Synthesis of Polythiophene–Fullerene Hybrid Additives as Potential Compatibilizers of BHJ Active Layers
Abstract
:1. Introduction
2. Materials and Methods
2.1. Materials
2.2. Instrumentation
2.3. Synthetic Procedures
2.3.1. Side [P3HT0.6-(P3HT-Br)0.4] [56]
2.3.2. Side [P3HT0.6-(P3HT-5F)0.4]
2.3.3. Side [P3HT0.6-(P3HT-5F)0.2-(P3HT-5F-N3)0.2]
2.3.4. Side [P3HT0.6-(P3HT-5F)0.2-(P3HT-5F-N-C60)0.2]
2.3.5. Side [P3HT0.6-(P3HT-5F)0.3-(P3HT-5F-N-C70)0.1]
3. Results and Discussion
3.1. Synthesis of Side-Br P3HTs
3.2. Synthesis of Side-P3HT-(P3HT-5F) Hybrids
3.3. Optical Properties
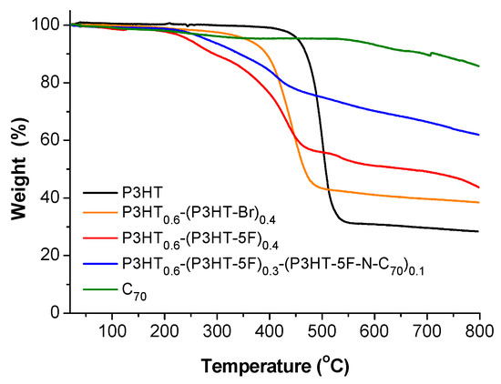
3.4. Morphology Characterization
4. Conclusions
Acknowledgments
Author Contributions
Conflicts of Interest
References
- Yu, J.; Zheng, Y.; Huang, J. Towards high performance organic photovoltaic cells: A review of recent development in organic photovoltaics. Polymers 2014, 6, 2473–2509. [Google Scholar] [CrossRef]
- Mazzio, K.A.; Luscombe, C.K. The future of organic photovoltaics. Chem. Soc. Rev. 2015, 44, 78–90. [Google Scholar] [CrossRef] [PubMed]
- Lu, L.; Zheng, T.; Wu, Q.; Schneider, A.M.; Zhao, D.; Yu, L. Recent advances in bulk heterojunction polymer solar cells. Chem. Rev. 2015, 115, 12666–12731. [Google Scholar] [CrossRef] [PubMed]
- Ma, W.; Yang, C.; Gong, X.; Lee, K.; Heeger, A.J. Thermally stable, efficient polymer solar cells with nanoscale control of the interpenetrating network morphology. Adv. Funct. Mater. 2005, 15, 1617–1622. [Google Scholar] [CrossRef]
- Choulis, S.A.; Kim, Y.; Nelson, J.; Bradley, D.D.C.; Giles, M.; Shkunov, M.; McCulloch, I. High ambipolar and balanced carrier mobility in regioregular poly(3-hexylthiophene). Appl. Phys. Lett. 2004, 85, 3890–3892. [Google Scholar] [CrossRef]
- Schafferhans, J.; Baumann, A.; Wagenpfahl, A.; Deibel, C.; Dyakonov, V. Oxygen doping of P3HT:PCBM blends: Influence on trap states, charge carrier mobility and solar cell performance. Org. Electron. 2010, 11, 1693–1700. [Google Scholar] [CrossRef]
- Dang, M.T.; Wantz, G.; Bejbouji, H.; Urien, M.; Dautel, O.J.; Vignau, L.; Hirsch, L. Polymeric solar cells based on P3HT:PCBM: Role of the casting solvent. Sol. Energy Mater. Sol. Cells 2011, 95, 3408–3418. [Google Scholar] [CrossRef]
- Baek, W.-H.; Yang, H.; Yoon, T.-S.; Kang, C.J.; Lee, H.H.; Kim, Y.-S. Effect of P3HT:PCBM concentration in solvent on performances of organic solar cells. Sol. Energy Mater. Sol. Cells 2009, 93, 1263–1267. [Google Scholar] [CrossRef]
- Carlé, J.E.; Krebs, F.C. Technological status of organic photovoltaics (OPV). Sol. Energy Mater. Sol. Cells 2013, 119, 309–310. [Google Scholar] [CrossRef]
- Kapnopoulos, C.; Mekeridis, E.D.; Tzounis, L.; Polyzoidis, C.; Zachariadis, A.; Tsimikli, S.; Gravalidis, C.; Laskarakis, A.; Vouroutzis, N.; Logothetidis, S. Fully gravure printed organic photovoltaic modules: A straightforward process with a high potential for large scale production. Sol. Energy Mater. Sol. Cells 2016, 144, 724–731. [Google Scholar] [CrossRef]
- Kallitsis, J.K.; Kourkouli, S.; Andreopoulou, A.K. Organic Polymeric Semiconductor Materials for Applications in Photovoltaic Cells Part 1: Properties and Materials, Handbook on Flexible Organic Electronics: Materials, Manufacturing and Applications; Logothetidis, S., Ed.; Woodhead Publishing Limited: Cambridge, UK, 2015; pp. 85–114. [Google Scholar]
- Scharber, M.C.; Mühlbacher, D.; Koppe, M.; Denk, P.; Waldauf, C.; Heeger, A.J.; Brabec, C.J. design rules for donors in bulk-heterojunction solar cells—Towards 10% energy-conversion efficiency. Adv. Mater. 2006, 18, 789–794. [Google Scholar] [CrossRef]
- Liu, X.; Chen, H.; Tan, S. Overview of high-efficiency organic photovoltaic materials and devices. Renew. Sustain. Energy Rev. 2015, 52, 1527–1538. [Google Scholar] [CrossRef]
- Gao, M.; Subbiah, J.; Geraghty, P.B.; Chen, M.; Purushothaman, B.; Chen, X.; Qin, T.; Vak, D.; Scholes, F.H.; Watkins, S.E.; et al. Development of a high-performance donor–acceptor conjugated polymer: Synergy in materials and device optimization. Chem. Mater. 2016, 28, 3481–3487. [Google Scholar] [CrossRef]
- Chen, J.; Cao, Y. Development of novel conjugated donor polymers for high efficiency bulkheterojunction photovoltaic devices. Acc. Chem. Res. 2009, 42, 1709–1718. [Google Scholar] [CrossRef] [PubMed]
- He, Y.; Li, Y. Fullerene derivative acceptors for high performance polymer solar cells. Phys. Chem. Chem. Phys. 2011, 13, 1970–1983. [Google Scholar] [CrossRef] [PubMed]
- He, Y.; Chen, H.-Y.; Hou, J.; Li, Y. Indene-C60 bisadduct: A new acceptor for high-performance polymer solar cells. J. Am. Chem. Soc. 2010, 132, 1377–1382. [Google Scholar] [CrossRef] [PubMed]
- He, Y.; Zhao, G.; Peng, B.; Li, Y. High-yield synthesis and electrochemical and photovoltaic properties of indene-C70 bisadduct. Adv. Funct. Mater. 2010, 20, 3383–3389. [Google Scholar] [CrossRef]
- Facchetti, A. Polymer donor–polymer acceptor (all-polymer) solar cells. Mater. Today 2013, 16, 123–132. [Google Scholar] [CrossRef]
- Bin, H.; Zhang, Z.-G.; Gao, L.; Chen, S.; Zhong, L.; Xue, L.; Yang, C.; Li, Y. Non-fullerene polymer solar cells based on alkylthio and fluorine substituted 2D-conjugated polymers reach 9.5% efficiency. J. Am. Chem. Soc. 2016, 138, 4657–4664. [Google Scholar] [CrossRef] [PubMed]
- Kim, Y.; Lim, E. Development of polymer acceptors for organic photovoltaic cells. Polymers 2014, 6, 382–407. [Google Scholar] [CrossRef]
- Brady, M.A.; Su, G.M.; Chabinyc, M.L. Recent progress in the morphology of bulk heterojunction photovoltaics. Soft Matter 2011, 7, 11065–11077. [Google Scholar] [CrossRef]
- Ruderer, M.A.; Muller-Buschbaum, P. Morphology of polymer-based bulk heterojunction films for organic photovoltaics. Soft Matter 2011, 7, 5482–5493. [Google Scholar] [CrossRef]
- Zhao, Y.; Xie, Z.; Qu, Y.; Geng, Y.; Wang, L. Solvent-vapor treatment induced performance enhancement of poly(3-hexylthiophene): Methanofullerene bulk-heterojunction photovoltaic cells. Appl. Phys. Lett. 2007, 90, 043504. [Google Scholar] [CrossRef]
- Moulé, A.J.; Meerholz, K. Controlling morphology in polymer–fullerene mixtures. Adv. Mater. 2008, 20, 240–245. [Google Scholar] [CrossRef]
- Yao, Y.; Hou, J.; Xu, Z.; Li, G.; Yang, Y. Effects of solvent mixtures on the nanoscale phase separation in polymer solar cells. Adv. Funct. Mater. 2008, 18, 1783–1789. [Google Scholar] [CrossRef]
- Angiolini, L.; Cocchi, V.; Lanzi, M.; Salatelli, E.; Tonelli, D.; Vlamidis, Y. Novel regioregular polythiophenes containing side-chain porphyrin groups for polymeric photovoltaic cells. Mat. Chem. Phys. 2014, 146, 464–471. [Google Scholar] [CrossRef]
- Bertho, S.; Campo, B.; Piersimoni, F.; Spoltore, D.; D’Haen, J.; Lutsen, L.; Maes, W.; Vanderzande, D.; Manca, J. Improved thermal stability of bulk heterojunctions based on side-chain functionalized poly(3-alkylthiophene) copolymers and PCBM. Sol. Energy Mater. Sol. Cells 2013, 110, 69–76. [Google Scholar] [CrossRef]
- Jaymand, M.; Hatamzadeh, M.; Omidi, Y. Modification of polythiophene by the incorporation of processable polymeric chains: Recent progress in synthesis and applications. Prog. Polym. Sci. 2015, 47, 26–69. [Google Scholar] [CrossRef]
- Lobez, J.M.; Andrew, T.L.; Bulović, V.; Swager, T.M. Improving the performance of P3HT–fullerene solar cells with side chain functionalized poly(thiophene) additives: A new paradigm for polymer design. ACS Nano 2012, 6, 3044–3056. [Google Scholar] [CrossRef] [PubMed]
- Wang, H.-J.; Chen, C.-P.; Jeng, R.-J. Polythiophenes comprising conjugated pendants for polymer solar cells: A review. Materials 2014, 7, 2411–2439. [Google Scholar] [CrossRef]
- Valderrama-García, B.X.; Rodríguez-Alba, E.; Morales-Espinoza, E.G.; Moineau Chane-Ching, K.; Rivera, E. Synthesis and characterization of novel polythiophenes containing pyrene chromophores: Thermal, optical and electrochemical properties. Molecules 2016, 21, 172. [Google Scholar] [CrossRef] [PubMed]
- Liu, J.; Zhu, X.; Li, J.; Shen, J.; Tu, G. Enhancing the thermal stability of the bulk-heterojunction photovoltaics based on P3HT/PCBM by incorporating diblock amphipathic P3HT–PEO at D/A interface. RSC Adv. 2016, 6, 61934–61943. [Google Scholar] [CrossRef]
- Rumer, J.W.; McCulloch, I. Organic photovoltaics: Crosslinking for optimal morphology and stability. Mater. Today 2015, 18, 425–435. [Google Scholar] [CrossRef]
- Wantz, G.; Derue, L.; Dautel, O.; Rivaton, A.; Hudhomme, P.; Dagron-Lartigau, C. Stabilizing polymer-based bulk heterojunction solar cells via crosslinking. Polym. Int. 2014, 63, 1346–1361. [Google Scholar] [CrossRef]
- Li, F.; Yager, K.G.; Dawson, N.M.; Jiang, Y.-B.; Malloy, K.J.; Qin, Y. Nano-structuring polymer/fullerene composites through the interplay of conjugated polymer crystallization, block copolymer self-assembly and complementary hydrogen bonding interactions. Polym. Chem. 2015, 6, 721–731. [Google Scholar] [CrossRef]
- Huang, P.-T.; Chen, Y.-H.; Lin, B.-Y.; Chuang, W.-P. Homogenized poly(3-hexylthiophene)/methanofullerene film by addition of end-functionalized compatibilizer and its application to polymer solar cells. Int. J. Photoenergy 2015, 2015, 762532. [Google Scholar] [CrossRef]
- Kim, H.J.; Han, A.-R.; Cho, C.-H.; Kang, H.; Cho, H.-H.; Lee, M.Y.; Fréchet, J.M.J.; Oh, J.H.; Kim, B.J. Solvent-resistant organic transistors and thermally stable organic photovoltaics based on cross-linkable conjugated polymers. Chem. Mater. 2012, 24, 215–221. [Google Scholar] [CrossRef]
- Yuan, K.; Chen, L.; Chen, Y. Nanostructuring compatibilizers of block copolymers for organic photovoltaics. Polym. Int. 2014, 63, 593–606. [Google Scholar] [CrossRef]
- Kallitsis, J.K.; Anastasopoulos, C.; Andreopoulou, A.K. Functional semiconductors targeting copolymer architectures and hybrid nanostructures. MRS Commun. 2015, 5, 365–382. [Google Scholar] [CrossRef]
- Li, M.; Xu, P.; Yang, J.; Yang, S. Donor-p-acceptor double-cable polythiophenes bearing fullerene pendant with tunable donor/acceptor ratio: A facile postpolymerization. J. Mater. Chem. 2010, 20, 3953–3960. [Google Scholar] [CrossRef]
- Gholamkhass, B.; Peckham, T.J.; Holdcroft, S. Poly(3-hexylthiophene) bearing pendant fullerenes: Aggregation vs. self-organization. Polym. Chem. 2010, 1, 708–719. [Google Scholar] [CrossRef]
- Lanzi, M.; Salatelli, E.; Benelli, T.; Caretti, D.; Giorgini, L.; Di-Nicola, F.P. A regioregular polythiophene–fullerene for polymeric solar cells. J. Appl. Polym. Sci. 2015, 132. [Google Scholar] [CrossRef]
- Hufnagel, M.; Fischer, M.; Thurn-Albrecht, T.; Thelakkat, M. Influence of fullerene grafting density on structure, dynamics, and charge transport in P3HT-b-PPC61BM block copolymers. Macromolecules 2016, 49, 1637–1647. [Google Scholar] [CrossRef]
- Raïssi, M.; Erothu, H.; Ibarboure, E.; Cramail, H.; Vignau, L.; Cloutet, E.; Hiorns, R.C. Fullerene-capped copolymers for bulk heterojunctions: Device stability and efficiency improvements. J. Mater. Chem. A 2015, 3, 18207–18221. [Google Scholar] [CrossRef]
- Kourkouli, S.N.; Siokou, A.; Stefopoulos, A.A.; Ravani, F.; Plocke, T.; Müller, M.; Maultzsch, J.; Thomsen,, C.; Papagelis, K.; Kallitsis, J.K. Electronic properties of semiconducting polymer-functionalized single wall carbon nanotubes. Macromolecules 2013, 46, 2590–2598. [Google Scholar] [CrossRef]
- Stefopoulos, A.A.; Chochos, C.L.; Prato, M.; Pistolis, G.; Papagelis, K.; Petraki, F.; Kennou, S.; Kallitsis, J.K. Novel hybrid materials consisting of regioregular poly(3-octylthiophene)s covalently attached to single wall carbon nanotubes. Chem. Eur. J. 2008, 14, 8715–8724. [Google Scholar] [CrossRef] [PubMed]
- Stefopoulos, A.A.; Kourkouli, S.N.; Economopoulos, S.; Ravani, F.; Andreopoulou, A.; Papagelis, K.; Siokou, A.; Kallitsis, J.K. Polymer and hybrid electron accepting materials based on a semiconducting perfluorophenylquinoline. Macromolecules 2010, 43, 4827–4828. [Google Scholar] [CrossRef]
- Kakogianni, S.; Kourkouli, S.N.; Andreopoulou, A.K.; Kallitsis, J.K. A versatile approach for creating hybrid semiconducting polymer–fullerene architectures for organic electronics. J. Mater. Chem. A 2014, 2, 8110–8117. [Google Scholar] [CrossRef]
- Sygellou, L.; Kakogianni, S.; Andreopoulou, A.K.; Theodosiou, K.; Leftheriotis, G.; Kallitsis, J.K.; Siokou, A. Evaluation of the electronic properties of perfluorophenyl functionalized quinolines and their hybrids with carbon nanostructures. Phys. Chem. Chem. Phys. 2016, 18, 4154–4165. [Google Scholar] [CrossRef] [PubMed]
- Raja, R.; Liu, W.-S.; Hsiow, C.-Y.; Rwei, S.-P.; Chiu, W.-Y.; Wang, L. Terthiophene-C60 dyad as donor/acceptor compatibilizer for developing highly stable P3HT/PCBM bulk heterojunction solar cells. J. Mater. Chem. A 2015, 3, 14401–14408. [Google Scholar] [CrossRef]
- Perrin, L.; Legros, M.; Mercier, R. Design of a series of polythiophenes containing C60 groups: Synthesis and optical and electrochemical properties. Macromolecules 2015, 48, 323–336. [Google Scholar] [CrossRef]
- Yameen, B.; Puerckhauer, T.; Ludwig, J.; Ahmed, I.; Altintas, O.; Fruk, L.; Colsmann, A.; Barner-Kowollik, C. π-conjugated polymer–fullerene covalent hybrids via ambient conditions diels–alder ligation. Small 2014, 10, 3091–3098. [Google Scholar] [CrossRef] [PubMed]
- Kakogianni, S.; Lebedeva, M.A.; Paloumbis, G.; Andreopoulou, A.K.; Porfyrakis, K.; Kallitsis, J.K. Semiconducting end-perfluorinated P3HT–fullerenic hybrids as potential additives for P3HT/IC70BA blends. RSC Adv. 2016, 6, 98306–98316. [Google Scholar] [CrossRef]
- Loewe, R.S.; Ewbank, P.C.; Liu, J.; Zhai, L.; McCullough, R.D. Regioregular, head-to-tail coupled poly(3-alkylthiophenes) made easy by the GRIM method: Investigation of the reaction and the origin of regioselectivity. Macromolecules 2001, 34, 4324–4333. [Google Scholar] [CrossRef]
- Chochos, C.L.; Economopoulos, S.P.; Deimede, V.; Gregoriou, V.G.; Lloyd, M.T.; Malliaras, G.G.; Kallitsis, J.K. Synthesis of a soluble n-type cyano substituted polythiophene derivative: A potential electron acceptor in polymeric solar cells. J. Phys. Chem. C 2007, 111, 10732–10740. [Google Scholar] [CrossRef]
- Economopoulos, S.P.; Chochos, C.L.; Gregoriou, V.G.; Kallitsis, J.K.; Barrau, S.; Hadziioannou, G. Novel brush-type copolymers bearing thiophene backbone and side chain quinoline blocks. Synthesis and their use as a compatibilizer in thiophene-quinoline polymer blends. Macromolecules 2007, 40, 921–927. [Google Scholar] [CrossRef]
- Li, Y.N.; Vamvounis, G.; Holdcroft, S. Facile functionalization of poly(3-alkylthiophene)s via electrophilic substitution. Macromolecules 2001, 34, 141–143. [Google Scholar] [CrossRef]
- Li, Y.N.; Vamvounis, G.; Yu, J.; Holdcroft, S. A novel and versatile methodology for functionalization of conjugated polymers. Transformation of poly(3-bromo-4-hexylthiophene) via palladium-catalyzed coupling chemistry. Macromolecules 2001, 34, 3130–3132. [Google Scholar] [CrossRef]














| Azide Functionalization Degree of (P3HT-5F-N3)ax-(P3HT-5F)x-(P3HT)1−x | Side azide |
|---|---|
| 1 | [P3HT0.6-(P3HT-5F-N3)0.4] |
| 0.5 | [P3HT0.6-(P3HT-5F)0.2-(P3HT-5F-N3)0.2] |
| 0.25 | [P3HT0.6-(P3HT-5F)0.3-(P3HT-5F-N3)0.1] |
© 2016 by the authors. Licensee MDPI, Basel, Switzerland. This article is an open access article distributed under the terms and conditions of the Creative Commons Attribution (CC-BY) license ( http://creativecommons.org/licenses/by/4.0/).
Share and Cite
Kakogianni, S.; Andreopoulou, A.K.; Kallitsis, J.K. Synthesis of Polythiophene–Fullerene Hybrid Additives as Potential Compatibilizers of BHJ Active Layers. Polymers 2016, 8, 440. https://doi.org/10.3390/polym8120440
Kakogianni S, Andreopoulou AK, Kallitsis JK. Synthesis of Polythiophene–Fullerene Hybrid Additives as Potential Compatibilizers of BHJ Active Layers. Polymers. 2016; 8(12):440. https://doi.org/10.3390/polym8120440
Chicago/Turabian StyleKakogianni, Sofia, Aikaterini K. Andreopoulou, and Joannis K. Kallitsis. 2016. "Synthesis of Polythiophene–Fullerene Hybrid Additives as Potential Compatibilizers of BHJ Active Layers" Polymers 8, no. 12: 440. https://doi.org/10.3390/polym8120440
APA StyleKakogianni, S., Andreopoulou, A. K., & Kallitsis, J. K. (2016). Synthesis of Polythiophene–Fullerene Hybrid Additives as Potential Compatibilizers of BHJ Active Layers. Polymers, 8(12), 440. https://doi.org/10.3390/polym8120440

