Smart Harrowing—Adjusting the Treatment Intensity Based on Machine Vision to Achieve a Uniform Weed Control Selectivity under Heterogeneous Field Conditions
Abstract
1. Introduction
2. Materials and Methods
2.1. Experimental Sites and Details
2.2. Description of the Sensor-Based Harrow (SenHa)
2.3. Data Collection
2.4. Data Analysis
3. Results
3.1. Weed Density and the Five Most Common Weed Species in Each Trial
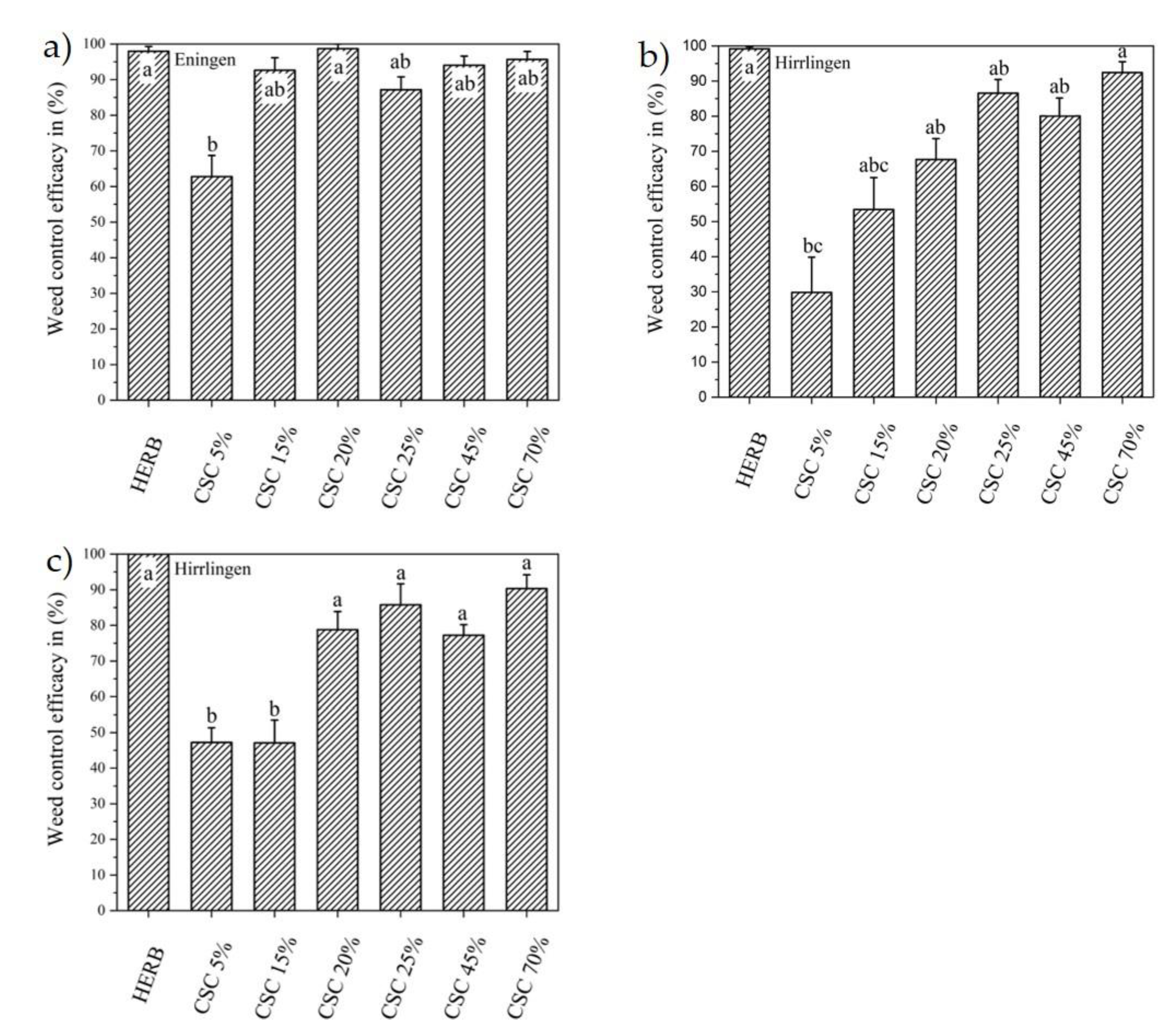
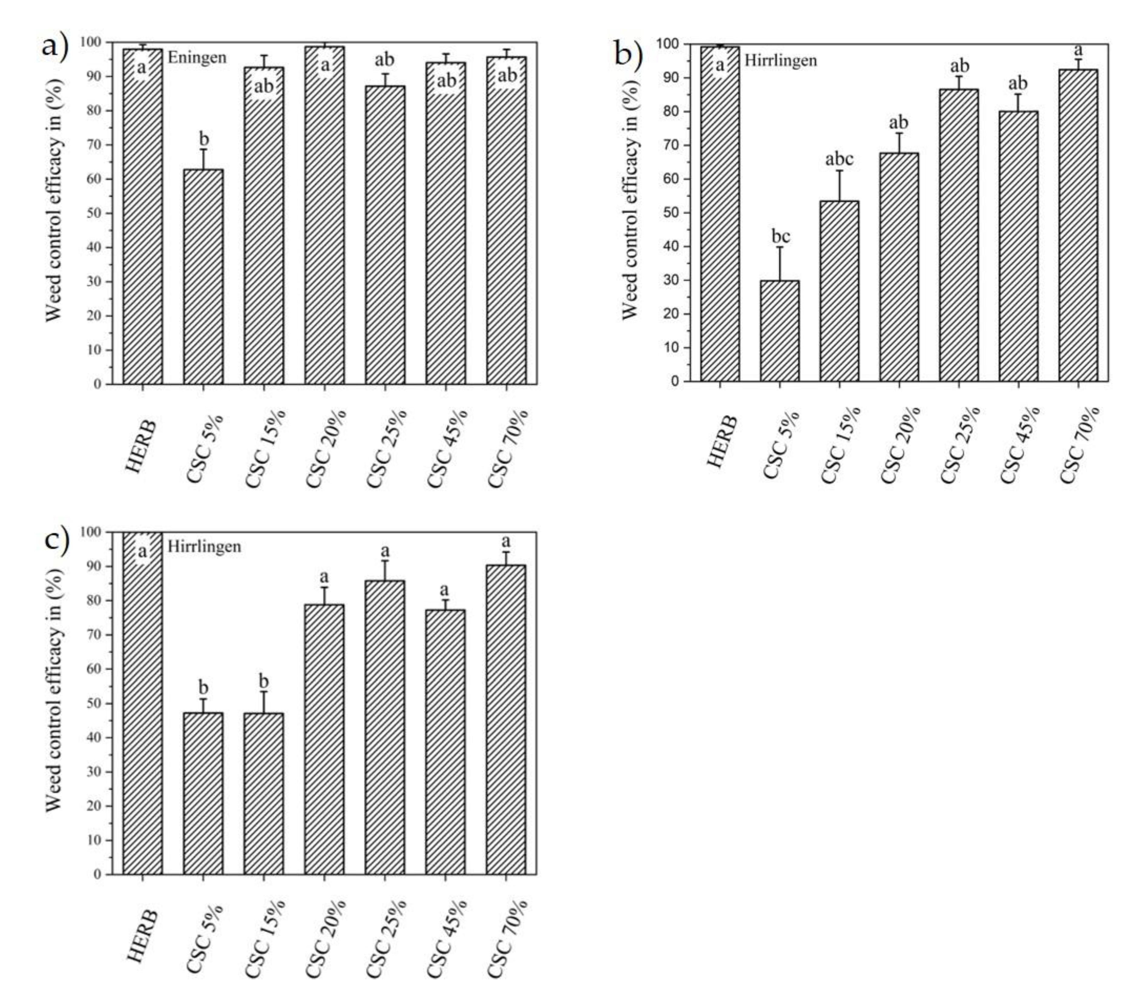
3.2. Weed Control Efficacy in Spring Oats and Winter Wheat in Hirrlingen and Eningen
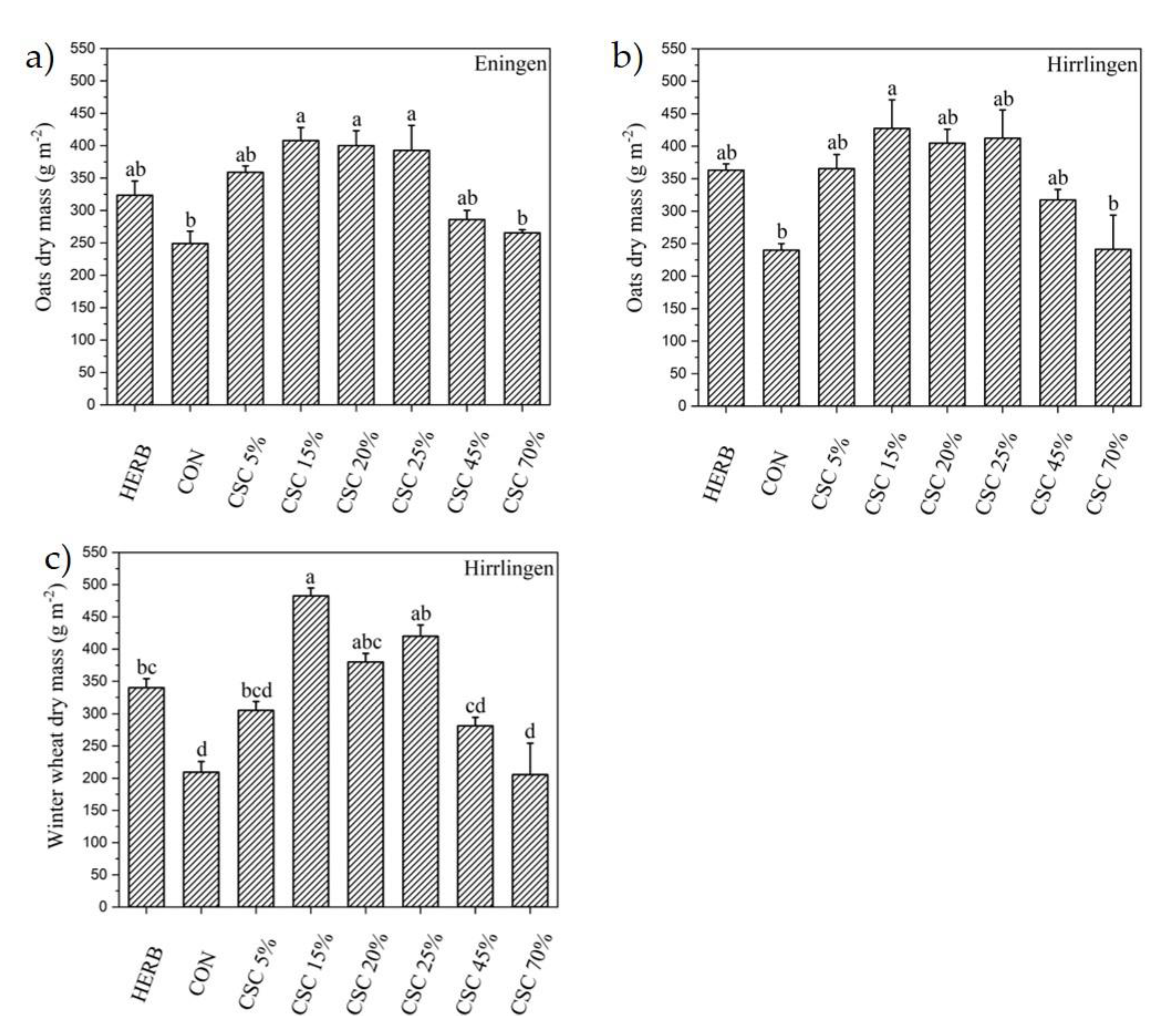
3.3. Crop dry Biomass in Spring Oats and Winter Wheat in Hirrlingen and Eningen
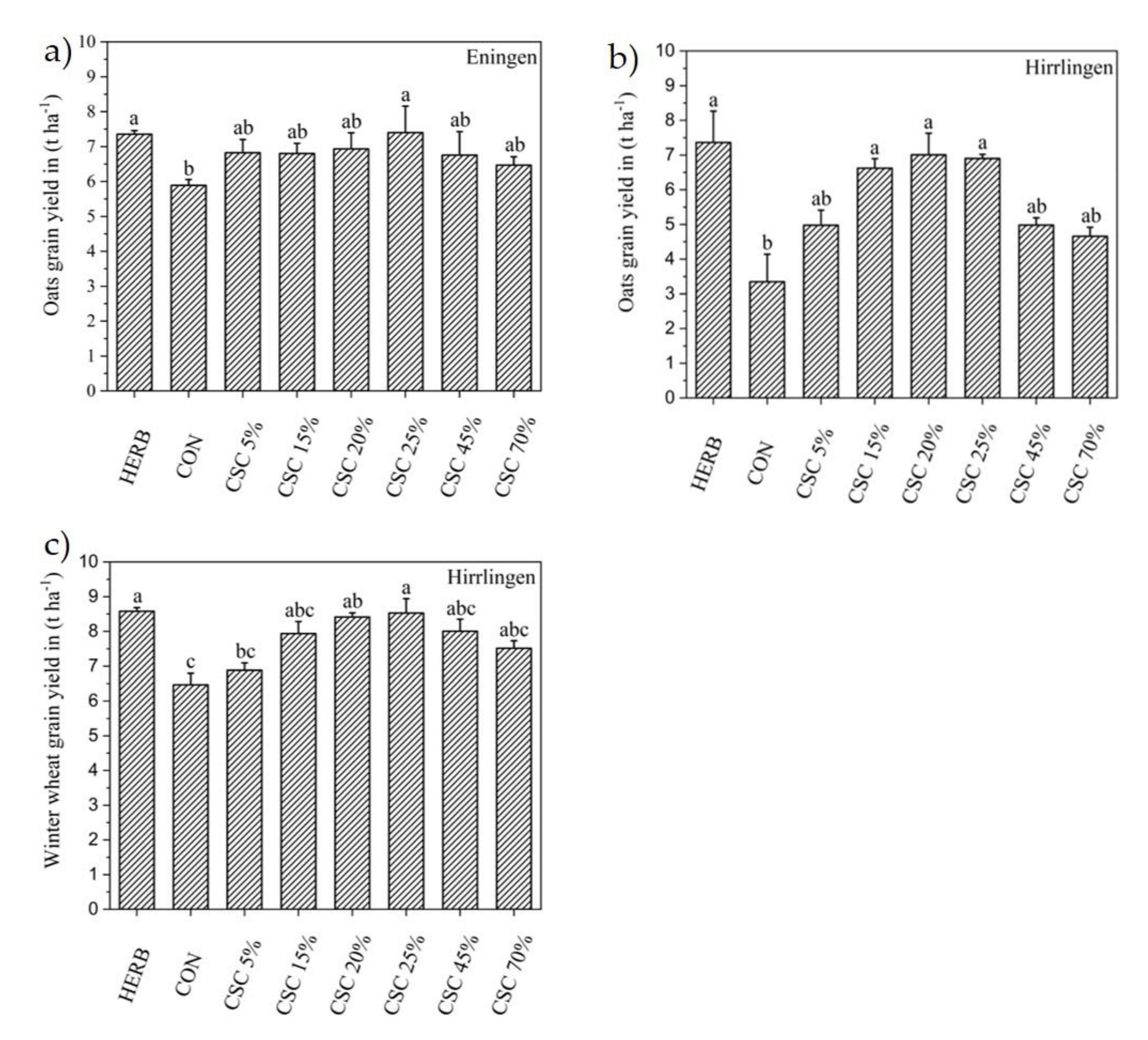
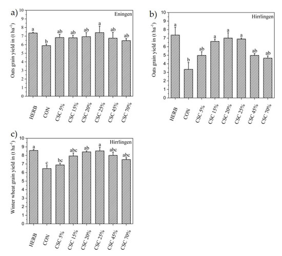
3.4. Grain Yield in Oat and Winter Wheat in Hirrlingen and Eningen
4. Discussion
5. Conclusions
Author Contributions
Funding
Acknowledgments
Conflicts of Interest
References
- Lotz, L.A.P.; Van der Weide, R.Y.; Horeman, G.H.; Joosten, L.T.A. Weed management and policies: From prevention and precision technology to certifying individual farms. In Proceedings of the 12th EWRS (European Weed Research Society) Symposium, Wageningen, The Netherlands, 24–27 June 2002; pp. 2–3. [Google Scholar]
- Melander, B.; Rasmussen, I.A.; Barberi, P. Integrating physical and cultural methods of weed control examples from European research. Weed Sci. 2005, 53, 369–381. [Google Scholar] [CrossRef]
- Rasmussen, J.; Bibby, B.M.; Schou, A.P. Investigating the selectivity of weed harrowing with new methods. Weed Res. 2008, 48, 523–532. [Google Scholar] [CrossRef]
- Van der Weide, R.Y.; Bleeker, P.O.; Achten, V.T.J.M.; Lotz, L.A.P.; Fogelberg, F.; Melander, B. Innovation in mechanical weed control in crop rows. Weed Res. 2008, 48, 215–224. [Google Scholar] [CrossRef]
- Rasmussen, J.; Nielsen, H.H.; Gundersen, H. Tolerance and Selectivity of Cereal Species and Cultivars to Postemergence Weed Harrowing. Weed Sci. 2009, 57, 338–345. [Google Scholar] [CrossRef]
- Machleb, J.; Kollenda, B.; Peteinatos, G.G.; Gerhards, R. Adjustment of Weed Hoeing to Narrowly Spaced Cereals. Agriculture 2018, 8, 54. [Google Scholar] [CrossRef]
- Home, M.C.W.; Tillett, N.D.; Hague, T.; Godwin, R.J. An experimental study of lateral positional accuracy achieved during inter-row cultivation. In Proceedings of the 5th EWRS Workshop on Physical and Cultural Weed Control, Pisa, Italy, 11–13 March 2002; pp. 101–110. [Google Scholar]
- Kurstjens, D.A.G.; Kropff, M.J. The impact of uprooting and soil-covering on the effectiveness of weed harrowing. Weed Res. 2001, 41, 211–228. [Google Scholar] [CrossRef]
- Rydberg, T. Weed Harrowing—The Influence of Driving Speed and Driving Direction on Degree of Soil Covering and the Growth of Weed and Crop Plants. Biol. Agric. Hortic. 1994, 10, 197–205. [Google Scholar] [CrossRef]
- Rasmussen, J.; Svenningsen, T. Selective Weed Harrowing in Cereals. Biol. Agric. Hortic. 1995, 12, 29–46. [Google Scholar] [CrossRef]
- Rasmussen, J.; Mathiasen, H.; Bibby, B.M. Timing of post-emergence weed harrowing. Weed Res. 2010, 50, 436–446. [Google Scholar] [CrossRef]
- Findlay, S.; Carreiro, M.; Krischik, V.; Jones, C.G. Effects of damage to living plants on leaf litter quality. Ecol. Appl. 1996, 6, 269–275. [Google Scholar] [CrossRef]
- Steinmann, H.-H. Impact of harrowing on the nitrogen dynamics of plants and soil. Soil Tillage Res. 2002, 65, 53–59. [Google Scholar] [CrossRef]
- Jensen, R.K.; Rasmussen, J.; Melander, B. Selectivity of weed harrowing in lupin. Weed Res. 2004, 44, 245–253. [Google Scholar] [CrossRef]
- Søgaard, H.T. Automatic control of a finger weeder with respect to the harrowing intensity at varying soil structures. J. Agric. Eng. Res. 1998, 70, 157–163. [Google Scholar] [CrossRef]
- Rueda-Ayala, V.; Weis, M.; Keller, M.; Andújar, D.; Gerhards, R. Development and testing of a decision-making based method to adjust automatically the harrowing intensity. Sensors 2013, 13, 6254–6271. [Google Scholar] [CrossRef]
- Rueda-Ayala, V.; Peteinatos, G.; Gerhards, R.; Andújar, D. A Non-Chemical System for Online Weed Control. Sensors 2015, 15, 7691–7707. [Google Scholar] [CrossRef]
- Engelke, B. Entwicklung eines Steuersystems in der Ganzflächig Mechanischen Unkrautbekämpfung. Development of a Self-Adjusting System for Broadcast Mechanical Weed Control. Ph.D. Thesis, Christian-Albrechts-Universität zu Kiel, Göttingen, Germany, 2000. [Google Scholar]
- Müter, M.; Damerow, L.; Schulze, L.P. Kameragesteuerte mechanische Unkrautbekämpfung in Pflanzenreihen. Landtechnik 2014, 69, 120–124. [Google Scholar] [CrossRef]
- Peteinatos, G.; Gierer, F.; Gerhards, R. Precision harrowing using a bispectral camera and a flexible tine harrow. Julius-Kühn-Arch. 2018, 458, 385–389. [Google Scholar] [CrossRef]
- Gerhards, R.; Spaeth, M.; Sökefeld, M.; Peteinatos, G.G.; Nabout, A.; Ayala, V.R. Automatic adjustment of harrowing intensity in cereals using digital image analysis. Weed Res. 2020, in press. [Google Scholar] [CrossRef]
- Rasmussen, J. A Model for Prediction of Yield Response in Weed Harrowing. Weed Res. 1991, 31, 401–408. [Google Scholar] [CrossRef]
- Wiltshire, J.J.J.; Tillett, N.D.; Hague, T. Agronomic evaluation of precise mechanical hoeing and chemical weed control in sugar beet. Weed Res. 2003, 43, 236–244. [Google Scholar] [CrossRef]
- Riemens, M.M.; Van der Weide, R.Y.; Bleeker, P.O.; Lotz, L.A.P. Effect of stale seedbed preparations and subsequent weed control in lettuce (cv. Iceboll) on weed densities. Weed Res. 2007, 47, 149–156. [Google Scholar] [CrossRef]
- Machleb, J.; Peteinatos, G.G.; Kollenda, B.L.; Andújar, D.; Gerhards, R. Sensor-based mechanical weed control: Present state and prospects. Comput. Electron. Agric. 2020, 176, 105638. [Google Scholar] [CrossRef]
- Kunz, C.; Weber, J.F.; Peteinatos, G.G.; Sökefeld, M.; Gerhards, R. Camera steered mechanical weed control in sugar beet, maize and soybean. Precis. Agric. 2017, 19, 708–720. [Google Scholar] [CrossRef]
- Kunz, C.; Weber, J.; Gerhards, R. Benefits of precision farming technologies for mechanical weed control in soybean and sugar beet—Comparison of precision hoeing with conventional mechanical weed control. Agronomy 2015, 5, 130–142. [Google Scholar] [CrossRef]
- Brandsaeter, L.O.; Mangerud, K.; Rasmussen, J. Interactions between pre- and post-emergence weed harrowing in spring cereals. Weed Res. 2011, 52, 338–347. [Google Scholar] [CrossRef]
- Bechar, A.; Vigneault, C. Agricultural robots for field operations: Concepts and components. Biosyst. Eng. 2016, 149, 94–111. [Google Scholar] [CrossRef]
- McCarthy, C.L.; Hancock, N.H.; Raine, S.R. Applied machine vision of plants: A review with implications for field deployment in automated farming operations. Intell. Serv. Robot. 2010, 3, 209–217. [Google Scholar] [CrossRef]
- Elstone, L.; How, K.Y.; Brodie, S.; Ghazali, M.Z.; Heath, W.P.; Grieve, B. High Speed Crop and Weed Identification in Lettuce Fields for Precision Weeding. Sensors 2020, 20, 455. [Google Scholar] [CrossRef]
- Arroyo, J.; Guijarro, M.; Pajares, G. An instance-based learning approach for thresholding in crop images under different outdoor conditions. Comput. Electron. Agric. 2016, 127, 669–679. [Google Scholar] [CrossRef]
- Riehle, D.; Reiser, D.; Griepentrog, H.W. Robust index-based semantic plant/background segmentation for RGB-images. Comput. Electron. Agric. 2020, 169, 105201. [Google Scholar] [CrossRef]





| Details | Hirrlingen (48.41° N, 8.89° E) Winter Wheat | Hirrlingen (48.41° N, 8.89° E) Spring Oats | Eningen (48.47° N, 9.30° E) Spring Oats |
|---|---|---|---|
| Sea level | 423 m | 423 m | 720 m |
| Long-term average Precipitation | 790 mm | 790 mm | 796 mm |
| Long-term average temperature | 7.8 °C | 7.8 °C | 8.5 °C |
| Soil composition | Clay 53%, Sand 7%, Silt 40% | Clay 56%, Sand 11%, Silt 33% | Clay 43%, Sand 23%, Silt 35% |
| Crop variety | cv. Patras | cv. Armani | cv. Armani |
| Sowing | 10 October 2019 | 15 March 2020 | 24 March 2020 |
| Seed density | 300 seeds·m−2 | 350 seeds·m−2 | 350 seeds·m−2 |
| Mechanical application | 19 March 2020 | 6 May 2020 | 8 May 2020 |
| Herbicide application | 16 March 2020 | 16 May 2020 | 19 May 2020 |
| Harrow driving speed | 8 km h−1 | 8 km h−1 | 8 km·h−1 |
| Harvesting | 3 August 2020 | 03 August 2020 | 28 August 2020 |
| Treatment | Treatment Acronym | Time of Treatment (DAS *) | Crop Growth Stage (BBCH **) |
|---|---|---|---|
| Untreated control | CON | - | - |
| Herbicide | HERB | WW-H 158, SO-H 63, SO-E 56 | BBCH 14 |
| Crop soil cover of 5% | CSC_5% | WW-H 161, SO-H 53 SO-E 48 | BBCH 21-24 |
| Crop soil cover of 15% | CSC_15% | WW-H 161, SO-H 53 SO-E 48 | BBCH 21-24 |
| Crop soil cover of 20% | CSC_20% | WW-H 161, SO-H 53 SO-E 48 | BBCH 21-24 |
| Crop soil cover of 25% | CSC_25% | WW-H 161, SO-H 53 SO-E 48 | BBCH 21-24 |
| Crop soil cover of 45% | CSC_45% | WW-H 161, SO-H 53 SO-E 48 | BBCH 21-24 |
| Crop soil cover of 70% | CSC_70% | WW-H 161, SO-H 53 SO-E 48 | BBCH 21-24 |
| Location | Crop | Weed Density Weeds m−2 | Weed Species |
|---|---|---|---|
| Eningen | Spring oats | 140 | Thlaspi arvense L. (field pennycress) 33% Veronica persica POIR. (birdeye speedwell) 23% Polygonum aviculare L. (common knotgrass) 17% Chenopodium album L. (lamb’s quarters) 10% Capsella bursa-pastoris L. (shepherd’s purse) 7% |
| Hirrlingen | Winter wheat | 70 | Galium aparine. (cleavers) 29% Veronica persica POIR. (birdeye speedwell) 21% Lamium purpureum L. (red dead-nettle) 12% Capsella bursa-pastoris L. (shepherd’s purse) 11% Stellaria media L. (chickweed) 9% |
| Hirrlingen | Spring oats | 110 | Cirsium arvense (creeping thistle) 28% Polygonum aviculare (common knotgrass) 19% Thlaspi arvense L. (field pennycress) 18% Chenopodium album L. (lamb’s quarters) 14% Veronica persica POIR. (birdeye speedwell) 10% |
| Location | Crop | Treatment | Before Harrowing (Weeds m−2) | After Harrowing (Weeds m−2) | Weed Control Efficiency (%) | Significance p < 0.05 |
|---|---|---|---|---|---|---|
| Eningen | Spring oats | Control | 140 | 135 | - | - |
| Herbicide * | 122 | 2 | 98 | a | ||
| CSC_5% | 57 | 21 | 63 | b | ||
| CSC_15% | 116 | 6 | 95 | ab | ||
| CSC_20% | 106 | 2 | 98 | a | ||
| CSC_25% | 111 | 14 | 87 | ab | ||
| CSC_45% | 86 | 6 | 93 | ab | ||
| CSC_70% | 71 | 3 | 96 | ab | ||
| Hirrlingen | Spring oats | Control | 82 | 82 | - | - |
| Herbicide * | 70 | 1 | 99 | a | ||
| CSC_5% | 68 | 48 | 30 | bc | ||
| CSC_15% | 80 | 37 | 53 | abc | ||
| CSC_20% | 92 | 30 | 68 | ab | ||
| CSC_25% | 60 | 8 | 86 | ab | ||
| CSC_45% | 148 | 30 | 80 | ab | ||
| CSC_70% | 81 | 6 | 92 | a | ||
| Hirrlingen | Winter wheat | Control | 46 | 45 | - | - |
| Herbicide * | 57 | 0 | 100 | a | ||
| CSC_5% | 60 | 32 | 47 | b | ||
| CSC_15% | 56 | 30 | 47 | b | ||
| CSC_20% | 52 | 11 | 79 | a | ||
| CSC_25% | 29 | 4 | 86 | a | ||
| CSC_45% | 30 | 7 | 77 | a | ||
| CSC_70% | 50 | 5 | 90 | a |
Publisher’s Note: MDPI stays neutral with regard to jurisdictional claims in published maps and institutional affiliations. |
© 2020 by the authors. Licensee MDPI, Basel, Switzerland. This article is an open access article distributed under the terms and conditions of the Creative Commons Attribution (CC BY) license (http://creativecommons.org/licenses/by/4.0/).
Share and Cite
Spaeth, M.; Machleb, J.; Peteinatos, G.G.; Saile, M.; Gerhards, R. Smart Harrowing—Adjusting the Treatment Intensity Based on Machine Vision to Achieve a Uniform Weed Control Selectivity under Heterogeneous Field Conditions. Agronomy 2020, 10, 1925. https://doi.org/10.3390/agronomy10121925
Spaeth M, Machleb J, Peteinatos GG, Saile M, Gerhards R. Smart Harrowing—Adjusting the Treatment Intensity Based on Machine Vision to Achieve a Uniform Weed Control Selectivity under Heterogeneous Field Conditions. Agronomy. 2020; 10(12):1925. https://doi.org/10.3390/agronomy10121925
Chicago/Turabian StyleSpaeth, Michael, Jannis Machleb, Gerassimos G. Peteinatos, Marcus Saile, and Roland Gerhards. 2020. "Smart Harrowing—Adjusting the Treatment Intensity Based on Machine Vision to Achieve a Uniform Weed Control Selectivity under Heterogeneous Field Conditions" Agronomy 10, no. 12: 1925. https://doi.org/10.3390/agronomy10121925
APA StyleSpaeth, M., Machleb, J., Peteinatos, G. G., Saile, M., & Gerhards, R. (2020). Smart Harrowing—Adjusting the Treatment Intensity Based on Machine Vision to Achieve a Uniform Weed Control Selectivity under Heterogeneous Field Conditions. Agronomy, 10(12), 1925. https://doi.org/10.3390/agronomy10121925

