Effect of Aging, Antioxidant, and Mono- and Divalent Ions at High Temperature on the Rheology of New Polyacrylamide-Based Co-Polymers
Abstract
:1. Introduction
2. Materials and Methods
2.1. Polymers Descriptions
2.2. Brine Preparation
2.3. Polymer Solution Preparation
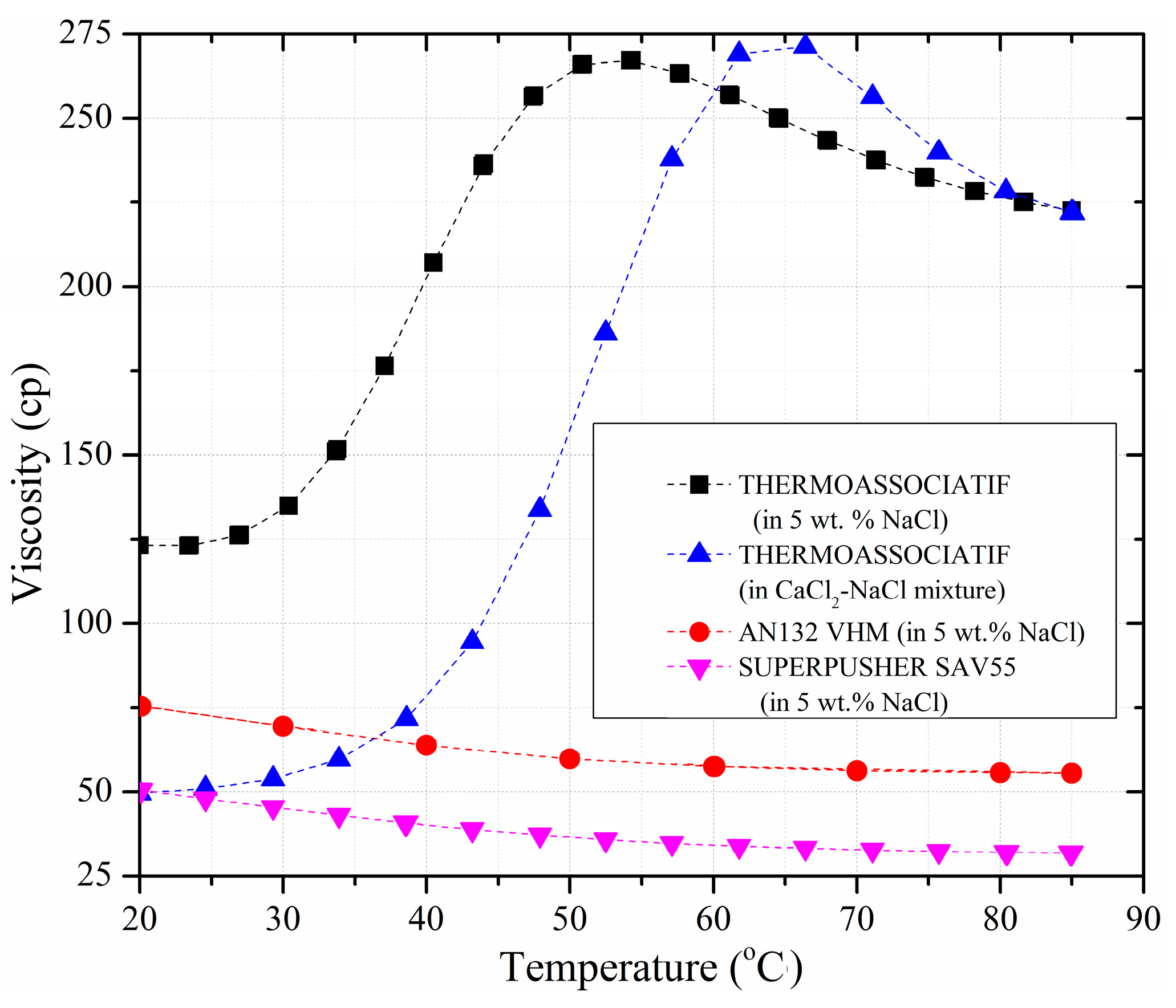
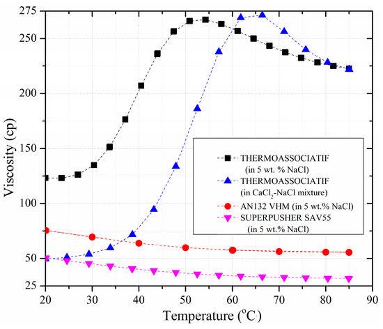
2.4. Viscosity Measurement
2.5. Oxygen-Free Environment
3. Results and Discussion
3.1. Aging Time Dependence of Polymer Viscosity at 80 °C in 5 wt % NaCl without Sacrificial Agents
3.2. Effect of Divalent Ions on the Aging Time Dependence of Polymer Viscosity at 80 °C without an Antioxidant
3.3. Aging Time Dependence of Polymer Viscosity at 80 °C with an Antioxidant and Only Monovalent Ions
3.4. Effect of IBA Concentration on the Viscosity
3.5. Effect of Divalent Ions on the Aging Time Dependence of Polymer Viscosity at 80 °C with an Antioxidant
4. Observations and Conclusions
- In the absence of an antioxidant:
- All samples maintained their viscosity very well up to seven days, except the THERMOASSOCIATIF polymer which started degrading immediately.
- After aging for 90 days, all studied polymers, whether prepared in 5 wt % NaCl or CaCl2-NaCl, showed severe viscosity reduction due to polymer oxidation.
- In the presence of isobutyl alcohol (IBA) as an antioxidant:
- All polymer samples that were prepared using the 5 wt % NaCl solvent showed a gradual increase in viscosity as the aging time increased (up to 90 days of test duration) due to polymer hydrolysis at high temperatures.
- For the samples that were prepared with 5 wt % NaCl as the solvent, viscosity increased after 90 days of aging (which can be thought of as increased thermal stability), as the IBA amount was increased up to 3 wt %, after which the addition of more IBA did not have a significant effect on viscosity.
- For the samples which were prepared in the CaCl2-NaCl solvent, all polymers except AN132 VHM showed a viscosity reduction after 90 days of aging due to the strong ability of cations in charge screening and binding to negative sites on the polymer.
- AN132 VHM, on the other hand, showed a viscosity increase after 90 days of aging, which implies that the viscosity increase rate due to polymer hydrolysis was higher than the viscosity reduction rate due to the presence of divalent ions in the solution.
Acknowledgments
Author Contributions
Conflicts of Interest
References
- Sheng, J.J.; Leonhardt, B.; Azri, N. Status of polymer-flooding technology. J. Can. Pet. Technol. 2015, 54, 116–126. [Google Scholar] [CrossRef]
- Lake, L.W. Enhanced Oil Recovery; Prentice Hall Incorporated: Upper Saddle River, NJ, USA, 1989. [Google Scholar]
- Green, D.W.; Willhite, G.P. Enhanced Oil Recovery; Henry, L., Ed.; Doherty Memorial Fund of AIME, Society of Petroleum Engineers: Richardson, TX, USA, 1998. [Google Scholar]
- Thomas, A.; Gaillard, N.; Favero, C. Some key features to consider when studying acrylamide-based polymers for chemical enhanced oil recovery. Oil Gas Sci. Technol. 2012, 67, 887. [Google Scholar] [CrossRef]
- Sorbie, K.S. Polymer-Improved Oil Recovery, 1st ed.; Blackie & Son: Glasgow, UK, 1991. [Google Scholar]
- Sheng, J. Modern Chemical Enhance Oil Recovery: Theory and Practice; Gulf Professional: London, UK, 2011. [Google Scholar]
- Hashmet, M.R.; Onur, M.; Tan, I.M. Empirical correlations for viscosity of polyacrylamide solutions with the effects of temperature and shear rate. II. J. Dispers. Sci. Technol. 2013, 35, 1685–1690. [Google Scholar] [CrossRef]
- Hashmet, M.R.; Onur, M.; Tan, I.M. Empirical correlations for viscosity of polyacrylamide solutions with the effects of salinity and hardness. J. Dispers. Sci. Technol. 2013, 35, 510–517. [Google Scholar] [CrossRef]
- Hirasaki, G.J.; Pope, G.A. Analysis of factors influencing mobility and adsorption in the flow of polymer solution through porous media. Soc. Pet. Eng. J. 1974, 14, 337–346. [Google Scholar] [CrossRef]
- Niu, Y.; Jian, O.; Zhu, Z.; Wang, G.; Sun, G.; Shi, L. Research on Hydrophobically Associating Water-Soluble Polymer Used for Eor; Society of Petroleum Engineers: London, UK, 2001. [Google Scholar]
- Moradi-Araghi, A.; Doe, P.H. Hydrolysis and precipitation of polyacrylamides in hard brines at elevated temperatures. Soc. Pet. Eng. J. 1987, 2, 189–198. [Google Scholar] [CrossRef]
- Seright, R.S.; Campbell, A.; Mozley, P.; Han, P. Stability of partially hydrolyzed polyacrylamides at elevated temperatures in the absence of divalent cations. Soc. Pet. Eng. J. 2010, 15, 341–348. [Google Scholar] [CrossRef]
- Choi, B.; Jeong, M.S.; Lee, K.S. Temperature-dependent viscosity model of hpam polymer through high-temperature reservoirs. Polym. Degrad. Stab. 2014, 110, 225–231. [Google Scholar] [CrossRef]
- Ma, Q.; Shuler, P.J.; Aften, C.W.; Tang, Y. Theoretical studies of hydrolysis and stability of polyacrylamide polymers. Polym. Degrad. Stab. 2015, 121, 69–77. [Google Scholar] [CrossRef]
- Vermolen, E.C.M.; Van Haasterecht, M.J.T.; Masalmeh, S.K.; Faber, M.J.; Boersma, D.M.; Gruenenfelder, M.A. Pushing the Envelope for Polymer Flooding towards High-Temperature and High-Salinity Reservoirs with Polyacrylamide Based Ter-Polymers; Society of Petroleum Engineers: London, UK, 2011. [Google Scholar]
- Levitt, D.; Pope, G.A. Selection and Screening of Polymers for Enhanced-Oil Recovery; SPE Symposium on Improved Oil Recovery: Tulsa, OK, USA, 2008. [Google Scholar]
- Zhu, D.; Wei, L.; Wang, B.; Feng, Y. Aqueous hybrids of silica nanoparticles and hydrophobically associating hydrolyzed polyacrylamide used for eor in high-temperature and high-salinity reservoirs. Energies 2014, 7, 3858–3871. [Google Scholar] [CrossRef]
- Li, X.E.; Xu, Z.; Yin, H.; Feng, Y.; Quan, H. Comparative studies on enhanced oil recovery: Thermoviscosifying polymer versus polyacrylamide. Energy Fuels 2017, 31, 2479–2487. [Google Scholar] [CrossRef]
- Al-Hashmi, A.R.; Divers, T.; Al-Maamari, R.S.; Favero, C.; Thomas, A. Improving Polymer Flooding Efficiency in Oman Oil Fields; Society of Petroleum Engineers: London, UK, 2016. [Google Scholar]
- Leblanc, T.; Braun, O.; Thomas, A.; Divers, T.; Gaillard, N.; Favero, C. Rheological Properties of Stimuli-Responsive Polymers in Solution to Improve the Salinity and Temperature Performances of Polymer-Based Chemical Enhanced Oil Recovery Technologies; Society of Petroleum Engineers: London, UK, 2015. [Google Scholar]
- Gaillard, N.; Giovannetti, B.; Leblanc, T.; Thomas, A.; Braun, O.; Favero, C. Selection of customized polymers to enhance oil recovery from high temperature reservoirs. In SPE Latin American and Caribbean Petroleum Engineering Conference, 18–20 November; Society of Petroleum Engineers: Quito, Ecuador, 2015. [Google Scholar]
- Wilton, R.R.; Torabi, F. Rheological assessment of the elasticity of polymers for enhanced heavy oil recovery. In SPE Heavy Oil Conference-Canada; Society of Petroleum Engineers: Calgary, AB, Canada, 2013. [Google Scholar]
- Floerger, S. Enhancing Polymer Flooding Performance 30 Years of Experience in Eor. Available online: http://www.snf.us/wp-content/uploads/2014/08/EOR-Oil-30-Years-of-EOR1.pdf (accessed on 28 September 2012).
- Rashidi, M.; Blokhus, A.M.; Skauge, A. Viscosity study of salt tolerant polymers. J. Appl. Polym. Sci. 2010, 117, 1551–1557. [Google Scholar] [CrossRef]
- Dai, C.; Xu, Z.; Wu, Y.; Zou, C.; Wu, X.; Wang, T.; Guo, X.; Zhao, M. Design and study of a novel thermal-resistant and shear-stable amphoteric polyacrylamide in high-salinity solution. Polymers 2017, 9, 296. [Google Scholar] [CrossRef]
- Jamshidi, H.; Rabiee, A. Synthesis and characterization of acrylamide-based anionic copolymer and investigation of solution properties. Adv. Mater. Sci. Eng. 2014. [Google Scholar] [CrossRef]
- Travas-Sejdic, J.; Easteal, A. Study of free-radical copolymerization of acrylamide with 2-acrylamido-2-methyl-1-propane sulphonic acid. J. Appl. Polym. Sci. 2000, 75, 619–628. [Google Scholar] [CrossRef]
- Yerramilli, S.S.; Zitha, P.L.J.; Yerramilli, R.C. Novel Insight into Polymer Injectivity for Polymer Flooding; Society of Petroleum Engineers: London, UK, 2013. [Google Scholar]
- Yang, S.H.; Treiber, L.E. Chemical stability of polyacrylamide under simulated field conditions. In SPE Annual Technical Conference and Exhibition; Society of Petroleum Engineers: Las Vegas, NV, USA, 1985. [Google Scholar]
- Miron, R.L. Removal of aqueous oxygen by chemical means in oil production operations. Mater. Perform. 1981, 20, 45–50. [Google Scholar]
- Shupe, R.D. Chemical stability of polyacrylamide polymers. J. Pet. Technol. 1981, 33, 1513–1529. [Google Scholar] [CrossRef]
- Wellington, S.L. Biopolymer solution viscosity stabilization—Polymer degradation and antioxidant use. Soc. Pet. Eng. J. 1983, 23, 901–912. [Google Scholar] [CrossRef]
- Rashidi, M.; Blokhus, A.M.; Skauge, A. Viscosity and retention of sulfonated polyacrylamide polymers at high temperature. J. Appl. Polym. Sci. 2011, 119, 3623–3629. [Google Scholar] [CrossRef]
- Lu, J.H.; Wu, L.; Letey, J. Effects of soil and water properties on anionic polyacrylamide sorption. Soil Sci. Soc. Am. J. 2002, 66, 578–584. [Google Scholar] [CrossRef]
- Huber, K. Calcium-induced shrinking of polyacrylate chains in aqueous solution. J. Phys. Chem. 1993, 97, 9825. [Google Scholar] [CrossRef]
- Axelos, M.A.V.; Mestdagh, M.M.; Francois, J. Phase diagrams of aqueous solutions of polycarboxylates in the presence of divalent cations. Macromolecules 1994, 27, 6594. [Google Scholar] [CrossRef]
- Peng, S.; Wu, C. Light scattering study of the formation and structure of partially hydrolyzed poly(acrylamide)/calcium(ii) complexes. Macromolecules 1999, 32, 585. [Google Scholar] [CrossRef]
- Spildo, K.; Sæ, E.I.Ø. Effect of charge distribution on the viscosity and viscoelastic properties of partially hydrolyzed polyacrylamide. Energy Fuels 2015, 29, 5609–5617. [Google Scholar] [CrossRef]
- Ryles, R.G. Elevated temperature testing of mobility control reagents. In SPE Annual Technical Conference and Exhibition; Society of Petroleum Engineers: San Francisco, CA, USA, 1983. [Google Scholar]
- Luo, J.-H.; Liu, Y.-Z.; Zhu, P. Polymer solution properties and displacement mechanisms. In Enhanced Oil Recovery-Polymer Flooding; Shen, P.-P., Liu, Y.-Z., Liu, H.-R., Eds.; Petroleum Industry Press: Beijing, China, 2006; pp. 1–72. [Google Scholar]
- Dexter, R.W.; Ryles, R.G. Effect of anionic comonomers on the hydrolytic stability of polyacrylamides at high temperatures in alkaline solution. In Oil-Field Chemistry; American Chemical Society: Washington, DC, USA, 1989; Volume 396, pp. 102–110. [Google Scholar]










| Polymer Product (Trade Name) | Molecular Weight (Million Daltons) | Sulfonation Degree (mol %) | Anionicity |
|---|---|---|---|
| FLOCOMB C7035 | Very High (>18) | low | Medium |
| AN132 VHM | Medium (9–11 1) | 32 | High |
| SUPERPUSHER SAV 55 | Low (5–7 1) | high | High |
| THERMOASSOCIATIF | Medium (<12) | medium | Medium |
| Brine Name | NaCl (g/kg of Solvent) | CaCl2 (g/kg of Solvent) | Deionized Water (g/kg of Solvent) |
|---|---|---|---|
| 5 wt % NaCl 1 | 50 | 0 | 950 |
| CaCl2-NaCl 1 | 20 | 19 | 961 |
© 2017 by the authors. Licensee MDPI, Basel, Switzerland. This article is an open access article distributed under the terms and conditions of the Creative Commons Attribution (CC BY) license (http://creativecommons.org/licenses/by/4.0/).
Share and Cite
Akbari, S.; Mahmood, S.M.; Tan, I.M.; Ling, O.L.; Ghaedi, H. Effect of Aging, Antioxidant, and Mono- and Divalent Ions at High Temperature on the Rheology of New Polyacrylamide-Based Co-Polymers. Polymers 2017, 9, 480. https://doi.org/10.3390/polym9100480
Akbari S, Mahmood SM, Tan IM, Ling OL, Ghaedi H. Effect of Aging, Antioxidant, and Mono- and Divalent Ions at High Temperature on the Rheology of New Polyacrylamide-Based Co-Polymers. Polymers. 2017; 9(10):480. https://doi.org/10.3390/polym9100480
Chicago/Turabian StyleAkbari, Saeed, Syed M. Mahmood, Isa M. Tan, Onn Lin Ling, and Hosein Ghaedi. 2017. "Effect of Aging, Antioxidant, and Mono- and Divalent Ions at High Temperature on the Rheology of New Polyacrylamide-Based Co-Polymers" Polymers 9, no. 10: 480. https://doi.org/10.3390/polym9100480
APA StyleAkbari, S., Mahmood, S. M., Tan, I. M., Ling, O. L., & Ghaedi, H. (2017). Effect of Aging, Antioxidant, and Mono- and Divalent Ions at High Temperature on the Rheology of New Polyacrylamide-Based Co-Polymers. Polymers, 9(10), 480. https://doi.org/10.3390/polym9100480

