Recent Progress on Hyperbranched Polymers Synthesized via Radical-Based Self-Condensing Vinyl Polymerization
Abstract
:1. Introduction
2. Synthesis of Hyperbranched Polymers Using NMP
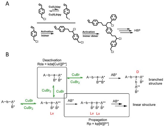
3. Synthesis of Hyperbranched Polymers via ATRP
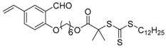
4. Synthesis of Hyperbranched Polymers by RAFT
5. Attempts to Regulate the Structures of Hyperbranched Polymers
6. Applications of Hyperbranched Polymers Produced from Radical-Based SCVP
6.1. Hyperbranched Polymers for Loading Guest Molecules
6.2. Application of Hyperbranched Polymers for Drug Delivery
6.3. Application of Hyperbranched Polymers for Bioimaging
6.4. Application of Hyperbranched Polymers for Catalysis
7. Conclusions and Outlook
Acknowledgments
Author Contributions
Conflicts of Interest
References
- Kim, Y.H. Hyperbranchecs polymers 10 years after. J. Polym. Sci. A 1998, 36, 1685–1698. [Google Scholar] [CrossRef]
- Grayson, S.M.; Fréchet, J.M.J. Convergent dendrons and dendrimers: From synthesis to applications. Chem. Rev. 2001, 101, 3819–3867. [Google Scholar] [CrossRef] [PubMed]
- Gao, C.; Yan, D. Hyperbranched polymers: From synthesis to applications. Prog. Polym. Sci. 2004, 29, 183–275. [Google Scholar] [CrossRef]
- Schoemer, M.; Schuell, C.; Frey, H. Hyperbranched aliphatic polyether polyols. J. Polym. Sci. A 2013, 51, 995–1019. [Google Scholar] [CrossRef]
- Zheng, Y.; Li, S.; Weng, Z.; Gao, C. Hyperbranched polymers: Advances from synthesis to applications. Chem. Soc. Rev. 2015, 44, 4091–4130. [Google Scholar] [CrossRef] [PubMed]
- Kurniasih, I.N.; Keilitz, J.; Haag, R. Dendritic nanocarriers based on hyperbranched polymers. Chem. Soc. Rev. 2015, 44, 4145–4164. [Google Scholar] [CrossRef] [PubMed]
- Frechet, J.M.J. Functional polymers and dendrimers: Reactivity, molecular architecture, and interfacial energy. Science 1994, 263, 1710–1715. [Google Scholar] [CrossRef] [PubMed]
- Voit, B.I.; Lederer, A. Hyperbranched and highly branched polymer architectures—Synthetic strategies and major characterization aspects. Chem. Rev. 2009, 109, 5924–5973. [Google Scholar] [CrossRef] [PubMed]
- Hedrick, J.L.; Magbitang, T.; Connor, E.F.; Glauser, T.; Volksen, W.; Hawker, C.J.; Lee, V.Y.; Miller, R.D. Application of complex macromolecular architectures for advanced microelectronic materials. Chem. Eur. J. 2002, 8, 3308–3319. [Google Scholar] [CrossRef]
- Nyström, A.M.; Wooley, K.L. The importance of chemistry in creating well-defined nanoscopic embedded therapeutics: Devices capable of the dual functions of imaging and therapy. Acc. Chem. Res. 2011, 44, 969–978. [Google Scholar] [CrossRef] [PubMed]
- Tomalia, D.A.; Baker, H.; Dewald, J.; Hall, M.; Kallos, G.; Martin, S.; Roeck, J.; Ryder, J.; Smith, P. A new class of polymers: Starburst-dendritic macromolecules. Polym. J. 1985, 17, 117–132. [Google Scholar] [CrossRef]
- Bosman, A.W.; Janssen, H.M.; Meijer, E.W. About dendrimers: Structure, physical properties, and applications. Chem. Rev. 1999, 99, 1665–1688. [Google Scholar] [CrossRef] [PubMed]
- Shi, Y.; Graff, R.W.; Cao, X.; Wang, X.; Gao, H. Chain-growth click polymerization of AB2 monomers for the formation of hyperbranched polymers with low polydispersities in a one-pot process. Angew. Chem. Int. Ed. 2015, 54, 7631–7635. [Google Scholar] [CrossRef] [PubMed]
- Shi, Y.; Cao, X.; Gao, H. The use of azide-alkyne click chemistry in recent syntheses and applications of polytriazole-based nanostructured polymers. Nanoscale 2016, 8, 4864–4881. [Google Scholar] [CrossRef] [PubMed]
- Emrick, T.; Chang, H.-T.; Frechet, J.M. An A2 + B3 approach to hyperbranched aliphatic polyethers containing chain end epoxy substituents. Macromolecules 1999, 32, 6380–6382. [Google Scholar] [CrossRef]
- Lin, Q.; Long, T.E. Polymerization of A2 with B3 monomers: A facile approach to hyperbranched poly(aryl ester)s. Macromolecules 2003, 36, 9809–9816. [Google Scholar] [CrossRef]
- Wei, Q.; Pötzsch, R.; Liu, X.; Komber, H.; Kiriy, A.; Voit, B.; Will, P.-A.; Lenk, S.; Reineke, S. Hyperbranched polymers with high transparency and inherent high refractive index for application in organic light-emitting diodes. Adv. Funct. Mater. 2016, 26, 2545–2553. [Google Scholar] [CrossRef]
- Liu, B.; Kazlauciunas, A.; Guthrie, J.T.; Perrier, S. One-pot hyperbranched polymer synthesis mediated by reversible addition fragmentation chain transfer (RAFT) polymerization. Macromolecules 2005, 38, 2131–2136. [Google Scholar] [CrossRef]
- Gao, H.; Miasnikova, A.; Matyjaszewski, K. Effect of cross-linker reactivity on experimental gel points during atrcp of monomer and cross-linker. Macromolecules 2008, 41, 7843–7849. [Google Scholar] [CrossRef]
- Gao, H.; Matyjaszewski, K. Synthesis of functional polymers with controlled architecture by CRP of monomers in the presence of cross-linkers: From stars to gels. Prog. Polym. Sci. 2009, 34, 317–350. [Google Scholar] [CrossRef]
- Li, Y.; Armes, S.P. Synthesis of model primary amine-based branched copolymers by pseudo-living radical copolymerization and post-polymerization coupling of homopolymers. Macromolecules 2009, 42, 939–945. [Google Scholar] [CrossRef]
- Han, H.; Tsarevsky, N.V. Employing exchange reactions involving hypervalent iodine compounds for the direct synthesis of azide-containing linear and branched polymers. Chem. Sci. 2014, 5, 4599–4609. [Google Scholar] [CrossRef]
- Tang, H.; Tsarevsky, N.V. Lipoates as building blocks of sulfur-containing branched macromolecules. Polym. Chem. 2015, 6, 6936–6945. [Google Scholar] [CrossRef]
- Liu, J.; Huang, W.; Zhou, Y.; Yan, D. Synthesis of hyperbranched polyphosphates by self-condensing ring-opening polymerization of heep without catalyst. Macromolecules 2009, 42, 4394–4399. [Google Scholar] [CrossRef]
- Goodwin, A.; Baskaran, D. Inimer mediated synthesis of hyperbranched polyglycerol via self-condensing ring-opening polymerization. Macromolecules 2012, 45, 9657–9665. [Google Scholar] [CrossRef]
- Sunder, A.; Hanselmann, R.; Frey, H.; Muelhaupt, R. Controlled synthesis of hyperbranched polyglycerols by ring-opening multibranching polymerization. Macromolecules 1999, 32, 4240–4246. [Google Scholar] [CrossRef]
- Fréchet, J.M.J.; Henmi, M.; Gitsov, I.; Aoshima, S.; Leduc, M.R.; Grubbs, R.B. Self-condensing vinyl polymerization: An approach to dendritic materials. Science 1995, 269, 1080–1083. [Google Scholar] [CrossRef] [PubMed]
- Kato, M.; Kamigaito, M.; Sawamoto, M.; Higashimura, T. Polymerization of methyl methacrylate with the carbon tetrachloride/dichlorotris-(triphenylphosphine)ruthenium(II)/methylaluminum bis(2,6-di-tert-butylphenoxide) initiating system: Possibility of living radical polymerization. Macromolecules 1995, 28, 1721–1723. [Google Scholar] [CrossRef]
- Wang, J.S.; Matyjaszewski, K. Controlled living radical polymerization-atom-transfer radical polymerization in the presence of transition-metal complexes. J. Am. Chem. Soc. 1995, 117, 5614–5615. [Google Scholar] [CrossRef]
- Chiefari, J.; Chong, Y.K.; Ercole, F.; Krstina, J.; Jeffery, J.; Le, T.P.T.; Mayadunne, R.T.A.; Meijs, G.F.; Moad, C.L.; Moad, G.; et al. Living free-radical polymerization by reversible addition—Fragmentation chain transfer: The raft process. Macromolecules 1998, 31, 5559–5562. [Google Scholar] [CrossRef]
- Matyjaszewski, K.; Xia, J. Atom transfer radical polymerization. Chem. Rev. 2001, 101, 2921–2990. [Google Scholar] [CrossRef] [PubMed]
- Kamigaito, M.; Ando, T.; Sawamoto, M. Metal-catalyzed living radical polymerization. Chem. Rev. 2001, 101, 3689–3746. [Google Scholar] [CrossRef] [PubMed]
- Hawker, C.J.; Bosman, A.W.; Harth, E. New polymer synthesis by nitroxide mediated living radical polymerizations. Chem. Rev. 2001, 101, 3661–3688. [Google Scholar] [CrossRef] [PubMed]
- Moad, G.; Rizzardo, E.; Thang, S.H. Living radical polymerization by the raft process—A third update. Aust. J. Chem. 2012, 65, 985–1076. [Google Scholar] [CrossRef]
- Szwarc, M. Living polymers. Nature 1956, 178, 1168–1169. [Google Scholar] [CrossRef]
- Miyamoto, M.; Sawamoto, M.; Higashimura, T. Living polymerization of isobutyl vinyl ether with hydrogen iodide/iodine initiating system. Macromolecules 1984, 17, 265–268. [Google Scholar] [CrossRef]
- Webster, O.W.; Hertler, W.R.; Sogah, D.Y.; Farnham, W.B.; RajanBabu, T.V. Group-transfer polymerization. 1. A new concept for addition polymerization with organosilicon initiators. J. Am. Chem. Soc. 1983, 105, 5706–5708. [Google Scholar] [CrossRef]
- Hawker, C.J.; Frechet, J.M.J.; Grubbs, R.B.; Dao, J. Preparation of hyperbranched and star polymers by a “living”, self-condensing free radical polymerization. J. Am. Chem. Soc. 1995, 117, 10763–10764. [Google Scholar] [CrossRef]
- Li, C.; He, J.; Li, L.; Cao, J.; Yang, Y. Controlled radical polymerization of styrene in the presence of a polymerizable nitroxide compound. Macromolecules 1999, 32, 7012–7014. [Google Scholar] [CrossRef]
- Tao, Y.; He, J.; Wang, Z.; Pan, J.; Jiang, H.; Chen, S.; Yang, Y. Synthesis of branched polystyrene and poly(styrene-b-4-methoxystyrene) by nitroxyl stable radical controlled polymerization. Macromolecules 2001, 34, 4742–4748. [Google Scholar] [CrossRef]
- Niu, A.; Li, C.; Zhao, Y.; He, J.; Yang, Y.; Wu, C. Thermal decomposition kinetics and structure of novel polystyrene clusters with mtempo as a branching agent. Macromolecules 2001, 34, 460–464. [Google Scholar] [CrossRef]
- Gaynor, S.G.; Edelman, S.; Matyjaszewski, K. Synthesis of branched and hyperbranched polystyrenes. Macromolecules 1996, 29, 1079–1081. [Google Scholar] [CrossRef]
- Matyjaszewski, K.; Gaynor, S.G.; Kulfan, A.; Podwika, M. Preparation of hyperbranched polyacrylates by atom transfer radical polymerization. 1. Acrylic ab* monomers in “living” radical polymerizations. Macromolecules 1997, 30, 5192–5194. [Google Scholar] [CrossRef]
- Cheng, G.; Simon, P.F.W.; Hartenstein, M.; Müller, A.H.E. Synthesis of hyperbranched poly(tert-butyl acrylate) by self-condensing atom transfer radical polymerization of a macroinimer. Macromol. Rapid Commun. 2000, 21, 846–852. [Google Scholar] [CrossRef]
- Min, K.; Gao, H. New method to access hyperbranched polymers with uniform structure via one-pot polymerization of inimer in microemulsion. J. Am. Chem. Soc. 2012, 134, 15680–15683. [Google Scholar] [CrossRef] [PubMed]
- Bibiao, J.; Yang, Y.; Xiang, J.; Rongqi, Z.; Jianjun, H.; Wenyun, W. Preparation of hyperbranched polymers by self-condensing vinyl radical polymerization. Eur. Polym. J. 2001, 37, 1975–1983. [Google Scholar] [CrossRef]
- Graff, R.W.; Wang, X.; Gao, H. Exploring self-condensing vinyl polymerization of inimers in microemulsion to regulate the structures of hyperbranched polymers. Macromolecules 2015, 48, 2118–2126. [Google Scholar] [CrossRef]
- Wang, X.; Graff, R.W.; Shi, Y.; Gao, H. One-pot synthesis of hyperstar polymers via sequential atrp of inimers and functional monomers in aqueous dispersed media. Polym. Chem. 2015, 6, 6739–6745. [Google Scholar] [CrossRef]
- Graff, R.W.; Shi, Y.; Wang, X.; Gao, H. Comparison of loading efficiency between hyperbranched polymers and cross-linked nanogels at various branching densities. Macromol. Rapid Commun. 2015, 36, 2076–2082. [Google Scholar] [CrossRef] [PubMed]
- Hong, C.-Y.; Pan, C.-Y. Synthesis and characterization of hyperbranched polyacrylates in the presence of a tetrafunctional initiator with higher reactivity than monomer by self-condensing vinyl polymerization. Polymer 2001, 42, 9385–9391. [Google Scholar] [CrossRef]
- Hong, C.-Y.; Pan, C.-Y.; Huang, Y.; Xu, Z.-D. Synthesis of hyperbranched polymethacrylates in the presence of a tetrafunctional initiator. Polymer 2001, 42, 6733–6740. [Google Scholar] [CrossRef]
- Mori, H.; Böker, A.; Krausch, G.; Müller, A.H.E. Surface-grafted hyperbranched polymers via self-condensing atom transfer radical polymerization from silicon surfaces. Macromolecules 2001, 34, 6871–6882. [Google Scholar] [CrossRef]
- Hong, C.Y.; Pan, C.Y. Preparation and characterization of hyperbranched polyacrylate copolymers by self-condensing vinyl copolymerization (SCVCP). Polym. Int. 2002, 51, 785–791. [Google Scholar] [CrossRef]
- Mori, H.; Seng, D.C.; Lechner, H.; Zhang, M.; Müller, A.H.E. Synthesis and characterization of branched polyelectrolytes. 1. Preparation of hyperbranched poly(acrylic acid) via self-condensing atom transfer radical copolymerization. Macromolecules 2002, 35, 9270–9281. [Google Scholar] [CrossRef]
- Yoo, S.H.; Lee, J.H.; Lee, J.-C.; Jho, J.Y. Synthesis of hyperbranched polyacrylates in emulsion by atom transfer radical polymerization. Macromolecules 2002, 35, 1146–1148. [Google Scholar] [CrossRef]
- Jin, M.; Lu, R.; Bao, C.; Xu, T.; Zhao, Y. Synthesis and characterization of hyperbranched azobenzene-containing polymers via self-condensing atom transfer radical polymerization and copolymerization. Polymer 2004, 45, 1125–1131. [Google Scholar] [CrossRef]
- Mori, H.; Walther, A.; André, X.; Lanzendörfer, M.G.; Müller, A.H.E. Synthesis of highly branched cationic polyelectrolytes via self-condensing atom transfer radical copolymerization with 2-(diethylamino)ethyl methacrylate. Macromolecules 2004, 37, 2054–2066. [Google Scholar] [CrossRef]
- Cheng, C.; Wooley, K.L.; Khoshdel, E. Hyperbranched fluorocopolymers by atom transfer radical self-condensing vinyl copolymerization. J. Polym. Sci. A 2005, 43, 4754–4770. [Google Scholar] [CrossRef]
- Hong, C.-Y.; You, Y.-Z.; Wu, D.; Liu, Y.; Pan, C.-Y. Multiwalled carbon nanotubes grafted with hyperbranched polymer shell via SCVP. Macromolecules 2005, 38, 2606–2611. [Google Scholar] [CrossRef]
- Peeters, J.W.; Palmans, A.R.A.; Meijer, E.W.; Koning, C.E.; Heise, A. Chemoenzymatic synthesis of branched polymers. Macromol. Rapid Commun. 2005, 26, 684–689. [Google Scholar] [CrossRef]
- Gong, F.; Tang, H.; Liu, C.; Jiang, B.; Ren, Q.; Yang, Y. Preparation of hyperbranched polymers through atrp of in situ formed AB* monomer. J. Appl. Polym. Sci. 2006, 101, 850–856. [Google Scholar] [CrossRef]
- Muthukrishnan, S.; Erhard, D.P.; Mori, H.; Müller, A.H.E. Synthesis and characterization of surface-grafted hyperbranched glycomethacrylates. Macromolecules 2006, 39, 2743–2750. [Google Scholar] [CrossRef]
- Gao, H.; Min, K.; Matyjaszewski, K. Gelation in atrp using structurally different branching reagents: Comparison of inimer, divinyl and trivinyl cross-linkers. Macromolecules 2009, 42, 8039–8043. [Google Scholar] [CrossRef]
- Han, H.; Tsarevsky, N.V. Carboxylic acids as latent initiators of radical polymerization carried out in the presence of hypervalent iodine compounds: Synthesis of branched and transiently crosslinked polymers. Polym. Chem. 2012, 3, 1910–1917. [Google Scholar] [CrossRef]
- Dong, B.-T.; Dong, Y.-Q.; Du, F.-S.; Li, Z.-C. Controlling polymer topology by atom transfer radical self-condensing vinyl polymerization of p-(2-bromoisobutyloylmethyl)styrene. Macromolecules 2010, 43, 8790–8798. [Google Scholar] [CrossRef]
- Pugh, C.; Singh, A.; Samuel, R.; Bernal Ramos, K.M. Synthesis of hyperbranched polyacrylates by a chloroinimer approach. Macromolecules 2010, 43, 5222–5232. [Google Scholar] [CrossRef]
- Huang, C.-F.; Kuo, S.-W.; Moravcikova, D.; Liao, J.-C.; Han, Y.-M.; Lee, T.-H.; Wang, P.-H.; Lee, R.-H.; Tsiang, R.C.-C.; Mosnacek, J. Effect of variations of CuIIX2/L surface area of Cu0, solvent, and temperature on atom transfer radical polyaddition of 4-vinylbenzyl 2-bromo-2-isobutyrate inimers. RSC Adv. 2016, 6, 51816–51822. [Google Scholar] [CrossRef]
- Chen, Z.-C.; Chiu, C.-L.; Huang, C.-F. Tuning the solubility of copper complex in atom transfer radical self-condensing vinyl polymerizations to control polymer topology via one-pot to the synthesis of hyperbranched core star polymers. Polymers 2014, 6, 2552–2572. [Google Scholar] [CrossRef]
- Francis, R.; Ajayaghosh, A. Synthesis, characterization and radical copolymerization behaviour of S-methacryloyl O-methyl xanthate. Polymer 1995, 36, 1091–1096. [Google Scholar] [CrossRef]
- Francis, R.; Ajayaghosh, A. Minimization of homopolymer formation and control of dispersity in free radical induced graft polymerization using xanthate derived macro-photoinitiators. Macromolecules 2000, 33, 4699–4704. [Google Scholar] [CrossRef]
- Ishizu, K.; Shibuya, T.; Kawauchi, S. Kinetics on formation of hyperbranched poly(ethyl methacrylate) via a controlled radical mechanism of photofunctional inimer. Macromolecules 2003, 36, 3505–3510. [Google Scholar] [CrossRef]
- Wang, Z.; He, J.; Tao, Y.; Yang, L.; Jiang, H.; Yang, Y. Controlled chain branching by raft-based radical polymerization. Macromolecules 2003, 36, 7446–7452. [Google Scholar] [CrossRef]
- Carter, S.; Hunt, B.; Rimmer, S. Highly branched poly(N-isopropylacrylamide)s with imidazole end groups prepared by radical polymerization in the presence of a styryl monomer containing a dithioester group. Macromolecules 2005, 38, 4595–4603. [Google Scholar] [CrossRef]
- Carter, S.; Rimmer, S.; Rutkaite, R.; Swanson, L.; Fairclough, J.P.A.; Sturdy, A.; Webb, M. Highly branched poly(N-isopropylacrylamide) for use in protein purification. Biomacromolecules 2006, 7, 1124–1130. [Google Scholar] [CrossRef] [PubMed]
- Peleshanko, S.; Gunawidjaja, R.; Petrash, S.; Tsukruk, V.V. Synthesis and interfacial behavior of amphiphilic hyperbranched polymers: Poly(ethylene oxide)−polystyrene hyperbranches. Macromolecules 2006, 39, 4756–4766. [Google Scholar] [CrossRef]
- Hopkins, S.; Carter, S.; Swanson, L.; MacNeil, S.; Rimmer, S. Temperature-dependent phagocytosis of highly branched poly(N-isopropyl acrylamide-co-1,2 propandiol-3-methacrylate)s prepared by raft polymerization. J. Mater. Chem. 2007, 17, 4022–4027. [Google Scholar] [CrossRef]
- Vogt, A.P.; Gondi, S.R.; Sumerlin, B.S. Hyperbranched polymers via raft copolymerization of an acryloyl trithiocarbonate. Aust. J. Chem. 2007, 60, 396–399. [Google Scholar] [CrossRef]
- Heidenreich, A.J.; Puskas, J.E. Synthesis of arborescent (dendritic) polystyrenes via controlled inimer-type reversible addition-fragmentation chain transfer polymerization. J. Polym. Sci. A 2008, 46, 7621–7627. [Google Scholar] [CrossRef]
- Kwak, Y.; Nicolaÿ, R.; Matyjaszewski, K. Concurrent atrp/raft of styrene and methyl methacrylate with dithioesters catalyzed by copper(I) complexes. Macromolecules 2008, 41, 6602–6604. [Google Scholar] [CrossRef]
- Vogt, A.P.; Sumerlin, B.S. Tuning the temperature response of branched poly(N-isopropylacrylamide) prepared by raft polymerization. Macromolecules 2008, 41, 7368–7373. [Google Scholar] [CrossRef]
- Schmitt, J.; Blanchard, N.; Poly, J. Controlled synthesis of branched poly(vinyl acetate)s by xanthate-mediated raft self-condensing vinyl (co)polymerization. Polym. Chem. 2011, 2, 2231–2238. [Google Scholar] [CrossRef]
- Zhang, C.; Zhou, Y.; Liu, Q.; Li, S.; Perrier, S.; Zhao, Y. Facile synthesis of hyperbranched and star-shaped polymers by RAFT polymerization based on a polymerizable trithiocarbonate. Macromolecules 2011, 44, 2034–2049. [Google Scholar] [CrossRef]
- Zhou, X.; Zhu, J.; Xing, M.; Zhang, Z.; Cheng, Z.; Zhou, N.; Zhu, X. Synthesis and characters of hyperbranched poly(vinyl acetate) by raft polymerization. Eur. Polym. J. 2011, 47, 1912–1922. [Google Scholar] [CrossRef]
- Han, J.; Li, S.; Tang, A.; Gao, C. Water-soluble and clickable segmented hyperbranched polymers for multifunctionalization and novel architecture construction. Macromolecules 2012, 45, 4966–4977. [Google Scholar] [CrossRef]
- Wei, Z.; Hao, X.; Gan, Z.; Hughes, T.C. One-pot synthesis of hyperbranched glycopolymers by raft polymerization. J. Polym. Sci. A 2012, 50, 2378–2388. [Google Scholar] [CrossRef]
- Zhang, M.; Liu, H.; Shao, W.; Ye, C.; Zhao, Y. Versatile synthesis of multiarm and miktoarm star polymers with a branched core by combination of menschutkin reaction and controlled polymerization. Macromolecules 2012, 45, 9312–9325. [Google Scholar] [CrossRef]
- Li, S.; Han, J.; Gao, C. High-density and hetero-functional group engineering of segmented hyperbranched polymers via click chemistry. Polym. Chem. 2013, 4, 1774–1787. [Google Scholar] [CrossRef]
- Zhang, M.; Liu, H.; Shao, W.; Miao, K.; Zhao, Y. Synthesis and properties of multicleavable amphiphilic dendritic comblike and toothbrushlike copolymers comprising alternating PEG and PCL grafts. Macromolecules 2013, 46, 1325–1336. [Google Scholar] [CrossRef]
- Zhang, Y.; Teo, B.M.; Postma, A.; Ercole, F.; Ogaki, R.; Zhu, M.; Städler, B. Highly-branched poly(N-isopropylacrylamide) as a component in poly(dopamine) films. J. Phys. Chem. B 2013, 117, 10504–10512. [Google Scholar] [CrossRef] [PubMed]
- Ghosh Roy, S.; De, P. Facile raft synthesis of side-chain amino acids containing ph-responsive hyperbranched and star architectures. Polym. Chem. 2014, 5, 6365–6378. [Google Scholar] [CrossRef]
- Sato, E.; Uehara, I.; Horibe, H.; Matsumoto, A. One-step synthesis of thermally curable hyperbranched polymers by addition–fragmentation chain transfer using divinyl monomers. Macromolecules 2014, 47, 937–943. [Google Scholar] [CrossRef]
- Weng, Z.; Zheng, Y.; Tang, A.; Gao, C. Synthesis, dye encapsulation, and highly efficient colouring application of amphiphilic hyperbranched polymers. Aust. J. Chem. 2014, 67, 103–111. [Google Scholar] [CrossRef]
- Zhuang, Y.; Su, Y.; Peng, Y.; Wang, D.; Deng, H.; Xi, X.; Zhu, X.; Lu, Y. Facile fabrication of redox-responsive thiol-containing drug delivery system via raft polymerization. Biomacromolecules 2014, 15, 1408–1418. [Google Scholar] [CrossRef] [PubMed]
- Hu, X.; Liu, G.; Li, Y.; Wang, X.; Liu, S. Cell-penetrating hyperbranched polyprodrug amphiphiles for synergistic reductive milieu-triggered drug release and enhanced magnetic resonance signals. J. Am. Chem. Soc. 2015, 137, 362–368. [Google Scholar] [CrossRef] [PubMed]
- Huang, J.; Lin, L.; Liang, H.; Lu, J. A facile synthesis of branched graft copolymers via combination of raft self-condensing vinyl polymerization and aldehyde-aminooxy reaction. Polym. Chem. 2015, 6, 4020–4029. [Google Scholar] [CrossRef]
- Li, C.; Liu, H.; Tang, D.; Zhao, Y. Synthesis, postmodification and fluorescence properties of reduction-cleavable core-couplable miktoarm stars with a branched core. Polym. Chem. 2015, 6, 1474–1486. [Google Scholar] [CrossRef]
- Rikkou-Kalourkoti, M.; Elladiou, M.; Patrickios, C.S. Synthesis and characterization of hyperbranched amphiphilic block copolymers prepared via self-condensing raft polymerization. J. Polym. Sci. A 2015, 53, 1310–1319. [Google Scholar] [CrossRef]
- Wang, K.; Peng, H.; Thurecht, K.J.; Puttick, S.; Whittaker, A.K. Segmented highly branched copolymers: Rationally designed macromolecules for improved and tunable 19f mri. Biomacromolecules 2015, 16, 2827–2839. [Google Scholar] [CrossRef] [PubMed]
- Alfurhood, J.A.; Sun, H.; Bachler, P.R.; Sumerlin, B.S. Hyperbranched poly(N-(2-hydroxypropyl) methacrylamide) via raft self-condensing vinyl polymerization. Polym. Chem. 2016, 7, 2099–2104. [Google Scholar] [CrossRef]
- Haldar, U.; Roy, S.G.; De, P. Poss tethered hybrid “inimer” derived hyperbranched and star-shaped polymers via scvp-raft technique. Polymer 2016, 97, 113–121. [Google Scholar] [CrossRef]
- Zheng, Y.; Tang, A.; Weng, Z.; Cai, S.; Jin, Y.; Gao, Z.; Gao, C. Amphiphilic hyperbranched polymers: Synthesis and host-guest supermolecular coloring application. Macromol. Chem. Phys. 2016, 217, 380–389. [Google Scholar] [CrossRef]
- Zhuang, Y.; Deng, H.; Su, Y.; He, L.; Wang, R.; Tong, G.; He, D.; Zhu, X. Aptamer-functionalized and backbone redox-responsive hyperbranched polymer for targeted drug delivery in cancer therapy. Biomacromolecules 2016, 17, 2050–2062. [Google Scholar] [CrossRef] [PubMed]
- Alfurhood, J.A.; Bachler, P.R.; Sumerlin, B.S. Hyperbranched polymers via raft self-condensing vinyl polymerization. Polym. Chem. 2016, 7, 3361–3369. [Google Scholar] [CrossRef]
- Ishizu, K.; Mori, A. Novel synthesis of branched polystyrenes by quasi-living radical copolymerization using photofunctional inimer. Polym. Int. 2001, 50, 906–910. [Google Scholar] [CrossRef]
- Ishizu, K.; Ohta, Y.; Kawauchi, S. Kinetics of hyperbranched polystyrenes by free radical polymerization of photofunctional inimer. Macromolecules 2002, 35, 3781–3784. [Google Scholar] [CrossRef]
- Ishizu, K.; Shibuya, T.; Mori, A. Synthesis and characterization of hyperbranched poly(ethyl methacrylate) by quasi-living radical polymerization of photofunctional inimer. Polym. Int. 2002, 51, 424–428. [Google Scholar] [CrossRef]
- Bektas, S.; Ciftci, M.; Yagci, Y. Hyperbranched polymers by visible light induced self-condensing vinyl polymerization and their modifications. Macromolecules 2013, 46, 6751–6757. [Google Scholar] [CrossRef]
- Paulo, C.; Puskas, J.E. Synthesis of hyperbranched polyisobutylenes by inimer-type living polymerization. 1. Investigation of the effect of reaction conditions. Macromolecules 2001, 34, 734–739. [Google Scholar] [CrossRef]
- Knauss, D.M.; Al-Muallem, H.A. Polystyrene with dendritic branching by convergent living anionic polymerization. Ii. Approach using vinylbenzyl chloride. J. Polym. Sci. A 2000, 38, 4289–4298. [Google Scholar] [CrossRef]
- Knauss, D.M.; Al-Muallem, H.A.; Huang, T.; Wu, D.T. Polystyrene with dendritic branching by convergent living anionic polymerization. Macromolecules 2000, 33, 3557–3568. [Google Scholar] [CrossRef]
- Sun, W.; He, J.; Wang, X.; Zhang, C.; Zhang, H.; Yang, Y. Synthesis of dendritic polystyrenes from an anionic inimer. Macromolecules 2009, 42, 7309–7317. [Google Scholar] [CrossRef]
- Jia, Z.; Yan, D. Hyperbranched polymers generated from oxyanionic vinyl polymerization of commercially available methacrylate inimers. J. Polym. Sci. A 2005, 43, 3502–3509. [Google Scholar] [CrossRef]
- Baskaran, D. Hyperbranched polymers from divinylbenzene and 1,3-diisopropenylbenzene through anionic self-condensing vinyl polymerization. Polymer 2003, 44, 2213–2220. [Google Scholar] [CrossRef]
- Baskaran, D. Synthesis of hyperbranched polymers by anionic self-condensing vinyl polymerization. Macromol. Chem. Phys. 2001, 202, 1569–1575. [Google Scholar] [CrossRef]
- Xie, C.; Ju, Z.; Zhang, C.; Yang, Y.; He, J. Dendritic block and dendritic brush copolymers through anionic macroinimer approach. Macromolecules 2013, 46, 1437–1446. [Google Scholar] [CrossRef]
- Yang, H.; Bai, T.; Xue, X.; Huang, W.; Chen, J.; Qian, X.; Zhang, G.; Jiang, B. A simple route to vinyl-functionalized hyperbranched polymers: Self-condensing anionic copolymerization of allyl methacrylate and hydroxyethyl methacrylate. Polymer 2015, 72, 63–68. [Google Scholar] [CrossRef]
- Simon, P.F.W.; Radke, W.; Müller, A.H.E. Hyperbranched methacrylates by self-condensing group transfer polymerization. Macromol. Rapid Commun. 1997, 18, 865–873. [Google Scholar] [CrossRef]
- Simon, P.F.W.; Mueller, A.H.E. Kinetic investigation of self-condensing group transfer polymerization. Macromolecules 2004, 37, 7548–7558. [Google Scholar] [CrossRef]
- Lu, P.; Paulasaari, J.K.; Weber, W.P. Hyperbranched poly(4-acetylstyrene) by ruthenium-catalyzed step-growth polymerization of 4-acetylstyrene. Macromolecules 1996, 29, 8583–8586. [Google Scholar] [CrossRef]
- Georges, M.K.; Veregin, R.P.N.; Kazmaier, P.M.; Hamer, G.K. Narrow molecular weight resins by a free-radical polymerization process. Macromolecules 1993, 26, 2987–2988. [Google Scholar] [CrossRef]
- Grubbs, R.B. Nitroxide-mediated radical polymerization: Limitations and versatility. Polym. Rev. 2011, 51, 104–137. [Google Scholar] [CrossRef]
- Matyjaszewski, K.; Gaynor, S.G. Preparation of hyperbranched polyacrylates by atom transfer radical polymerization. 3. Effect of reaction conditions on the self-condensing vinyl polymerization of 2-((2-bromopropionyl)oxy)ethyl acrylate. Macromolecules 1997, 30, 7042–7049. [Google Scholar] [CrossRef]
- Matyjaszewski, K.; Pyun, J.; Gaynor, S.G. Preparation of hyperbranched polyacrylates by atom transfer radical polymerization, 4. The use of zero-valent copper. Macromol. Rapid Commun. 1998, 19, 665–670. [Google Scholar] [CrossRef]
- Yoo, S.H.; Yoon, T.H.; Jho, J.Y. Controlling the degree of branching in atom-transfer radical polymerization of hyperbranched polyacrylates. Macromol. Rapid Commun. 2001, 22, 1319–1324. [Google Scholar] [CrossRef]
- Bibiao, J.; Yang, Y.; Jian, D.; Shiyang, F.; Rongqi, Z.; Jianjun, H.; Wenyun, W. Preparation of hyperbranched polymers by atom transfer radical polymerization. J. Appl. Polym. Sci. 2002, 83, 2114–2123. [Google Scholar] [CrossRef]
- Rikkou-Kalourkoti, M.; Matyjaszewski, K.; Patrickios, C.S. Synthesis, characterization and thermolysis of hyperbranched homo- and amphiphilic co-polymers prepared using an inimer bearing a thermolyzable acylal group. Macromolecules 2012, 45, 1313–1320. [Google Scholar] [CrossRef]
- Gao, C.; Zheng, X. Facile synthesis and self-assembly of multihetero-arm hyperbranched polymer brushes. Soft Matter 2009, 5, 4788–4796. [Google Scholar] [CrossRef]
- Barner, L.; Davis, T.P.; Stenzel, M.H.; Barner-Kowollik, C. Complex macromolecular architectures by reversible addition fragmentation chain transfer chemistry: Theory and practice. Macromol. Rapid Commun. 2007, 28, 539–559. [Google Scholar] [CrossRef]
- Ishizu, K.; Mori, A. Synthesis of hyperbranched polymers by self-addition free radical vinyl polymerization of photo functional styrene. Macromol. Rapid Commun. 2000, 21, 665–668. [Google Scholar] [CrossRef]
- Akabori, K.-I.; Atarashi, H.; Ozawa, M.; Kondo, T.; Nagamura, T.; Tanaka, K. Glass transition behavior of hyper-branched polystyrenes. Polymer 2009, 50, 4868–4875. [Google Scholar] [CrossRef]
- Wang, X.; Shi, Y.; Graff, R.W.; Cao, X.; Gao, H. Synthesis of hyperbranched polymers with high molecular weight in the homopolymerization of polymerizable trithiocarbonate transfer agent without thermal initiator. Macromolecules 2016, 49, 6471–6479. [Google Scholar] [CrossRef]
- Jiang, Q.; Huang, W.; Yang, H.; Xue, X.; Jiang, B.; Zhang, D.; Fang, J.; Chen, J.; Yang, Y.; Zhai, G.; et al. Radical emulsion polymerization with chain transfer monomer: An approach to branched vinyl polymers with high molecular weight and relatively narrow polydispersity. Polym. Chem. 2014, 5, 1863–1873. [Google Scholar] [CrossRef]
- Hanselmann, R.; Hölter, D.; Frey, H. Hyperbranched polymers prepared via the core-dilution/slow addition technique: Computer simulation of molecular weight distribution and degree of branching. Macromolecules 1998, 31, 3790–3801. [Google Scholar] [CrossRef]
- Radke, W.; Litvinenko, G.; Müller, A.H.E. Effect of core-forming molecules on molecular weight distribution and degree of branching in the synthesis of hyperbranched polymers. Macromolecules 1998, 31, 239–248. [Google Scholar] [CrossRef]
- Bharathi, P.; Moore, J.S. Solid-supported hyperbranched polymerization: Evidence for self-limited growth. J. Am. Chem. Soc. 1997, 119, 3391–3392. [Google Scholar] [CrossRef]
- Misra, S.K.; Wang, X.; Srivastava, I.; Imgruet, M.K.; Graff, R.W.; Ohoka, A.; Kampert, T.L.; Gao, H.; Pan, D. Combinatorial therapy for triple negative breast cancer using hyperstar polymer-based nanoparticles. Chem. Commun. 2015, 51, 16710–16713. [Google Scholar] [CrossRef] [PubMed]
- Wei, X.; Luo, Q.; Sun, L.; Li, X.; Zhu, H.; Guan, P.; Wu, M.; Luo, K.; Gong, Q. Enzyme- and pH-sensitive branched polymer–doxorubicin conjugate-based nanoscale drug delivery system for cancer therapy. ACS Appl. Mater. Interfaces 2016, 8, 11765–11778. [Google Scholar] [CrossRef] [PubMed]
- Li, Y.; Laurent, S.; Esser, L.; Elst, L.V.; Muller, R.N.; Lowe, A.B.; Boyer, C.; Davis, T.P. The precise molecular location of gadolinium atoms has a significant influence on the efficacy of nanoparticulate mri positive contrast agents. Polym. Chem. 2014, 5, 2592–2601. [Google Scholar] [CrossRef]
- Jackson, A.W.; Chandrasekharan, P.; Ramasamy, B.; Goggi, J.; Chuang, K.-H.; He, T.; Robins, E.G. Octreotide functionalized nano-contrast agent for targeted magnetic resonance imaging. Biomacromolecules 2016, 17, 3902–3910. [Google Scholar] [CrossRef] [PubMed]
- Hu, D.; Jin, S.; Shi, Y.; Wang, X.; Graff, R.W.; Liu, W.; Zhu, M.; Gao, H. Preparation of hyperstar polymers with encapsulated Au 25(SR)18 clusters as recyclable catalysts for nitrophenol reduction. Nanoscale 2017, 9, 3629–3636. [Google Scholar] [CrossRef] [PubMed]
- Pan, X.; Tasdelen, M.A.; Laun, J.; Junkers, T.; Yagci, Y.; Matyjaszewski, K. Photomediated controlled radical polymerization. Prog. Polym. Sci. 2016, 62, 73–125. [Google Scholar] [CrossRef]
- Chen, M.; Zhong, M.; Johnson, J.A. Light-controlled radical polymerization: Mechanisms, methods, and applications. Chem. Rev. 2016, 116, 10167–10211. [Google Scholar] [CrossRef] [PubMed]
- Matyjaszewski, K.; Jakubowski, W.; Min, K.; Tang, W.; Huang, J.; Braunecker, W.A.; Tsarevsky, N.V. Diminishing catalyst concentration in atom transfer radical polymerization with reducing agents. Proc. Natl. Acad. Sci. USA 2006, 103, 15309–15314. [Google Scholar] [CrossRef] [PubMed]
- Chmielarz, P.; Fantin, M.; Park, S.; Isse, A.A.; Gennaro, A.; Magenau, A.J.D.; Sobkowiak, A.; Matyjaszewski, K. Electrochemically mediated atom transfer radical polymerization (eATRP). Prog. Polym. Sci. 2017, 69, 47–78. [Google Scholar] [CrossRef]
- Treat, N.J.; Sprafke, H.; Kramer, J.W.; Clark, P.G.; Barton, B.E.; Read de Alaniz, J.; Fors, B.P.; Hawker, C.J. Metal-free atom transfer radical polymerization. J. Am. Chem. Soc. 2014, 136, 16096–16101. [Google Scholar] [CrossRef] [PubMed]
- Matyjaszewski, K. Atom transfer radical polymerization (ATRP): Current status and future perspectives. Macromolecules 2012, 45, 4015–4039. [Google Scholar] [CrossRef]













| AB* Reference | Structure | AB* Reference | Structure |
|---|---|---|---|
| AB*1 [43,122] | ![]() | AB*11 [58] | ![]() |
| AB*2 [123] | ![]() | AB*12 [47,48] | ![]() |
| AB*3 [124] | ![]() | AB*13 [45,52] | ![]() |
| AB*4 [55] | ![]() | AB*14 [123] | ![]() |
| AB*5 [46] | ![]() | AB*15 [50] | ![]() |
| AB*6 [125] | ![]() | AB*16 [56] | ![]() |
| AB*7 [44] | ![]() | AB*17 [126] | ![]() |
| AB*8 [50] | ![]() | AB*18 [47,127] | ![]() |
| AB*9 [60] | ![]() | AB*19 [47] | ![]() |
| AB*10 [65] | ![]() | AB*20 [47] | ![]() |
| Transmer | Structure | Vinyl Group a | CT Group b | Reference |
|---|---|---|---|---|
| 1 | ![]() | S | DTB | [72,78,86,97] |
| 2 | ![]() | S | DTB | [73,74,76] |
| 3 | ![]() | S | DTB | [89,97] |
| 4 | ![]() | A | DTB | [96] |
| 5 | ![]() | M | DTB | [85] |
| 6 | ![]() | VA | DTC | [83] |
| 7 | ![]() | VA | DTC | [81] |
| 8 | ![]() | A | TTC | [102] |
| 9 | ![]() | A | TTC | [84,92,101] |
| 10 | ![]() | A | TTC | [85] |
| 12 | ![]() | A | TTC | [88] |
| 13 | ![]() | A | TTC | [77,80] |
| 14 | ![]() | M | TTC | [98] |
| 15 | ![]() | M | TTC | [94] |
| 16 | ![]() | M | TTC | [87,92] |
| 17 | ![]() | S | TTC | [95] |
| 18 | ![]() | S | TTC | [82,93] |
| 19 | ![]() | S | TTC | [89,90] |
| 20 | ![]() | M | TTC | [99] |
| 21 | ![]() | S | Carbamate/iniferter | [129] |
| 22 | ![]() | M | Carbamate/iniferter | [106] |
| 23 | ![]() | M | Thiol | [132] |
© 2017 by the authors. Licensee MDPI, Basel, Switzerland. This article is an open access article distributed under the terms and conditions of the Creative Commons Attribution (CC BY) license (http://creativecommons.org/licenses/by/4.0/).
Share and Cite
Wang, X.; Gao, H. Recent Progress on Hyperbranched Polymers Synthesized via Radical-Based Self-Condensing Vinyl Polymerization. Polymers 2017, 9, 188. https://doi.org/10.3390/polym9060188
Wang X, Gao H. Recent Progress on Hyperbranched Polymers Synthesized via Radical-Based Self-Condensing Vinyl Polymerization. Polymers. 2017; 9(6):188. https://doi.org/10.3390/polym9060188
Chicago/Turabian StyleWang, Xiaofeng, and Haifeng Gao. 2017. "Recent Progress on Hyperbranched Polymers Synthesized via Radical-Based Self-Condensing Vinyl Polymerization" Polymers 9, no. 6: 188. https://doi.org/10.3390/polym9060188
APA StyleWang, X., & Gao, H. (2017). Recent Progress on Hyperbranched Polymers Synthesized via Radical-Based Self-Condensing Vinyl Polymerization. Polymers, 9(6), 188. https://doi.org/10.3390/polym9060188











































