. Chem. Eng. 2019, 7, 102948. [Google Scholar] [CrossRef]
- Venturi, S.; Vaselli, O.; Tassi, F.; Nisi, B.; Pennisi, M.; Cabassi, J.; Bicocchi, G.; Rossato, L. Geochemical and isotopic evidences for a severe anthropogenic boron contamination: A case study from Castelluccio (Arezzo, central Italy). Appl. Geochemistry 2015, 63, 146–157. [Google Scholar] [CrossRef]
- Zou, D.; Chi, Y.; Dong, J.; Fu, C.; Wang, F.; Ni, M. Supercritical water oxidation of tannery sludge: Stabilization of chromium and destruction of organics. Chemosphere 2013, 93, 1413–1418. [Google Scholar] [CrossRef] [PubMed]
- Kokkinos, E.; Proskynitopoulou, V.; Zouboulis, A. Chromium and energy recovery from tannery wastewater treatment waste: Investigation of major mechanisms in the framework of circular economy. J. Environ. Chem. Eng. 2019, 7, 103307. [Google Scholar] [CrossRef]
- Yıldırım, K.; Kasım, G.Ç. Phytoremediation potential of poplar and willow species in small scale constructed wetland for boron removal. Chemosphere 2018, 194, 722–736. [Google Scholar] [CrossRef] [PubMed]
- Türker, O.C.; Türe, C.; Böcük, H.; Çiçek, A.; Yakar, A. Role of plants and vegetation structure on boron (B) removal process in constructed wetlands. Ecol. Eng. 2016, 88, 143–152. [Google Scholar] [CrossRef]
- Zhu, H.; Bañuelos, G. Evaluation of two hybrid poplar clones as constructed wetland plant species for treating saline water high in boron and selenium, or waters only high in boron. J. Hazard. Mater. 2017, 333, 319–328. [Google Scholar] [CrossRef]
- Lizama Allende, K.; Fletcher, T.D.; Sun, G. The effect of substrate media on the removal of arsenic, boron and iron from an acidic wastewater in planted column reactors. Chem. Eng. J. 2012, 179, 119–130. [Google Scholar] [CrossRef]
- Ye, Z.H.; Lin, Z.Q.; Whiting, S.N.; De Souza, M.P.; Terry, N. Possible use of constructed wetland to remove selenocyanate, arsenic, and boron from electric utility wastewater. Chemosphere 2003, 52, 1571–1579. [Google Scholar] [CrossRef]
- Türker, O.C.; Yakar, A. A hybrid constructed wetland combined with microbial fuel cell for boron (B) removal and bioelectric production. Ecol. Eng. 2017, 102, 411–421. [Google Scholar] [CrossRef]
- Türker, O.C.; Vymazal, J.; Türe, C. Constructed wetlands for boron removal: A review. Ecol. Eng. 2014, 64, 350–359. [Google Scholar] [CrossRef]
- Zhang, S.; Bai, J.; Wang, W.; Huang, L.; Zhang, G.; Wang, D. Heavy metal contents and transfer capacities of Phragmites australis and Suaeda salsa in the Yellow River Delta, China. Phys. Chem. Earth 2018, 104, 3–8. [Google Scholar] [CrossRef]
- Calheiros, C.S.C.; Rangel, A.O.S.S.; Castro, P.M.L. Evaluation of different substrates to support the growth of Typha latifolia in constructed wetlands treating tannery wastewater over long-term operation. Bioresour. Technol. 2008, 99, 6866–6877. [Google Scholar] [CrossRef] [PubMed]
- Kamal, A.K.I.; Islam, M.R.; Hassan, M.; Ahmed, F.; Rahman, M.A.T.M.T.; Moniruzzaman, M. Bioaccumulation of Trace Metals in Selected Plants within Amin Bazar Landfill Site, Dhaka, Bangladesh. Environ. Process. 2016, 3, 179–194. [Google Scholar] [CrossRef]
- Sultana, M.Y.; Akratos, C.S.; Pavlou, S.; Vayenas, D.V. Chromium removal in constructed wetlands: A review. Int. Biodeterior. Biodegrad. 2014, 96, 181–190. [Google Scholar] [CrossRef]
- Papaevangelou, V.A.; Gikas, G.D.; Tsihrintzis, V.A. Chromium removal from wastewater using HSF and VF pilot-scale constructed wetlands: Overall performance, and fate and distribution of this element within the wetland environment. Chemosphere 2017, 168, 716–730. [Google Scholar] [CrossRef]
- Mandal, T.; Dasgupta, D.; Mandal, S.; Datta, S. Treatment of leather industry wastewater by aerobic biological and Fenton oxidation process. J. Hazard. Mater. 2010, 180, 204–211. [Google Scholar] [CrossRef]
- Mant, C.; Costa, S.; Williams, J.; Tambourgi, E. Phytoremediation of chromium by model constructed wetland. Bioresour. Technol. 2006, 97, 1767–1772. [Google Scholar] [CrossRef]
- Dotro, G.; Castro, S.; Tujchneider, O.; Piovano, N.; Paris, M.; Faggi, A.; Palazolo, P.; Larsen, D.; Fitch, M. Performance of pilot-scale constructed wetlands for secondary treatment of chromium-bearing tannery wastewaters. J. Hazard. Mater. 2012, 239–240, 142–151. [Google Scholar] [CrossRef]




| HRT = 3 days | HRT = 7 days | |||||||||||
|---|---|---|---|---|---|---|---|---|---|---|---|---|
| I3 (Control) | O3 | I7 (Control) | O7 | |||||||||
| Cell 1 | Cell 2 | Cell 3 | Cell 1 | Cell 2 | Cell 3 | Cell 1 | Cell 2 | Cell 3 | Cell 1 | Cell 2 | Cell 3 | |
| I Cycle | 3 | 3 | 3 | 3 | 3 | 3 | 3 | 3 | 3 | 3 | 3 | 3 |
| II Cycle | 3 | 3 | 3 | 3 | 3 | 3 | 3 | 3 | 3 | 3 | 3 | 3 |
| III Cycle | 3 | 3 | 3 | 3 | 3 | 3 | 3 | 3 | 3 | 3 | 3 | 3 |
| TOTAL | 27 | 27 | 27 | 27 | ||||||||
| Parameters | I3 | O3 | I7 | O7 | Removal Efficiency3 (%) | Removal Efficiency7 (%) | p-Values |
|---|---|---|---|---|---|---|---|
| pH | 7.9 ± 0.1 b | 7.4 ± 0.0 a | 7.2 ± 0.2 a | 7.4 ± 0.1 a | --- | --- | 0.030 |
| EC (dS m−1) | 13.7 ± 0.9 b | 11.6 ± 1.3 ab | 11.0 ± 0.4 a | 11.6 ± 0.4 ab | 15.3 | −5.6 | 0.019 |
| TKN (mg L−1) | 816 ± 12 b | 737 ± 39 b | 510 ± 60 a | 503 ± 27 a | 9.6 | 1.4 | 0.821 |
| TP (mg L−1) | 7.7 ± 6.8 c | 1.7 ± 1.6 a | 4.5 ± 2.6 b | 1.7 ± 0.1 a | 77.7 | 66.4 | 0.015 |
| B (mg L−1) | 4.5 ± 0.7 | 3.9 ± 0.3 | 4.5 ± 1.6 | 4.0 ± 1.0 | 13.4 | 10.8 | 0.230 |
| Cr (mg L−1) | 0.23 ± 0.0 b | 0.12 ± 0.0 a | 0.36 ± 0.1 c | 0.22 ± 0.1 b | 47.8 | 38.9 | 0.000 |
© 2020 by the authors. Licensee MDPI, Basel, Switzerland. This article is an open access article distributed under the terms and conditions of the Creative Commons Attribution (CC BY) license (http://creativecommons.org/licenses/by/4.0/).
Share and Cite
García-Valero, A.; Martínez-Martínez, S.; Faz, Á.; Terrero, M.A.; Muñoz, M.Á.; Gómez-López, M.D.; Acosta, J.A. Treatment of WASTEWATER from the Tannery Industry in a Constructed Wetland Planted with Phragmites australis. Agronomy 2020, 10, 176. https://doi.org/10.3390/agronomy10020176
García-Valero A, Martínez-Martínez S, Faz Á, Terrero MA, Muñoz MÁ, Gómez-López MD, Acosta JA. Treatment of WASTEWATER from the Tannery Industry in a Constructed Wetland Planted with Phragmites australis. Agronomy. 2020; 10(2):176. https://doi.org/10.3390/agronomy10020176
Chicago/Turabian StyleGarcía-Valero, Amalia, Silvia Martínez-Martínez, Ángel Faz, Martire Angélica Terrero, María Ángeles Muñoz, María Dolores Gómez-López, and José A. Acosta. 2020. "Treatment of WASTEWATER from the Tannery Industry in a Constructed Wetland Planted with Phragmites australis" Agronomy 10, no. 2: 176. https://doi.org/10.3390/agronomy10020176
APA StyleGarcía-Valero, A., Martínez-Martínez, S., Faz, Á., Terrero, M. A., Muñoz, M. Á., Gómez-López, M. D., & Acosta, J. A. (2020). Treatment of WASTEWATER from the Tannery Industry in a Constructed Wetland Planted with Phragmites australis. Agronomy, 10(2), 176. https://doi.org/10.3390/agronomy10020176
