Estimating Soybean Radiation Use Efficiency Using a UAV in Iowa
Abstract
1. Introduction
2. Materials and Methods
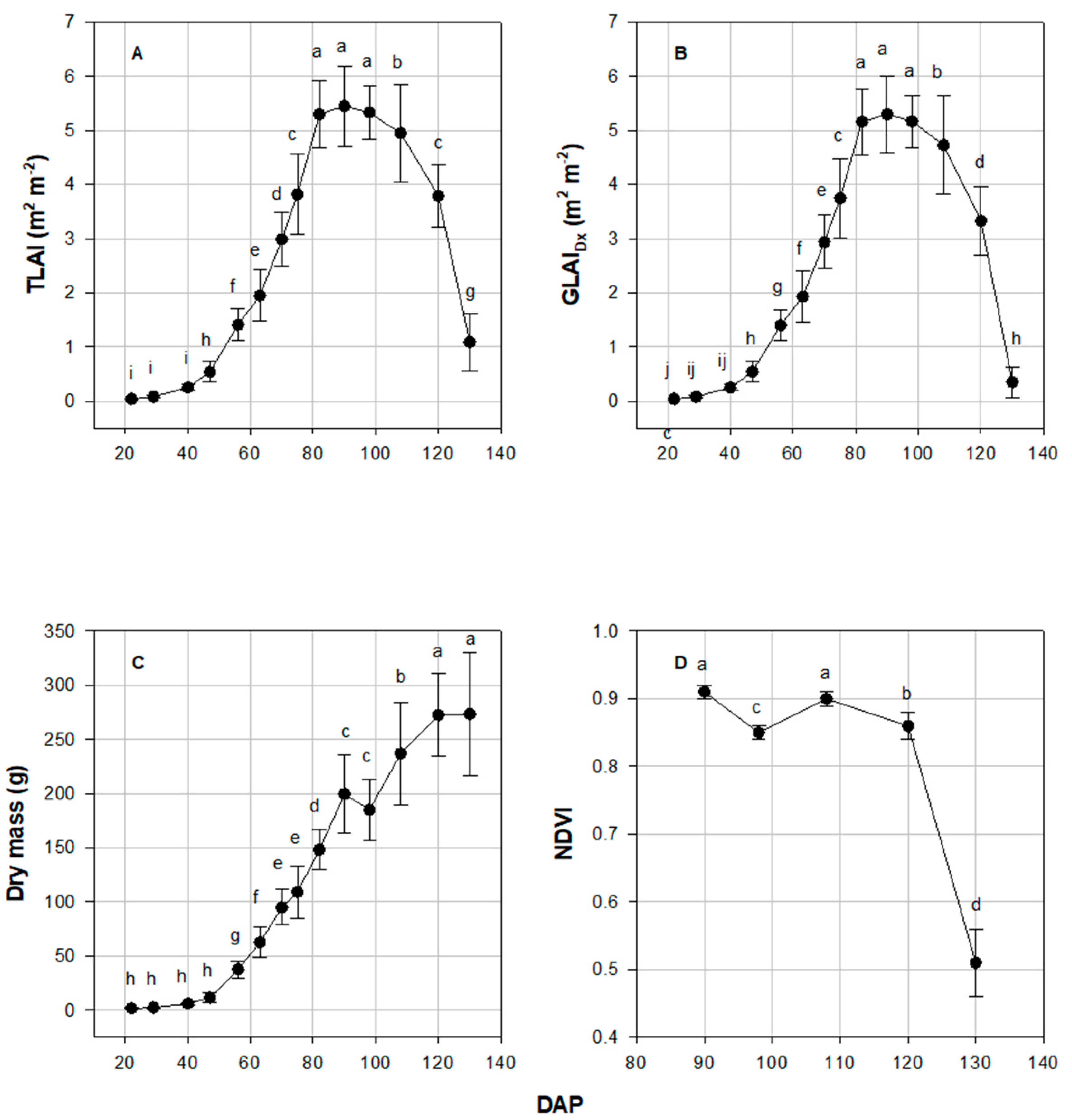
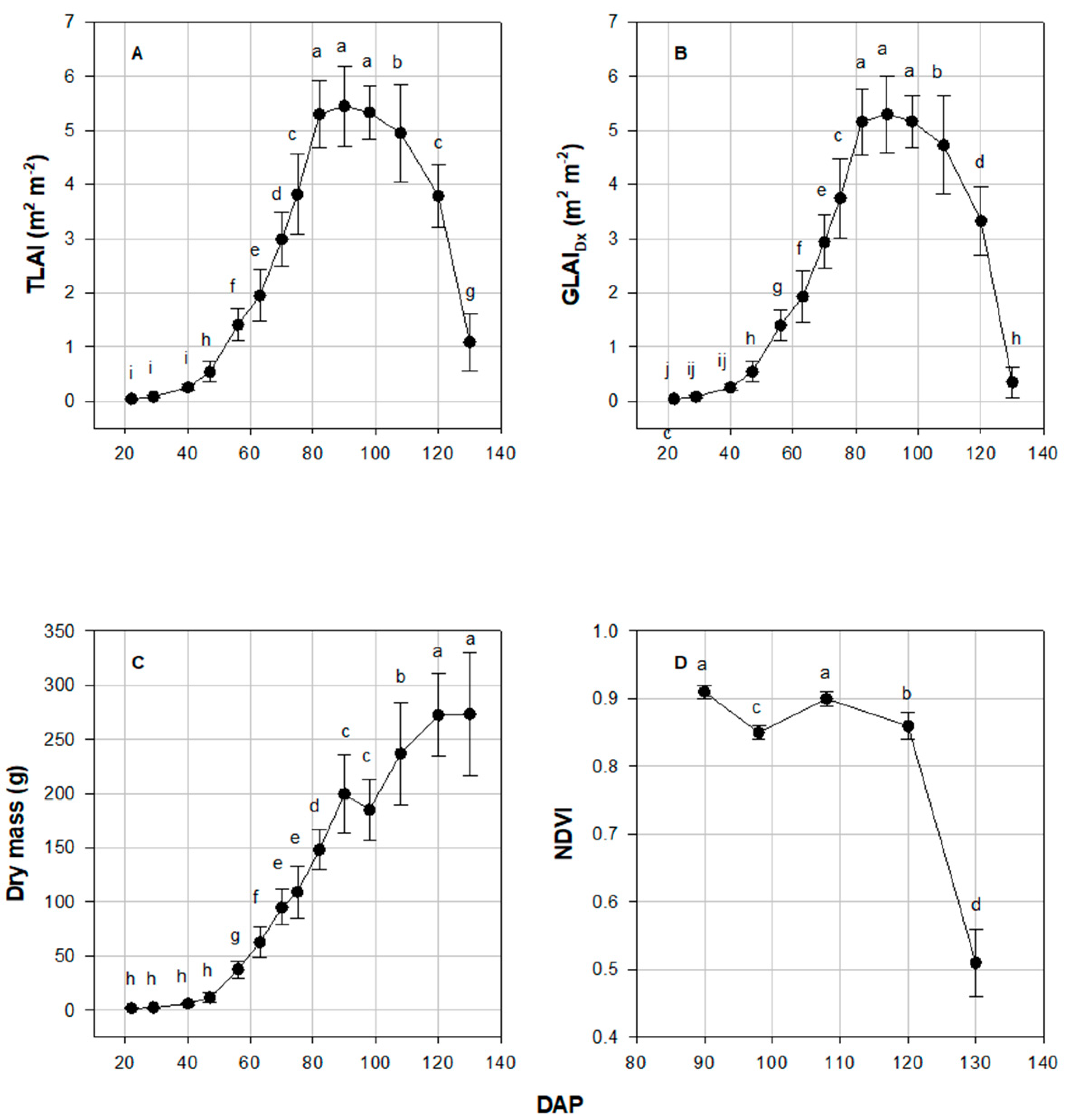
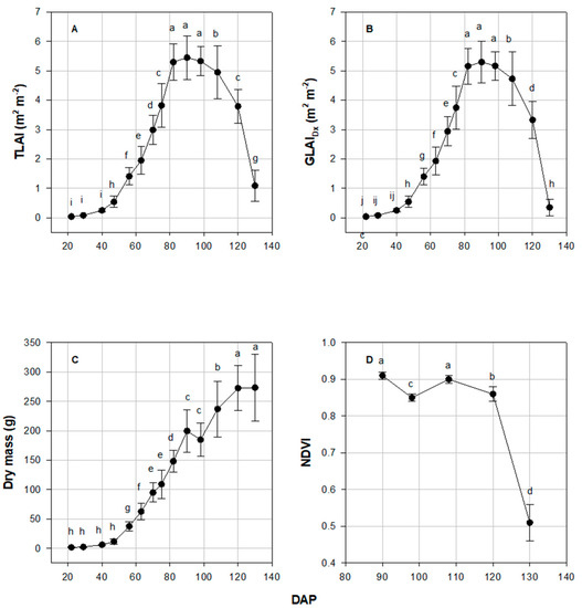
3. Results
4. Discussion
5. Conclusions
Supplementary Materials
Author Contributions
Funding
Acknowledgments
Conflicts of Interest
References
- Monteith, J.L. Climate and the efficiency of crop production in Britain. Philos. Trans. R. Soc. Lond. B 1977, 281, 277–294. [Google Scholar] [CrossRef]
- Muchow, R.C.; Robertson, M.J.; Pengelly, B.C. Radiation-use efficiency of soybean, mungbean and cowpea under different environmental conditions. Field Crops Res. 1993, 32, 1–16. [Google Scholar] [CrossRef]
- Morel, J.; Bégué, A.; Todoroff, P.; Martiné, J.F.; Lebourgeois, V.; Petit, M. Coupling a sugarcane crop model with the remotely sensed time series of fIPAR to optimize the yield estimation. Eur. J. Agron. 2014, 61, 60–68. [Google Scholar] [CrossRef]
- Gitelson, A.A.; Gamon, J.A. The need for a common basis for defining light-use efficiency: Implications for productivity estimation. Remote Sens. Environ. 2015, 156, 196–201. [Google Scholar] [CrossRef]
- Tewes, A.; Schellberg, J. Towards Remote Estimation of Radiation Use Efficiency in Maize Using UAV-Based Low-Cost Camera Imagery. Agronomy 2018, 8, 16. [Google Scholar] [CrossRef]
- Muchow, R.C. An analysis of the effects of water deficits on grain legumes grown in a semi-arid tropical environment in terms of radiation interception and its efficiency of use. Field Crops Res. 1985, 11, 309–323. [Google Scholar] [CrossRef]
- Santos, J.B.; Procópio, S.D.; Silva, A.A.; Costa, L.C. Capture and utilization of solar radiation by the soybean and common bean crops and by weeds. Bragantia 2003, 62, 147–153. [Google Scholar] [CrossRef][Green Version]
- Gitelson, A.A.; Peng, Y.; Arkebauer, T.J.; Schepers, J. Relationships between gross primary production, green LAI, and canopy Chlorophyll content in maize: Implications for remote sensing of primary production. Remote Sens. Environ. 2014, 144, 66–72. [Google Scholar] [CrossRef]
- Gamon, J.A.; Berry, J.A. Facultative and constitutive pigment effects on the Photochemical Reflectance Index (PRI) in sun and shade conifer needles. Isr. J. Plant Sci. 2012, 60, 85–95. [Google Scholar] [CrossRef]
- Adeboye, O.B.; Schultz, B.; Adekalu, K.O.; Prasad, K. Impact of water stress on radiation interception and radiation use efficiency of soybeans (Glycine max L. Merr.) in Nigeria. Braz. J. Sci. Technol. 2016, 3, 1–21. [Google Scholar] [CrossRef][Green Version]
- Nakaseko, K.; Gotoh, K. Comparative studies on dry matter production, plant type and productivity in soybean, azuki bean and kidney bean. Jpn. J. Crop Sci. 1983, 52, 49–58. [Google Scholar] [CrossRef]
- Schöffel, E.R.; Volpe, C.A. Conversion efficiency of photosynthetically active adiation intercepted by soybean for the production of biomass. Braz. J. Agrometeorol. 2001, 9, 241–249. [Google Scholar]
- Singer, J.W.; Meek, D.W.; Sauer, T.J.; Hatfield, J.L. Variability of light interception and radiation use efficiency in maize and sobean. Field Crops Res. 2011, 121, 147–152. [Google Scholar] [CrossRef]
- Confalone, A.E.; Dujmovich, M.N. Influence of deficit water on the efficiency of solar radiation on soybean. Brazilian J. Agrocienc. 1999, 5, 195–198. [Google Scholar]
- Souza, P.J.D.O.P.D.; Ribeiro, A.; da Rocha, E.J.P.; Farias, J.R.B.; Loureiro, R.S.; Bispo, C.C.; Sampaio, L. Solar radiation use efficiency by soybean under field conditions in the Amazon region. Pesqui. Agropecu. Bras. 2009, 44, 1211–1218. [Google Scholar] [CrossRef][Green Version]
- Kumudini, S.; Godoy, C.V.; Board, J.E.; Omielan, J.; Tollenaar, M. Mechanisms involved in soybean rust-induced yield reduction. Crop Sci. 2008, 48, 2334–2342. [Google Scholar] [CrossRef]
- Wise, K.; Mueller, D. Are fungicides no longer just for fungi? An analysis of foliar fungicide use in corn. APSnet Features 2011, 10. [Google Scholar] [CrossRef]
- Balba, H. Review of strobilurin fungicide chemicals. J. Environ. Sci. (China) 2007, 42, 441–451. [Google Scholar] [CrossRef]
- Bartlett, D.W.; Clough, J.M.; Godwin, J.R.; Hall, A.A.; Hamer, M.; Parr-Dobrzanski, B. The strobilurin fungicides. Pest Manag. Sci. 2002, 58, 649–662. [Google Scholar] [CrossRef]
- Morrison, M.J.; Voldeng, H.D.; Cober, E.R. Physiological changes from 58 years of genetic improvement of short-season soybean cultivars in Canada. Agron. J. 1999, 91, 685–689. [Google Scholar] [CrossRef]
- Kumudini, S.; Hume, D.J.; Chu, G. Genetic improvement in short season soybeans: I. Dry matter accumulation, partitioning, and leaf area duration. Crop Sci. 2001, 41, 391–398. [Google Scholar] [CrossRef]
- Kyveryga, P.M.; Blackmer, T.M.; Mueller, D.S. When do foliar pyraclostrobin fungicide applications produce profitable soybean yield responses? Plant Health Prog. 2013, 14, 6. [Google Scholar] [CrossRef]
- Bradley, K.W.; Sweets, L.E. Influence of glyphosate and fungicide coapplications on weed control, spray penetration, soybean response, and yield in glyphosate-resistant soybean. Agron. J. 2008, 100, 1360–1365. [Google Scholar] [CrossRef]
- Kandel, Y.R.; Mueller, D.S.; Hart, C.E.; Bestor, N.R.; Bradley, C.A.; Ames, K.A.; Giesler, L.J.; Wise, K.A. Analyses of yield and net economic response from foliar fungicide and insecticide applications to soybean in the North Central United States. Plant Health Prog. 2016, 17, 232–238. [Google Scholar] [CrossRef]
- Phillips, X.A.; Singh, A.K.; Kandel, Y.R.; Mueller, D.S. Effect of pod removal, foliar fungicides, and cultivar on green stem disorder of soybean. Agron. J. 2017, 109, 2680–2688. [Google Scholar] [CrossRef]
- Fehr, W.R.; Caviness, C.E. Stages of Soybean Development; Special Report 80; Iowa State University Coop. Ext. Serv.: Ames, IA, USA, 1977. [Google Scholar]
- Probst, A.H. Border effects in soybean nursery plots. J. Am. Soc. Agron. 1943, 35, 662–666. [Google Scholar] [CrossRef]
- Maitree, L.; Toyota, M. A high seed yield and associated attributes of dry matter production achieved by recent Japanese soybean cultivars. Plant Prod. Sci. 2017, 20, 193–204. [Google Scholar] [CrossRef]
- Smith, G.M.; Milton, E.J. The use of the empirical line method to calibrate remotely sensed data to reflectance. Int. J. Remote Sens. 1999, 20, 2653–2662. [Google Scholar] [CrossRef]
- Wang, C.; Myint, S.W. A simplified empirical line method of radiometric calibration for small unmanned aircraft systems-based remote sensing. IEEE J. Sel. Top. Appl. Earth Obs. Remote Sens. 2015, 8, 1876–1885. [Google Scholar] [CrossRef]
- Woebbecke, D.M.; Meyer, G.E.; Von Bargen, K.; Mortensen, D.A. Color indices for weed identification under various soil, residue and lighting conditions. Trans. Am. Soc. Agric. Eng. 1995, 38, 259–269. [Google Scholar] [CrossRef]
- Meyer, G.E.; Neto, J.C. Verification of color vegetation indices for automated crop imaging applications. Comput. Electron. Agric. 2008, 63, 282–293. [Google Scholar] [CrossRef]
- Lindquist, J.L.; Arkebauer, T.J.; Walters, D.T.; Cassman, K.G.; Dobermann, A. Maize radiation use efficiency under optimal growth conditions. Agron. J. 2005, 97, 72–78. [Google Scholar] [CrossRef]
- Tollenaar, M.; Aguilera, A. Radiation use efficiency of an old and a new maize hybrid. Agron. J. 1992, 84, 536–541. [Google Scholar] [CrossRef]
- Flénet, F.; Kiniry, J.R.; Board, J.E.; Westgate, M.E.; Reicosky, D.C. Row spacing effects on light extinction coefficients of corn, sorghum, soybean and sunflower. Agron. J. 1996, 88, 185–190. [Google Scholar] [CrossRef]
- Taiz, L.; Zeiger, E.; Møller, I.M.; Murphy, A. Plant Physiology and Development, 6th ed.; Sinauer Assotiates: Sunderland, MA, USA, 2015; ISBN 1605352551. [Google Scholar]
- Madden, L.V.; Nutter, F.W., Jr. Modeling crop losses at the field scale. Can. J. Plant Pathol. 1995, 17, 124–135. [Google Scholar] [CrossRef]
- Littleton, E.J.; Dennett, M.D.; Monteith, J.L.; Elstonff, J. The growth and development of cowpeas (Vigna unguiculata) under tropical field conditions. 2. Accumulation and partition of dry weight. J. Agric. Sci. Camb. 1979, 93, 309–320. [Google Scholar] [CrossRef]
- Bertelsen, J.R.; De Neergaard, E.; Smedegaard-Petersen, V. Fungicidal effects of azoxystrobin and epoxiconazole on phyllosphere fungi, senescence and yield of winter wheat. Plant Pathol. 2001, 50, 190–205. [Google Scholar] [CrossRef]
- Setiyono, T.D.; Weiss, A.; Specht, J.E.; Cassman, K.G.; Dobermann, A. Leaf area index simulation in soybean grown under near-optimal conditions. Field Crop Res. 2008, 108, 82–92. [Google Scholar] [CrossRef]
- Dermody, O.; Long, S.P.; DeLucia, E.H. How does elevated CO2 or ozone affect the leaf-area index of soybean when applied independently? New Phytologist 2006, 169, 145–155. [Google Scholar] [CrossRef]
- Tagliapietra, E.L.; Streck, N.A.; da Rocha, T.S.; Richter, G.L.; da Silva, M.R.; Cera, J.C.; Guedes, J.V.; Zanon, A.J. Optimum leaf area index to reach soybean yield potential in subtropical environment. Agron. J. 2018, 110, 932–938. [Google Scholar] [CrossRef]
- Haile, F.J.; Higley, L.G.; Specht, J.E.; Spomer, S.M. Soybean leaf morphology and defoliation tolerance. Agron. J. 1998, 90, 353–362. [Google Scholar] [CrossRef]
- Conley, S.P.; Abendroth, L.; Elmore, R.; Christmas, E.P.; Zarnstorff, M. Soybean seed yield and composition response to stand reduction at vegetative and reproductive stages. Agron. J. 2008, 100, 1666–1669. [Google Scholar] [CrossRef]
- Conley, S.P.; Pedersen, P.; Christmas, E.P. Main-stem node removal effect on soybean seed yield and composition. Agron. J. 2009, 101, 120–123. [Google Scholar] [CrossRef]
- Berra, E.; Gibson-Poole, S.; MacArthur, A.; Gaulton, R.; Hamilton, A. Estimation of the spectral sensitivity functions of un-modified and modified commercial off-the-shelf digital cameras to enable their use as a multispectral imaging system for UAVs. ISPRS-Int. Arch. Photogramm. Remote Sens. Spat. Inf. Sci. 2015, XL-1/W4, 207–214. [Google Scholar] [CrossRef]
- Burggraaff, O.; Schmidt, N.; Zamorano, J.; Pauly, K.; Pascual, S.; Tapia, C.; Spyrakos, E.; Snik, F. Standardized spectral and radiometric calibration of consumer camers. Opt. Express 2019, 27, 19075–19101. [Google Scholar] [CrossRef]




| Publication | RUE |
|---|---|
| g M−1 | |
| Muchow, 1985 [6] | 0.60 |
| Muchow et al., 1993 [2] | 0.88 |
| Adeboye et al., 2016 [10] | 1.07 |
| Nakaseko and Gotoh, 1983 [11] | 1.20 |
| Schöffel and Volpe, 2001 [12] | 1.23 |
| Singer et al., 2011 [13] | 1.46 |
| Confalone and Dujmovich, 1999 [14] | 1.92 |
| de Souza et al., 2009 [15] | 1.99 |
| Santos et al., 2003 [7] | 2.53 |
| Detail | Specifics |
|---|---|
| Latitude and Longitude a | 42°54′36.6′′ N and 93°47′33.8′′ W |
| Cultivar | NK S29-K3X |
| Planting Population | 395,362 per hectare |
| Plot Length | 7.8-m |
| Planting Date | 16 May |
| Emergence | 30 May |
| Fungicide application date (R3) b | 22 July |
| Harvest Date | 29 Oct |
| Target a | Average Reflectance b | ||
|---|---|---|---|
| 420–700 nm | 420–1050 nm | 900–1700 nm | |
| % | |||
| Black (3%) | 2.7 | 2.8 | 3.1 |
| Gray (13%) | 13.4 | 12.7 | 11.2 |
| White (56%) | 55.6 | 56.1 | 55.5 |
| Timeframe b | Treatments | Comparisons of RUE | p Value |
|---|---|---|---|
| g Mj−1 | |||
| Season long | NTC vs. fluxapyroxad + pyraclostrobin | 0.98 vs. 1.07 | 0.132 |
| NTC vs. flutriafol + fluoxastrobin | 0.98 vs. 1.07 | 0.124 | |
| fluxapyroxad + pyraclostrobin vs. flutriafol + fluoxastrobin | 1.07 vs. 1.07 | 0.963 | |
| Post-fungicide application | NTC vs. fluxapyroxad + pyraclostrobin | 0.96 vs. 1.12 | 0.325 |
| NTC vs. flutriafol + fluoxastrobin | 0.96 vs. 1.06 | 0.513 | |
| fluxapyroxad + pyraclostrobin vs. flutriafol + fluoxastrobin | 1.12 vs. 1.06 | 0.733 |
| Canopy Cover bc | ||||||||
|---|---|---|---|---|---|---|---|---|
| Days After Planting | ||||||||
| Fungicide d | 70 | 75 | 82 | 90 | 98 | 108 | 120 | 130 |
| NTC | 87.5 | 92.8 | 96.6 | 99.8 | 96.2 | 99.9 | 96.5 | 80.5 b |
| Fluxapyroxad + pyraclostrobin | 87.5 | 92.9 | 96.8 | 99.9 | 96.3 | 99.9 | 96.4 | 89.9 a |
| Flutriafol + fluoxastrobin | 86.5 | 92.8 | 96.3 | 99.9 | 96.2 | 99.9 | 96.9 | 85.0 ab |
| p value | 0.864 | 0.992 | 0.903 | 0.680 | 0.980 | 0.426 | 0.793 | 0.078 |
| FLS bc | Yield | ||
|---|---|---|---|
| Days After Planting | Kg ha−1 | ||
| Fungicide d | 120 | 130 | |
| NTC | 1.7a | 0.7a | 3551 a |
| Fluxapyroxad + pyraclostrobin | 1.0b | 1.3a | 3544 a |
| Flutriafol + fluoxastrobin | 1.0b | 1.2a | 3390 b |
| p value | 0.091 | 0.358 | <0.001 |
Publisher’s Note: MDPI stays neutral with regard to jurisdictional claims in published maps and institutional affiliations. |
© 2020 by the authors. Licensee MDPI, Basel, Switzerland. This article is an open access article distributed under the terms and conditions of the Creative Commons Attribution (CC BY) license (http://creativecommons.org/licenses/by/4.0/).
Share and Cite
Phillips, X.A.; Kandel, Y.R.; Licht, M.A.; Mueller, D.S. Estimating Soybean Radiation Use Efficiency Using a UAV in Iowa. Agronomy 2020, 10, 2002. https://doi.org/10.3390/agronomy10122002
Phillips XA, Kandel YR, Licht MA, Mueller DS. Estimating Soybean Radiation Use Efficiency Using a UAV in Iowa. Agronomy. 2020; 10(12):2002. https://doi.org/10.3390/agronomy10122002
Chicago/Turabian StylePhillips, Xavier A., Yuba R. Kandel, Mark A. Licht, and Daren S. Mueller. 2020. "Estimating Soybean Radiation Use Efficiency Using a UAV in Iowa" Agronomy 10, no. 12: 2002. https://doi.org/10.3390/agronomy10122002
APA StylePhillips, X. A., Kandel, Y. R., Licht, M. A., & Mueller, D. S. (2020). Estimating Soybean Radiation Use Efficiency Using a UAV in Iowa. Agronomy, 10(12), 2002. https://doi.org/10.3390/agronomy10122002

