Printing-Path-Dominated Anisotropy in FDM-PEEK: Modulation by Build Orientation for Tensile and Shear Performance
Abstract
1. Introduction
2. Materials and Methods
2.1. Preparation Method and Variable Design
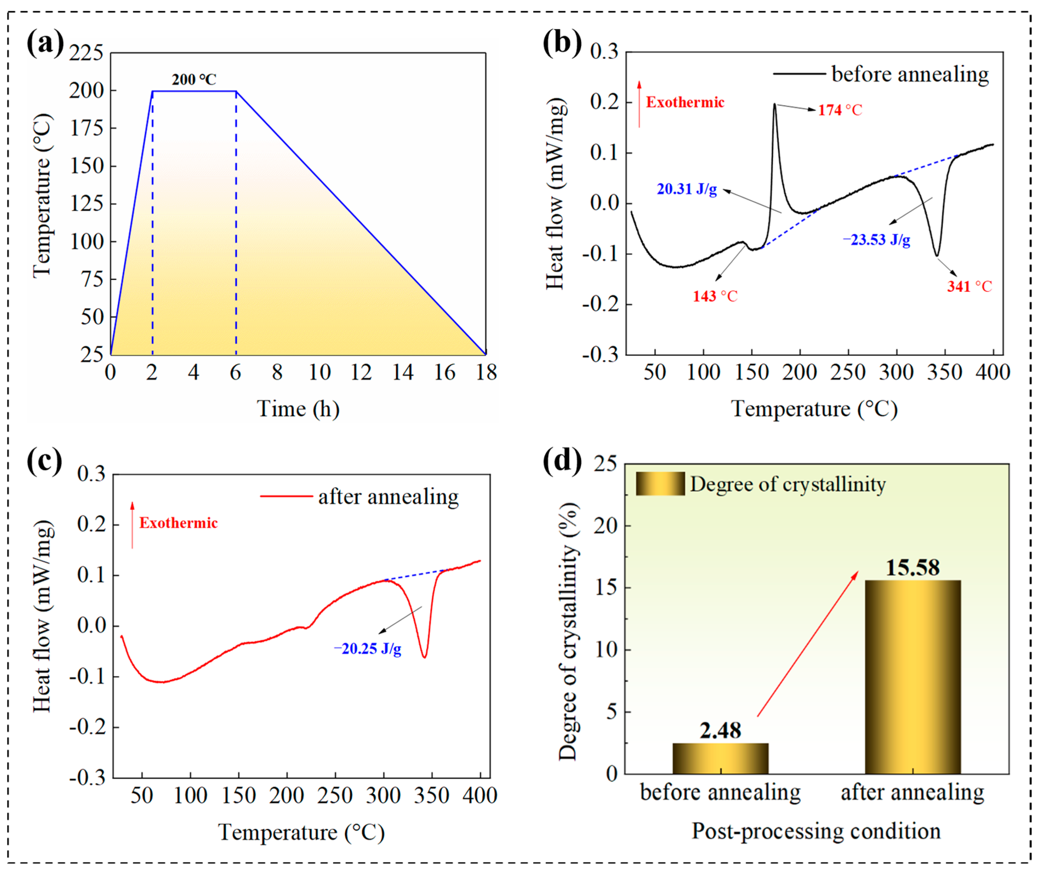
2.2. Mechanical Testing and Microscopic Characterization
3. Results and Discussion
3.1. Tensile Performance Analysis
3.1.1. Analysis of the Influence of Printing Path on Tensile Properties
3.1.2. Analysis of the Influence of Build Orientation on Tensile Properties
3.2. Shear Performance Analysis
3.2.1. Analysis of the Influence of Printing Path on Shear Performance
3.2.2. Analysis of the Influence of Build Orientation on Shear Performance
4. Conclusions
Author Contributions
Funding
Institutional Review Board Statement
Data Availability Statement
Conflicts of Interest
Abbreviations
| FDM | Fused deposition modeling |
| PEEK | Polyether ether ketone |
References
- Gupta, V.; Thiruselvam, N.I.; Kulkarni, D.M.; Chaudhari, V.V.; Suraj, S. On enhancing isotropy and strength of additive manufactured carbon fiber reinforced polyether ether ketone using a multi-raster layup strategy. Eng. Fail. Anal. 2025, 182, 110073. [Google Scholar] [CrossRef]
- Cvrček, L.; Krčil, J.; Musílková, J.; Musílková, V.; Bačáková, L.; Nehasil, V.; Denk, F.; Čejka, Z. Nanostructured TiNb coating improves the bioactivity of 3D printed PEEK. Mater. Des. 2022, 224, 111312. [Google Scholar] [CrossRef]
- McLaughlin, J.W.; Tobin, E.; O’Higgins, R.M. An investigation of Polyether Imide (PEI) toughening of carbon fibre-reinforced Polyether Ether Ketone (PEEK) laminates. Mater. Des. 2021, 212, 110189. [Google Scholar] [CrossRef]
- Maloney, A.; Major, I.; Gately, N.; Devine, D.M. Exploring Process-Structure–Property Relationships of PEKK and PEEK in Fused Filament Fabrication. J. Appl. Polym. Sci. 2025, 142, e57347. [Google Scholar] [CrossRef]
- Bashir, M.N.; Lee, J.S.; Bou-Rabee, M.A.; Mohamed, H.G.; Zhou, D.; Badruddin, I.A.; Fazal, M.A.; Masood, Z. Investigation of process parameter influence on the mechanical properties of FDM-printed PEEK-carbon fiber composites using RSM and Taguchi methods. J. Mater. Res. Technol. 2025, 36, 10199–10209. [Google Scholar] [CrossRef]
- Oladapo, B.I.; Zahedi, S.A.; Ismail, S.O.; Omigbodun, F.T.; Bowoto, O.K.; Olawumi, M.A.; Muhammad, M.A. 3D printing of PEEK–cHAp scaffold for medical bone implant. Bio-Des. Manuf. 2021, 4, 44–59. [Google Scholar] [CrossRef]
- Wang, H.; Zhao, D.; Jin, Y.; Wang, M.; You, Z.; Yu, G. Study of collapsed deformation and energy absorption of polymeric origami-based tubes with viscoelasticity. Thin-Walled Struct. 2019, 144, 106246. [Google Scholar] [CrossRef]
- Song, X.H.; Shi, D.W.; Song, P.H.; Han, X.G.; Wei, Q.S.; Huang, C.M. Fused deposition modeling of poly(ether ether ketone) scaffolds. High Temp. Mater. Process. 2021, 40, 1–11. [Google Scholar] [CrossRef]
- Rinaldi, M.; Ghidini, T.; Cecchini, F.; Brandao, A.; Nanni, F. Additive layer manufacturing of poly (ether ether ketone) via FDM. Compos. Part B Eng. 2018, 145, 162–172. [Google Scholar] [CrossRef]
- Zotti, A.; Paduano, T.; Napolitano, F.; Zuppolini, S.; Zarrelli, M.; Borriello, A. Fused deposition modeling of polymer composites: Development, properties and applications. Polymers 2025, 17, 1054. [Google Scholar] [CrossRef]
- Wang, P.; Zou, B.; Ding, S.; Huang, C.; Shi, Z.; Ma, Y.; Yao, P. Preparation of short CF/GF reinforced PEEK composite filaments and their comprehensive properties evaluation for FDM-3D printing. Compos. Part B Eng. 2020, 198, 108175. [Google Scholar] [CrossRef]
- Li, Q.; Zhao, W.; Niu, B.; Wang, Y.; Wu, X.; Ji, J.; Li, Y.; Zhao, T.; Li, H.; Wang, G. 3D printing high interfacial bonding polyether ether ketone components via pyrolysis reactions. Mater. Des. 2021, 198, 109333. [Google Scholar] [CrossRef]
- Buj-Corral, I.; Zayas-Figueras, E.E. Comparative study about dimensional accuracy and form errors of FFF printed spur gears using PLA and Nylon. Polym. Test. 2023, 117, 107862. [Google Scholar] [CrossRef]
- Yao, J.; Duongthipthewa, A.; Xu, X.; Liu, M.; Xiong, Y.; Zhou, L. Interlayer bonding improvement of PEEK and CF-PEEK composites with laser-assisted fused deposition modeling. Compos. Commun. 2024, 45, 101819. [Google Scholar] [CrossRef]
- Lin, Z.; Guo, R.; Lyu, Y.; Liu, D.; Zhu, J.; Wu, L.; Wang, X. Enhanced interlayer adhesion and regulated tribological behaviors of 3D printed poly(ether ether ketone) by annealing. Tribol. Int. 2025, 202, 110362. [Google Scholar] [CrossRef]
- Gao, J.; Li, W.; Wang, J.; Wang, X.; Sha, C.; Zhao, K. Comprehensive analysis of fused deposition modeling process conditions for enhancing mechanical properties and surface quality of 3D-Printed poly-ether-ether-ketone. Polym. Test. 2024, 134, 108432. [Google Scholar] [CrossRef]
- Sun, Q.; Wen, X.; Yin, G.; Jia, Z.; Yang, X. Thermodynamic coupling forming performance of short fiber-reinforced peek by additive manufacturing. Polymers 2024, 16, 1789. [Google Scholar] [CrossRef]
- Billè, E.; Franulović, M.; Gambitta, A.; Liović, D.; Rondinella, A.; Scalzo, F.; Sortino, M.; Totis, G.; Vaglio, E. Experimental investigation on the effect of the Fused Deposition Modeling parameters on the processing of Polyether Ether Ketone. J. Mater. Res. Technol. 2025, 36, 8007–8021. [Google Scholar] [CrossRef]
- Deng, X.; Zeng, Z.; Peng, B.; Yan, S.; Ke, W. Mechanical properties optimization of poly-ether-ether-ketone via fused deposition modeling. Materials 2018, 11, 216. [Google Scholar] [CrossRef] [PubMed]
- Wu, W.; Geng, P.; Li, G.; Zhao, D.; Zhang, H.; Zhao, J. Influence of layer thickness and raster angle on the mechanical properties of 3d-printed peek and a comparative mechanical study between peek and abs. Materials 2015, 8, 5834–5846. [Google Scholar] [CrossRef]
- Arif, M.F.; Kumar, S.; Varadarajan, K.M.; Cantwell, W.J. Performance of biocompatible PEEK processed by fused deposition additive manufacturing. Mater. Des. 2018, 146, 249–259. [Google Scholar] [CrossRef]
- Geng, P.; Zhao, J.; Wu, W.; Ye, W.; Wang, Y.; Wang, S.; Zhang, S. Effects of extrusion speed and printing speed on the 3D printing stability of extruded PEEK filament. J. Manuf. Process. 2019, 37, 266–273. [Google Scholar] [CrossRef]
- Hu, B.; Duan, X.; Xing, Z.; Xu, Z.; Du, C.; Zhou, H.; Chen, R.; Shan, B. Improved design of fused deposition modeling equipment for 3D printing of high-performance PEEK parts. Mech. Mater. 2019, 137, 103139. [Google Scholar] [CrossRef]
- Wu, W.Z.; Geng, P.; Zhao, J.; Zhang, Y.; Rosen, D.W.; Zhang, H.B. Manufacture and thermal deformation analysis of semicrystalline polymer polyether ether ketone by 3D printing. Mater. Res. Innov. 2014, 18, S5-12–S15-16. [Google Scholar] [CrossRef]
- Ding, S.; Zou, B.; Wang, P.; Ding, H. Effects of nozzle temperature and building orientation on mechanical properties and microstructure of PEEK and PEI printed by 3D-FDM. Polymer Test. 2019, 78, 105948. [Google Scholar] [CrossRef]
- Yang, C.; Tian, X.; Li, D.; Cao, Y.; Zhao, F.; Shi, C. Influence of thermal processing conditions in 3D printing on the crystallinity and mechanical properties of PEEK material. J. Mater. Process. Technol. 2017, 248, 1–7. [Google Scholar] [CrossRef]
- Rinaldi, M.; Cecchini, F.; Pigliaru, L.; Ghidini, T.; Lumaca, F.; Nanni, F. Additive manufacturing of polyether ether ketone (peek) for space applications: A nanosat polymeric structure. Polymers 2020, 13, 11. [Google Scholar] [CrossRef] [PubMed]
- Adamson, M.; Eslami, B. Post-processing peek 3d-printed parts: Experimental investigation of annealing on microscale and macroscale properties. Polymers 2025, 17, 744. [Google Scholar] [CrossRef]
- Zhen, H.; Zhao, B.; Quan, L.; Fu, J. Effect of 3D Printing Process Parameters and Heat Treatment Conditions on the Mechanical Properties and Microstructure of PEEK Parts. Polymers 2023, 15, 2209. [Google Scholar] [CrossRef] [PubMed]
- Wang, P.; Zou, B. Improvement of heat treatment process on mechanical properties of fdm 3d-printed short- and continuous-fiber-reinforced peek composites. Coatings 2022, 12, 827. [Google Scholar] [CrossRef]
- Alagheband, M.; Kosarimovahhed, M.; Zhang, Q.; Jung, S. Creep and failure of 3D-printed polymers: Impact of infill patterns and densities on shear strain and strength. Eng. Fail. Anal. 2025, 175, 109568. [Google Scholar] [CrossRef]
- Burnett, C.; Graninger, G.; Eren, Z.; Falzon, B.G.; Kazancı, Z. Tensile performance of carbon fibre-reinforced 3D-printed polymers: Effect of printing parameters. Eng. Fail. Anal. 2025, 175, 109577. [Google Scholar] [CrossRef]
- ISO 527; Plastics—Determination of Tensile Properties—Part 1: General Principles. International Organization for Standardization: Geneva, Switzerland, 2019.
- ASTM D7078; Standard Test Method for Shear Properties of Composite Materials by V-Notched Rail Shear Method. ASTM International: West Conshohocken, PA, USA, 2020.
- Xu, Z.; Razavi, N. Exploring the impact of thickness, scale and printing sequence on the tensile and fracture properties of PLA specimens fabricated via fused deposition modeling. Eng. Fail. Anal. 2024, 163, 108587. [Google Scholar] [CrossRef]
- Purslow, D. Some fundamental aspects of composites fractography. Composites 1981, 12, 241–247. [Google Scholar] [CrossRef]
- Cheng-Shuo, W.; Deng-Yi, Y.; Hao-Hao, R.; Yan-Zhao, H.; Chu-Feng, S.; Hong-Mei, Z.; Ting-Ting, L.; Xiang-Fei, Z.; Rui, G. Research progress on process optimization of 3d-printed poly(ether ether ketone) by fused deposition modeling. Polym. Bull. 2024, 37, 316–327. [Google Scholar]
- Jayaraghul, T.K.; Karthik, K.; Yaswanth, A.; Venkatesan, M. Nozzle flow characteristics of P.E.E.K (Poly-ether ether ketone) material used in 3D-printing. Mater. Today Proc. 2021, 44, 2963–2967. [Google Scholar] [CrossRef]
- Huang, C.; Lv, D.; Zhu, Y.; Chen, G.; Chen, M.; Zhang, Y.; Han, Y.; Wu, H. Influences of heat treatment on mechanical properties of SCF/PEEK composites in FDM-3D printing process with UV laser assistance. Polym. Compos. 2024, 45, 12597–12610. [Google Scholar] [CrossRef]
- Li, Y.; Lou, Y. Tensile and Bending Strength Improvements in PEEK Parts Using Fused Deposition Modelling 3D Printing Considering Multi-Factor Coupling. Polymers 2020, 12, 2497. [Google Scholar] [CrossRef]
- Rinaldi, M.; Bragaglia, M.; Nanni, F. Mechanical performance of 3D printed polyether-ether-ketone nanocomposites: An experimental and analytic approach. Compos. Struct. 2023, 305, 116459. [Google Scholar] [CrossRef]














| Nozzle Diameter (mm) | Nozzle Temperature (°C) | Platform Temperature (°C) | Chamber Temperature (°C) | Layer Height (mm) | Printing Speed (mm/s) | Post-Processing Condition (°C) | |
|---|---|---|---|---|---|---|---|
| Unannealed | Annealed | ||||||
| 0.4 | 420 | 123.5 | 130 | 0.15 | 120 | Natural cooling in chamber | 200 in oven |
| Printing Path | Build Orientation | ||
|---|---|---|---|
| T | W | L | |
| T | -- | W-T | L-T |
| W | T-W | -- | L-W |
| L | T-L | W-L | -- |
| Spec-imen | Tensile Properties | Shear Properties | |||||||
|---|---|---|---|---|---|---|---|---|---|
| Modulus (GPa) | Yield Strength (MPa) | Strain at Break (%) | Fracture Mode | Shear Modulus (GPa) | Ultimate Shear Strength (MPa) | 0.2% Offset Shear Strength (MPa) | Ultimate Shear Strain | Damage Mode | |
| L-W | 1.83 ± 0.07 | 14.72 ± 1.81 | 0.73 ± 0.15 | B | 1.21 ± 0.02 | 38.8 ± 1.99 | 29.07 ± 1.43 | 0.05 | T |
| L-T | 2.06 ± 0.07 | 22.68 ± 2.57 | 1.14 ± 0.14 | B | 1.28 ± 0.03 | 41.53 ± 0.65 | 31.6 ± 0.66 | 0.05 | P |
| T-L | 2.64 ± 0.04 | 68.18 ± 0.30 | 47.25 ± 7.35 | D | 1.14 ± 0.04 | 32.50 ± 0.46 | 22.83 ± 0.65 | 0.05 | P |
| T-W | 1.51 ± 0.07 | 28.90 ± 2.70 | 2.51 ± 0.18 | B | 1.12 ± 0.03 | 32.4 ± 2.78 | 24.87 ± 0.75 | 0.05 | T |
| W-L | 2.66 ± 0.04 | 64.79 ± 1.11 | 96.60 ± 2.11 | D | 1.10 ± 0.03 | 35.53 ± 1.17 | 25.23 ± 0.6 | 0.05 | P |
| W-T | 1.74 ± 0.16 | 37.45 ± 1.05 | 4.28 ± 0.34 | B | 1.31 ± 0.04 | 40.63 ± 3.06 | 27.77 ± 4.43 | 0.0411 ± 0.06 | P |
| Median (P25, P75) | H | p | |||
|---|---|---|---|---|---|
| L | W | T | |||
| Tensile modulus | 2.65 (2.62, 2.68) | 1.67 (1.49, 1.86) a | 1.94 (1.71, 2.09) | 12.81 | 0.002 ** |
| Yield strength | 66.96 (64.38, 68.2) | 21.3 (14.42, 29.58) a | 30.56 (22.6, 37.71) a | 12.316 | 0.002 ** |
| Strain at break | 74.72 (45.46, 96.72) | 1.64 (0.65, 2.52) a | 2.6 (1.07, 4.42) a | 13.316 | 0.003 ** |
| Shear modulus | 1.12 (1.1, 1.15) | 1.17 (1.11, 1.21) | 1.3 (1.27, 1.33) ab | 12.089 | 0.002 ** |
| 0.2% Offset shear strength | 24.05 (22.65, 25.43) | 26.4 (24.98, 29.63) | 31.15 (27.6, 31.7) a | 7.092 | 0.029 * |
| Ultimate shear strength | 33.7 (32.45, 35.68) | 36.5 (31.4, 38.55) | 41.85 (39.95, 42.4) a | 9.565 | 0.008 ** |
| Ultimate shear strain | 0.05(0.05, 0.05) | 0.05(0.05, 0.05) | 0.048(0.04, 0.05) | 6.733 | 0.035 * |
| Median (P25, P75) | H | p | |||
|---|---|---|---|---|---|
| L | W | T | |||
| Tensile modulus | 1.94 (1.82, 2.09) | 2.26 (1.71, 2.67) | 2.08 (1.49, 2.65) | 0.589 | 0.745 |
| Yield strength | 18.1 (14.42, 23.83) | 51.15 (37.18, 64.93) a | 49.76 (28.23, 68.20) a | 11.368 | 0.003 ** |
| Strain at break | 0.98 (0.65, 1.13) | 49.72 (4.25, 96.72) a | 21.3 (2.43, 49.13) a | 12.316 | 0.002 ** |
| Shear modulus | 1.24 (1.2, 1.29) | 1.2 (1.1, 1.33) | 1.12 (1.11, 1.16) | 5.576 | 0.062 |
| 0.2% Offset shear strength | 30.65 (28.93, 31.7) | 25.55 (24.15, 29.73) | 23.75 (22.65, 25.3) a | 10.46 | 0.005 ** |
| Ultimate shear strength | 41 (37.68, 41.68) | 36.95 (35.1, 42.4) | 32.3 (31.4, 33.53) a | 10.725 | 0.005 ** |
| Ultimate shear strain | 0.05(0.05, 0.05) | 0.048(0.04, 0.05) | 0.05(0.05, 0.05) | 6.733 | 0.035 * |
| Sample Name | Measured Width Wm (mm) | Measured Thickness Tm (mm) | Cross-Sectional Area Am (mm2) | ||||||||||
|---|---|---|---|---|---|---|---|---|---|---|---|---|---|
| Wm,1 | Wm,2 | Wm,3 | Wm,4 | Wm,5 | Wm | Tm,1 | Tm,2 | Tm,3 | Tm,4 | Tm,5 | Tm | Am | |
| T-L | 9.92 | 9.91 | 9.91 | 10.09 | 10.10 | 9.99 | 3.95 | 3.94 | 3.94 | 3.94 | 3.95 | 3.94 | 39.36 |
| T-W | 10.51 | 10.52 | 10.52 | 10.49 | 10.51 | 10.51 | 4.03 | 4.04 | 4.04 | 4.04 | 4.06 | 4.04 | 42.46 |
| W-L | 10.47 | 10.49 | 10.44 | 10.48 | 10.50 | 10.48 | 4.31 | 4.32 | 4.30 | 4.31 | 4.31 | 4.31 | 45.19 |
| W-T | 10.56 | 10.59 | 10.55 | 10.61 | 10.55 | 10.57 | 4.35 | 4.26 | 4.22 | 4.34 | 4.33 | 4.30 | 45.45 |
| L-W | 10.38 | 10.39 | 10.40 | 10.39 | 10.41 | 10.39 | 4.43 | 4.40 | 4.45 | 4.32 | 4.39 | 4.39 | 45.61 |
| L-T | 10.17 | 10.24 | 10.17 | 10.16 | 10.23 | 10.19 | 4.42 | 4.43 | 4.44 | 4.43 | 4.45 | 4.43 | 45.14 |
Disclaimer/Publisher’s Note: The statements, opinions and data contained in all publications are solely those of the individual author(s) and contributor(s) and not of MDPI and/or the editor(s). MDPI and/or the editor(s) disclaim responsibility for any injury to people or property resulting from any ideas, methods, instructions or products referred to in the content. |
© 2025 by the authors. Licensee MDPI, Basel, Switzerland. This article is an open access article distributed under the terms and conditions of the Creative Commons Attribution (CC BY) license.
Share and Cite
Liu, K.; Chen, W.; Shan, F.; Wang, H.; Li, K. Printing-Path-Dominated Anisotropy in FDM-PEEK: Modulation by Build Orientation for Tensile and Shear Performance. Polymers 2026, 18, 41. https://doi.org/10.3390/polym18010041
Liu K, Chen W, Shan F, Wang H, Li K. Printing-Path-Dominated Anisotropy in FDM-PEEK: Modulation by Build Orientation for Tensile and Shear Performance. Polymers. 2026; 18(1):41. https://doi.org/10.3390/polym18010041
Chicago/Turabian StyleLiu, Kui, Wei Chen, Feihu Shan, Hairui Wang, and Kai Li. 2026. "Printing-Path-Dominated Anisotropy in FDM-PEEK: Modulation by Build Orientation for Tensile and Shear Performance" Polymers 18, no. 1: 41. https://doi.org/10.3390/polym18010041
APA StyleLiu, K., Chen, W., Shan, F., Wang, H., & Li, K. (2026). Printing-Path-Dominated Anisotropy in FDM-PEEK: Modulation by Build Orientation for Tensile and Shear Performance. Polymers, 18(1), 41. https://doi.org/10.3390/polym18010041

