Machine Learning-Driven Prediction of Manufacturing Parameters and Analysis of Mechanical Properties of PC-ABS Specimens Produced by the Fused Deposition Modeling Additive Manufacturing Method
Abstract
1. Introduction
2. Materials and Methods
2.1. Material
2.1.1. FDM 3D Printer
2.1.2. Mechanical Tests
2.1.3. Datasets
2.1.4. Machine Learning Algorithms
2.1.5. Performance Evaluation Metrics
2.1.6. Statistical Analysis (ANOVA)
2.2. Method
2.2.1. Design and Fabrication of Test Specimens
2.2.2. Mechanical Experiments
2.2.3. Machine Learning Models
2.2.4. Statistical Analysis Methods
3. Results
3.1. Tensile Test
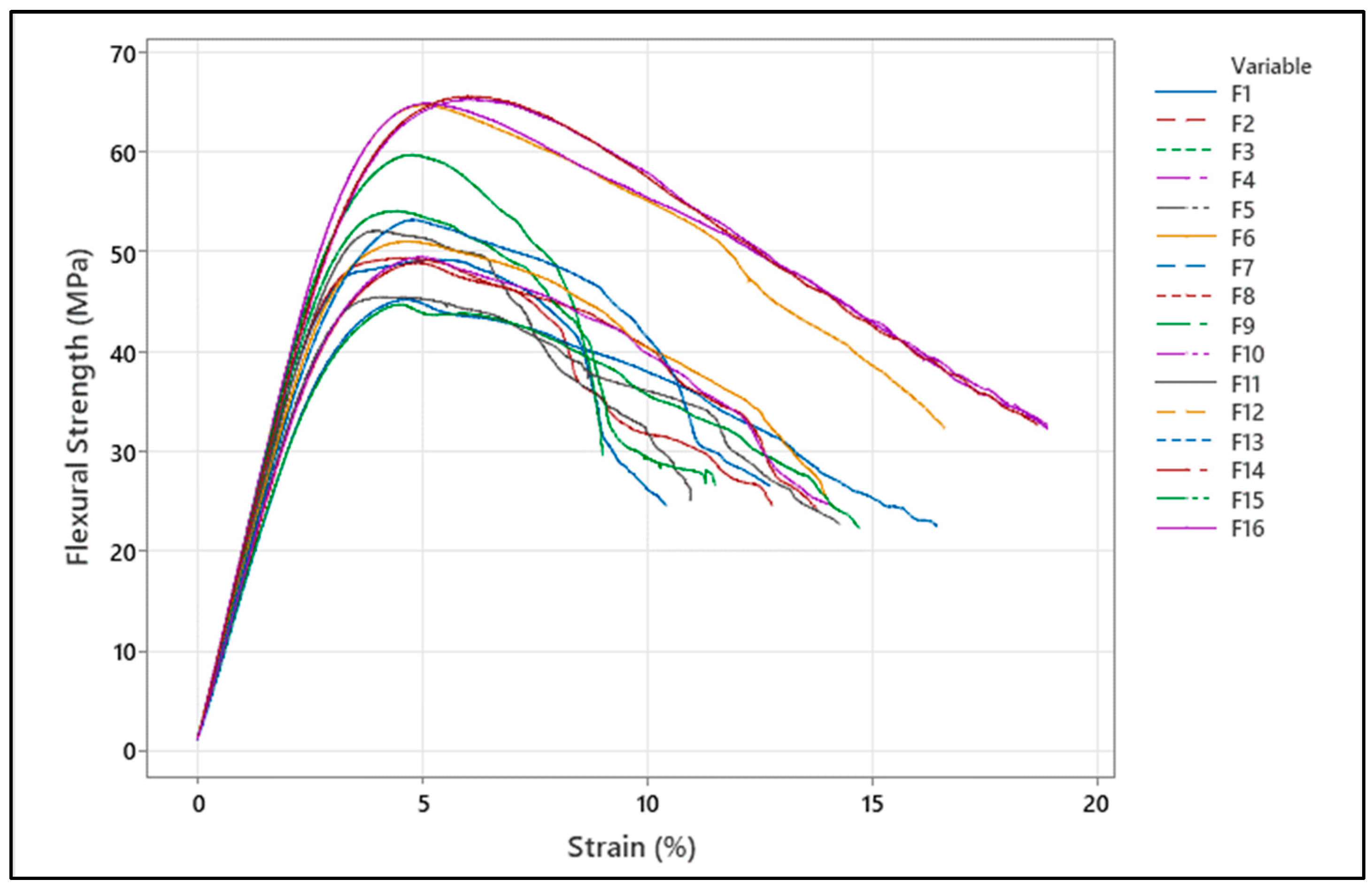
3.2. Bending Test
3.3. Impact Test
3.4. Analysis of Variance (ANOVA)
3.4.1. Tensile Test ANOVA Analysis
3.4.2. Bending Test ANOVA Analysis
3.4.3. Impact Test ANOVA Analysis
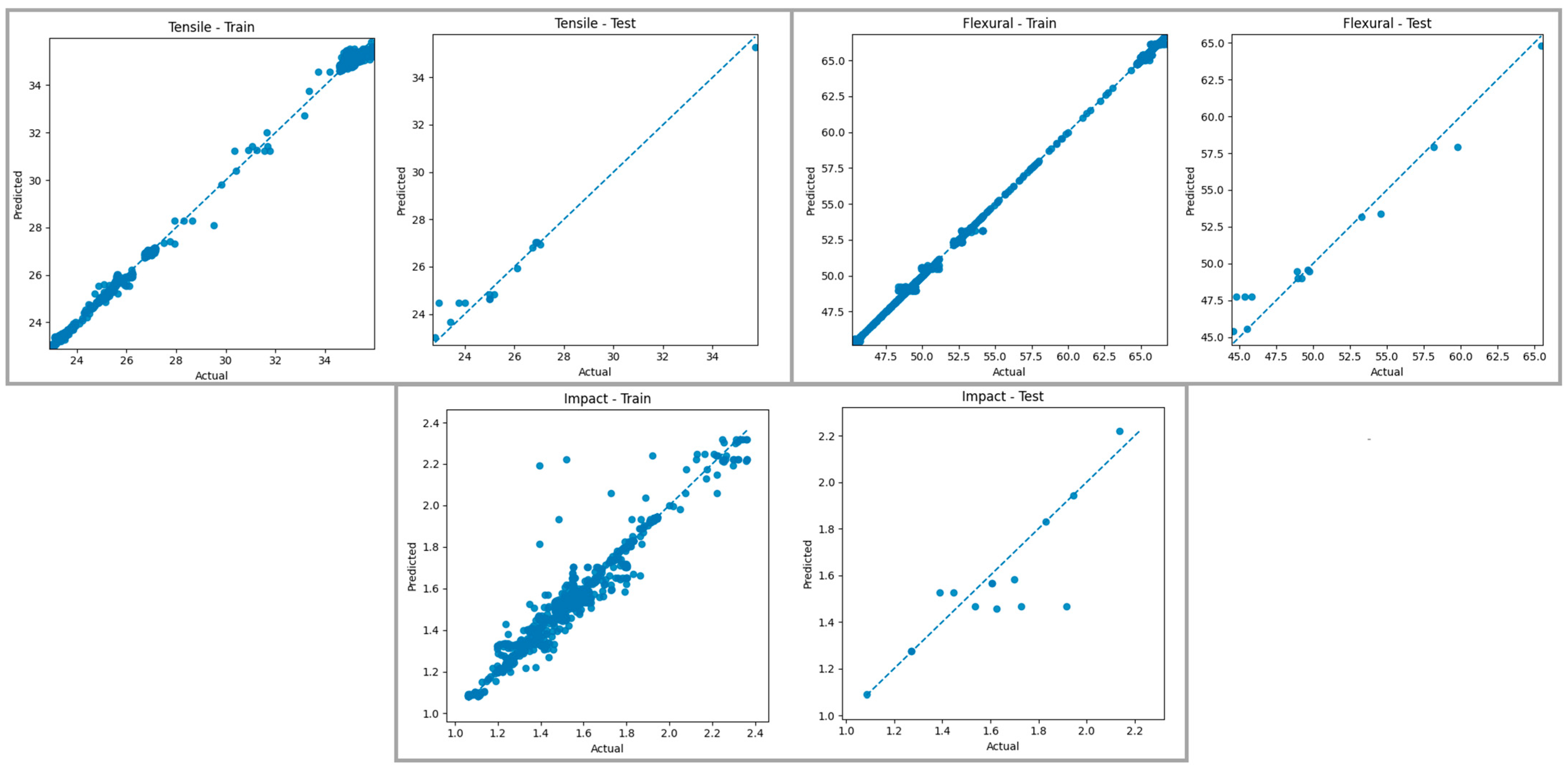
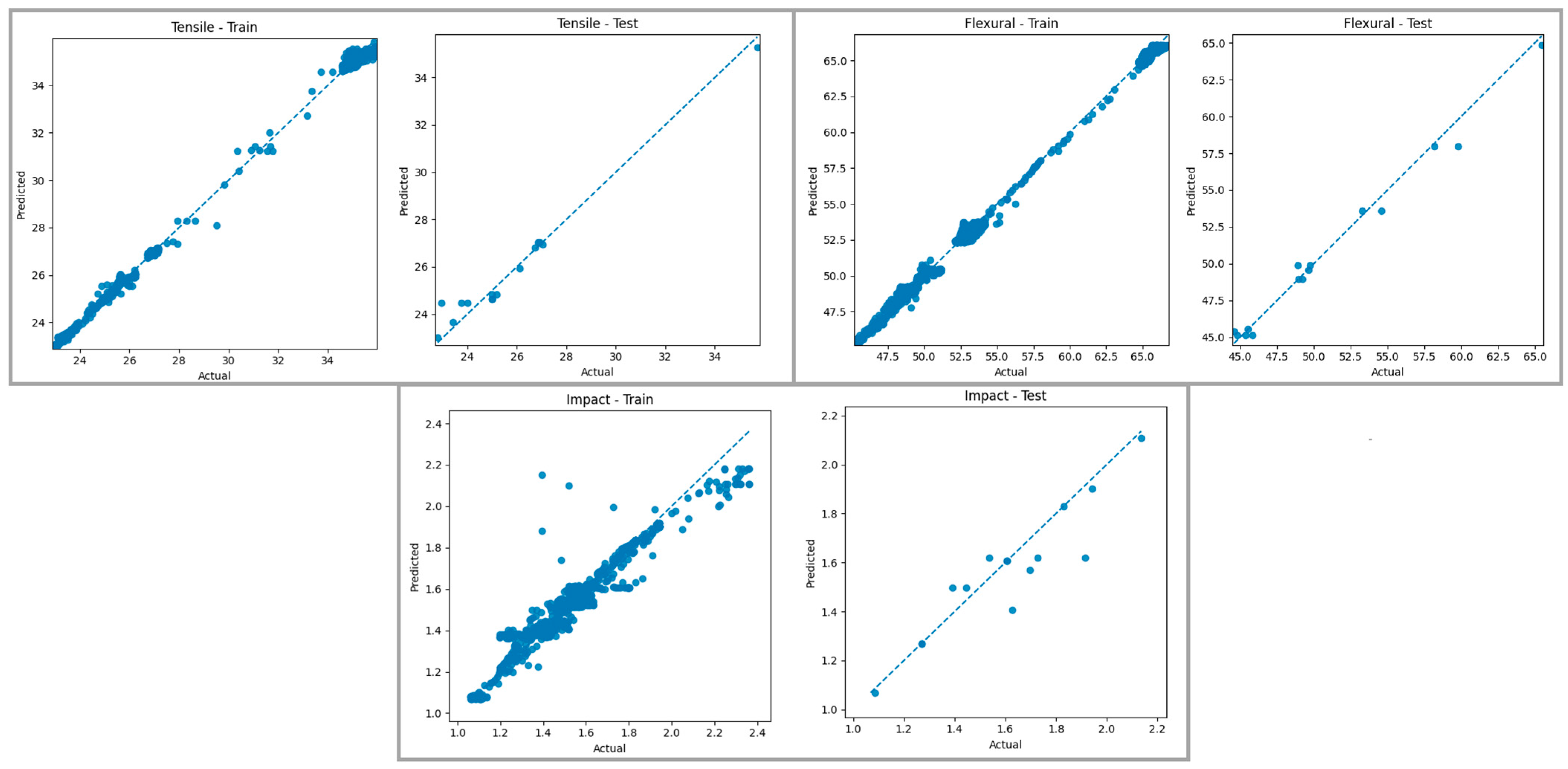
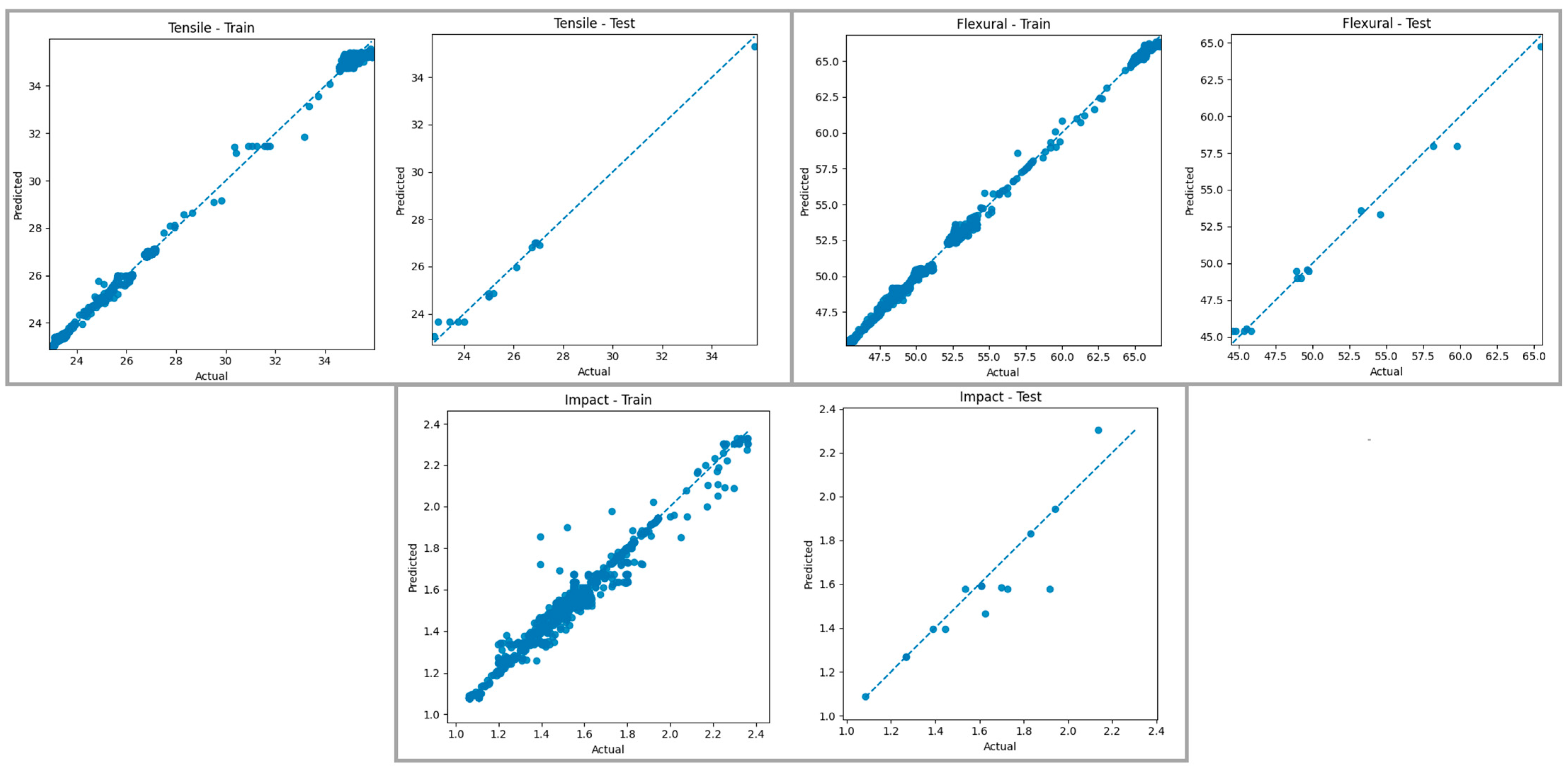
3.5. Findings of Machine Learning Algorithms
4. Discussion
5. Conclusions
- According to experimental results, the highest tensile strength was obtained as approximately 40.71 MPa, flexural strength as 66.13 MPa, and maximum impact energy as 2.47 J. The results showed that production parameters are decisive in mechanical performance. Increasing the infill density significantly increased the load-carrying capacity of the samples and resulted in higher strength values.
- According to the ANOVA analysis, the most influential parameter on tensile strength was the infill density with a 53.66% additive ratio. Similarly, in flexural strength, the infill density was determined to be the most dominant parameter with a 43.19% additive ratio. In impact energy, the interaction between compression speed and infill density emerged as the most significant factor with 73.06%. These results show that in the FDM production process, parameters affect mechanical performance not individually, but interactively.
- Machine learning analyses have shown that the relationship between production parameters and mechanical properties can be modeled with high accuracy. In tensile strength prediction, the Decision Tree and Random Forest algorithms showed the highest performance (R2 ≈ 0.99). For flexural strength, the best result was obtained with the Random Forest model (R2 ≈ 0.98), while Decision Tree offered similar accuracy. For impact energy, the highest explanatory power was achieved with the MLP model (R2 ≈ 0.83). While Random Forest performed well with balanced and low error rates, the KNN model exhibited lower accuracy compared to other methods.
Author Contributions
Funding
Institutional Review Board Statement
Data Availability Statement
Acknowledgments
Conflicts of Interest
References
- Guo, N.; Leu, M.C. Additive manufacturing: Technology, applications and research needs. Front. Mech. Eng. 2013, 8, 215–243. [Google Scholar] [CrossRef]
- Yi, H.; Jia, L.; Ding, J.; Li, H. Achieving material diversity in wire arc additive manufacturing: Leaping from alloys to composites via wire innovation. Int. J. Mach. Tools Manuf. 2024, 194, 104103. [Google Scholar] [CrossRef]
- Srivastava, M.; Jayakumar, V.; Udayan, Y.; M, S.; M, M.S.; Gautam, P.; Nag, A. Additive manufacturing of titanium alloy for aerospace applications: Insights into the process, microstructure, and mechanical properties. Appl. Mater. Today 2024, 41, 102481. [Google Scholar] [CrossRef]
- Peron, M.; Saporiti, N.; Shoeibi, M.; Holmström, J.; Salmi, M. Additive manufacturing in the medical sector: From an empirical investigation of challenges and opportunities toward the design of an ecosystem model. Int. J. Oper. Prod. Manag. 2025, 45, 387–415. [Google Scholar] [CrossRef]
- Parvanda, R.; Kala, P. Trends, opportunities, and challenges in the integration of additive manufacturing with Industry 4.0. Prog. Addit. Manuf. 2023, 8, 587–614. [Google Scholar] [CrossRef]
- Leal, R.; Barreiros, F.M.; Alves, L.; Romeiro, F.; Vasco, J.C.; Santos, M.; Marto, C. Additive manufacturing tooling for the automotive industry. Int. J. Adv. Manuf. Technol. 2017, 92, 1671–1676. [Google Scholar] [CrossRef]
- Alqahtani, M.S.; Al-Tamimi, A.; Almeida, H.; Cooper, G.; Bartolo, P. A review on the use of additive manufacturing to produce lower limb orthoses. Prog. Addit. Manuf. 2020, 5, 85–94. [Google Scholar] [CrossRef]
- Ng, W.L.; Goh, G.L.; Goh, G.D.; Ten, J.S.J.; Yeong, W.Y. Progress and opportunities for machine learning in materials and processes of additive manufacturing. Adv. Mater. 2024, 36, 2310006. [Google Scholar] [CrossRef]
- Zhou, L.; Miller, J.; Vezza, J.; Mayster, M.; Raffay, M.; Justice, Q.; Bernat, J. Additive manufacturing: A comprehensive review. Sensors 2024, 24, 2668. [Google Scholar] [CrossRef]
- Bol, R.J.; Šavija, B. Micromechanical models for FDM 3D-printed polymers: A review. Polymers 2023, 15, 4497. [Google Scholar] [CrossRef]
- Tunçel, O. Optimization of Charpy impact strength of tough PLA samples produced by 3D printing using the Taguchi method. Polymers 2024, 16, 459. [Google Scholar] [CrossRef]
- Banić, D.; Itrić Ivanda, K.; Vukoje, M.; Cigula, T. Impact fracture resistance of fused deposition models from polylactic acid with respect to infill density and sample thickness. Appl. Sci. 2024, 14, 2035. [Google Scholar] [CrossRef]
- Acierno, D.; Patti, A. Fused deposition modelling (FDM) of thermoplastic-based filaments: Process and rheological properties—An overview. Materials 2023, 16, 7664. [Google Scholar] [CrossRef]
- Shanmugam, V.; Pavan, M.V.; Babu, K.; Karnan, B. Fused deposition modeling based polymeric materials and their performance: A review. Polym. Compos. 2021, 42, 5656–5677. [Google Scholar] [CrossRef]
- De Assis, C.L.F.; Rampazo, C.A. Assessment of the mechanical properties of PC/ABS blends for functional prototyping by FFF 3D printing. Rapid Prototyp. J. 2024, 30, 214–227. [Google Scholar] [CrossRef]
- Yang, J.; Li, B.; Liu, J.; Tu, Z.; Wu, X. Application of additive manufacturing in the automobile industry: A mini review. Processes 2024, 12, 1101. [Google Scholar] [CrossRef]
- Alarifi, I.M. Revolutionising fabrication advances and applications of 3D printing with composite materials: A review. Virtual Phys. Prototyp. 2024, 19, e2390504. [Google Scholar] [CrossRef]
- Dev, S.; Srivastava, R. Experimental investigation and optimization of FDM process parameters for material and mechanical strength. Mater. Today Proc. 2020, 26, 1995–1999. [Google Scholar] [CrossRef]
- Rivera-López, F.; Pavón, M.M.L.; Correa, E.C.; Molina, M.H. Effects of nozzle temperature on mechanical properties of polylactic acid specimens fabricated by fused deposition modeling. Polymers 2024, 16, 1867. [Google Scholar] [CrossRef]
- Shi, S.; Deng, S.; Jiang, Y.; Chen, J.; Sporrer, L.; Cheng, F.; Guo, Q.; Jing, J.; Chen, Y. Hierarchical manufacturing of anisotropic and high-efficiency electromagnetic interference shielding modules for smart electronics. Nano-Micro Lett. 2026, 18, 181. [Google Scholar] [CrossRef]
- Garg, A.; Bhattacharya, A. An insight to the failure of FDM parts under tensile loading: Finite element analysis and experimental study. Int. J. Mech. Sci. 2017, 120, 225–236. [Google Scholar] [CrossRef]
- Domingo-Espin, M.; Puigoriol-Forcada, J.M.; Garcia-Granada, A.A.; Llumà, J.; Borros, S.; Reyes, G. Mechanical property characterization and simulation of fused deposition modeling polycarbonate parts. Mater. Des. 2015, 83, 670–677. [Google Scholar] [CrossRef]
- Changhui, L.; Hao, L.; Chunlong, Y.; Xueru, L.; Xiaojia, L.; Jianzhi, S.; Qirong, T.; Min, Y. Balanced optimization of dimensional accuracy and printing efficiency in FDM based on data-driven modeling. Addit. Manuf. Front. 2025, 4, 200220. [Google Scholar] [CrossRef]
- Panico, A.; Corvi, A.; Collini, L.; Sciancalepore, C. Multi objective optimization of FDM 3D printing parameters set via design of experiments and machine learning algorithms. Sci. Rep. 2025, 15, 16753. [Google Scholar] [CrossRef]
- Cojocaru, V.; Frunzaverde, D.; Miclosina, C.O.; Marginean, G. The influence of the process parameters on the mechanical properties of PLA specimens produced by fused filament fabrication—A review. Polymers 2022, 14, 886. [Google Scholar] [CrossRef]
- Kumar, P.; Gupta, P.; Singh, I. Performance analysis of acrylonitrile–butadiene–styrene–polycarbonate polymer blend filament for fused deposition modeling printing using hybrid artificial intelligence algorithms. J. Mater. Eng. Perform. 2023, 32, 1924–1937. [Google Scholar] [CrossRef]
- Kharate, N.; Anerao, P.; Kulkarni, A.; Abdullah, M. Explainable AI techniques for comprehensive analysis of the relationship between process parameters and material properties in FDM-based 3D-printed biocomposites. J. Manuf. Mater. Process. 2024, 8, 171. [Google Scholar] [CrossRef]
- Ongsulee, P. Artificial intelligence, machine learning and deep learning. In Proceedings of the 2017 15th International Conference on ICT and Knowledge Engineering (ICT&KE), Bangkok, Thailand, 22–24 November 2017; pp. 1–6. [Google Scholar]
- El Idrissi, M.A.E.Y.; Laaouina, L.; Jeghal, A.; Tairi, H.; Zaki, M. Energy consumption prediction for fused deposition modelling 3D printing using machine learning. Appl. Syst. Innov. 2022, 5, 86. [Google Scholar] [CrossRef]
- Wu, D.; Wei, Y.; Terpenny, J. Predictive modelling of surface roughness in fused deposition modelling using data fusion. Int. J. Prod. Res. 2019, 57, 3992–4006. [Google Scholar] [CrossRef]
- Sharma, R.; Paul, A.R.; Mukherjee, M.; Vadali, S.R.K.; Singh, R.K.; Sharma, A.K. Forecasting of process parameters using machine learning techniques for wire arc additive manufacturing process. Mater. Today Proc. 2023, 80, 248–253. [Google Scholar] [CrossRef]
- Yaseer, A.; Chen, H. Machine learning based layer roughness modeling in robotic additive manufacturing. J. Manuf. Process. 2021, 70, 543–552. [Google Scholar] [CrossRef]
- Wang, J.; Xu, J.; Lu, Y.; Xie, T.; Peng, J.; Chen, J.; Xu, Y. Prediction of deposition layer morphology dimensions based on PSO-SVR for laser–arc hybrid additive manufacturing. Coatings 2023, 13, 1066. [Google Scholar] [CrossRef]
- Hasan, A.; Ferdouse, S.; Shiddiki, M.T.A.; Hu, Z. Analysis and optimization of FDM printing process of PETG parts using statistical and machine learning methods. Prog. Addit. Manuf. 2026, 11, 2877–2895. [Google Scholar] [CrossRef]
- Dhar, A.R.; Gupta, D.; Roy, S.S.; Lohar, A.K. Forward and backward modeling of direct metal deposition using metaheuristic algorithms tuned artificial neural network and extreme gradient boost. Prog. Addit. Manuf. 2022, 7, 627–641. [Google Scholar] [CrossRef]
- Özkül, M.; Kuncan, F.; Ulkir, O. Predicting mechanical properties of FDM-produced parts using machine learning approaches. J. Appl. Polym. Sci. 2025, 142, e56899. [Google Scholar] [CrossRef]
- Ramiah, K.; Pandian, P. Effect of process parameters on the strength of ABS based FDM prototypes: Novel machine learning based hybrid optimization technique. Mater. Res. Express 2023, 10, 025305. [Google Scholar] [CrossRef]
- Veeman, D.; Sudharsan, S.; Surendhar, G.J.; Shanmugam, R.; Guo, L. Machine learning model for predicting the hardness of additively manufactured acrylonitrile butadiene styrene. Mater. Today Commun. 2023, 35, 106147. [Google Scholar] [CrossRef]
- Kumar, M.; Kumar, R.; Kumar, R. Material extrusion-based additive manufacturing of sandwiched acrylonitrile butadiene styrene/glass fibers composites: Machine learning approach to model tensile stress. Polym. Compos. 2024, 45, 15100–15112. [Google Scholar] [CrossRef]
- Ulkir, O.; Ersoy, S. Hybrid experimental–machine learning study on the mechanical behavior of polymer composite structures fabricated via FDM. Polymers 2025, 17, 2012. [Google Scholar] [CrossRef]
- Chacón, J.M.; Caminero, M.A.; García-Plaza, E.; Núnez, P.J. Additive manufacturing of PLA structures using fused deposition modelling: Effect of process parameters on mechanical properties and their optimal selection. Mater. Des. 2017, 124, 143–157. [Google Scholar] [CrossRef]
- Loh, W.Y. Classification and regression trees. Wiley Interdiscip. Rev. Data Min. Knowl. Discov. 2011, 1, 14–23. [Google Scholar] [CrossRef]
- Karaogul, E.; Sarıışık, G.; Öğütlü, A.S. Bio-hybrid films from chirich tuber starch: A sustainable approach with machine learning-driven optimization. Sustainability 2025, 17, 1935. [Google Scholar] [CrossRef]
- Chung, H.T.; Tsai, C.C.; Jen, K.K.; Huang, Y.S.; Ferng, Y.C.; Lo, C.Y.; Chen, T.-W.; Chang, K.-H.; Yeh, A.C. Optimization of process parameters of selective laser melted nickel-based superalloy for densification by random forest regression algorithm and response surface methodology. Results Eng. 2024, 22, 102182. [Google Scholar] [CrossRef]
- Arunadevi, M.; Avinash, L.; Tiwari, A.; Prasad, C.D.; Kumar, R.S.; Raghavendra, L.; Veeresha, G.; Aswar, S.J. Predicting material properties in AlSi12Mg alloy additive manufacturing using KNN and ANN machine learning techniques. Int. J. Interact. Des. Manuf. 2025, 19, 7165–7175. [Google Scholar] [CrossRef]
- Orrù, P.F.; Zoccheddu, A.; Sassu, L.; Mattia, C.; Cozza, R.; Arena, S. Machine learning approach using MLP and SVM algorithms for the fault prediction of a centrifugal pump in the oil and gas industry. Sustainability 2020, 12, 4776. [Google Scholar] [CrossRef]
- Salami, B.A.; Iqbal, M.; Abdulraheem, A.; Jalal, F.E.; Alimi, W.; Jamal, A.; Tafsirojjaman, T.; Liu, Y.; Bardhan, A. Estimating compressive strength of lightweight foamed concrete using neural, genetic and ensemble machine learning approaches. Cem. Concr. Compos. 2022, 133, 104721. [Google Scholar] [CrossRef]
- Kiaghadi, M.; Sheikholeslami, M.; Alinia, A.M.; Boora, F.M. Predicting the performance of a photovoltaic unit via machine learning methods in the existence of finned thermal storage unit. J. Energy Storage 2024, 90, 111766. [Google Scholar] [CrossRef]
- Chicco, D.; Warrens, M.J.; Jurman, G. The coefficient of determination R-squared is more informative than SMAPE, MAE, MAPE, MSE and RMSE in regression analysis evaluation. PeerJ Comput. Sci. 2021, 7, e623. [Google Scholar] [CrossRef]
- Mishra, A.; Kumar, R.; Sharma, A.K.; Gupta, N.K.; Somani, N. A statistical analysis on effect of process parameters on tensile, flexural, and hardness characteristics of wood–polylactic acid composites using FDM 3D printing. Int. J. Interact. Des. Manuf. 2024, 18, 1303–1315. [Google Scholar] [CrossRef]
- Amithesh, S.R.; Shanmugasundaram, B.; Kamath, S.; Adhithyan, S.S.; Murugan, R. Analysis of dimensional quality in FDM printed Nylon 6 parts. Prog. Addit. Manuf. 2024, 9, 1225–1238. [Google Scholar] [CrossRef]
- ASTM D638-14; Standard Test Method for Tensile Properties of Plastics. ASTM International: West Conshohocken, PA, USA, 2014.
- ASTM D790-17; Standard Test Methods for Flexural Properties of Unreinforced and Reinforced Plastics and Electrical Insulating Materials. ASTM International: West Conshohocken, PA, USA, 2017.
- ASTM D6110-18; Standard Test Method for Determining the Charpy Impact Resistance of Notched Specimens of Plastics. ASTM International: West Conshohocken, PA, USA, 2018.
- Nguyen, H.; Ma, Q.P.; Prochazka, J.; Studeny, Z.; Dobrocky, D.; Mesicek, J.; Petru, J. Development of in-house PC/ABS blends and optimization of printing parameters for material extrusion method. Mater. Des. 2025, 260, 115290. [Google Scholar] [CrossRef]
- Nikzad, M.H.; Heidari-Rarani, M.; Rasti, R.; Sareh, P. Machine learning-driven prediction of tensile strength in 3D-printed PLA parts. Expert Syst. Appl. 2025, 264, 125836. [Google Scholar] [CrossRef]
- Mahapatra, I.; Chikkanna, N.; Shanmugam, K.; Rengaswamy, J.; Ramachandran, V. Evaluation of tensile properties of 3D-printed lattice composites: Experimental and machine learning-based predictive modelling. Compos. Part A Appl. Sci. Manuf. 2025, 193, 108823. [Google Scholar] [CrossRef]
- Boppana, V.C.; Ali, F. Improvement of tensile strength of fused deposition modelling (FDM) part using artificial neural network and genetic algorithm techniques. Int. J. Ind. Eng. Oper. Manag. 2024, 6, 117–142. [Google Scholar] [CrossRef]
- Jatti, V.S.; Jatti, A.V.; Mishra, A.; Dhabale, R.D.; Sefene, E.M. Optimizing flexural strength of fused deposition modelling using supervised machine learning algorithms. Int. J. Inf. Technol. 2023, 15, 2759–2766. [Google Scholar] [CrossRef]
- Ranjan, N.; Kumar, R.; Kumar, R.; Kaur, R.; Singh, S. Investigation of fused filament fabrication-based manufacturing of ABS-Al composite structures: Prediction by machine learning and optimization. J. Mater. Eng. Perform. 2023, 32, 4555–4574. [Google Scholar] [CrossRef]
- Pawar, S.; Dolas, D. Effect of process parameters on flexural strength and surface roughness in fused deposition modeling of PC-ABS material. J. Micromanufacturing 2022, 5, 164–170. [Google Scholar] [CrossRef]
- Sheoran, A.J.; Kumar, H. Fused Deposition modeling process parameters optimization and effect on mechanical properties and part quality: Review and reflection on present research. Mater. Today Proc. 2020, 21, 1659–1672. [Google Scholar] [CrossRef]
- Jatti, V.S.; Sapre, M.S.; Jatti, A.V.; Khedkar, N.K.; Jatti, V.S. Mechanical properties of 3D-printed components using fused deposition modeling: Optimization using the desirability approach and machine learning regressor. Appl. Syst. Innov. 2022, 5, 112. [Google Scholar] [CrossRef]
- Liu, B.; Mazumder, R. Randomization can reduce both bias and variance: A case study in random forests. J. Mach. Learn. Res. 2025, 26, 1–49. [Google Scholar]
- Chandra A, N.; Bogu, V.P.; Jatavallabhula, J.K.; Gundeti, S.R.; Pappula, B.; Makgato, S. Machine Learning-Driven prognosis of tensile strength in FDM printed PLA at various raster angles. Int. J. Adv. Manuf. Tech. 2026, 142, 1445–1465. [Google Scholar] [CrossRef]

















| Mechanical Properties | ML Technique | Ref. |
|---|---|---|
| Tensile, flexural and impact | Decision Tree | [37] |
| Tensile, flexural and surface roughness | Multiple ML models | [36] |
| Hardness | LR, DT, RF, AdaBoost | [38] |
| Tensile | Random Forest | [24] |
| Tensile | Decision Tree | [39] |
| Variable | Type | Number of Samples | Mean | Standard Deviation | Minimum | Maximum |
|---|---|---|---|---|---|---|
| Printing Speed | input | 1000 | 65.00 | 11.29 | 50.00 | 80.00 |
| Infill Density | input | 1000 | 70.00 | 22.59 | 40.00 | 100.00 |
| Raster Angle | input | 1000 | 37.50 | 7.57 | 30.00 | 45.00 |
| Flexural Strength | output | 1000 | 13.36 | 1.85 | 11.04 | 16.52 |
| Tensile Strength | output | 1000 | 29.51 | 4.90 | 24.31 | 38.26 |
| Impact Energy | output | 1000 | 2.00 | 1.00 | 0.05 | 4.39 |
| Model Name | Description | Theoretical Basis | Mathematical Formulation | Sources |
|---|---|---|---|---|
| Decision Trees | Decision Trees are a classification and regression method that allows the prediction of a target variable by hierarchically branching a dataset according to specific decision rules. This method offers significant advantages in terms of both explainability and interpretability due to its structurally intuitive nature and the visual interpretation of decision processes. | It is a hierarchical tree structure that performs prediction by dividing data according to its characteristics. | S: The current dataset (i.e., the samples contained within the node). K: The total number of classes. pk: The probability of instances in set S belonging to the kth class. k: The class index (). A: The attribute used for splitting the dataset. Values(A): The set of all possible values that attribute A can assume. |Sv|/|S|: The weighting factor. H(Sv): The entropy of the subset. | [38] (Veeman et al., 2023) [42] (Loh, 2011) |
| Random Forest | This is an ensemble learning method that enhances regression performance and strengthens model generalizability by combining the outputs of multiple Decision Trees. This approach is a machine learning algorithm that provides more effective solutions for missing data and data imbalances, as well as reducing overfitting. | It is an ensemble-based learning method for multiple Decision Trees, relying on random feature selection and bootstrap sampling. | hb(x): The prediction produced by the bth Decision Tree. : The final prediction of the Random Forest model. | [43,44] |
| K-Nearest Neighbors | The K-Nearest Neighbors algorithm is a supervised learning method that makes predictions based on similarity measures according to the positions of samples in a feature space. | Euclidean is a method that performs estimation using similarity measurement based on distance. | Nk(x): The set of the Nearest Neighbors to the point x. yi: The actual values of these neighboring samples. (x): The predicted value for x. | [45] |
| Multilayer Perceptron Regressor | The Multilayer Perceptron Regressor model is a feedforward artificial neural network architecture consisting of multiple hidden layers for learning nonlinear relationships between input and output variables. | It is a feedforward network structure that learns nonlinear relationships through hidden layers and activation functions. | wji: The weights connecting the input layer to the hidden layer. bj: The bias term of the hidden neuron. : Activation function. H: The number of neurons in the hidden layer. vj: The weights connecting the hidden layer to the output layer. bout: The output layer bias term. The output value predicted by the model. | [46] |
| Control Factors | Units | Levels | |||
|---|---|---|---|---|---|
| Printing Speed | mm/sn | 50 | 60 | 70 | 80 |
| Infill Density | % | 40 | 60 | 80 | 100 |
| Raster Angle | ° | 30 | 45 | ||
| Model | Hyperparameter | Range/Values | Description |
|---|---|---|---|
| Decision Tree | criterion | {‘squared_error’, ‘friedman_mse’} | Criterion for split. |
| splitter | {‘best’, ‘random’} | Branching strategy. | |
| max_depth | [3, 50] | Maximum depth. | |
| min_samples_split | [2, 30] | Minimum number of instances required for branching. | |
| min_samples_leaf | [1, 30] | Number of mini-candle samples at a leaf node. | |
| Random Forest | n_estimators | [100, 1000] | Number of trees. |
| max_depth | [3, 50] or None | Maximum tree depth. | |
| min_samples_split | [2, 20] | Minimum number of instances required for branching. | |
| min_samples_leaf | [1, 20] | Number of mini-candle samples at a leaf node. | |
| max_features | {‘sqrt’, None} | Feature subset selection method. | |
| k-Nearest Neighbors | n_neighbors | [1, 50] | Number of neighbors (odd numbers are given priority). |
| weights | {‘uniform’, ‘distance’} | Weighting method. | |
| p | {1, 2, 3, 4, 5} | p = 1: Manhattan, p = 2: Oklid, p > 2: Minkowski distance. | |
| algorithm | {‘auto’, ‘ball_tree’, ‘kd_tree’, ‘brute’} | k-Nearest Neighbor search algorithm. | |
| leaf_size | [15, 100] | Leaf size for tree-based search. | |
| Multilayer Perceptron | hidden_layer_sizes | (64)–(256.128) | Hidden layer structure (1–2 layer combinations were sought with Optuna). |
| activation | {‘relu’, ‘tanh’, ‘logistic’} | Type of activation function. | |
| alpha | [10−5, 10−2] | L2 regulation coefficient to prevent overfitting. | |
| learning_rate_init | [10−4, 10−2] | Initial learning rate. | |
| solver | {‘adam’, ‘lbfgs’} | Optimization algorithm. | |
| early_stopping | True | Early stop has been activated. |
| Samples | Printing Speed | Infill Density | Raster Angel | Tensile Strength (MPa) | Strain (%) |
|---|---|---|---|---|---|
| T1 | 50 | 40 | 30 | 23.12 | 7.74 |
| T2 | 50 | 60 | 30 | 23.44 | 7.96 |
| T3 | 50 | 80 | 45 | 23.50 | 10.60 |
| T4 | 50 | 100 | 45 | 25.17 | 12.40 |
| T5 | 60 | 40 | 30 | 24.98 | 8.13 |
| T6 | 60 | 60 | 30 | 24.85 | 8.75 |
| T7 | 60 | 80 | 45 | 26.86 | 10.08 |
| T8 | 60 | 100 | 45 | 27.03 | 11.50 |
| T9 | 70 | 40 | 45 | 26.90 | 9.70 |
| T10 | 70 | 60 | 45 | 34.76 | 12.89 |
| T11 | 70 | 80 | 30 | 34.99 | 6.01 |
| T12 | 70 | 100 | 30 | 35.88 | 8.67 |
| T13 | 80 | 40 | 45 | 23.43 | 7.65 |
| T14 | 80 | 60 | 45 | 23.65 | 7.70 |
| T15 | 80 | 80 | 30 | 23.70 | 6.07 |
| T16 | 80 | 100 | 45 | 35.32 | 8.33 |
| Samples | Printing Speed | Infill Density | Raster Ange | Flexural Strength (MPa) | Strain (%) |
|---|---|---|---|---|---|
| F1 | 50 | 40 | 30 | 49.06 | 10.50 |
| F2 | 50 | 60 | 30 | 49.38 | 11.40 |
| F3 | 50 | 80 | 45 | 58.63 | 9.79 |
| F4 | 50 | 100 | 45 | 65.41 | 18.78 |
| F5 | 60 | 40 | 30 | 45.13 | 13.36 |
| F6 | 60 | 60 | 30 | 50.46 | 14.75 |
| F7 | 60 | 80 | 45 | 53.75 | 13.04 |
| F8 | 60 | 100 | 45 | 66.13 | 18.74 |
| F9 | 70 | 40 | 45 | 45.33 | 16.02 |
| F10 | 70 | 60 | 45 | 49.61 | 14.44 |
| F11 | 70 | 80 | 30 | 52.36 | 10.76 |
| F12 | 70 | 100 | 30 | 64.99 | 17.89 |
| F13 | 80 | 40 | 45 | 45.51 | 16.37 |
| F14 | 80 | 60 | 45 | 49.05 | 13.92 |
| F15 | 80 | 80 | 30 | 53.37 | 11.00 |
| F16 | 80 | 100 | 30 | 65.22 | 18.61 |
| Samples | Printing Speed | Infill Density | Raster Angle | Impact Energy (J) |
|---|---|---|---|---|
| I1 | 50 | 40 | 30 | 1.517 |
| I2 | 50 | 60 | 30 | 1.320 |
| I3 | 50 | 80 | 45 | 1.349 |
| I4 | 50 | 100 | 45 | 1.494 |
| I5 | 60 | 40 | 30 | 1.698 |
| I6 | 60 | 60 | 30 | 2.467 |
| I7 | 60 | 80 | 45 | 2.249 |
| I8 | 60 | 100 | 45 | 1.551 |
| I9 | 70 | 40 | 45 | 1.537 |
| I10 | 70 | 60 | 45 | 1.626 |
| I11 | 70 | 80 | 30 | 1.308 |
| I12 | 70 | 100 | 30 | 1.830 |
| I13 | 80 | 40 | 45 | 1.085 |
| I14 | 80 | 60 | 45 | 1.042 |
| I15 | 80 | 80 | 30 | 1.328 |
| I16 | 80 | 100 | 30 | 1.529 |
| Source | DF | Contribution Percentage | Adj SS | Adj MS | F-Value | p-Value |
|---|---|---|---|---|---|---|
| Printing Speed | 3 | 1.67 | 21.24 | 7.08 | 100.68 | 0 |
| Infill Density | 3 | 53.66 | 680.48 | 226.82 | 3224.37 | 0 |
| Raster Angle | 1 | 0.17 | 2.20 | 2.20 | 31.37 | 0 |
| Printing Speed * Infill Density | 9 | 22.21 | 281.64 | 31.29 | 444.84 | 0 |
| Printing Speed * Raster Angle | 3 | 9.19 | 116.61 | 38.87 | 552.58 | 0 |
| Infill Density * Raster Angle | 3 | 12.72 | 161.40 | 53.80 | 764.78 | 0 |
| Printing Speed * Infill Density * Raster Angle | 9 | 0.17 | 2.20 | 0.24 | 3.48 | 0.01 |
| Error | 32 | 0.17 | 2.25 | 0.07 | 0 | 0 |
| Model Summary | R2 | %99.77 | R2 (adj) | %99.67 | R2 (pred) | %99.49 |
| Source | DF | Seq SS | Contribution Percentage | Adj SS | Adj MS | F-Value | p-Value |
|---|---|---|---|---|---|---|---|
| Printing Speed | 3 | 31.36 | 0.88 | 0.89 | 10.45 | 37.79 | 0 |
| Infill Density | 3 | 1523.46 | 43.19 | 43.30 | 507.82 | 1835.48 | 0 |
| Raster Angle | 1 | 2.17 | 0.06 | 0.06 | 2.17 | 7.87 | 0.008 |
| Printing Speed * Infill Density | 9 | 648.97 | 18.40 | 18.44 | 72.10 | 260.63 | 0 |
| Printing Speed * Raster Angle | 3 | 559.83 | 15.87 | 15.91 | 186.61 | 674.48 | 0 |
| Infill Density * Raster Angle | 3 | 668.56 | 18.95 | 19.00 | 222.85 | 805.48 | 0 |
| Printing Speed * Infill Density * Raster Angle | 9 | 83.78 | 2.37 | 2.38 | 9.30 | 33.64 | 0 |
| Error | 32 | 8.85 | 0.25 | 0 | 0.27 | 0 | 0 |
| Model Summary | R2 | %99.66 | R2 (adj) | %99.51 | R2 (pred) | %99.25 |
| Source | DF | Seq SS | Contribution Percentage | Adj SS | Adj MS | F-Value | p-Value |
|---|---|---|---|---|---|---|---|
| Printing Speed | 3 | 0.64 | 16.10 | 17.05 | 0.21 | 30.87 | 0 |
| Infill Density | 3 | 0.15 | 3.94 | 4.18 | 0.05 | 7.56 | 0.0006 |
| Raster Angle | 1 | 0.05 | 1.31 | 1.39 | 0.05 | 7.57 | 0.0097 |
| Printing Speed * Infill Density | 9 | 2.91 | 73.06 | 77.37 | 0.32 | 46.68 | 0 |
| Error | 32 | 0.22 | 5.56 | 0.0069 | |||
| Model Summary | R2 | %94.50 | R2 (adj) | %91.92 | R2 (pred) | %87.62 |
| Model | Hyperparameters | Range | Tensile | Flexural | Impact |
|---|---|---|---|---|---|
| Decision Tree | max_depth | [3, 50] | 8 | 11 | 11 |
| min_samples_split | [2, 30] | 12 | 8 | 17 | |
| min_samples_leaf | [1, 30] | 10 | 1 | 4 | |
| Model Summary | R2 0.99, MAE 0.22, MSE 0.07, RMSE 0.27, MAPE 0.89 | R2 0.98, MAE 0.45, MSE 0.43, RMSE 0.65, MAPE 0.86 | R2 0.81, MAE 0.07, MSE 0.01, RMSE 0.11, MAPE 4.05 | ||
| Random Forest | n_estimators | [100, 1000] | 500 | 760 | 130 |
| max_depth | [3, 50] or None | 5 | 12 | None | |
| min_samples_split | [2, 20] | 2 | 2 | 8 | |
| min_samples_leaf | [1, 20] | 2 | 2 | 2 | |
| Model Summary | R2 0.99, MAE 0.24, MSE 0.08, RMSE 0.29, MAPE 0.95 | R2 0.98, MAE 0.48, MSE 0.47, RMSE 0.68, MAPE 0.92 | R2 0.81, MAE 0.07, MSE 0.01, RMSE 0.11, MAPE 3.98 | ||
| K-Nearest Neighbors | n_neighbors | [1, 50] | 3 | 3 | 9 |
| weights | {‘uniform’, ‘distance’} | uniform | distance | uniform | |
| p | {1, 2, 3, 4, 5} | 2 | 2 | 1 | |
| algorithm | {‘auto’, ‘ball_tree’, ‘kd_tree’, ‘brute’} | auto | auto | auto | |
| Model Summary | R2 0.97, MAE 0.36, MSE 0.25, RMSE 0.50, MAPE 9.92 | R2 0.95, MAE 0.89, MSE 1.66, RMSE 1.28, MAPE 11.57 | R2 0.69, MAE 0.09, MSE 0.03, RMSE 0.19, MAPE 5.72 | ||
| Multilayer Perceptron | hidden_layer_sizes | (64)–(256.128) | (80, 80) | (180, 30) | (80, 50) |
| activation | {‘relu’, ‘tanh’, ‘logistic’} | relu | relu | relu | |
| alpha | [10−5, 10−2] | 0.0000215450 | 0.00009759155 | 0.0000202741 | |
| learning_rate_init | [10−4, 10−2] | 0.0088280186 | 0.00056257801 | 0.0026010161 | |
| solver | {‘adam’, ‘lbfgs’} | adam | adam | adam | |
| Model Summary | R2 0.98, MAE 0.23, MSE 0.09, RMSE 0.30, MAPE 0.92 | R2 0.98, MAE 0.50, MSE 0.47, RMSE 0.69, MAPE 0.96 | R2 0.83, MAE 0.07, MSE 0.01, RMSE 0.11, MAPE 4.32 | ||
| Author (s) | Material/Process Working Area | Algorithms Used | Target Property (ies) Predicted Property (ies) | Results | Year |
|---|---|---|---|---|---|
| Nguyen et al. [55] | PC/ABS blends—Material Extrusion (MEX)/Fused Filament Fabrication | Taguchi Design of Experiments (L9), ANOVA | Tensile strength, Flexural strength, Hardness, Impact energy (Charpy) | Layer thickness was the most influential parameter on ultimate tensile and flexural strength. The 70–30 PC/ABS blend showed the highest impact energy (~1.90 J). | 2025 |
| Nikzad et al. [56] | PLA Fused Deposition Modeling | AdaBoost, BR CatBoost, DT EN, GPR, GBM GLM, KR, KNN Lasso, LGBM LR, PR, RF, Ridge, SGD SVR, XGBoost | Tensile strength | The CatBoost algorithm gave the best result with R2 = 94.46% accuracy. | 2025 |
| Mahapatra et al. [57] | KF-ABS Fused Deposition Modeling | RF, SVM, LR, NN, SGD | Tensile strength | Random Forest gave the best result (R2 = 0.925). | 2025 |
| Boppana and Ali [58] | Polycarbonate (PC)—Fused Deposition Modeling (FDM) | I-optimal DoE, Regression, ANN, Genetic Algorithm (GA), ANOVA | Tensile strength | Regression model R2 = 0.9652; ANN–GA model used for optimization. | 2024 |
| Ramiah & Pandian [37] | ABS—Fused Deposition Modeling (FDM) | Taguchi (L18), Decision Tree (ML), FAHP, COPRAS, ANOVA | Tensile strength, Flexural strength, Impact energy | Raster angle, raster width and layer thickness were the most influential parameters. Optimal results: Tensile ≈ 28.42 MPa, Flexural ≈ 99.74 MPa, Impact ≈ 0.282 J. | 2023 |
| Jatti et al. [59] | PLA—Fused Deposition Modeling (FDM) | XGBoost, Random Forest, Decision Tree, SGD | Flexural strength | XGBoost showed the best performance (R2 = 0.77); SGD achieved the highest F1-score (0.86). | 2023 |
| Ranjan et al. [60] | ABS Fused Filament Fabrication | RF, LR, SVM and AdaBoost Regression | Flexural Strength | Random Forest gave the best result (R2 = 0.999), and ANOVA showed infill pattern as the most significant factor. | 2023 |
| Kumar et al. [26] | ABS–PC polymer blend filament—FDM | GA-ANN, GA-RSM, RSM, ANOVA | Tensile strength | GA-ANN achieved high prediction accuracy (R2 ≈ 0.996). Maximum tensile strength ≈ 50.11 MPa. | 2023 |
| Pawar and Dolas [61] | PC-ABS—Fused Deposition Modeling (FDM) | Response Surface Methodology (RSM), Regression analysis, ANOVA | Flexural strength | Regression model achieved high accuracy (R2 = 96.70%). Optimal parameters (0.14 mm layer thickness, 100% infill, horizontal orientation) yielded flexural strength ≈ 48.29 MPa and surface roughness ≈ 3.58 µm. | 2022 |
| In the study | PC-ABS—Fused Deposition Modeling (FDM) | Decision Tree, Random Forest, K-Nearest Neighbors, MLP Regressor, ANOVA | Tensile strength Flexural strength Impact energy | Hyper parameters tuning Random Forest gave the best prediction tensile strength (R2 ≈ 0.99), Flexural strength (R2 ≈ 0.98), and Impact energy (R2 ≈ 0.81), and ANOVA identified infill density as the most significant factor. | 2026 |
Disclaimer/Publisher’s Note: The statements, opinions and data contained in all publications are solely those of the individual author(s) and contributor(s) and not of MDPI and/or the editor(s). MDPI and/or the editor(s) disclaim responsibility for any injury to people or property resulting from any ideas, methods, instructions or products referred to in the content. |
© 2026 by the authors. Licensee MDPI, Basel, Switzerland. This article is an open access article distributed under the terms and conditions of the Creative Commons Attribution (CC BY) license.
Share and Cite
Pazarcıkcı, A.; Özsoy, K.; Aksoy, B. Machine Learning-Driven Prediction of Manufacturing Parameters and Analysis of Mechanical Properties of PC-ABS Specimens Produced by the Fused Deposition Modeling Additive Manufacturing Method. Polymers 2026, 18, 886. https://doi.org/10.3390/polym18070886
Pazarcıkcı A, Özsoy K, Aksoy B. Machine Learning-Driven Prediction of Manufacturing Parameters and Analysis of Mechanical Properties of PC-ABS Specimens Produced by the Fused Deposition Modeling Additive Manufacturing Method. Polymers. 2026; 18(7):886. https://doi.org/10.3390/polym18070886
Chicago/Turabian StylePazarcıkcı, Arda, Koray Özsoy, and Bekir Aksoy. 2026. "Machine Learning-Driven Prediction of Manufacturing Parameters and Analysis of Mechanical Properties of PC-ABS Specimens Produced by the Fused Deposition Modeling Additive Manufacturing Method" Polymers 18, no. 7: 886. https://doi.org/10.3390/polym18070886
APA StylePazarcıkcı, A., Özsoy, K., & Aksoy, B. (2026). Machine Learning-Driven Prediction of Manufacturing Parameters and Analysis of Mechanical Properties of PC-ABS Specimens Produced by the Fused Deposition Modeling Additive Manufacturing Method. Polymers, 18(7), 886. https://doi.org/10.3390/polym18070886

