Sustainable Medical Materials: AI-Driven Assessment for Mechanical Performance of UVC-Treated Date Palm Epoxy Composites
Abstract
1. Introduction
1.1. Background
1.1.1. Composite Natural Materials
- Biodegradable Surgical Sutures: Natural composite materials are employed in the production of biodegradable surgical sutures. Polylactic acid (PLA), a biodegradable polymer matrix, is frequently reinforced with natural fibers like flax or silk to enhance mechanical properties [11].
- Wound Dressings: In wound dressings and bandages, natural fiber composites such as cotton or cellulose are integrated into biopolymer matrices for their biocompatibility and healing properties [11].
- Bone Implants and Scaffolds: Composite materials reinforced with natural fibers, such as bamboo, jute, or sisal, combined with biodegradable polymers, mimic the mechanical properties of bone and support tissue regeneration [11].
- Other Medical Applications: Natural composite materials are also used in dental materials, drug delivery systems, orthopedic devices, prosthetics, tissue engineering scaffolds, and cardiovascular devices. These materials provide an optimal balance of strength, flexibility, and biodegradability, making them highly promising for sustainable medical practices [11].
1.1.2. UV Irradiation and Its Effects on Mechanical Properties
1.2. Literature Review
1.2.1. Date Palm Seeds in Industrial Applications
1.2.2. AI Applications in Biomaterials
1.3. Problem Statement
1.4. Objectives of the Study
- To explore and repurpose locally available materials, specifically recycled date kernel powder, from Middle Eastern countries for potential use in medical applications.
- To design and conduct tensile and compression tests to evaluate the impact of UVC radiation disinfection on the mechanical properties of these materials, following ASTM standards.
- To assess the suitability of these materials for prolonged medical use by measuring changes in their mechanical properties post-disinfection and evaluating their durability over time.
- To apply AI-assisted analysis techniques to enhance the accuracy and reliability of mechanical property assessments by filtering out inconsistent test results.
2. Materials and Methods
2.1. Material Selection and Specimen Fabrication
Molding Process
2.2. Geometrical Data of Tensile and Compression Specimens
2.2.1. Tensile Specimens
2.2.2. Compression Specimens
2.3. The Role of UV Radiation in the Deactivation of Viruses and Bacteria
2.3.1. UV Irradiation Enclosure
2.3.2. Exposure Time Calculations
2.4. K-Nearest Curve Similarity Estimation for AI-Assisted Pattern Recognition
- Reading the data (input curves): The curves represent the different stress–strain relationships of materials (or other mechanical properties):
- The data for five different curves are read from an Excel file.
- Each curve has two columns: X-values (strain) and Y-values (stress).
- Five curves are extracted from the file and stored in a structure that allows for easy comparison later.
- Combining the curves for distance calculations: All extracted curves are stored in a data structure (such as a cell array) so that they can be processed together:
- The total number of curves is counted.
- A distance matrix is initialized to store the pairwise distances between the curves.
- Calculating pairwise distances using Euclidean distance: The code calculates the Euclidean distance between each pair of curves. The Euclidean distance measures the “closeness” between two sets of points by comparing the difference in Y-values (stress) relative to the same X-values (strain).For each pair of curves, the following steps occur:
- Calculate the difference in Y-values between the two curves at corresponding points.
- Use the Euclidean distance formula to compute the distance between the two curves.
The Euclidean distance formula is as follows:where and are the Y-values of two curves.- Store the result in the distance matrix, which keeps track of the distance between every pair of curves.
- KNN to find the three nearest curves: Once the distance matrix is complete, the k-nearest neighbor (KNN) algorithm is applied to find the three most similar curves:
- For each curve, sum the distances relative to all other curves. This gives a sense of how close each curve is to the others overall.
- Sort the curves based on these total distances.
- Select the three curves with the smallest total distances. These are considered the most similar curves.
- Visualization of the results: The code then visualizes the results using two main techniques:
- A heatmap is created to display the distance matrix, where similar curves appear with smaller distances, and dissimilar ones appear with larger distances.
- The three nearest curves are highlighted both in the heatmap and on a plot that shows all five curves. The three nearest curves are marked with distinct visual indicators (e.g., red lines).
- Pattern Recognition Aspect: The process of finding the nearest curves based on distance is a form of pattern recognition:
- The curves represent patterns in how materials behave under stress (i.e., stress–strain relationships).
- By finding the three most similar curves, the code is identifying materials with similar mechanical properties based on their patterns.
2.5. T-Test with Two Samples
3. Results and Discussion
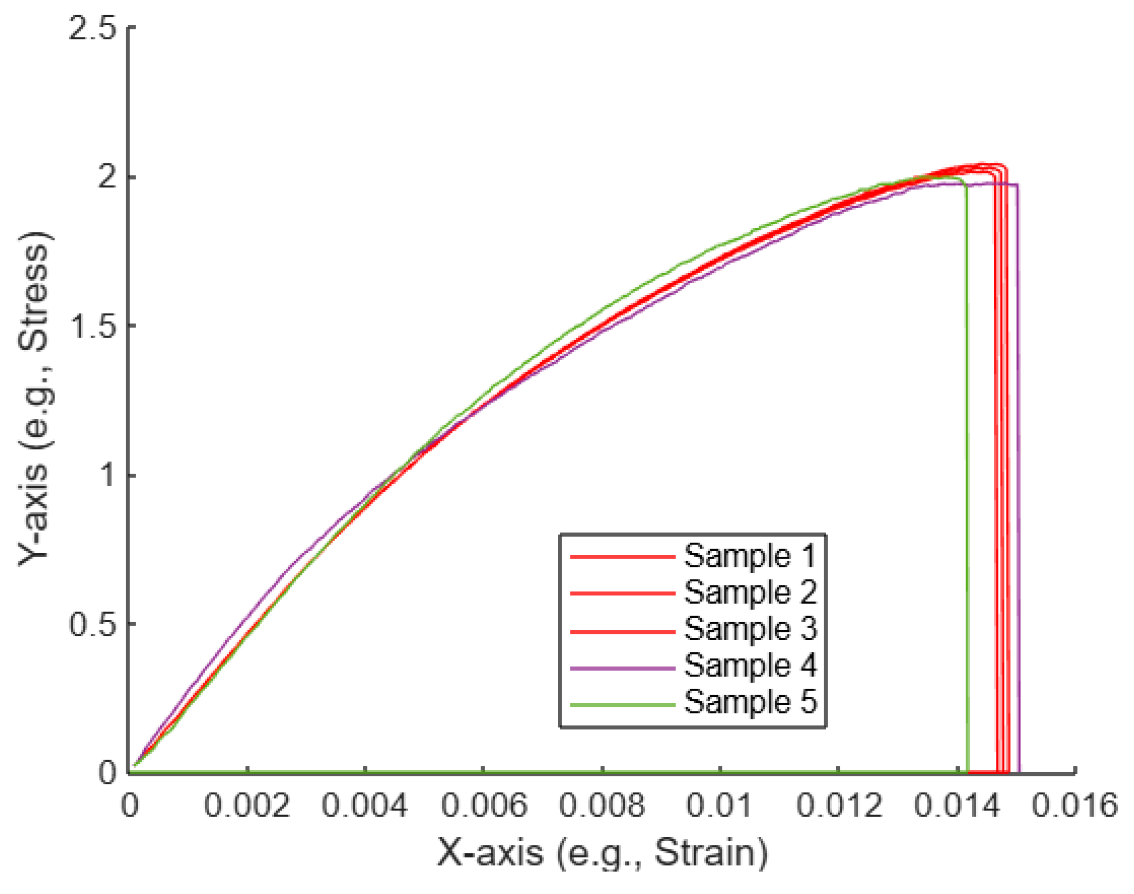
3.1. Tensile Test for Untreated Specimens
After Applying AI-Assisted Curve Selection for the Five Untreated Tensile Curves
- Curve similarity identification: The AI-assisted algorithm calculates pairwise distances between all curves by measuring the difference in their Y-values (stress) at corresponding X-values (strain). Based on these differences, the algorithm identifies the three curves that are the most similar, or “nearest,” to each other. These selected curves are highlighted in red, while the others are shown in their default colors.
- Curve behavior: All curves show similar initial trends, where the stress increases with strain, reaching a peak before dropping off. However, slight variations in the peak and the tail of each curve cause differences in their pairwise distances, leading to the distinction between the selected and non-selected curves.
- AI-assisted decision: The algorithm objectively selects the three nearest curves by minimizing the total distance between the curves in the dataset. These curves are presumably the ones that behave more similarly in terms of stress–strain relationships, indicating they may have undergone similar conditions or material properties during the experiment.
- Practical implications: By using an AI-assisted approach, the selection of similar curves is automated, which allows for faster, more reliable analysis. In this case, the identified curves could be investigated further to understand what factors caused their similarity. This could be useful in material testing, where identifying the most consistent results is essential for evaluating material properties.
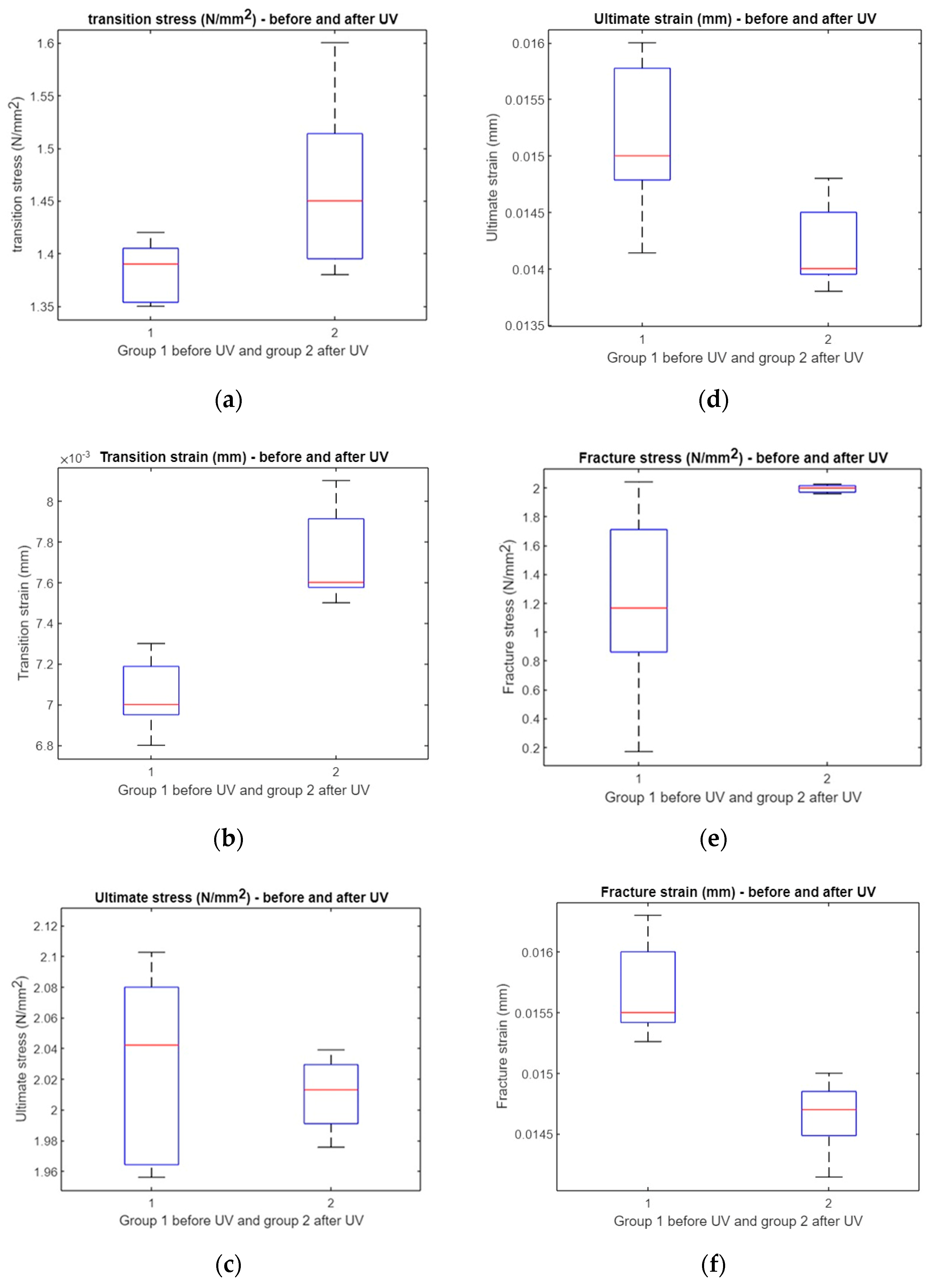
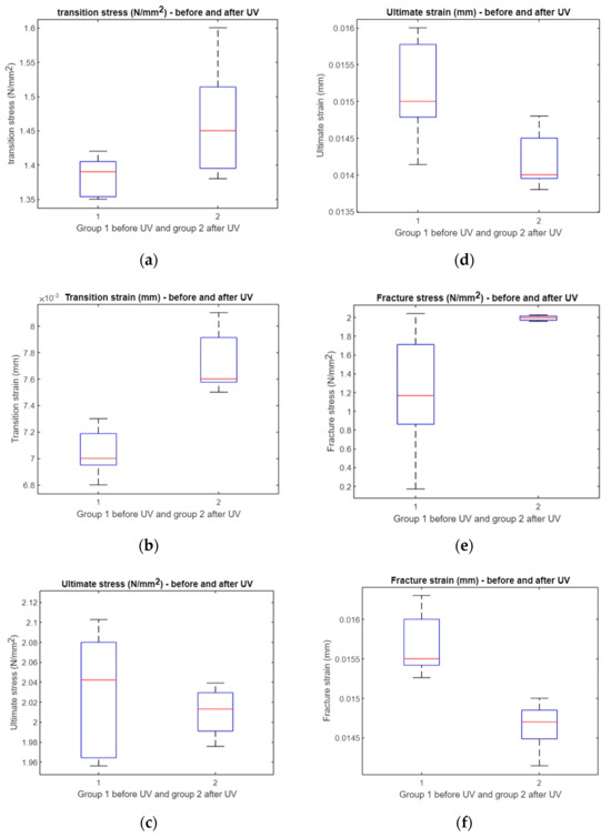
3.2. Tensile Test for UV-Treated Specimens
After Appling AI-Assisted Curve Selection for the Five UV-Treated Tensile Curves
3.3. T-Test for Tensile Test Specimens
3.3.1. Statistical Comparison of Mechanical Properties Before AI Analysis
3.3.2. Statistical Comparison of Mechanical Properties After AI Analysis
3.3.3. Comparison Between Before and After AI for Tensile Test Specimens
3.4. Compression Test for Untreated Specimens with UV
After Appling AI-Assisted Curve Selection for the Five Untreated Compression Curves
3.5. Compression Test for Treated Specimens with UV
After Appling AI-Assisted Curve Selection for the Five UV-Treated Compression Curves
3.6. T-Test for Compression Test Specimens
3.6.1. Statistical Comparison of Compressed Specimens Before AI Analysis
3.6.2. Statistical Comparison of Compressed Specimens After AI Analysis
3.6.3. Comparison Between Before and After AI for Compression Test Specimens
4. Discussion
4.1. Results Before Using AI for Tensile and Compression Tests
4.2. Results of Tensile and Compression Tests: UVC Treatment vs. Untreated
4.3. AI-Driven Curve Selection and Analysis of UVC Effects with Quantified Impact
4.3.1. Effect of UVC on Mechanical Properties
- Tensile Test:
- 2.
- Compression Test
4.3.2. Key Findings
4.3.3. Future Work
5. Conclusions
Author Contributions
Funding
Data Availability Statement
Acknowledgments
Conflicts of Interest
References
- Jonoobi, M.; Shafie, M.; Shirmohammadli, Y.; Ashori, A.; Zarea-Hosseinabadi, H.; Mekonnen, T. A review on date palm tree: Properties, characterization and its potential applications. J. Renew. Mater. 2019, 7, 1055–1075. [Google Scholar] [CrossRef]
- Ghori, W.; Saba, N.; Jawaid, M.; Asim, M. A review on date palm (phoenix dactylifera) fibers and its polymer composites. IOP Conf. Ser. Mater. Sci. Eng. 2018, 368, 012009. [Google Scholar] [CrossRef]
- Ashori, A.; Nourbakhsh, A.; Karegarfard, A. Properties of medium density fiberboard based on bagasse fibers. J. Compos. Mater. 2009, 43, 1927–1934. [Google Scholar] [CrossRef]
- Han, G.; Umemura, K.; Zhang, M.; Honda, T.; Kawai, S. Development of high-performance UF-bonded reed and wheat straw medium-density fiberboard. J. Wood Sci. 2001, 47, 350–355. [Google Scholar] [CrossRef]
- Sivarajasekar, N.; Prakashmaran, J.; Naushad, M. Recent Updates on Heavy Metal Remediation Using Date Stones (Phoenix dactylifera L.)—Date Fruit Processing Industry Waste. In Sustainable Agriculture Reviews 34: Date Palm for Food, Medicine and the Environment; Springer: Cham, Switzerland, 2019; pp. 193–206. [Google Scholar] [CrossRef]
- Agoudjil, B.; Benchabane, A.; Boudenne, A.; Ibos, L.; Fois, M. Renewable materials to reduce building heat loss: Characterization of date palm wood. Energy Build. 2011, 43, 491–497. [Google Scholar] [CrossRef]
- Torigoe, K.; Hasegawa, S.; Numata, O.; Yazaki, S.; Matsunaga, M.; Boku, N.; Hiura, M.; Ino, H. Influence of emission from rice straw burning on bronchial asthma in children. Pediatr. Int. 2000, 42, 143–150. [Google Scholar] [CrossRef]
- Bashah, M. Date variety in the Kingdom of Saudi Arabia. In King Abdulaziz Univ. Guidance Booklet Palms and Dates; King Abdulaziz University Press: Riyadh, Saudi Arabia, 1996; pp. 1225–1319. [Google Scholar]
- Muthusaravanan, S.; Sivarajasekar, N.; Vivek, J.S.; Vasudha Priyadharshini, S.; Paramasivan, T.; Dhakal, N.; Naushad, M. Research Updates on Heavy Metal Phytoremediation: Enhancements, Efficient Post-harvesting Strategies and Economic Opportunities. In Green Materials for Wastewater Treatment; Springer: Cham, Switzerland, 2020; pp. 191–222. [Google Scholar] [CrossRef]
- Sivarajasekar, N.; Mohanraj, N.; Sivamani, S.; Moorthy, G.I. Response surface methodology approach for optimization of lead(II) adsorptive removal by Spirogyra sp. biomass. J. Environ. Biotechnol. Res. 2017, 6, 88–95. [Google Scholar]
- Rajisha, K.R.; Deepa, B.; Pothan, L.A.; Thomas, S. Thermomechanical and spectroscopic characterization of natural fibre composites. In Interface Engineering of Natural Fibre Composites for Maximum Performance; Woodhead Publishing: Cambridge, UK, 2011; pp. 241–274. [Google Scholar] [CrossRef]
- Coohill, T.P.; Sagripanti, J. Overview of the Inactivation by 254 nm Ultraviolet Radiation of Bacteria with Particular Relevance to Biodefense. Photochem. Photobiol. 2008, 84, 1084–1090. [Google Scholar] [CrossRef]
- Vatansever, F.; Ferraresi, C.; de Sousa, M.V.P.; Yin, R.; Rineh, A.; Sharma, S.K.; Hamblin, M.R. Can biowarfare agents be defeated with light? Virulence 2013, 4, 796–825. [Google Scholar] [CrossRef]
- Aboamer, M.A.; Elgohary, D.H.; Almukil, A.A.; Aboamer, A.A.; Alarifi, I.M.; Bakouri, M.; Mohamed, N.A.R. A comparative study of mechanical behavior of ABS material based on UVC sterilization for medical usage. J. Mech. Sci. Technol. 2022, 36, 3373–3385. [Google Scholar] [CrossRef]
- Batista, L.F.; Roos, W.P.; Kaina, B.; Menck, C.F. p53 Mutant Human Glioma Cells Are Sensitive to UV-C-Induced Apoptosis Due to Impaired Cyclobutane Pyrimidine Dimer Removal. Mol. Cancer Res. 2009, 7, 237–246. [Google Scholar] [CrossRef] [PubMed]
- Song, K.; Taghipour, F.; Mohseni, M. Microorganisms inactivation by wavelength combinations of ultraviolet light-emitting diodes (UV-LEDs). Sci. Total Environ. 2019, 665, 1103–1110. [Google Scholar] [CrossRef]
- Rokbi, M.; Osmani, H.; Imad, A.; Benseddiq, N. Effect of chemical treatment on flexure properties of natural fiber-reinforced polyester composite. Procedia Eng. 2011, 10, 2092–2097. [Google Scholar] [CrossRef]
- Ali-Mohamed, A.Y.; Khamis, A.S.H. Mineral ion content of the seeds of six cultivars of Bahraini date palm (Phoenix dactylifera). J. Agric. Food Chem. 2004, 52, 6522–6525. [Google Scholar] [CrossRef] [PubMed]
- Nehdi, I.; Omri, S.; Khalil, M.I.; Al-Resayes, S.I. Characteristics and chemical composition of date palm (Phoenix canariensis) seeds and seed oil. Ind. Crops Prod. 2010, 32, 360–365. [Google Scholar] [CrossRef]
- Valášek, P.; Ruggiero, A.; Müller, M. Experimental description of strength and tribological characteristic of EFB oil palm fibres/epoxy composites with technologically undemanding preparation. Compos. Part B Eng. 2017, 122, 79–88. [Google Scholar] [CrossRef]
- Abdel-Magied, R.K.; Aly, M.F.; Elkhouly, H.I. The effect of fiber orientation on wear behavior of glass fiber-epoxy filled with particles. Ind. Lubr. Tribol. 2018, 70, 1552–1559. [Google Scholar] [CrossRef]
- Ahmed, K.S.; Vijayarangan, S.; Naidu, A.C.B. Elastic properties, notched strength and fracture criterion in untreated woven jute-glass fabric reinforced polyester hybrid composites. Mater. Des. 2007, 28, 2287–2294. [Google Scholar] [CrossRef]
- Chaudhary, A.K.; Gope, P.C.; Singh, V.K.; Verma, A.; Suman, A.R. Thermal Analysis of Epoxy Based Coconut Fiber-Almond Shell Particle Reinforced Biocomposites. Adv. Manuf. Sci. Technol. 2014, 38, 37–50. [Google Scholar] [CrossRef]
- Zahedi, M.; Khanjanzadeh, H.; Pirayesh, H.; Saadatnia, M.A. Utilization of natural montmorillonite modified with dimethyl, dehydrogenated tallow quaternary ammonium salt as reinforcement in almond shell flour-polypropylene bio-nanocomposites. Compos. Part B Eng. 2015, 71, 143–151. [Google Scholar] [CrossRef]
- Hassaini, L.; Kaci, M.; Touati, N.; Pillin, I.; Kervoelen, A.; Bruzaud, S. Valorization of olive husk flour as a filler for biocomposites based on poly(3-hydroxybutyrate-co-3-hydroxyvalerate): Effects of silane treatment. Polym. Test. 2017, 59, 430–440. [Google Scholar] [CrossRef]
- Mohanty, J.R.; Das, S.N.; Das, H.C. Effect of Fiber Content on Abrasive Wear Behavior of Date Palm Leaf Reinforced Polyvinyl Pyrrolidone Composite. ISRN Tribol. 2014, 2014, 453924. [Google Scholar] [CrossRef]
- Chang, B.P.; Akil, H.M.; Nasir, R.B.; Khan, A. Optimization on wear performance of UHMWPE composites using response surface methodology. Tribol. Int. 2015, 88, 252–262. [Google Scholar] [CrossRef]
- Annappa, A.R.; Basavarajappa, S. Studies on wear resistance of organic tamarind kernel powder filled glass-epoxy composites based on Taguchi technique. Ind. Lubr. Tribol. 2015, 67, 407–417. [Google Scholar] [CrossRef]
- Bensalah, H.; Gueraoui, K.; Essabir, H.; Rodrigue, D.; Bouhfid, R.; Qaiss, A.e.K. Mechanical, thermal, and rheological properties of polypropylene hybrid composites-based clay and graphite. J. Compos. Mater. 2017, 51, 3563–3576. [Google Scholar] [CrossRef]
- Valášek, P. Mechanical properties of polymer composites based on bioparticles (Jatropha curcas L.). J. Teknol. 2015, 76, 1–5. [Google Scholar] [CrossRef]
- García-García, D.; Carbonell, A.; Samper, M.D.; García-Sanoguera, D.; Balart, R. Green composites based on polypropylene matrix and hydrophobized spend coffee ground (SCG) powder. Compos. Part B Eng. 2015, 78, 256–265. [Google Scholar] [CrossRef]
- Huang, L.; Mu, B.; Yi, X.; Li, S.; Wang, Q. Sustainable Use of Coffee Husks For Reinforcing Polyethylene Composites. J. Polym. Environ. 2018, 26, 48–58. [Google Scholar] [CrossRef]
- Bolcu, D.; Stănescu, M.M.; Miriţoiu, C.M. Some Mechanical Properties of Composite Materials with Chopped Wheat Straw Reinforcer and Hybrid Matrix. Polymers 2022, 14, 3175. [Google Scholar] [CrossRef]
- Aboamer, M.A.; Algethami, M.; Hakami, A.; Alassaf, A.; Alqahtani, T.M.; Alresheedi, B.A.; Mohamed, N.A.R. Radiant Reinforcement: Enhancing Composite Polymer Magnet Materials Mechanical Properties with UVC Medical Disinfection. Polymers 2023, 15, 4551. [Google Scholar] [CrossRef]
- Aboamer, M.A.; Alsuayri, A.S.; Alassaf, A.; Alqahtani, T.M.; Alresheedi, B.A.; Saijari, G.N.; Osman, E.A.; Mohamed, N.A.R. Hybrid Radiant Disinfection: Exploring UVC and UVB Sterilization Impact on the Mechanical Characteristics of PLA Materials. Polymers 2023, 15, 4658. [Google Scholar] [CrossRef]
- Aboamer, M.A.; Aboamer, A.A.; Elgohary, D.H.; Alqahtani, T.M.; Abdel-Hadi, A.; Al-Mutairi, S.M.; El-Bagory, T.M.; Alshareef, K.M.; Rahman Mohamed, N.A. Comparative study of mechanical behavior of low- and high-density polyethylene based on UVB sterilization for medical usage. J. Mech. Sci. Technol. 2022, 36, 5977–5993. [Google Scholar] [CrossRef]
- Kibrete, F.; Trzepieciński, T.; Gebremedhen, H.S.; Woldemichael, D.E. Artificial Intelligence in Predicting Mechanical Properties of Composite Materials. J. Compos. Sci. 2023, 7, 364. [Google Scholar] [CrossRef]
- Guo, K.; Yang, Z.; Yu, C.-H.; Buehler, M.J. Artificial Intelligence and Machine Learning in Design of Mechanical Materials. Mater. Horiz. 2020, 8, 1153–1172. [Google Scholar] [CrossRef] [PubMed]
- ASTM D3039/D3039M-08; Standard Test Method for Tensile Properties of Polymer Matrix Composite Materials. ASTM International: West Conshohocken, PA, USA, 2014. Available online: https://www.astm.org/d3039_d3039m-08.html (accessed on 12 April 2025).
- ASTM D3410/D3410M; Standard Test Method for Compressive Properties of Polymer Matrix Composite Materials with Unsupported Gage Section by Shear Loading. ASTM International: West Conshohocken, PA, USA, 2024. Available online: https://www.astm.org/d3410_d3410m-16e01.html (accessed on 12 April 2025).
- ISO 21348:2007; Space Environment (Natural and Artificial)—Process for Determining Solar Irradiances. iTeh Standards: Etobicoke, ON, Canada, 2007. Available online: https://standards.iteh.ai/catalog/standards/sist/53aee542-8f22-4f5f-ba6b-f83d55fd21d6/iso-21348-2007 (accessed on 12 April 2025).
- Lualdi, M.; Cavalleri, A.; Bianco, A.; Biasin, M.; Cavatorta, C.; Clerici, M.; Galli, P.; Pareschi, G.; Pignoli, E. Ultraviolet C lamps for disinfection of surfaces potentially contaminated with SARS-CoV-2 in critical hospital settings: Examples of their use and some practical advice. BMC Infect. Dis. 2021, 21, 594. [Google Scholar] [CrossRef]
- Bentancor, M.; Vidal, S. Programmable and low-cost ultraviolet room disinfection device. HardwareX 2018, 4, e00046. [Google Scholar] [CrossRef]
- Liang, G.; Fu, W.; Wang, K. Analysis of t-test misuses and SPSS operations in medical research papers. Burn. Trauma 2019, 7, 31. [Google Scholar] [CrossRef]
- Usman, M. On Consistency and Limitation of Independent t-test, Kolmogorov-Smirnov Test, and Mann-Whitney U Test. IOSR J. Math. 2016, 12, 22–27. Available online: https://www.iosrjournals.org/iosr-jm/papers/Vol12-issue4/Version-5/E1204052227.pdf (accessed on 12 April 2025). [CrossRef]























| Specimen’s Group | Inner Length [mm] | Outer Length [mm] | Width [mm] | Inner Thickness [mm] | Outer Thickness [mm] | W [g] |
|---|---|---|---|---|---|---|
| A1 | 125 | 174 | 25.1 | 1.5 | 5.1 | 14.06 |
| A2 | 125.1 | 175 | 25 | 1.43 | 5.1 | 14.2 |
| A3 | 124.9 | 174.9 | 25.1 | 1.4 | 4.93 | 14.12 |
| A4 | 124.9 | 174.9 | 24.95 | 1.44 | 4.92 | 14.06 |
| A5 | 125 | 174.7 | 24.9 | 1.5 | 5 | 14 |
| Average ± std | 124.98 ± 0.08 | 174.86 ± 0.11 | 25.01 ± 0.09 | 1.45 ± 0.04 | 5.01 ± 0.08 | 14.09 ± 0.09 |
| B1 | 124.86 | 174.2 | 25.1 | 1.4 | 4.93 | 14 |
| B2 | 125.1 | 174.3 | 25.1 | 1.4 | 4.93 | 14.1 |
| B3 | 124.9 | 174 | 24.95 | 1.44 | 4.92 | 13.9 |
| B4 | 125 | 174.1 | 24.9 | 1.5 | 5 | 14 |
| B5 | 125.1 | 174 | 25.1 | 1.5 | 5.1 | 14.1 |
| Average ± std | 124.97 ± 0.11 | 174.15 ± 0.13 | 25.01 ± 0.1 | 1.44 ± 0.05 | 4.95 ± 0.04 | 14 ± 0.08 |
| Specimen’s Group | Length [mm] | W [g] |
|---|---|---|
| C1 | 25.1 | 10.3 |
| C2 | 25 | 10.2 |
| C3 | 25.1 | 10.3 |
| C4 | 25 | 10.2 |
| C5 | 24.9 | 10.1 |
| Average ± std | 25.02 ± 0.08 | 10.22 ± 0.084 |
| C6 | 25.1 | 10.2 |
| C7 | 25 | 10.1 |
| C8 | 24.9 | 10.1 |
| C9 | 25 | 10.2 |
| C10 | 25.1 | 10.3 |
| Average ± std | 25.02 ± 0.083 | 10.18 ± 0.08 |
| Sample 1 | Sample 2 | Sample 3 | Sample 4 | Sample 5 | Min Sum | |
|---|---|---|---|---|---|---|
| Sample 1 | 0 | 1.29 | 1.52 | 0.65 | 1.74 | 5.2 |
| Sample 2 | 1.29 | 0 | 1.13 | 0.65 | 1.96 | 5.03 |
| Sample 3 | 1.52 | 1.13 | 0 | 1.17 | 0.94 | 4.76 |
| Sample 4 | 0.65 | 0.65 | 1.17 | 0 | 1.73 | 4.2 |
| Sample 5 | 1.74 | 1.96 | 0.94 | 1.73 | 0 | 6.37 |
| Min Sum | 5.2 | 5.03 | 4.76 | 4.2 | 6.37 |
| Specimen | Transition Stress (N/mm2) | Transition Strain | Ultimate Strain | Ultimate Stress (N/mm2) | Fracture Strain | Fracture Stress (N/mm2) |
|---|---|---|---|---|---|---|
| A1 | 1.40 | 0.01 | 0.02 | 2.10 | 0.02 | 1.17 |
| A2 | 1.35 | 0.01 | 0.02 | 2.04 | 0.02 | 2.04 |
| A3 | 1.39 | 0.01 | 0.02 | 1.97 | 0.02 | 1.09 |
| A4 | 1.42 | 0.01 | 0.02 | 2.07 | 0.02 | 1.60 |
| A5 | 1.36 | 0.01 | 0.01 | 1.96 | 0.01 | 0.17 |
| Average ± std | 1.383 ± 0.0299 | 0.0072 ± 0.0003 | 0.0153 ± 0.0008 | 2.028 ± 0.0645 | 0.0157 ± 0.0004 | 1.2146 ± 0.694 |
| Sample 1 | Sample 2 | Sample 3 | Sample 4 | Sample 5 | Min Sum | |
|---|---|---|---|---|---|---|
| Sample 1 | 0 | 0.13 | 0.27 | 7.14 | 0.23 | 7.77 |
| Sample 2 | 0.13 | 0 | 0.13 | 7.15 | 0.24 | 7.65 |
| Sample 3 | 0.27 | 0.13 | 0 | 7.16 | 0.32 | 7.88 |
| Sample 4 | 7.14 | 7.15 | 7.16 | 0 | 7.15 | 28.6 |
| Sample 5 | 0.23 | 0.24 | 0.32 | 7.15 | 0 | 7.94 |
| Min Sum | 7.77 | 7.65 | 7.88 | 28.6 | 7.94 |
| Specimen | Transition Stress (N/mm2) | Transition Strain | Ultimate Strain | Ultimate Stress (N/mm2) | Fracture Strain | Fracture Stress |
|---|---|---|---|---|---|---|
| B1 | 1.40 | 0.01 | 0.01 | 2.01 | 0.01 | 2.00 |
| B2 | 1.45 | 0.01 | 0.01 | 2.03 | 0.01 | 2.01 |
| B3 | 1.49 | 0.01 | 0.01 | 2.04 | 0.01 | 2.02 |
| B4 | 1.38 | 0.01 | 0.01 | 1.98 | 0.02 | 1.97 |
| B5 | 1.60 | 0.01 | 0.01 | 2.00 | 0.01 | 1.96 |
| Average ± std | 1.463 ± 0.087 | 0.0077 ± 0.0003 | 0.0143 ± 0.0004 | 2.0101 ± 0.0251 | 0.0146 ± 0.0003 | 1.9926 ± 0.026 |
| Mechanical Property | Before AI (p-Value) | Significance Before AI | After AI (p-Value) | Significance After AI |
|---|---|---|---|---|
| Transition Stress | p = 0.0878 | No Significant Difference | p = 0.1417 | No Significant Difference |
| Transition Strain | p = 0.0011 | Significant Difference | p = 0.1966 | No Significant Difference |
| Ultimate Stress | p = 0.05766 | No Significant Difference | p = 0 | Significant Difference |
| Ultimate Strain | p = 0.0306 | Significant Difference | p = 0 | Significant Difference |
| Fracture Stress | p = 0.0369 | Significant Difference | p = 0.1777 | No Significant Difference |
| Fracture Strain | p = 0.0022 | Significant Difference | p = 0.0032 | Significant Difference |
| Sample 1 | Sample 2 | Sample 3 | Sample 4 | Sample 5 | Min Sum | |
|---|---|---|---|---|---|---|
| Sample 1 | 0 | 11.94 | 50.77 | 34.52 | 10.25 | 107.48 |
| Sample 2 | 11.94 | 0 | 40.52 | 25.33 | 15.56 | 93.35 |
| Sample 3 | 50.77 | 40.52 | 0 | 31.28 | 53.39 | 175.96 |
| Sample 4 | 34.52 | 25.33 | 31.28 | 0 | 31.11 | 122.24 |
| Sample 5 | 10.25 | 15.56 | 53.39 | 31.11 | 0 | 110.31 |
| Min Sum | 107.48 | 93.35 | 175.96 | 122.24 | 110.31 |
| Specimen | Transition Stress (N/mm2) | Transition Strain | Ultimate Stress (N/mm2) | Ultimate Strain | Fracture Stress (N/mm2) | Fracture Strain |
|---|---|---|---|---|---|---|
| C1 | 27.72 | 0.09 | 32.79 | 0.31 | 18.97 | 0.40 |
| C2 | 27.54 | 0.08 | 32.42 | 0.30 | 18.54 | 0.39 |
| C3 | 26.62 | 0.08 | 30.90 | 0.30 | 17.78 | 0.39 |
| C4 | 26.78 | 0.09 | 31.85 | 0.30 | 18.51 | 0.39 |
| C5 | 27.70 | 0.09 | 32.95 | 0.30 | 19.14 | 0.39 |
| Average ± std | 27.27 ± 0.53 | 0.09 ± 0.01 | 32.18 ± 0.83 | 0.3 ± 0 | 18.59 ± 0.53 | 0.39 ± 0 |
| Sample 1 | Sample 2 | Sample 3 | Sample 4 | Sample 5 | Min Sum | |
|---|---|---|---|---|---|---|
| Sample 1 | 0 | 28.86 | 57.71 | 58 | 57.71 | 202.28 |
| Sample 2 | 28.86 | 0 | 28.86 | 29.8 | 86.57 | 174.09 |
| Sample 3 | 57.71 | 28.86 | 0 | 31.8 | 115.42 | 233.79 |
| Sample 4 | 58 | 29.8 | 31.8 | 0 | 116.2 | 235.8 |
| Sample 5 | 57.71 | 86.57 | 115.42 | 116.2 | 0 | 375.9 |
| Min Sum | 202.28 | 174.09 | 233.79 | 235.8 | 375.9 |
| Specimen | Transition Stress (N/mm2) | Transition Strain | Ultimate Stress (N/mm2) | Ultimate Strain | Fracture Stress (N/mm2) | Fracture Strain |
|---|---|---|---|---|---|---|
| C6 | 24.4 | 0.08 | 29.9 | 0.3 | 14.8 | 0.39 |
| C7 | 25.2 | 0.08 | 30.5 | 0.31 | 16.3 | 0.4 |
| C8 | 25.9 | 0.08 | 31.2 | 0.31 | 17.8 | 0.4 |
| C9 | 25.6 | 0.08 | 31.5 | 0.32 | 20.6 | 0.4 |
| C10 | 23 | 0.08 | 28.9 | 0.3 | 11.8 | 0.4 |
| Average ± std | 24.82 ± 1.16 | 0.08 ± 0 | 30.4 ± 1.04 | 0.31 ± 0.01 | 16.26 ± 3.29 | 0.4 ± 0 |
| Mechanical Property | Before AI (p-Value) | Significance Before AI | After AI (p-Value) | Significance After AI |
|---|---|---|---|---|
| Transition Stress | p = 0.0026 | Significant Difference | p = 0.0047 | Significant Difference |
| Transition Strain | p = 0.04 | Significant Difference | p = 0.1161 | No Significant Difference |
| Ultimate Stress | p = 0.0175 | Significant Difference | p = 0.0058 | Significant Difference |
| Ultimate Strain | p = 0.195 | No Significant Difference | p = 0.5185 | No Significant Difference |
| Fracture Stress | p = 0.157 | No Significant Difference | p = 0.0432 | Significant Difference |
| Fracture Strain | p = 0.07 | No Significant Difference | p = 0.5185 | No Significant Difference |
Disclaimer/Publisher’s Note: The statements, opinions and data contained in all publications are solely those of the individual author(s) and contributor(s) and not of MDPI and/or the editor(s). MDPI and/or the editor(s) disclaim responsibility for any injury to people or property resulting from any ideas, methods, instructions or products referred to in the content. |
© 2025 by the authors. Licensee MDPI, Basel, Switzerland. This article is an open access article distributed under the terms and conditions of the Creative Commons Attribution (CC BY) license (https://creativecommons.org/licenses/by/4.0/).
Share and Cite
Aboamer, M.A.; Hakami, A.; Algethami, M.; Alarifi, I.M.; El-Bagory, T.M.A.A.; Alassaf, A.; Alresheedi, B.A.; AlOmari, A.K.; Almazrua, A.A.; Mohamed, N.A.R. Sustainable Medical Materials: AI-Driven Assessment for Mechanical Performance of UVC-Treated Date Palm Epoxy Composites. Polymers 2025, 17, 1125. https://doi.org/10.3390/polym17081125
Aboamer MA, Hakami A, Algethami M, Alarifi IM, El-Bagory TMAA, Alassaf A, Alresheedi BA, AlOmari AK, Almazrua AA, Mohamed NAR. Sustainable Medical Materials: AI-Driven Assessment for Mechanical Performance of UVC-Treated Date Palm Epoxy Composites. Polymers. 2025; 17(8):1125. https://doi.org/10.3390/polym17081125
Chicago/Turabian StyleAboamer, Mohamed A., Abdulrahman Hakami, Meshari Algethami, Ibrahim M. Alarifi, Tarek M. A. A. El-Bagory, Ahmad Alassaf, Bakheet A. Alresheedi, Ahmad K. AlOmari, Abdulaziz Abdullah Almazrua, and Nader A. Rahman Mohamed. 2025. "Sustainable Medical Materials: AI-Driven Assessment for Mechanical Performance of UVC-Treated Date Palm Epoxy Composites" Polymers 17, no. 8: 1125. https://doi.org/10.3390/polym17081125
APA StyleAboamer, M. A., Hakami, A., Algethami, M., Alarifi, I. M., El-Bagory, T. M. A. A., Alassaf, A., Alresheedi, B. A., AlOmari, A. K., Almazrua, A. A., & Mohamed, N. A. R. (2025). Sustainable Medical Materials: AI-Driven Assessment for Mechanical Performance of UVC-Treated Date Palm Epoxy Composites. Polymers, 17(8), 1125. https://doi.org/10.3390/polym17081125

