Mechanical Parameters and Microstructural Evolution of FDM-Printed PLA and PLA+CF Under Variable Infill Architecture and Lubricant Exposure
Abstract
1. Introduction
2. Materials and Methods
2.1. Material Specification for 3D Printing
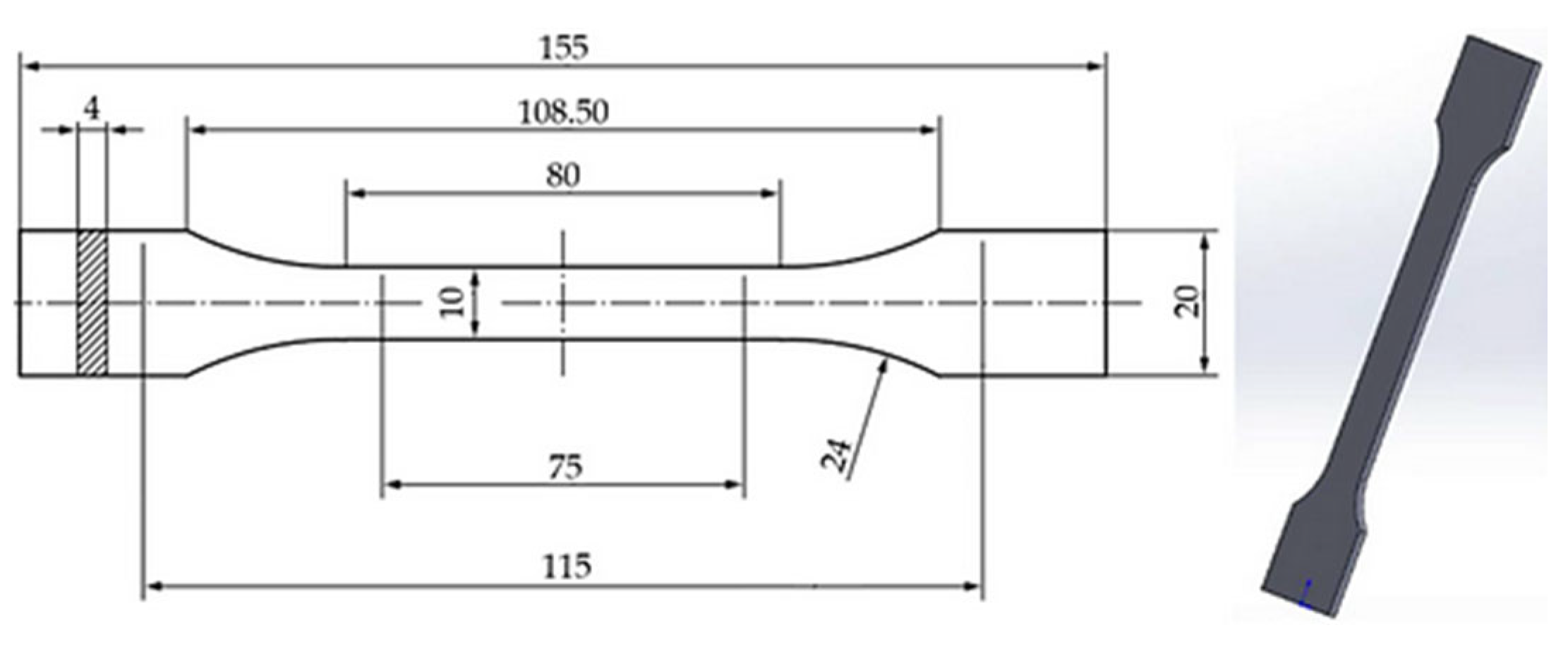
2.2. Preparation and Printing of Tensile Test Specimens
2.3. Tensile Testing for 3D-Printed Specimens
2.4. Macroscopic and Microstructural Examination
3. Results
3.1. Mechanical Parameters and Microstructural Response of 3D-Printed PLA Specimens
3.1.1. Influence of Infill Structure Geometry on the Mechanical and Microstructural Behavior of 3D-Printed PLA Specimens
3.1.2. Influence of Infill Density on the Mechanical and Microstructural Behavior of 3D-Printed PLA Specimens
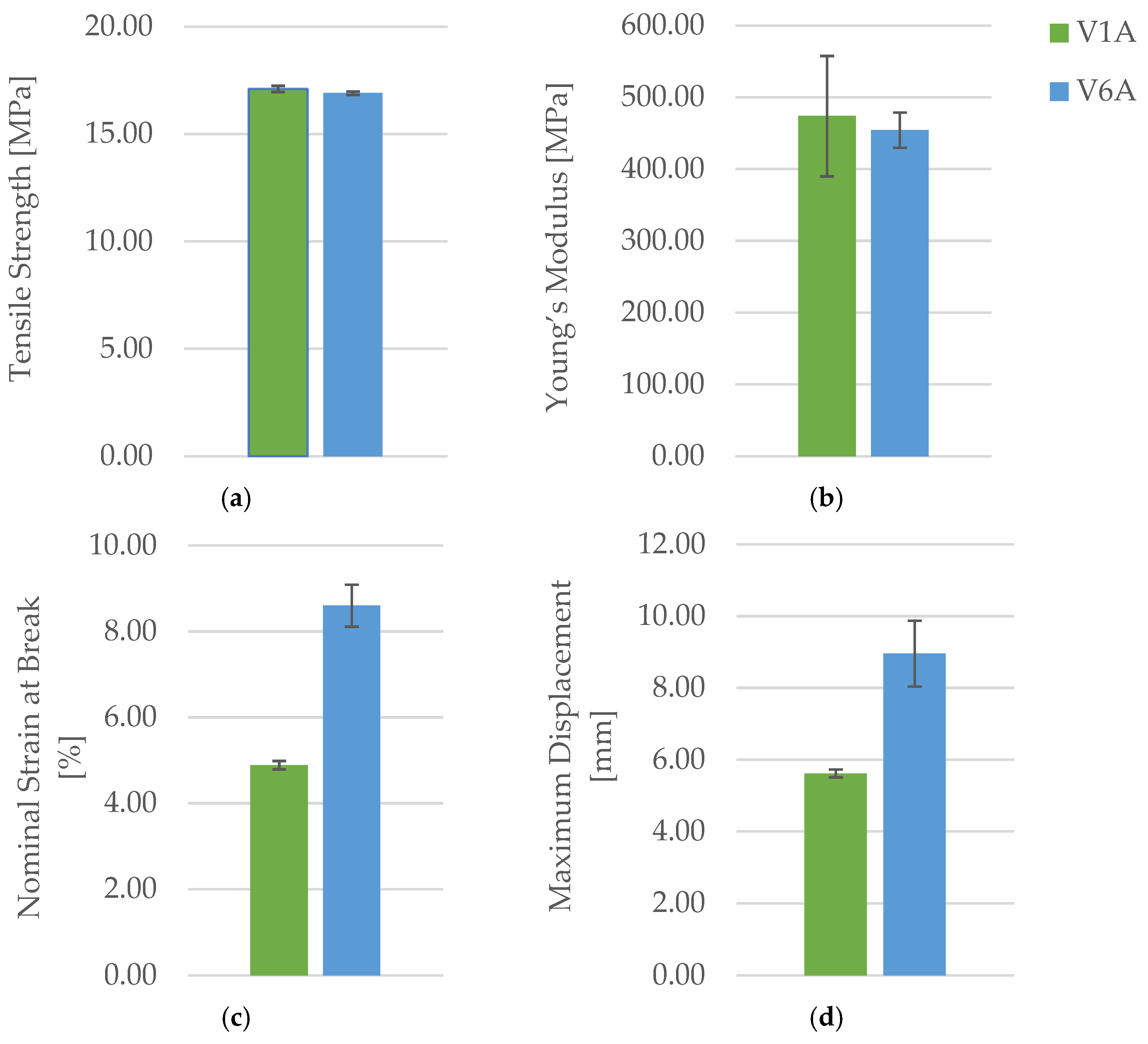
3.1.3. Influence of Exposure to Mineral Engine Oil on the Mechanical and Microstructural Behavior of 3D-Printed PLA Specimens
3.2. Mechanical Parameters and Microstructural Response of 3D-Printed PLA+CF Specimens
3.2.1. Influence of Infill Geometry on the Mechanical and Microstructural Behavior of 3D-Printed PLA+CF Specimens
3.2.2. Influence of Infill Density on the Mechanical and Microstructural Behavior of 3D-Printed PLA+CF Specimens
3.2.3. Influence of Exposure to Mineral Engine Oil on the Mechanical and Microstructural Behavior of 3D-Printed PLA+CF Specimens
4. Discussion
5. Conclusions
Author Contributions
Funding
Institutional Review Board Statement
Data Availability Statement
Acknowledgments
Conflicts of Interest
References
- Hegab, H.A. Design for additive manufacturing of composite materials and potential alloys: A review. Manuf. Rev. 2016, 3, 11. [Google Scholar] [CrossRef]
- Saleh Alghamdi, S.; John, S.; Roy Choudhury, N.; Dutta, N.K. Additive Manufacturing of Polymer Materials: Progress, Promise and Challenges. Polymers 2021, 13, 753. [Google Scholar] [CrossRef]
- Islam, M.A.; Mobarak, M.H.; Rimon, M.I.H.; Al Mahmud, M.Z.; Ghosh, J.; Ahmed, M.M.S.; Hosain, N. Additive manufacturing in polymer research: Advances, synthesis and applications. Polym. Test. 2024, 132, 108364. [Google Scholar] [CrossRef]
- Wickramasinghe, S.; Do, T.; Tran, P. FDM-Based 3D Printing of Polymer and Associated Composite: A Review on Mechanical Properties, Defects and Treatments. Polymers 2020, 12, 1529. [Google Scholar] [CrossRef]
- Jayawardane, H.; Davies, I.J.; Gamage, J.R.; John, M.; Biswas, W.K. Sustainability perspectives—A review of additive and subtractive manufacturing. Sustain. Manuf. Serv. Econ. 2023, 2, 100015. [Google Scholar] [CrossRef]
- Attaran, P.T. The rise of 3-D printing: The advantages of additive manufacturing over traditional manufacturing. Bus. Horiz. 2017, 60, 677–688. [Google Scholar] [CrossRef]
- Zhou, L.; Miller, J.; Vezza, J.; Mayster, M.; Raffay, M.; Justice, Q.; Al Tamimi, Z.; Hansotte, G.; Sunkara, L.D.; Bernat, J. Additive Manufacturing: A Comprehensive Review. Sensors 2024, 24, 2668. [Google Scholar] [CrossRef]
- Ben Said, L.; Ayadi, B.; Alharbi, S.; Dammak, F. Recent Advances in Additive Manufacturing: A Review of Current Developments and Future Directions. Machines 2025, 13, 813. [Google Scholar] [CrossRef]
- ASTM Committee F42 on Additive Manufacturing Technologies. Standard Terminology for Additive Manufacturing—General Principles—Terminology; ASTM International: West Conshohocken, PA, USA, 2021. [Google Scholar]
- ISO/ASTM 52900:2021(E); Additive Manufacturing—General Principles—Fundamentals and Vocabulary. ISO/ASTM International: Geneva, Switzerland, 2021.
- ASTM Additive Manufacturing Center of Excellence (AM CoE). Additive Manufacturing Sector Overview; ASTM International: West Conshohocken, PA, USA, 2022. [Google Scholar]
- Tofail, S.A.M.; Koumoulos, E.P.; Bandyopadhyay, A.; Bose, S.; O’Donoghue, L.; Charitidis, C. Additive manufacturing: Scientific and technological challenges, market uptake and opportunities. Mater. Today 2018, 21, 22–37. [Google Scholar] [CrossRef]
- Mwema, F.M.; Akinlabi, E.T. Basics of Fused Deposition Modelling (FDM). In Fused Deposition Modeling. Springer Briefs in Applied Sciences and Technology; Springer: Cham, Switzerland, 2020; pp. 1–15. [Google Scholar]
- Gibson, I.; Rosen, D.W.; Stucker, B. Introduction and Basic Principles. In Additive Manufacturing Technologies: Rapid Prototyping to Direct Digital Manufacturing; Springer: Boston, MA, USA, 2010. [Google Scholar]
- Oleksy, M.; Dynarowicz, K.; Aebisher, D. Rapid Prototyping Technologies: 3D Printing Applied in Medicine. Pharmaceutics 2023, 15, 2169. [Google Scholar] [CrossRef]
- Cano-Vicent, A.; Tambuwala, M.M.; Hassan, S.S.; Barh, D.; Aljabali, A.A.A.; Birkett, M.; Arjunan, A.; Serrano-Aroca, Á. Fused deposition modelling: Current status, methodology, applications and future prospects. Addit. Manuf. 2021, 47, 102378. [Google Scholar] [CrossRef]
- Iftekar, S.F.; Aabid, A.; Amir, A.; Baig, M. Advancements and Limitations in 3D Printing Materials and Technologies: A Critical Review. Polymers 2023, 15, 2519. [Google Scholar] [CrossRef]
- Arefin, A.M.E.; Khatri, N.R.; Kulkarni, N.; Egan, P.F. Polymer 3D Printing Review: Materials, Process, and Design Strategies for Medical Applications. Polymers 2021, 13, 1499. [Google Scholar] [CrossRef]
- Mallikarjuna, B.; Bhargav, P.; Hiremath, S.; Jayachristiyan, K.G.; Jayanth, N. A review on the melt extrusion-based fused deposition modeling (FDM): Background, materials, process parameters and military applications. Int. J. Interact. Des. Manuf. IJIDeM 2025, 19, 651–665. [Google Scholar] [CrossRef]
- Ma, T.; Zhang, Y.; Ruan, K.; Guo, H.; He, M.; Shi, X.; Guo, Y.; Kong, J.; Gu, J. Advances in 3D printing for polymer composites: A review. InfoMat 2024, 6, e12568. [Google Scholar] [CrossRef]
- Mohamed, O.A.; Masood, S.H.; Bhowmik, J.L. Optimization of Fused Deposition Modeling Process Parameters: A Review of Current Research and Future Prospects. Adv. Manuf. 2015, 3, 42–53. [Google Scholar] [CrossRef]
- Travieso-Rodriguez, J.A.; Jerez-Mesa, R.; Llumà, J.; Traver-Ramos, O.; Gomez-Gras, G.; Roa Rovira, J.J. Mechanical Properties of 3D-Printing Polylactic Acid Parts subjected to Bending Stress and Fatigue Testing. Materials 2019, 12, 3859. [Google Scholar] [CrossRef]
- Martins, R.F.; Branco, R.; Martins, M.; Macek, W.; Marciniak, Z.; Silva, R.; Trindade, D.; Moura, C.; Franco, M.; Malça, C. Mechanical Properties of Additively Manufactured Polymeric Materials—PLA and PETG—For Biomechanical Applications. Polymers 2024, 16, 1868. [Google Scholar] [CrossRef] [PubMed]
- Lodi, H.D.; de Campos, M.R.; dos Reis, A.C. Mechanical, chemical and biological properties of PLA 3D Printer: A systematic review. Res. Soc. Dev. 2025, 12, e126121243986. [Google Scholar] [CrossRef]
- Karimi, A.; Rahmatabadi, D.; Baghani, M. Various FDM Mechanisms Used in the Fabrication of Continuous-Fiber Reinforced Composites: A Review. Polymers 2024, 16, 831. [Google Scholar] [CrossRef]
- Blake, B.; Mendenhall, R.; Eslami, B. Balancing Strength and Flexibility: Mechanical Characterization of Carbon Fiber-Reinforced PLA Composites in FDM 3D Printing. J. Manuf. Mater. Process. 2025, 9, 288. [Google Scholar] [CrossRef]
- Camargo, J.C.; Machado, Á.R.; Almeida, E.C.; Silva, E.F.M.S. Mechanical properties of PLA-graphene filament for FDM 3D printing. Int. J. Adv. Manuf. Technol. 2019, 103, 2423–2443. [Google Scholar] [CrossRef]
- Tekinalp, H.L.; Kunc, V.; Velez-Garcia, G.M.; Duty, C.E.; Love, L.J.; Naskar, A.K.; Blue, C.A.; Ozcan, S. Highly oriented carbon fiber–polymer composites via additive manufacturing. Compos. Sci. Technol. 2014, 105, 144–150. [Google Scholar] [CrossRef]
- Abeykoon, C.; Sri-Amphorn, P.; Fernando, A. Optimization of fused deposition modeling parameters for improved PLA and ABS 3D printed structures. Int. J. Lightweight Mater. Manuf. 2020, 3, 284–297. [Google Scholar] [CrossRef]
- Sheoran, A.J.; Kumar, H. Fused Deposition modeling process parameters optimization and effect on mechanical properties and part quality: Review and reflection on present research. Mater. Today Proc. 2020, 21, 1659–1672. [Google Scholar] [CrossRef]
- El Magri, A.; El Mabrouk, K.; Vaudreuil, S.; Chibane, H.; Touhami, M.E. Optimization of printing parameters for improvement of mechanical and thermal performances of 3D printed poly (ether ether ketone) parts. J. Appl. Polym. Sci. 2020, 137, 49087. [Google Scholar] [CrossRef]
- Plamadiala, I.; Croitoru, C.; Pop, M.A.; Roata, I.C. Enhancing Polylactic Acid (PLA) Performance: A Review of Additives in Fused Deposition Modelling (FDM) Filaments. Polymers 2025, 17, 191. [Google Scholar] [CrossRef] [PubMed]
- Fernandez-Vicente, M.; Calle, W.; Ferrandiz, S.; Conejero, A. Effect of Infill Parameters on Tensile Mechanical Behavior in Desktop 3D Printing. 3D Print. Addit. Manuf. 2016, 3, 183–192. [Google Scholar] [CrossRef]
- Tanveer, M.Q.; Haleem, A.; Suhaib, M. Effect of variable infill density on mechanical behaviour of 3-D printed PLA specimen: An experimental investigation. SN Appl. Sci. 2019, 1, 1701. [Google Scholar] [CrossRef]
- Birosz, M.T.; Andó, M. Effect of infill pattern scaling on mechanical properties of FDM-printed PLA specimens. Prog. Addit. Manuf. 2024, 9, 875–883. [Google Scholar] [CrossRef]
- Kadhum, A.H.; Al-Zubaidi, S.; Abdulkareem, S.S. Effect of the Infill Patterns on the Mechanical and Surface Characteristics of 3D Printing of PLA, PLA+ and PETG Materials. ChemEngineering 2023, 7, 46. [Google Scholar] [CrossRef]
- Daly, M.; Tarfaoui, M.; Bouali, M.; Bendarma, A. Effects of Infill Density and Pattern on the Tensile Mechanical Behavior of 3D-Printed Glycolyzed PET Reinforced with Carbon-Fiber Composites by the FDM Process. J. Compos. Sci. 2024, 8, 115. [Google Scholar] [CrossRef]
- Turaka, S.; Jagannati, V.; Pappula, B.; Makgato, S. Impact of infill density on morphology and mechanical properties of 3D printed ABS/CF-ABS composites using design of experiments. Heliyon 2024, 10, e29920. [Google Scholar] [CrossRef]
- Birosz, M.T.; Ledenyák, D.; Andó, M. Effect of FDM infill patterns on mechanical properties. Polym. Test. 2022, 113, 107654. [Google Scholar] [CrossRef]
- Tao, Y.; Kong, F.; Li, Z.; Zhang, J.; Zhao, X.; Yin, Q.; Xing, D.; Li, P. A review on voids of 3D printed parts by fused filament fabrication. J. Mater. Res. Technol. 2021, 15, 4860–4879. [Google Scholar] [CrossRef]
- Dhakal, N.; Wang, X.; Espejo, C.; Morina, A.; Emami, N. Impact of processing defects on microstructure, surface quality, and tribological performance in 3D printed polymers. J. Mater. Res. Technol. 2023, 23, 1252–1272. [Google Scholar] [CrossRef]
- Baechle-Clayton, M.; Loos, E.; Taheri, M.; Taheri, H. Failures and Flaws in Fused Deposition Modeling (FDM) Additively Manufactured Polymers and Composites. J. Compos. Sci. 2022, 6, 202. [Google Scholar] [CrossRef]
- Moradi, M.; Rezayat, M.; Rozhbiany, F.A.R.; Meiabadi, S.; Casalino, G.; Shamsborhan, M.; Bijoy, A.; Chakkingal, S.; Lawrence, M.; Mohammed, N.; et al. Correlation between Infill Percentages, Layer Width, and Mechanical Properties in Fused Deposition Modelling of Poly-Lactic Acid 3D Printing. Machines 2023, 11, 950. [Google Scholar] [CrossRef]
- Gao, G.; Xu, F.; Xu, J.; Tang, G.; Liu, Z. A Survey of the Influence of Process Parameters on Mechanical Properties of Fused Deposition Modeling Parts. Micromachines 2022, 13, 553. [Google Scholar] [CrossRef] [PubMed]
- Abdullah, Z.; Ting, H.Y.; Ali, M.A.M.; Fauadi, M.H.F.M.; Kasim, M.S.; Hambali, A.; Ghazaly, M.M.; Handoko, F. The Effect of Layer Thickness and Raster Angles on Tensile Strength and Flexural Strength for Fused Deposition Modeling (FDM) Parts. J. Adv. Manuf. Technol. JAMT 2018, 12, 147–158. [Google Scholar]
- Chaudhry, M.S.; Czekanski, A. Evaluating FDM Process Parameter Sensitive Mechanical Performance of Elastomers at Various Strain Rates of Loading. Materials 2020, 13, 3202. [Google Scholar] [CrossRef] [PubMed]
- Głowacki, M.; Skórczewska, K.; Lewandowski, K.; Szewczykowski, P.; Mazurkiewicz, A. Effect of Shock-Variable Environmental Temperature and Humidity Conditions on FDM Printed Polymers for Tensile Properties. Polymers 2023, 16, 1. [Google Scholar] [CrossRef] [PubMed]
- Lee, S.; Wee, J.-W. Effect of temperature and relative humidity on hydrolytic degradation of additively manufactured PLA: Characterization and artificial neural network modeling. Polym. Degrad. Stab. 2024, 230, 111055. [Google Scholar] [CrossRef]
- Fang, L.; Yan, Y.; Agarwal, O.; Yao, S.; Seppala, J.E.; Kang, S.H. Effects of Environmental Temperature and Humidity on the Geometry and Strength of Polycarbonate Specimens Prepared by Fused Filament Fabrication. Materials 2020, 13, 4414. [Google Scholar] [CrossRef]
- Lendvai, L.; Fekete, I.; Rigotti, D.; Pegoretti, A. Experimental study on the effect of filament-extrusion rate on the structural, mechanical and thermal properties of material extrusion 3D-printed polylactic acid (PLA) products. Prog. Addit. Manuf. 2025, 10, 619–629. [Google Scholar] [CrossRef]
- Barrios, J.M.; Romero, P.E. Improvement of Surface Roughness and Hydrophobicity in PETG Parts Manufactured via Fused Deposition Modeling (FDM): An Application in 3D Printed Self–Cleaning Parts. Materials 2019, 12, 2499. [Google Scholar] [CrossRef]
- Rivera-López, F.; Pavón, M.M.L.; Correa, E.C.; Molina, M.H. Effects of Nozzle Temperature on Mechanical Properties of Polylactic Acid Specimens Fabricated by Fused Deposition Modeling. Polymers 2024, 16, 1867. [Google Scholar] [CrossRef]
- Chacón, J.M.; Caminero, M.A.; García-Plaza, E.; Núñez, P.J. Additive manufacturing of PLA structures by fused deposition modelling: Effect of process parameters on mechanical properties and their optimal selection. Mater. Des. 2017, 124, 143–157. [Google Scholar] [CrossRef]
- Rogelj, A.; Liović, D.; Hozdić, E.; Franulović, M.; Mijović, B. Influence of Cooling Lubricants and Structural Parameters on the Tensile Properties of FFF 3D-Printed PLA and PLA/Carbon Fiber Composites. Polymers 2025, 17, 1797. [Google Scholar] [CrossRef]
- Popescu, D.; Zapciu, A.; Amza, C.; Baciu, F.; Marinescu, R. FDM process parameters influence over the mechanical properties of polymer specimens: A review. Polym. Test. 2018, 69, 157–166. [Google Scholar] [CrossRef]
- Frunzaverde, D.; Cojocaru, V.; Ciubotariu, C.-R.; Miclosina, C.-O.; Ardeljan, D.D.; Ignat, E.F.; Marginean, G. The Influence of the Printing Temperature and the Filament Color on the Dimensional Accuracy, Tensile Strength, and Friction Performance of FFF-Printed PLA Specimens. Polymers 2022, 14, 1978. [Google Scholar] [CrossRef]
- Dezaki, M.L.; Ariffin, M.K.A.M. The Effects of Combined Infill Patterns on Mechanical Properties in FDM Process. Polymers 2020, 12, 2792. [Google Scholar] [CrossRef]
- Dobrosielska, M.; Dobrucka, R.; Brząkalski, D.; Pajewska-Szmyt, M.; Kurzydłowski, K.J.; Przekop, R.E. The Influence of Environmental Factors on the Degradation of PLA/Diatomaceous Earth Composites. Polymers 2024, 16, 1450. [Google Scholar] [CrossRef] [PubMed]
- Hozdić, E.; Hozdić, E. Comparative Analysis of the Influence of Mineral Engine Oil on the Mechanical Parameters of FDM 3D-Printed PLA, PLA+ CF, PETG, and PETG+CF Materials. Materials 2023, 16, 6342. [Google Scholar] [CrossRef]
- Hozdić, E.; Hasanagić, R. Analysis of the Impact of Cooling Lubricants on the Tensile Properties of FDM 3D Printed PLA and PLA+ CF Materials. Polymers 2024, 16, 2228. [Google Scholar] [CrossRef]
- Pascual-González, C.; Caraballo, J.G.-M.; Lizarralde, I.; Gómez, D.G.; Fernández-Blázquez, J.P. Additive manufacturing and microstructure effects on thermal and mechanical properties of ply-hybrid carbon and glass fiber composites. Compos. Part B Eng. 2024, 279, 111446. [Google Scholar] [CrossRef]
- Guessasma, S.; Belhabib, S.; Altin, A. On the Tensile Behaviour of Bio-Sourced 3D-Printed Structures from a Microstructural Perspective. Polymers 2020, 12, 1060. [Google Scholar] [CrossRef] [PubMed]
- Özen, A.; Abali, B.E.; Völlmecke, C.; Gerstel, J.; Auhl, D. Exploring the Role of Manufacturing Parameters on Microstructure and Mechanical Properties in Fused Deposition Modeling (FDM) Using PETG. Appl. Compos. Mater. 2021, 28, 1799–1828. [Google Scholar] [CrossRef]
- Shanmugam, V.; Das, O.; Babu, K.; Marimuthu, U.; Veerasimman, A.; Johnson, D.J.; Neisiany, R.E.; Hedenqvist, M.S.; Ramakrishna, S.; Berto, F. Fatigue behaviour of FDM-3D printed polymers, polymeric composites and architected cellular materials. Int. J. Fatigue 2021, 143, 106007. [Google Scholar] [CrossRef]
- Pandzic, A.; Hodzic, D.; Milovanovic, A. Effect of Infill Type and Density on Tensile Properties of PLA Material for FDM Process. In Proceedings of the 30th DAAAM International Symposium, Zadar, Croatia, 23–26 October 2019; DAAAM: Vienna, Austria, 2019; pp. 545–554. [Google Scholar]
- Li, T.; Song, Z.; Yang, X.; Du, J. Influence of Processing Parameters on the Mechanical Properties of Peek Plates by Hot Compression Molding. Materials 2023, 16, 36. [Google Scholar] [CrossRef]
- Zhen, H.; Zhao, B.; Quan, L.; Fu, J. Effect of 3D Printing Process Parameters and Heat Treatment Conditions on the Mechanical Properties and Microstructure of PEEK Parts. Polymers 2023, 15, 2209. [Google Scholar] [CrossRef] [PubMed]
- Patanwala, H.S.; Hong, D.; Vora, S.R.; Bognet, B.; Ma, A.W.K. The microstructure and mechanical properties of 3D printed carbon nanotube–polylactic acid composites. Polym. Compos. 2018, 39, E1060–E1071. [Google Scholar] [CrossRef]
- Naveed, N. Investigating the Material Properties and Microstructural Changes of Fused Filament Fabricated PLA and Tough-PLA Parts. Polymers 2021, 13, 1487. [Google Scholar] [CrossRef]
- Kumar, S.; Bhushan, P.; Sinha, N.; Prakash, O.; Bhattacharya, S. Investigation of Structure–Mechanical Property Relationship in Fused Filament Fabrication of Polymer Composites. J. Micromanufactur. 2019, 2, 167–174. [Google Scholar] [CrossRef]
- ISO 527-2:2012; Plastics—Determination of Tensile Properties—Part 2: Test Conditions for Moulding and Extrusion Plastics. International Organization for Standardization: Geneva, Switzerland, 2012.
- Zhejiang Flashforge 3D Technology Co., Ltd., Zhejiang, China. 2024. Available online: https://www.flashforge.com (accessed on 27 July 2025).
- Hozdić, E. Characterization and Comparative Analysis of Mechanical Parameters of FDM- and SLA-Printed ABS Materials. Appl. Sci. 2024, 14, 649. [Google Scholar] [CrossRef]
- VEVOR Digital Microscope Coin Microscope 10.1in IPS Screen 10-1300X Magnification|VEVOR EU. Available online: https://eur.vevor.com/lab-handheld-digital-microscopes-c_12384/vevor-digital-microscope-coin-microscope-10-1in-ips-screen-10-1300x-magnification-p_010710118063 (accessed on 12 September 2025).
- Carl Zeiss Microscopy, LLC. Available online: https://www.micro-shop.zeiss.com/en/us/ (accessed on 30 September 2025).
- Schindelin, J.; Arganda-Carreras, I.; Frise, E.; Kaynig, V.; Longair, M.; Pietzsch, T.; Preibisch, S.; Rueden, C.; Saalfeld, S.; Schmid, B.; et al. Fiji: An open-source platform for biological-image analysis. Nat. Methods 2012, 9, 676–682. [Google Scholar] [CrossRef]








































| Parameter/Material | PLA | PLA+CF |
|---|---|---|
| Diameter (mm) | 1.75 | 1.75 |
| Net filament weight (g) | 1000 | 1000 |
| Water absorption (equilibrium in water, 23 °C) | <0.3 | 0.5 |
| Printing speed (mm/s) | 40–60 | 60–90 |
| Layer height (mm) | 0.1–0.2 | 0.1–0.2 |
| Extrusion temperature (°C) | 190–220 | 200–230 |
| Bed platform temperature (°C) | 50–55 | 40–50 |
| Parameter/Material | PLA | PLA+CF |
|---|---|---|
| Density (g/cm3) | 1.25 | ~1.29 |
| Tensile Strength (MPa) | 45–49 | 40–45 |
| Young’s modulus (MPa) | 1000–1100 | 1100–1300 |
| Elongation at Break (%) | 13.5–15.5 | 11.5–13.5 |
| Heat Deflection Temperature (°C) | 53 | 60 |
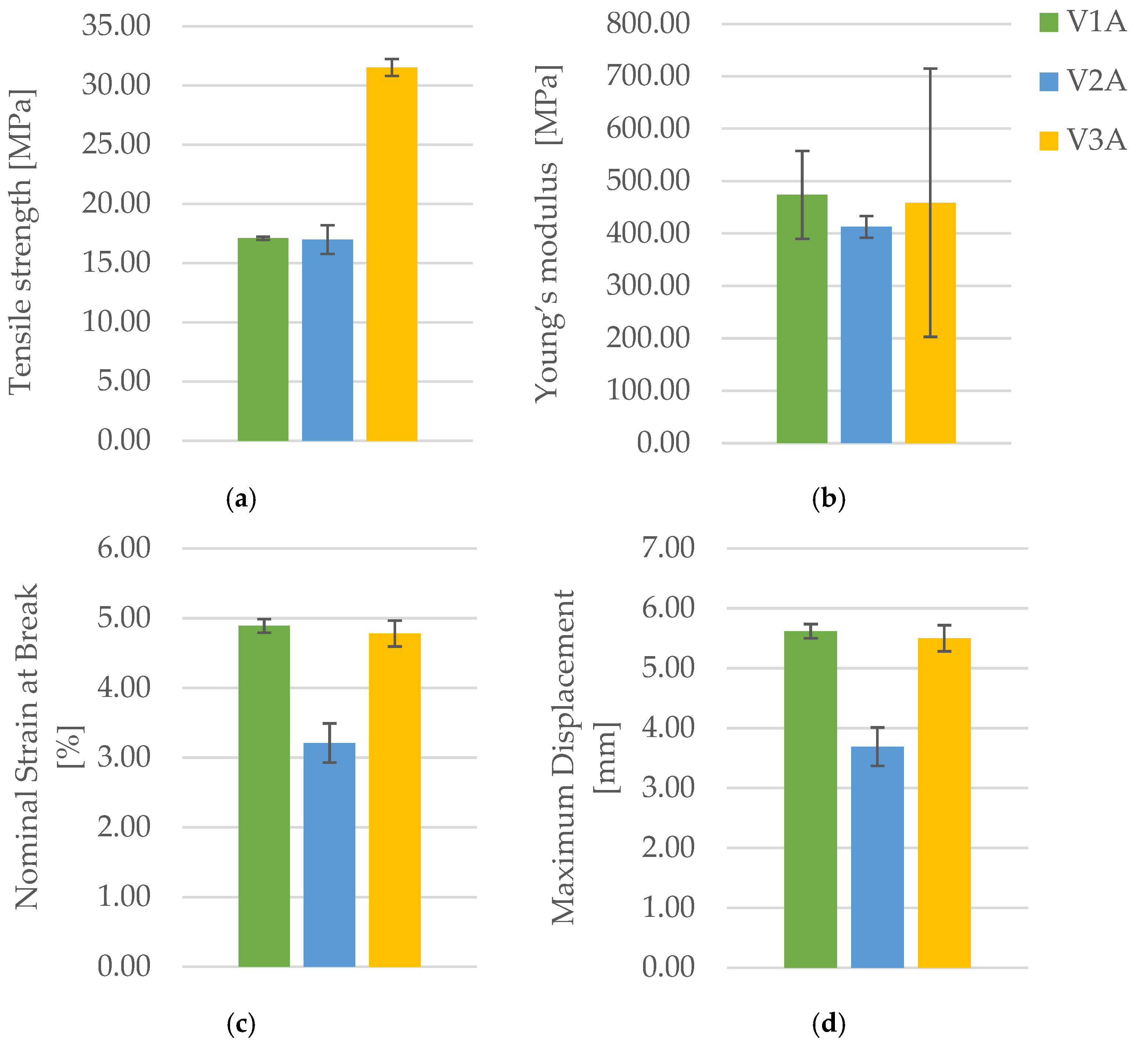
| Case Code | Specimen Code | Tensile Strength [MPa] | Young’s Modulus [MPa] | Nominal Strain at Break [%] | Maximum Displacement [mm] | Maximum Force F [N] |
|---|---|---|---|---|---|---|
| V1A (hexagonal, 30%) | PLA_211 | 17.102 | 473.714 | 4.890 | 5.620 | 684.079 |
| PLA_212 | 17.003 | 453.281 | 5.012 | 5.762 | 680.113 | |
| PLA_213 | 16.815 | 335.596 | 5.085 | 5.841 | 672.595 | |
| Average | 16.973 | 420.867 | 4.991 | 5.741 | 678.929 | |
| St. Dev. | 0.146 | 74.547 | 0.100 | 0.112 | 5.833 | |
| V2A (triangular, 30%) | PLA_221 | 16.653 | 454.095 | 3.481 | 4.005 | 666.126 |
| PLA_222 | 16.994 | 412.694 | 3.218 | 3.692 | 679.779 | |
| PLA_223 | 14.861 | 446.562 | 2.920 | 3.364 | 594.441 | |
| Average | 16.169 | 437.783 | 3.211 | 3.687 | 646.782 | |
| St. Dev. | 1.146 | 22.052 | 0.281 | 0.321 | 45.840 | |
| V3A (linear, 30%) | PLA_231 | 32.784 | 797.581 | 5.100 | 5.862 | 1311.360 |
| PLA_232 | 31.530 | 458.760 | 4.780 | 5.501 | 1261.210 | |
| PLA_233 | 31.500 | 361.673 | 4.750 | 5.459 | 1260.010 | |
| Average | 31.938 | 410.216 | 4.880 | 5.607 | 1277.530 | |
| St. Dev. | 0.733 | 228.853 | 0.190 | 0.222 | 29.307 |
| Specimen Code | Total Specimen Area [µm2] | Number of Porous Particles [/] | Pore Area [µm2] | Average Pore Size [µm2] |
|---|---|---|---|---|
| V1B (hexagonal, 30%) | 41,466,253 | 9841 | 19,359,581 | 1967.24 |
| V2B (triangular, 30%) | 41,924,682 | 39,923 | 23,326,566 | 5578.05 |
| V3B (linear, 30%) | 41,331,666 | 19,377 | 20,736,644 | 1070.17 |
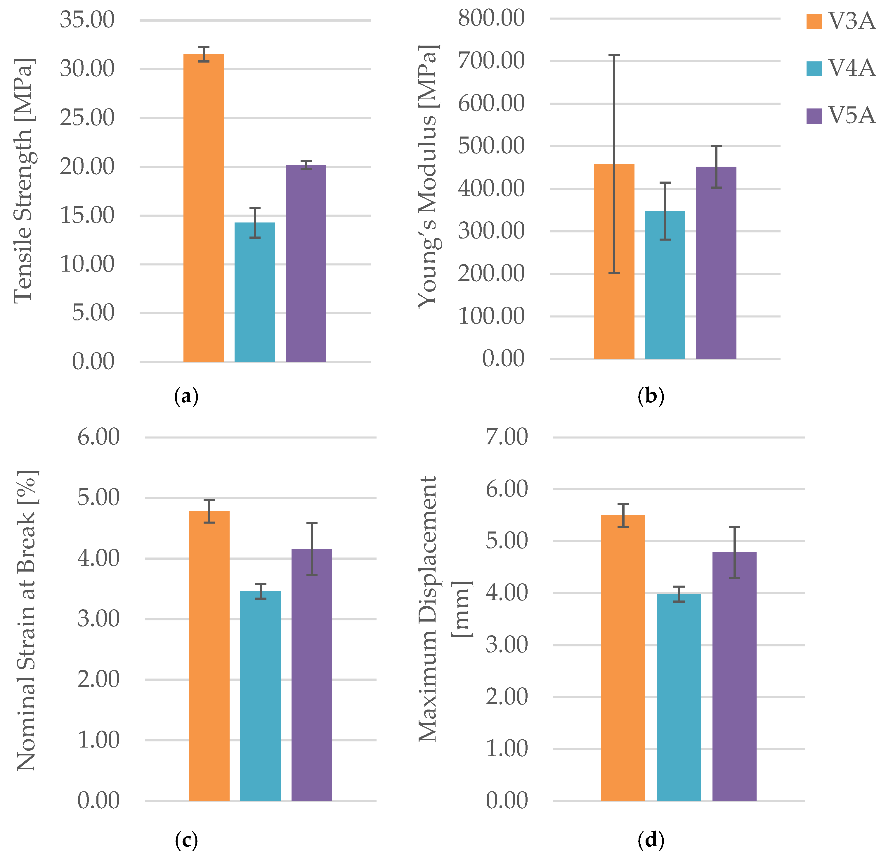
| Case Code | Specimen Code | Tensile Strength [MPa] | Young’s Modulus [MPa] | Nominal Strain at Break [%] | Maximum Displacement [mm] | Maximum Force F [N] |
|---|---|---|---|---|---|---|
| V3A (linear, 30%) | PLA_231 | 32.784 | 797.581 | 5.100 | 5.862 | 1311.360 |
| PLA_232 | 31.530 | 458.760 | 4.780 | 5.501 | 1261.210 | |
| PLA_233 | 31.500 | 361.673 | 4.750 | 5.459 | 1260.010 | |
| Average | 31.938 | 410.216 | 4.880 | 5.607 | 1277.530 | |
| St. Dev. | 0.733 | 228.853 | 0.190 | 0.222 | 29.307 | |
| V4A (linear, 60%) | PLA_234 | 14.454 | 336.075 | 3.481 | 4.005 | 578.173 |
| PLA_235 | 14.276 | 347.472 | 3.460 | 4.005 | 571.023 | |
| PLA_236 | 11.858 | 469.287 | 3.271 | 3.985 | 474.318 | |
| Average | 13.529 | 384.278 | 3.401 | 3.758 | 541.171 | |
| St. Dev. | 1.450 | 73.840 | 0.120 | 0.137 | 58.007 | |
| V5A (linear, 100%) | PLA_237 | 20.198 | 451.463 | 4.160 | 4.789 | 807.921 |
| PLA_238 | 20.017 | 423.510 | 5.062 | 5.821 | 800.673 | |
| PLA_239 | 20.794 | 521.129 | 4.391 | 5.051 | 831.763 | |
| Average | 20.336 | 465.367 | 4.541 | 5.220 | 813.452 | |
| St. Dev. | 0.407 | 50.273 | 0.470 | 0.536 | 16.266 |
| Specimen Code | Total Specimen Area [µm2] | Number of Porous Particles [/] | Pore Area [µm2] | Average Pore Size [µm2] |
|---|---|---|---|---|
| V3B (linear, 30%) | 41,331,666 | 19,377 | 20,736,644 | 1070.17 |
| V4B (linear, 60%) | 40,973,970 | 6028 | 13,558,508 | 2249.26 |
| V5B (linear, 100%) | 39,860,980 | 3395 | 3,806,213 | 1589.23 |
| Case Code | Specimen Code | Tensile Strength [MPa] | Young’s Modulus [MPa] | Nominal Strain at Break [%] | Maximum Displacement [mm] | Maximum Force F [N] |
|---|---|---|---|---|---|---|
| V1A (hexagonal, 30%, unexposed) | PLA_211 | 17.102 | 473.714 | 4.891 | 5.620 | 684.079 |
| PLA_212 | 17.003 | 453.281 | 5.011 | 5.762 | 680.113 | |
| PLA_213 | 16.815 | 335.596 | 5.079 | 5.841 | 672.595 | |
| Average | 16.973 | 420.864 | 4.990 | 5.741 | 678.929 | |
| St. Dev. | 0.146 | 74.547 | 0.100 | 0.112 | 5.833 | |
| V6A (hexagonal, 30%, 7 days exposed) | PLA_214 | 17.054 | 454.095 | 7.810 | 4.789 | 682.171 |
| PLA_215 | 16.904 | 412.694 | 8.601 | 5.821 | 676.163 | |
| PLA_216 | 17.025 | 454.128 | 7.792 | 5.051 | 681.012 | |
| Average | 16.994 | 440.306 | 8.071 | 5.220 | 679.782 | |
| St. Dev. | 0.080 | 23.912 | 0.460 | 0.536 | 3.187 |
| Specimen Code | Total Specimen Area [µm2] | Number of Porous Particles [/] | Pore Area [µm2] | Average Pore Size [µm2] |
|---|---|---|---|---|
| V1B (unexposed) | 41,466,253 | 9841 | 19,359,581 | 1967.24 |
| V6B (7 days exposed) | 41,500,877 | 25,338 | 15,272,284 | 602.74 |
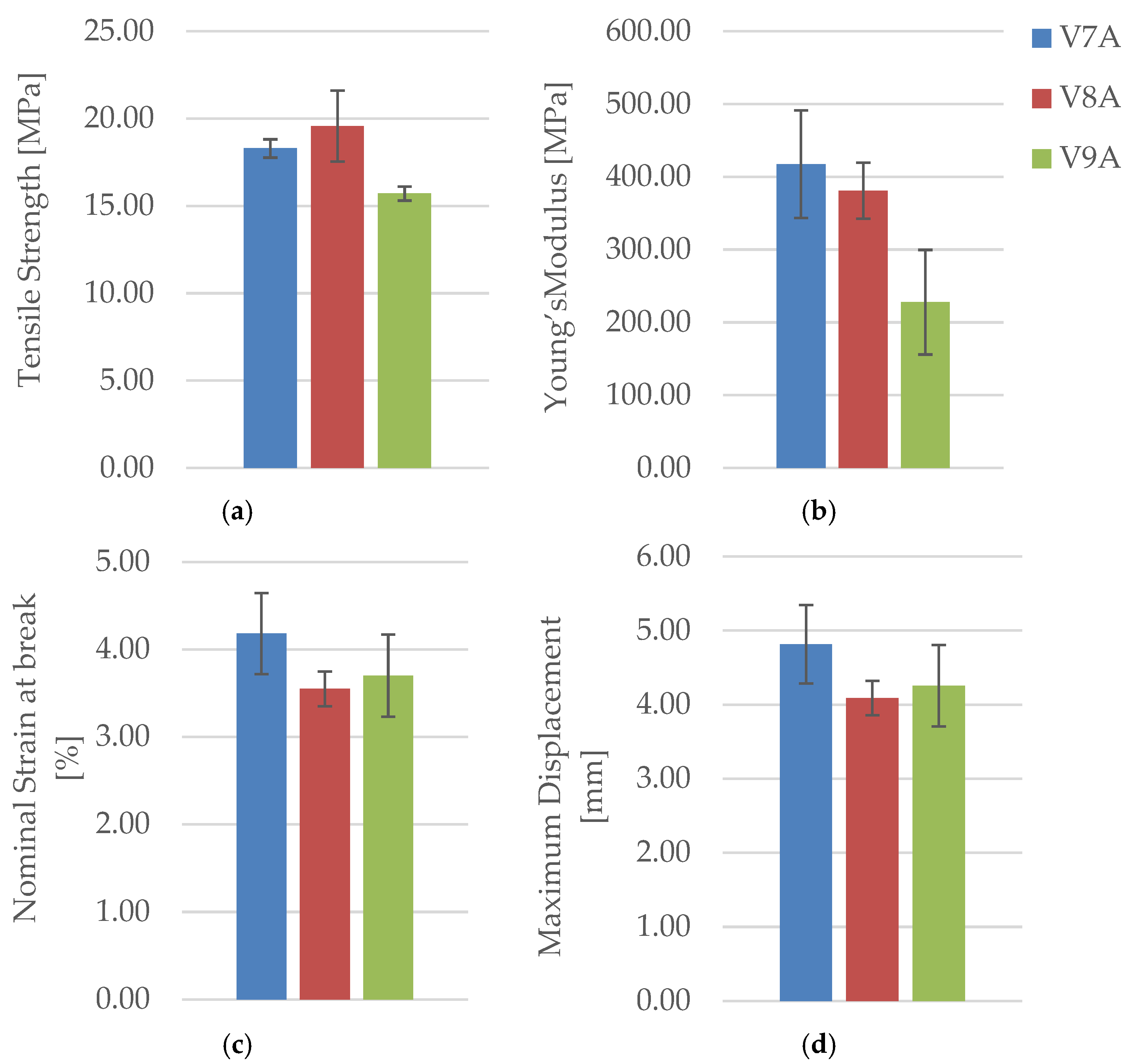
| Case Code | Specimen Code | Tensile Strength [MPa] | Young’s Modulus [MPa] | Nominal Strain at Break [%] | Maximum Displacement [mm] | Maximum Force F [N] |
|---|---|---|---|---|---|---|
| V7A (hexagonal, 30%) | PLA+CF_511 | 18.156 | 496.449 | 5.061 | 5.824 | 726.247 |
| PLA+CF_512 | 19.134 | 347.645 | 5.130 | 5.902 | 765.363 | |
| PLA+CF_513 | 18.299 | 417.481 | 4.180 | 4.815 | 731.961 | |
| Average | 18.530 | 420.525 | 4.790 | 5.514 | 741.190 | |
| St. Dev. | 0.528 | 74.449 | 0.531 | 0.606 | 21.128 | |
| V8A (triangular, 30%) | PLA+CF_521 | 17.037 | 357.035 | 3.411 | 3.925 | 681.496 |
| PLA+CF_522 | 19.579 | 381.023 | 3.550 | 4.089 | 783.157 | |
| PLA+CF_523 | 16.049 | 434.175 | 3.171 | 3.652 | 641.990 | |
| Average | 17.555 | 390.744 | 3.381 | 3.889 | 702.214 | |
| St. Dev. | 1.821 | 39.478 | 0.190 | 0.221 | 72.828 | |
| V9A (linear, 30%) | PLA+CF_531 | 16.049 | 434.175 | 3.220 | 3.705 | 641.990 |
| PLA+CF_532 | 15.718 | 227.840 | 3.701 | 4.256 | 628.734 | |
| PLA+CF_533 | 16.536 | 320.040 | 4.170 | 4.803 | 661.469 | |
| Average | 16.101 | 327.352 | 3.701 | 4.255 | 644.064 | |
| St. Dev. | 0.411 | 103.362 | 0.470 | 0.549 | 16.466 |
| Specimen Code | Total Specimen Area [µm2] | Number of Porous Particles [/] | Pore Area [µm2] | Average Pore Size [µm2] |
| V7B (hexagonal, 30%) | 42,140,091 | 39,922 | 18,972,664 | 475.24 |
| V8B (triangular, 30%) | 41,097,286 | 25,623 | 14,841,076 | 579.21 |
| V9B (linear, 30%) | 41,866,158 | 19,955 | 23,658,650 | 1185.60 |
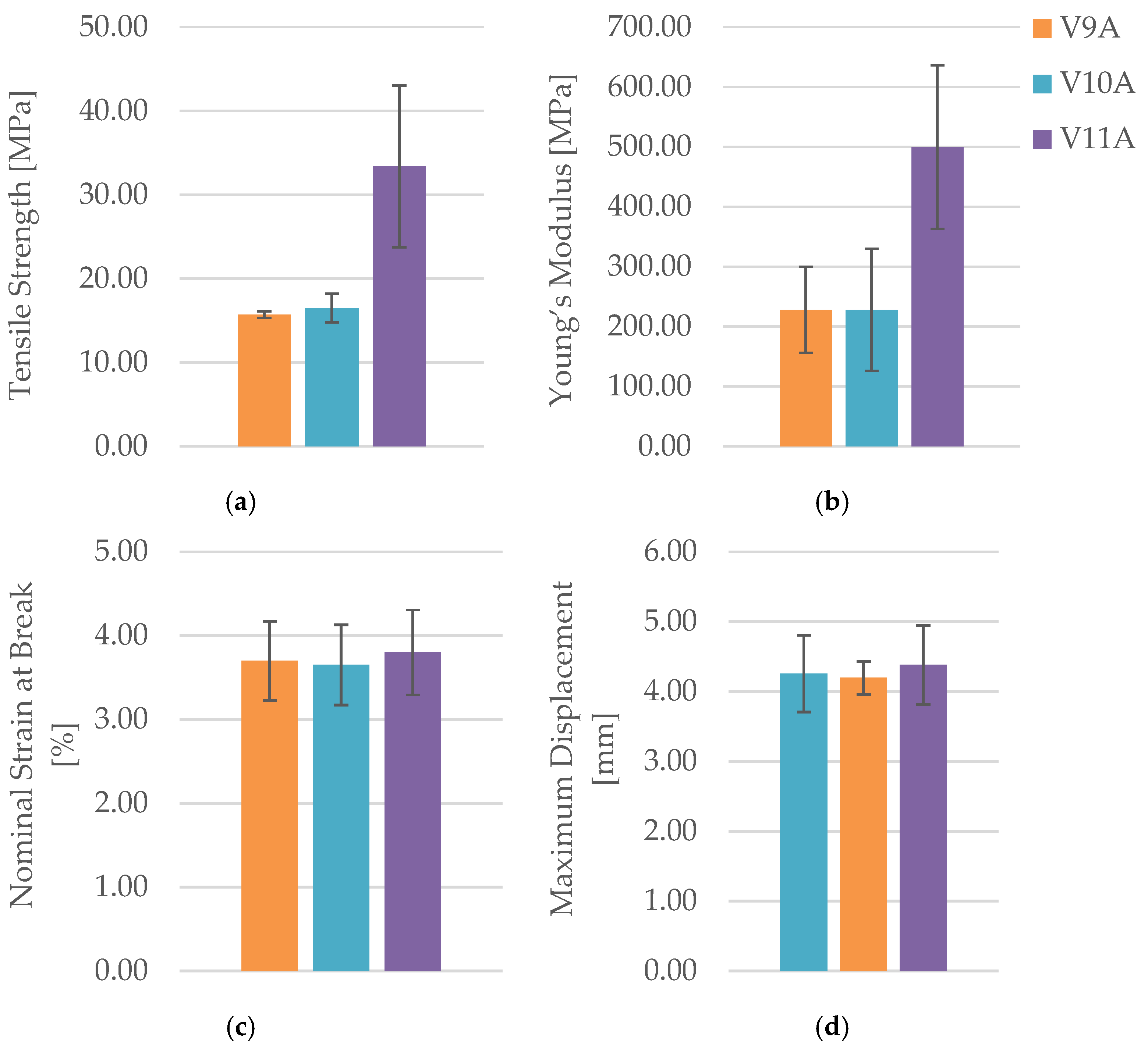
| Case Code | Specimen Code | Tensile Strength [MPa] | Young’s Modulus [MPa] | Nominal Strain at Break [%] | Maximum Displacement [mm] | Maximum Force F [N] |
|---|---|---|---|---|---|---|
| V9A (linear, 30%) | PLA+CF_531 | 16.049 | 434.175 | 3.220 | 3.705 | 641.990 |
| PLA+CF_532 | 15.718 | 227.840 | 3.701 | 4.256 | 628.734 | |
| PLA+CF_533 | 16.536 | 320.040 | 4.170 | 4.803 | 661.469 | |
| Average | 16.101 | 327.352 | 3.701 | 4.255 | 644.064 | |
| St. Dev. | 0.411 | 103.362 | 0.470 | 0.549 | 16.466 | |
| V10A (linear, 60%) | PLA+CF_534 | 15.859 | 356.613 | 3.740 | 3.925 | 634.344 |
| PLA+CF_535 | 16.511 | 228.125 | 3.651 | 4.195 | 660.452 | |
| PLA+CF_536 | 19.020 | 567.746 | 2.920 | 3.652 | 784.802 | |
| Average | 16.101 | 384.161 | 3.441 | 3.889 | 693.199 | |
| St. Dev. | 1.669 | 171.475 | 0.451 | 0.221 | 80.397 | |
| V11A (linear, 100%) | PLA+CF_537 | 19.369 | 304.236 | 4.521 | 3.705 | 774.789 |
| PLA+CF_538 | 34.319 | 525.898 | 4.960 | 4.256 | 1372.770 | |
| PLA+CF_539 | 33.410 | 499.886 | 3.801 | 4.381 | 1336.400 | |
| Average | 29.033 | 443.340 | 4.431 | 4.255 | 1161.320 | |
| St. Dev. | 8.381 | 121.168 | 0.590 | 0.549 | 335.239 |
| Specimen Code | Total Specimen Area [µm2] | Number of Porous Particles [/] | Pore Area [µm2] | Average Pore Size [µm2] |
|---|---|---|---|---|
| V9B (linear, 30%) | 41,866,158 | 19,955 | 23,658,650 | 1185.60 |
| V10B (linear, 60%) | 42,195,455 | 30,242 | 14,423,157 | 476.93 |
| V11B (linear, 100%) | 42,523,276 | 22,235 | 5,714,268 | 256.99 |
| Case Code | Specimen Code | Tensile Strength [MPa] | Young’s Modulus [MPa] | Nominal Strain at Break [%] | Maximum Displacement [mm] | Maximum Force F [N] |
|---|---|---|---|---|---|---|
| V7A (hexagonal, 30%, unexposed) | PLA+CF_511 | 18.156 | 496.449 | 5.061 | 5.824 | 726.247 |
| PLA+CF_512 | 19.134 | 347.645 | 5.130 | 5.902 | 765.363 | |
| PLA+CF_513 | 18.299 | 417.481 | 4.180 | 4.815 | 731.961 | |
| Average | 18.530 | 420.525 | 4.790 | 5.514 | 741.190 | |
| St. Dev. | 0.528 | 74.449 | 0.531 | 0.606 | 21.128 | |
| V12A (hexagonal, 30%, 7 days exposed) | PLA+CF_514 | 18.026 | 405.056 | 4.111 | 4.728 | 726.247 |
| PLA+CF_515 | 19.592 | 428.230 | 4.780 | 5.500 | 765.363 | |
| PLA+CF_516 | 19.557 | 409.954 | 4.810 | 5.532 | 731.961 | |
| Average | 19.058 | 414.413 | 4.571 | 5.253 | 741.190 | |
| St. Dev. | 0.894 | 12.214 | 0.401 | 0.455 | 21.128 |
| Specimen Code | Total Specimen Area [µm2] | Number of Porous Particles [/] | Pore Area [µm2] | Average Pore Size [µm2] |
|---|---|---|---|---|
| V7B (unexposed) | 42,140,091 | 39,922 | 18,972,664 | 475.24 |
| V12B (7-day exposed) | 42,416,921 | 54,461 | 7,952,110 | 146.02 |
Disclaimer/Publisher’s Note: The statements, opinions and data contained in all publications are solely those of the individual author(s) and contributor(s) and not of MDPI and/or the editor(s). MDPI and/or the editor(s) disclaim responsibility for any injury to people or property resulting from any ideas, methods, instructions or products referred to in the content. |
© 2025 by the authors. Licensee MDPI, Basel, Switzerland. This article is an open access article distributed under the terms and conditions of the Creative Commons Attribution (CC BY) license.
Share and Cite
Hozdić, E.; Hozdić, E. Mechanical Parameters and Microstructural Evolution of FDM-Printed PLA and PLA+CF Under Variable Infill Architecture and Lubricant Exposure. Polymers 2026, 18, 72. https://doi.org/10.3390/polym18010072
Hozdić E, Hozdić E. Mechanical Parameters and Microstructural Evolution of FDM-Printed PLA and PLA+CF Under Variable Infill Architecture and Lubricant Exposure. Polymers. 2026; 18(1):72. https://doi.org/10.3390/polym18010072
Chicago/Turabian StyleHozdić, Emine, and Elvis Hozdić. 2026. "Mechanical Parameters and Microstructural Evolution of FDM-Printed PLA and PLA+CF Under Variable Infill Architecture and Lubricant Exposure" Polymers 18, no. 1: 72. https://doi.org/10.3390/polym18010072
APA StyleHozdić, E., & Hozdić, E. (2026). Mechanical Parameters and Microstructural Evolution of FDM-Printed PLA and PLA+CF Under Variable Infill Architecture and Lubricant Exposure. Polymers, 18(1), 72. https://doi.org/10.3390/polym18010072

