Compatibilizing Effects of Poly(lactic acid) (PLA)/Poly(vinyl butyral) (PVB)/Mica Composites
Abstract
1. Introduction
2. Experimental
2.1. Materials
2.2. Extrusion and Injection Processing
2.3. Characterization Techniques
2.3.1. Scanning Electron Microscopy (SEM)
2.3.2. Differential Scanning Calorimetry (DSC)
2.3.3. Dynamic Mechanical Analysis (DMA)
2.3.4. Fourier Transform Infrared (FTIR) Spectroscopy
2.3.5. Tensile Test
2.3.6. Izod Impact Strength Test
2.3.7. Rheological Properties
2.3.8. Melt Flow Index (MFI)
3. Results and Discussion
3.1. Composite Morphology (SEM)
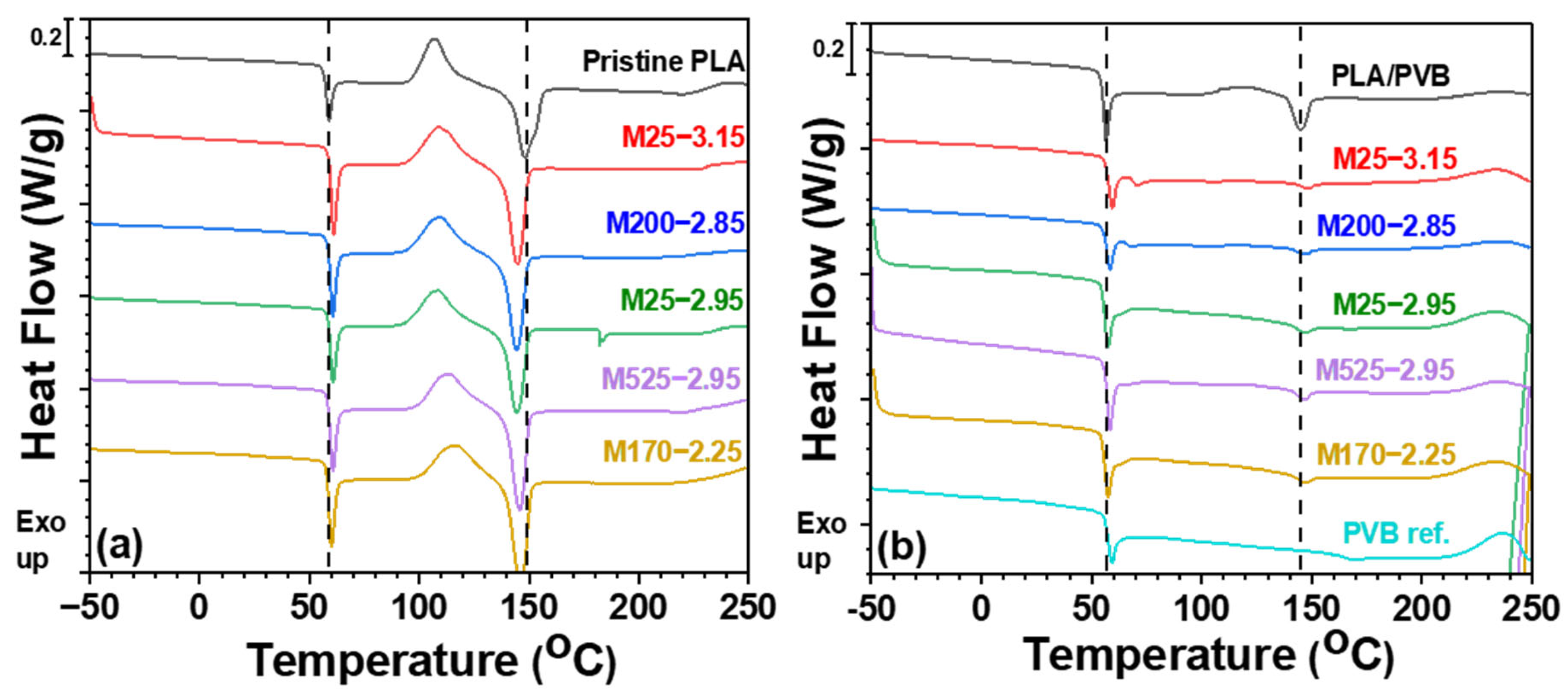
3.2. Thermal Behaviors (DSC)
3.3. Tan δ Analysis (DMA)
3.4. Chemical Structure Analysis (FTIR)
3.5. Mechanical Properties (UTM and Izod Impact Strength Tests)
3.6. Rheological Properties
4. Conclusions
Supplementary Materials
Author Contributions
Funding
Data Availability Statement
Acknowledgments
Conflicts of Interest
References
- Farah, S.; Anderson, D.G.; Langer, R. Physical and Mechanical Properties of PLA, and Their Functions in Widespread Applications—A Comprehensive Review. Adv. Drug Deliv. Rev. 2016, 107, 367–392. [Google Scholar] [CrossRef]
- Murariu, M.; Dubois, P. PLA Composites: From Production to Properties. Adv. Drug Deliv. Rev. 2016, 107, 17–46. [Google Scholar] [CrossRef]
- Qian, F.; Jia, R.; Cheng, M.; Chaudhary, A.; Melhi, S.; Mekkey, S.D.; Zhu, N.; Wang, C.; Razak, F.; Xu, X.; et al. An Overview of Polylactic Acid (PLA) Nanocomposites for Sensors. Adv. Compos. Hybrid Mater. 2024, 7, 75. [Google Scholar] [CrossRef]
- Vengadesan, E.; Morakul, S.; Muralidharan, S.; Pullela, P.K.; Alarifi, A.; Arunkumar, T. Enhancement of Polylactic Acid (PLA) with Hybrid Biomass-Derived Rice Husk and Biocarbon Fillers: A Comprehensive Experimental Study. Discov. Appl. Sci. 2025, 7, 161. [Google Scholar] [CrossRef]
- Auras, R.; Harte, B.; Selke, S. An Overview of Polylactides as Packaging Materials. Macromol. Biosci. 2004, 4, 835–864. [Google Scholar] [CrossRef]
- Lim, L.-T.; Auras, R.; Rubino, M. Processing Technologies for Poly(Lactic Acid). Prog. Polym. Sci. 2008, 33, 820–852. [Google Scholar] [CrossRef]
- Plamadiala, I.; Croitoru, C.; Pop, M.A.; Roata, I.C.; Plamadiala, I.; Croitoru, C.; Pop, M.A.; Roata, I.C. Enhancing Polylactic Acid (PLA) Performance: A Review of Additives in Fused Deposition Modelling (FDM) Filaments. Polymers 2025, 17, 191. [Google Scholar] [CrossRef]
- Garlotta, D. A Literature Review of Poly(Lactic Acid). J. Polym. Environ. 2001, 9, 63–84. [Google Scholar] [CrossRef]
- Drumright, R.E.; Gruber, P.R.; Henton, D.E. Polylactic Acid Technology. Adv. Mater. 2000, 12, 1841–1846. [Google Scholar] [CrossRef]
- Li, X.; Lin, Y.; Liu, M.; Meng, L.; Li, C. A Review of Research and Application of Polylactic Acid Composites. J. Appl. Polym. Sci. 2023, 140, e53477. [Google Scholar] [CrossRef]
- Karamanlioglu, M.; Preziosi, R.; Robson, G.D. Abiotic and Biotic Environmental Degradation of the Bioplastic Polymer Poly(Lactic Acid): A Review. Polym. Degrad. Stab. 2017, 137, 122–130. [Google Scholar] [CrossRef]
- Tokiwa, Y.; Calabia, B.P.; Ugwu, C.U.; Aiba, S. Biodegradability of Plastics. Int. J. Mol. Sci. 2009, 10, 3722–3742. [Google Scholar] [CrossRef]
- Anderson, K.S.; Schreck, K.M.; Hillmyer, M.A. Toughening Polylactide. Polym. Rev. 2008, 48, 85–108. [Google Scholar] [CrossRef]
- Martin, O.; Avérous, L. Poly(Lactic Acid): Plasticization and Properties of Biodegradable Multiphase Systems. Polymer 2001, 42, 6209–6219. [Google Scholar] [CrossRef]
- Ljungberg, N.; Wesslén, B. The Effects of Plasticizers on the Dynamic Mechanical and Thermal Properties of Poly(Lactic Acid). J. Appl. Polym. Sci. 2002, 86, 1227–1234. [Google Scholar] [CrossRef]
- Avérous, L.; Pollet, E. (Eds.) Green Energy and Technology. In Environmental Silicate Nano-Biocomposites; Springer: London, UK, 2012; ISBN 978-1-4471-4101-3. [Google Scholar]
- Satyanarayana, K.G.; Arizaga, G.G.C.; Wypych, F. Biodegradable Composites Based on Lignocellulosic Fibers—An Overview. Prog. Polym. Sci. 2009, 34, 982–1021. [Google Scholar] [CrossRef]
- Zhang, Y.; Fan, Y.; Yang, Y.; Chen, Z.; Chen, J.; Zhao, K.; Chen, C.; Liu, Z. Synthesis and Application of Polyvinyl Butyral Resins: A Review. Macromol. Chem. Phys. 2025, 226, 2400478. [Google Scholar] [CrossRef]
- Vedrtnam, A.; Pawar, S.J. Laminated Plate Theories and Fracture of Laminated Glass Plate—A Review. Eng. Fract. Mech. 2017, 186, 316–330. [Google Scholar] [CrossRef]
- Sun, M.; Huang, S.; Yu, M.; Han, K. Toughening Modification of Polylactic Acid by Thermoplastic Silicone Polyurethane Elastomer. Polymers 2021, 13, 1953. [Google Scholar] [CrossRef]
- Lee, H.; Park, J.-H.; Jang, K.-S. Poly(Lactic Acid)/Poly(Vinyl Butyral) Composites Containing Kaolin Modified by Acids and Calcination. J. Appl. Polym. Sci. 2024, 141, e56200. [Google Scholar] [CrossRef]
- Haley, K.L.; Lee, N.F.; Schreiber, V.M.; Pereira, N.T.; Sterbentz, R.M.; Chung, T.Y.; Island, J.O. Isolation and Characterization of Atomically Thin Mica Phyllosilicates. ACS Appl. Nano Mater. 2024, 7, 25233–25240. [Google Scholar] [CrossRef]
- Zhao, D.; Hu, J.; Wang, D.; Yang, J.; Zhang, H.; Wang, B. Reinforcement of Mica on Phthalonitrile Resin and Composites: Curing, Thermal, Mechanical and Dielectric Properties. Compos. Sci. Technol. 2023, 244, 110289. [Google Scholar] [CrossRef]
- Andraschek, N.; Wanner, A.J.; Ebner, C.; Riess, G. Mica/Epoxy-Composites in the Electrical Industry: Applications, Composites for Insulation, and Investigations on Failure Mechanisms for Prospective Optimizations. Polymers 2016, 8, 201. [Google Scholar] [CrossRef]
- Tian, F.; Cao, J.; Li, Y. Enhanced Mechanic Strength and Thermal Conductivities of Mica Composites with Mimicking Shell Nacre Structure. Nanomaterials 2022, 12, 2155. [Google Scholar] [CrossRef]
- Kim, M.W.; Song, Y.S.; Youn, J.R. Effects of Interfacial Adhesion and Crystallization on the Thermoresistance of Poly(Lactic Acid)/Mica Composites. Compos. Part Appl. Sci. Manuf. 2010, 41, 1817–1822. [Google Scholar] [CrossRef]
- Senthooran, V.; Weng, Z.; Wu, L. Enhancing Mechanical and Thermal Properties of 3D-Printed Samples Using Mica-Epoxy Acrylate Resin Composites—Via Digital Light Processing (DLP). Polymers 2024, 16, 1148. [Google Scholar] [CrossRef]
- Kiliaris, P.; Papaspyrides, C.D. Polymer/Layered Silicate (Clay) Nanocomposites: An Overview of Flame Retardancy. Prog. Polym. Sci. 2010, 35, 902–958. [Google Scholar] [CrossRef]
- Kumar, A.P.; Depan, D.; Singh Tomer, N.; Singh, R.P. Nanoscale Particles for Polymer Degradation and Stabilization—Trends and Future Perspectives. Prog. Polym. Sci. 2009, 34, 479–515. [Google Scholar] [CrossRef]
- Yun, S.-S.; Shin, D.; Jang, K.-S. Influence of Ionomer and Cyanuric Acid on Antistatic, Mechanical, Thermal, and Rheological Properties of Extruded Carbon Nanotube (CNT)/Polyoxymethylene (POM) Nanocomposites. Polymers 2022, 14, 1849. [Google Scholar] [CrossRef]
- Yoon, S.-S.; Lee, S.-H.; Hwang, G.-C.; Choi, M.-K.; Kang, B.-G.; Kim, H.; Jang, K.-S. Mechanical, Thermal, and Rheological Properties of Phlogopite-Incorporated Polycarbonate and Polystyrene. Macromol. Res. 2022, 30, 365–374. [Google Scholar] [CrossRef]
- ISO 527-2:2012; Plastics—Determination of Tensile Properties—Part 2: Test Conditions for Moulding and Extrusion Plastics. International Organization for Standardization: Geneva, Switzerland, 2012.
- EN ISO 180:2023; Plastics—Determination of Izod Impact Strength (ISO 180:2023). International Organization for Standardization: Geneva, Switzerland, 2023.
- Souza, D.H.S.; Andrade, C.T.; Dias, M.L. Rheological Behavior of Poly(Lactic Acid)/Synthetic Mica Nanocomposites. Mater. Sci. Eng. C 2013, 33, 1795–1799. [Google Scholar] [CrossRef] [PubMed]
- Channa, I.A.; Chandio, A.D.; Rizwan, M.; Shah, A.A.; Bhatti, J.; Shah, A.K.; Hussain, F.; Shar, M.A.; AlHazaa, A. Solution Processed PVB/Mica Flake Coatings for the Encapsulation of Organic Solar Cells. Materials 2021, 14, 2496. [Google Scholar] [CrossRef] [PubMed]
- Chong Lua, A.; Shen, Y. Influence of Inorganic Fillers on the Structural and Transport Properties of Mixed Matrix Membranes. J. Appl. Polym. Sci. 2013, 128, 4058–4066. [Google Scholar] [CrossRef]
- Lin, J.-J.; Chen, Y.-M.; Yu, M.-H. Hydrogen-Bond Driven Intercalation of Synthetic Fluorinated Mica by Poly(Oxypropylene)-Amidoamine Salts. Colloids Surf. Physicochem. Eng. Asp. 2007, 302, 162–167. [Google Scholar] [CrossRef]
- Zhou, Z.; David, D.; Macknight, W.; Karasz, F. Synthesis Characterization and Miscibility of Polyvinyl Butyrals of Varying Vinyl Alcohol Contents. Turk. J. Chem. 1997, 21, 229–238. [Google Scholar]
- Arauz-Moreno, C.; Piroird, K.; Lorenceau, E. Water Clustering in Polyvinyl Butyral (PVB): Evidenced by Diffusion and Sorption Experiments. J. Phys. Chem. B 2023, 127, 11064–11073. [Google Scholar] [CrossRef]
- Olabisi, O.; Adewale, K. Handbook of Thermoplastics; CRC Press: Boca Raton, FL, USA, 2016; ISBN 978-1-4665-7723-7. [Google Scholar]
- Gao, P.; Masato, D. The Effects of Nucleating Agents and Processing on the Crystallization and Mechanical Properties of Polylactic Acid: A Review. Micromachines 2024, 15, 776. [Google Scholar] [CrossRef]
- Sohrabpour, K.; Mohamadi, S.; Abdollahzadeh, E.; Abdouss, M. Performance Evaluation of Novel Mica@Reduced Graphene Oxide Fixed Rotating Disk Reactor in Treatment of Anaerobically Reduced Textile Dyeing Wastewater Containing Aromatic Amines. J. Chem. Technol. Biotechnol. 2021, 96, 2072–2085. [Google Scholar] [CrossRef]
- Liu, X.; Wang, T.; Chow, L.C.; Yang, M.; Mitchell, J.W. Effects of Inorganic Fillers on the Thermal and Mechanical Properties of Poly(Lactic Acid). Int. J. Polym. Sci. 2014, 2014, 827028. [Google Scholar] [CrossRef]
- Alhareb, A.O.; Akil, H.M.d.; Ahmad, Z.A. Pmma Denture Base Composites Reinforced by Nitrile Rubber and Ceramic Fillers. Polym. Polym. Compos. 2016, 24, 71–80. [Google Scholar] [CrossRef]
- Muhammad Firdaus, S.; Sheng, T.J.; Ariffin, Z.; Mariatti, M. Properties Improvement of Acrylic Resin for Denture Application: Effect of Single and Hybrid Types of Fillers with Different Weight Loadings. Plast. Rubber Compos. 2021, 50, 329–339. [Google Scholar] [CrossRef]
- Nofar, M.; Park, C.B. Poly(Lactic Acid) Foaming. Prog. Polym. Sci. 2014, 39, 1721–1741. [Google Scholar] [CrossRef]
- Mareri, P.; Bastide, S.; Binda, N.; Crespy, A. Mechanical Behaviour of Polypropylene Composites Containing Fine Mineral Filler: Effect of Filler Surface Treatment. Compos. Sci. Technol. 1998, 58, 747–752. [Google Scholar] [CrossRef]
- Deshmukh, S.P.; Rao, A.C.; Gaval, V.R.; Joseph, S.; Mahanwar, P.A. Effect of Particle Size and Concentration on Mechanical and Electrical Properties of the Mica Filled PVC. J. Miner. Mater. Charact. Eng. 2010, 9, 831. [Google Scholar] [CrossRef]
- Bremner, T.; Rudin, A.; Cook, D.G. Melt Flow Index Values and Molecular Weight Distributions of Commercial Thermoplastics. J. Appl. Polym. Sci. 1990, 41, 1617–1627. [Google Scholar] [CrossRef]
- Introduction to Polymer Melt Rheology and Its Application in Polymer Processing. Available online: https://www.tainstruments.com/applications-notes/introduction-to-polymer-melt-rheology-and-its-application-in-polymer-processing/ (accessed on 16 September 2025).
- Velghe, I.; Buffel, B.; Vandeginste, V.; Thielemans, W.; Desplentere, F. Review on the Degradation of Poly(Lactic Acid) during Melt Processing. Polymers 2023, 15, 2047. [Google Scholar] [CrossRef]
- Fan, Y.; Nishida, H.; Shirai, Y.; Endo, T. Racemization on Thermal Degradation of Poly(l-Lactide) with Calcium Salt End Structure. Polym. Degrad. Stab. 2003, 80, 503–511. [Google Scholar] [CrossRef]
- Russo, P.; Vitiello, L.; Sbardella, F.; Santos, J.I.; Tirillò, J.; Bracciale, M.P.; Rivilla, I.; Sarasini, F. Effect of Carbon Nanostructures and Fatty Acid Treatment on the Mechanical and Thermal Performances of Flax/Polypropylene Composites. Polymers 2020, 12, 438. [Google Scholar] [CrossRef]
- Wei, X.; Li, W.; Li, J.; Niu, X. Mussel-Inspired Polydopamine Modified Mica with Enhanced Mechanical Strength and Thermal Performance of Poly(Lactic Acid) Coating. Int. J. Biol. Macromol. 2024, 273, 133148. [Google Scholar] [CrossRef]
- Balla, E.; Daniilidis, V.; Karlioti, G.; Kalamas, T.; Stefanidou, M.; Bikiaris, N.D.; Vlachopoulos, A.; Koumentakou, I.; Bikiaris, D.N.; Balla, E.; et al. Poly(Lactic Acid): A Versatile Biobased Polymer for the Future with Multifunctional Properties—From Monomer Synthesis, Polymerization Techniques and Molecular Weight Increase to PLA Applications. Polymers 2021, 13, 1822. [Google Scholar] [CrossRef]











| PLA Ref. | M25-3.15 | M200-2.85 | M25-2.95 | M525-2.95 | M170-2.25 | |
|---|---|---|---|---|---|---|
| Particle size (µm) | - | 25 | 200 | 25 | 525 | 170 |
| Density (g/cm3) | 1.24 | 3.15 | 2.85 | 2.95 | 2.95 | 2.25 |
| Mica | - | 71.6 | 90.6 | 59.6 | - | - |
| Titanium dioxide | - | 28.4 | 19.4 | 39.6 | 2.6 | 8.7 |
| Iron oxide | - | - | - | 0.8 | - | - |
| Calcium-aluminum borosilicate | - | - | - | - | - | 90.6 |
| Tin dioxide | - | - | - | - | 0.6 | 0.7 |
| Fluorophlogopite | - | - | - | - | 96.8 | - |
| Material System | Tensile Strength (MPa) | Young’s Modulus (GPa) | Elongation at Break (%) | Impact Strength (kJ/m2) | Tg (°C) |
|---|---|---|---|---|---|
| Neat PLA | 55–63 | 2.5–3.4 | 2–6 | 2–3 | 49–53 |
| PLA/PVB (20 wt%) | 42–50 | 2.1–2.6 | 80–250 | 6–12 | 47–51 |
| PLA + Talc (5–10 wt%) | 55–65 | 3.3–4.9 | 3–8 | 2–4 | 51–56 |
| PLA + CaCO3 (10 wt%) | 48–55 | 2.9–3.6 | 6–12 | 3–5 | 50–54 |
| PLA + Montmorillonite (5 wt%) | 60–72 | 3.4–5.2 | 5–10 | 2–4 | 52–58 |
| PLA + Mica (single grade) | 52–59 | 3.5–5.0 | 4–9 | 3–5 | 53–58 |
| This study: PLA/mica (5 phr) | 46–53 | - | 4–11 | 2–3 | 52–56 |
| This study: PLA/PVB/mica (optimized) | 60–68 | - | 30–120 | 4–6 | 53–60 |
Disclaimer/Publisher’s Note: The statements, opinions and data contained in all publications are solely those of the individual author(s) and contributor(s) and not of MDPI and/or the editor(s). MDPI and/or the editor(s) disclaim responsibility for any injury to people or property resulting from any ideas, methods, instructions or products referred to in the content. |
© 2025 by the authors. Licensee MDPI, Basel, Switzerland. This article is an open access article distributed under the terms and conditions of the Creative Commons Attribution (CC BY) license.
Share and Cite
Lee, H.-w.; Lee, H.; Jang, K.-S. Compatibilizing Effects of Poly(lactic acid) (PLA)/Poly(vinyl butyral) (PVB)/Mica Composites. Polymers 2026, 18, 40. https://doi.org/10.3390/polym18010040
Lee H-w, Lee H, Jang K-S. Compatibilizing Effects of Poly(lactic acid) (PLA)/Poly(vinyl butyral) (PVB)/Mica Composites. Polymers. 2026; 18(1):40. https://doi.org/10.3390/polym18010040
Chicago/Turabian StyleLee, Hyun-woo, Hayeong Lee, and Keon-Soo Jang. 2026. "Compatibilizing Effects of Poly(lactic acid) (PLA)/Poly(vinyl butyral) (PVB)/Mica Composites" Polymers 18, no. 1: 40. https://doi.org/10.3390/polym18010040
APA StyleLee, H.-w., Lee, H., & Jang, K.-S. (2026). Compatibilizing Effects of Poly(lactic acid) (PLA)/Poly(vinyl butyral) (PVB)/Mica Composites. Polymers, 18(1), 40. https://doi.org/10.3390/polym18010040

