Polyvinyl Alcohol Composite Films Containing Flame-Retardant DOPO-VTES and α-ZrP
Abstract
1. Introduction
2. Experimental
2.1. Materials
2.2. Synthesis of DOPO-VTES
2.3. Preparation of the PVA Composite Films
- An 8 wt% PVA solution was obtained by adding 8 g of polyvinyl alcohol powder and 92 g of distilled water to a round-bottom three-mouth flask. It was first swelled for 1 h, then stirred at 95 °C for 2 h, and finally cooled at room temperature.
- According to Table 1, the PVA solution was mixed with the synthesized phosphorus-silica flame retardant (DOPO-VTES) and the different mass fractions of α-ZrP. The mixture was poured into surface dishes and cross-linked at room temperature to form a PVA composite film.
2.4. Characterization
3. Results and Discussion
3.1. Characterization of DOPO-VTES
FTIR Analysis
3.2. Cross-Linking of PVA with DOPO-VTES
3.2.1. Rheological Properties
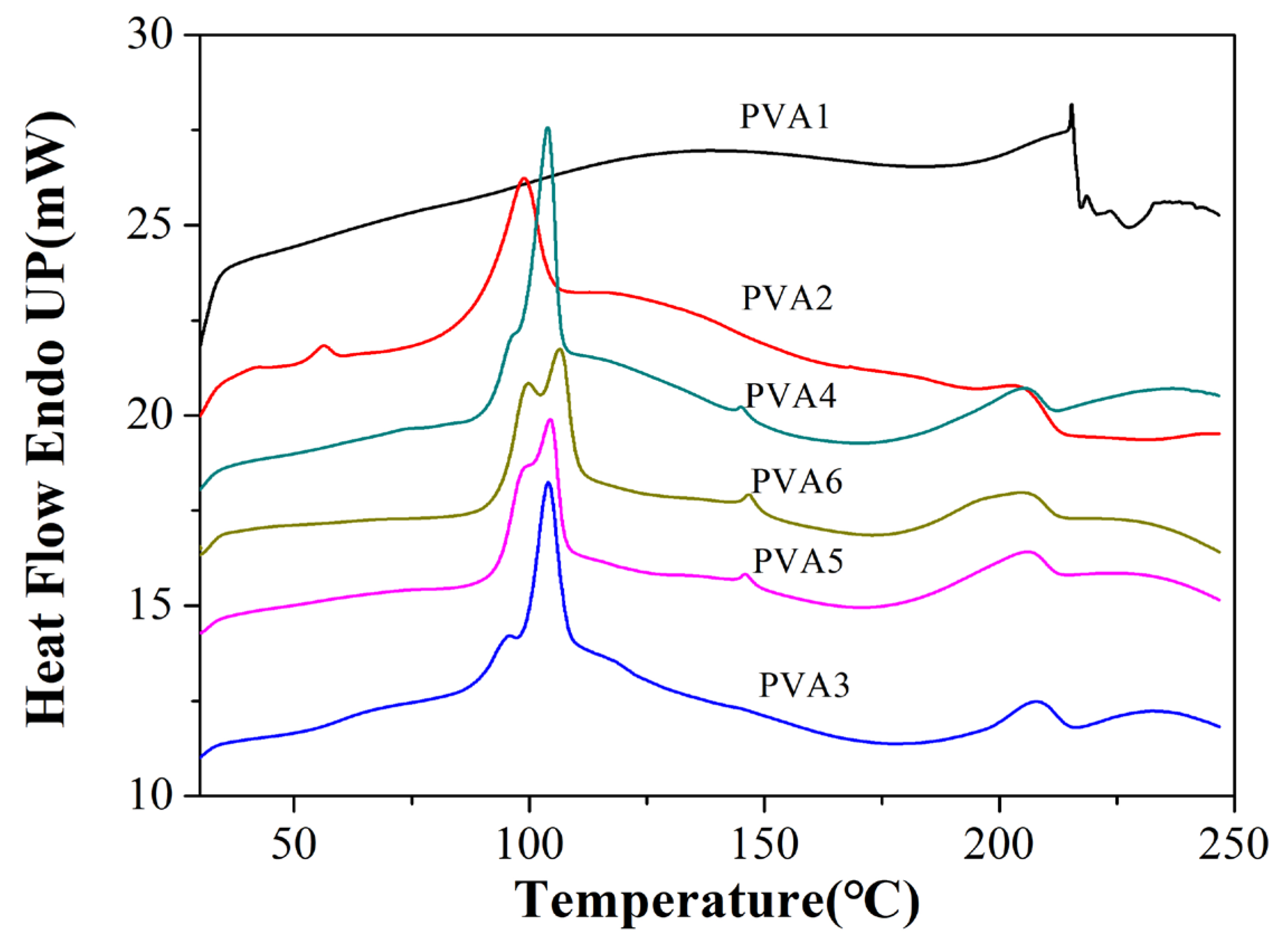
3.2.2. DSC
3.3. Basic Properties of the PVA Composite Films
3.3.1. Water Retention Capacity and Water Absorption Capacity
3.3.2. Mechanical Properties
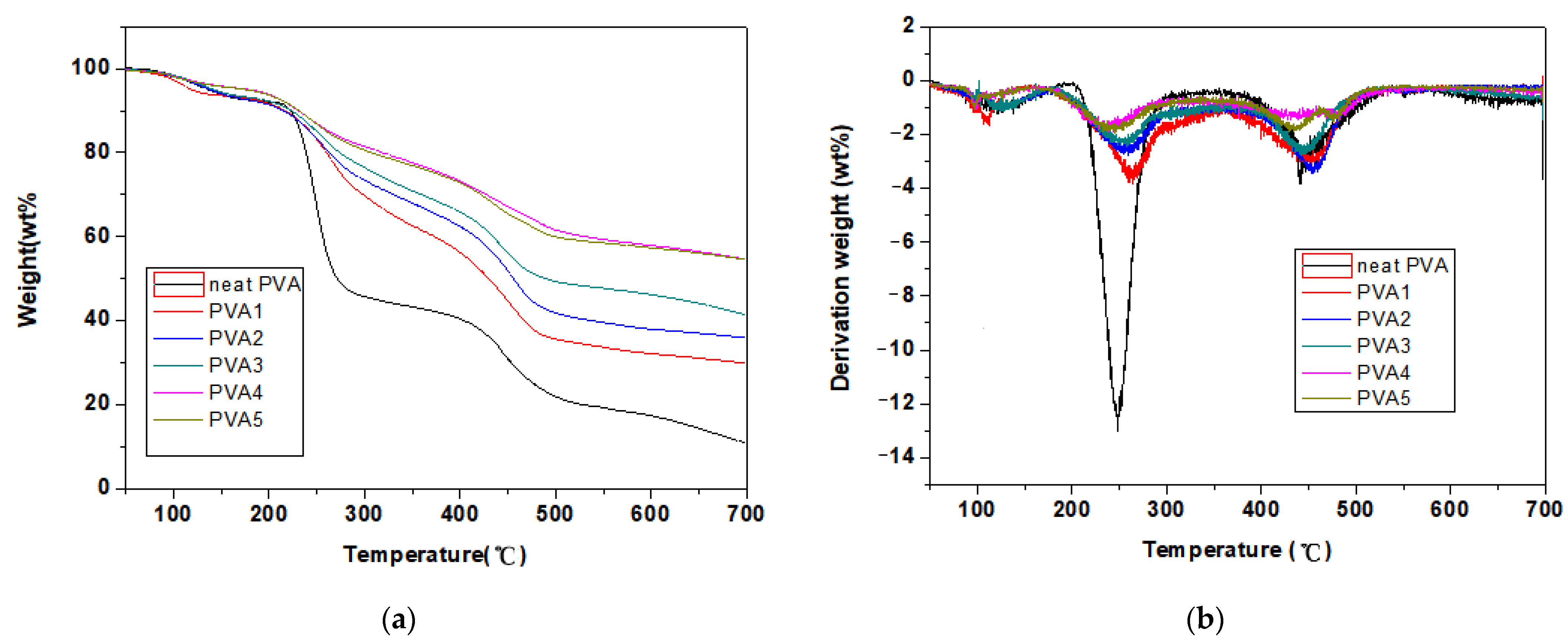
3.3.3. Thermal Stability
3.4. Flammability
3.4.1. Vertical Burning Test (UL-94)
3.4.2. Cone Calorimetry Test (CCT)
3.5. Flame Retardant Mechanisms
3.5.1. EDS Analysis of the Char Layer
3.5.2. XPS
3.5.3. SEM of the Residual Char
3.5.4. Raman Spectroscopy of the Residual Char
4. Conclusions
Author Contributions
Funding
Institutional Review Board Statement
Data Availability Statement
Conflicts of Interest
References
- Zhang, Z.; Li, X.; Ma, Z.; Ning, H.; Zhang, D.; Wang, Y. A facile and green strategy to simultaneously enhance the flame retardant and mechanical properties of poly (vinyl alcohol) by introduction of a bio-based polyelectrolyte complex formed by chitosan and phytic acid. Dalton Trans. 2020, 49, 11226–11237. [Google Scholar] [CrossRef] [PubMed]
- Makhlouf, G.; Abdelkhalik, A.; Naser, R.; Hassan, M. Flammability Properties of Polyvinyl Alcohol Containing New Flame Retardant System. Egypt. J. Chem. 2021, 64, 863–5870. [Google Scholar] [CrossRef]
- Xiang, S.; Chen, C.; Liu, F.; Wang, L.; Feng, J.; Lin, X.; Yang, H.; Feng, X.; Wan, C. Phosphorus and nitrogen supramolecule for fabricating flame-retardant, transparent and robust polyvinyl alcohol film. J. Colloid Interface Sci. 2024, 669, 775–786. [Google Scholar] [CrossRef] [PubMed]
- Wang, X.; Li, Y.; Meng, D.; Gu, X.; Sun, J.; Hu, Y.; Bourbigot, S.; Zhang, S. A Review on Flame-Retardant Polyvinyl Alcohol: Additives and Technologies. Polym. Rev. 2023, 63, 324–364. [Google Scholar] [CrossRef]
- Wang, J.; Ruan, X.; Shen, K.; Wang, Y.; Zhang, Y.; Liu, J.; Liu, X. Highly transparent and flame-retardant polyvinyl alcohol membranes crosslinked with 2-methyl-2, 5-dioxo-1, 2-oxaphospholane. J. Appl. Polym. Sci. 2024, 141, e55510. [Google Scholar] [CrossRef]
- Xie, W.; Bao, Q.; Liu, Y.; Wen, H.; Wang, Q. Hydrogen Bond Association to Prepare Flame Retardant Polyvinyl Alcohol Film with High Performance. ACS Appl. Mater. Interfaces 2021, 13, 5508–5517. [Google Scholar] [CrossRef]
- Schäfer, A.; Seibold, S.; Lohstroh, W.; Walter, O.; Döring, M. Synthesis and Properties of Flame-Retardant Epoxy Resins Based on DOPO and One of Its Analog DPPO. J. Appl. Polym. Sci. 2007, 105, 685–696. [Google Scholar] [CrossRef]
- Liang, S.; Hemberger, P.; Neisius, N.M.; Bodi, A.; Grützmacher, H.; Levalois-Grützmacher, J.; Gaan, S. Elucidating the Thermal Decomposition of Dimethyl Methylphosphonate by Vacuum Ultraviolet (VUV) Photoionization: Pathways to the PO Radical, a Key Species in Flame-Retardant Mechanisms. Chem. A Eur. J. 2015, 21, 1073–1080. [Google Scholar] [CrossRef]
- Yan, W.; Zhang, M.-Q.; Yu, J.; Nie, S.-Q.; Zhang, D.-Q.; Qin, S.-H. Synergistic flame-retardant effect of epoxy resin combined with phenethyl-bridged DOPO derivative and graphene nanosheets. Chin. J. Polym. Sci. 2019, 37, 79–88. [Google Scholar] [CrossRef]
- Kundu, C.K.; Song, L.; Hu, Y. Sol-gel coatings from DOPO-alkoxysilanes: Efficacy in fire protection of polyamide 66 textiles. Eur. Polym. J. 2020, 125, 109483. [Google Scholar] [CrossRef]
- Vasiljević, J.; Jerman, I.; Jakša, G.; Alongi, J.; Malucelli, G.; Zorko, M.; Tomšič, B.; Simončič, B. Functionalization of cellulose fifibres with DOPOpolysilsesquioxane flame retardant nanocoating. Cellulose 2015, 22, 1893–1910. [Google Scholar] [CrossRef]
- Ray, S.S.; Okamoto, M. Polymer/layered silicate nanocomposites: A review from preparation to processing. Prog. Polym. Sci. 2003, 28, 1539–1641. [Google Scholar]
- Han, S.; Li, S.; Liu, D.; Dong, Y.; Gao, Z.; Zhang, Y.; Meng, Q. Enhancing flame retardancy, anti-impact, and corrosive resistance of TPU anocomposites using surface decoration of α-ZrP. Polym. Compos. 2024, 45, 9209–9223. [Google Scholar] [CrossRef]
- Yang, D.; Hu, Y.; Song, L.; Nie, S.; He, S.; Cai, Y. Catalyzing carbonization function of α-ZrP based intumescent fire retardant polypropylene nanocomposites. Polym. Degrad. Stab. 2008, 93, 2014–2018. [Google Scholar] [CrossRef]
- Xue, Y.; LaChance, A.M.; Liu, J.; Farooqui, M.; Dabaghian, M.D.; Ding, F.; Sun, L. Polyvinyl alcohol/α-zirconium phosphate nanocomposite coatings via facile one-step coassembly. Polymer 2023, 265, 125580. [Google Scholar] [CrossRef]
- Ning, Y.; Liu, R.; Chi, W.; An, X.; Zhu, Q.; Xu, S.; Wang, L. A chitosan derivative/phytic acid polyelectrolyte complex endowing polyvinyl alcohol film with high barrier, flame-retardant, and antibacterial effects. Int. J. Biol. Macromol. 2024, 259, 129240. [Google Scholar] [CrossRef]
- Tang, G.; Liu, X.; Yang, Y.; Chen, D.; Zhang, H.; Zhou, L.; Zhang, P.; Jiang, H.; Deng, D. Phosphorus-containing silane modifified steel slag waste to reduce fifire hazards of rigid polyurethane foams. Adv. Powder Technol. 2020, 31, 1420–1430. [Google Scholar] [CrossRef]
- Hu, Z.; Chen, L.; Zhao, B.; Luo, Y.; Wang, D.-Y.; Wang, Y.-Z. A novel efficient halogen-free flame retardant system for polycarbonate. Polym. Degrad. Stab. 2011, 96, 320–327. [Google Scholar] [CrossRef]
- Zhang, W.; Yang, R. Synthesis of Phosphorus-Containing Polyhedral Oligomeric Silsesquioxanes via Hydrolytic Condensation of a Modified Silane. J. Appl. Polym. Sci. 2011, 122, 3383–3389. [Google Scholar] [CrossRef]
- Zheng, S.; Tang, W.; Tong, J.; Cao, K.; Yu, H.; Xie, L. Innovative Treatment of Ancient Architectural Wood Using Polyvinyl Alcohol and Methyltrimethoxysilane for Improved Waterproofing, Dimensional Stability, and Self-Cleaning Properties. Forests 2024, 15, 978. [Google Scholar] [CrossRef]
- Roman, M.; Winter, W.T. Cellulose Nanocrystals for Thermoplastic Reinforcement: Effect of Filler Surface Chemistry on Composite Properties. In Cellulose Nanocomposites; American Chemical Society: Washington, DC, USA, 2006; Chapter 8; pp. 99–113. [Google Scholar]
- Li, L.; Wang, Q. The mechanical properties of PVA blown films. Polym. Mater. Sci. Eng. 2003, 19, 112–115. [Google Scholar] [CrossRef]
- Song, X.; Chen, N.; Wang, Q. Melt-Crystallization and Thermal Decomposition Behaviors of Poly(Vinyl Alcohol)Modified by Vinyl Ester with Long Chain. Polym. Mater. Sci. Eng. 2013, 7, 68–71. [Google Scholar] [CrossRef]
- Liu, C.; Yang, Y. Effects of α-zirconium phosphate aspect ratio on the properties of polyvinyl alcohol nanocomposites. Polym. Test. 2009, 28, 801–807. [Google Scholar] [CrossRef]
- Learner, T. The analysis of synthetic paints by pyrolysis–gas chromatography–mass spectrometry (PyGCMS). Stud. Conserv. 2001, 46, 225–241. [Google Scholar]
- Janasa, D.; Rdesta, M.; Koziol, K.K. Flame-retardant carbon nanotube films. Appl. Surf. Sci. 2017, 411, 177–181. [Google Scholar] [CrossRef]
- Chi, Z.; Guo, Z.; Xu, Z.; Zhang, M.; Li, M.; Shang, L.; Ao, Y. A DOPO-based phosphorus-nitrogen flame retardant bio-based epoxy resin from diphenolic acid: Synthesis, flame-retardant behavior and mechanism. Polym. Degrad. Stab. 2020, 196, 109151. [Google Scholar] [CrossRef]
- Han, X.; Zhang, X.; Guo, Y.; Liu, X.; Zhao, X.; Zhou, H.; Zhang, S.; Zhao, T. Synergistic Effects of Ladder and Cage Structured Phosphorus-Containing POSS with Tetrabutyl Titanate on Flame Retardancy of Vinyl Epoxy Resins. Polymers 2021, 13, 1363. [Google Scholar] [CrossRef]
- Li, Y.; Xia, Z.X.; Ma, L.K.; He, Z. Study on the thermal decomposition behavior and products of poly(vinyl alcohol) and its LiClO4 composites via Py/GC/MS. J. Therm. Anal. Calorim. 2022, 147, 7031–7042. [Google Scholar] [CrossRef]
- Xu, L.; Lei, C.; Xu, R.; Zhang, X.; Zhang, F. Hybridization of Alpha-Zirconium Phosphate with Hexachlorocyclotriphosphazene and Its Application in the Flame Retardant Poly (Vinyl Alcohol) Composites. Polym. Degrad. Stab. 2016, 133, 378–388. [Google Scholar] [CrossRef]
- Luo, H.; Liang, W.; Wei, C.; Wu, D.; Gao, X.; Hu, G. Mineral Composition and Graphitization Structure Characteristics of Contact Thermally Altered Coal. Molecules 2022, 27, 3810. [Google Scholar] [CrossRef]
















| Component | |||
|---|---|---|---|
| Sample | PVA Solution (8 wt%/g) | DOPO-VTES (g) | α-ZrP (g) |
| Neat PVA | 100 | 0 | 0 |
| PVA1 | 100 | 50 | 0 |
| PVA2 | 100 | 50 | 2.5 |
| PVA3 | 100 | 50 | 5 |
| PVA4 | 100 | 50 | 10 |
| PVA5 | 100 | 50 | 15 |
| Sample | Temperature (°C) | ∆Hc/Jg−1 | Xc/% |
|---|---|---|---|
| PVA | 222.5 | 27.7 | 16.0 |
| PVA1 | 206.2 | 25.0 | 14.8 |
| PVA2 | 209.8 | 62.7 | 37.3 |
| PVA3 | 210.4 | 70.0 | 42.0 |
| PVA4 | 209.9 | 41.0 | 24.4 |
| PVA5 | 206.4 | 7.5 | 4.4 |
| Sample | T5% (°C) | Rmax (%·min−1) | TMax (°C) | Residue at 700 °C (%) |
|---|---|---|---|---|
| PVA | 125.5 | 11.9 | 250.2 | 11.0 |
| PVA1 | 125.8 | 2.9 | 250.1 | 30.0 |
| PVA2 | 125.6 | 3.3 | 450.1 | 30.6 |
| PVA3 | 149.9 | 2.7 | 450.1 | 41.5 |
| PVA4 | 150.1 | 1.7 | 450.1 | 54.6 |
| PVA5 | 150.0 | 1.8 | 450.1 | 54.7 |
| Sample | UL-94 Test (3.2 mm) | ||||
|---|---|---|---|---|---|
| t1 [s] | t2 [s] | Dripping | Ignites Cotton | Rating | |
| neat PVA | 30 | 15 | Yes | Yes | NR |
| PVA1 | 8 | 14 | No | Yes | V-1 |
| PVA2 | 5 | 9 | No | No | V-0 |
| PVA3 | 5 | 6 | No | No | V-0 |
| PVA4 | 6 | 8 | No | No | V-0 |
| PVA5 | 7 | 4 | No | No | V-0 |
| Sample | HRR (kw/m2) | THR (MJ/m2) | Temperature (°C) |
|---|---|---|---|
| Neat PVA | 312.6 | 18.7 | 262.7 |
| PVA1 | 92.9 | 19.0 | 463.9 |
| PVA4 | 64.9 | 11.7 | 496.8 |
| Sample | C (wt%) | O (wt%) | Si (wt%) | P (wt%) | Real P (At%) | Theoretical P (At%) |
|---|---|---|---|---|---|---|
| Neat PVA | 45.02 | 54.75 | 0 | 0 | 0 | 0 |
| PVA1 | 7.95 | 50.40 | 27.02 | 10.49 | 6.37 | 8.0 |
| PVA4 | 52.48 | 23.71 | 7.25 | 15.46 | 7.50 | 9.0 |
| Element | C | P | O | Si |
|---|---|---|---|---|
| Peak BE (ev) | 283.96 | 134.08 | 531.89 | 102.87 |
| Atomic percentage (%) | 3.08 | 8.80 | 71.97 | 16.15 |
Disclaimer/Publisher’s Note: The statements, opinions and data contained in all publications are solely those of the individual author(s) and contributor(s) and not of MDPI and/or the editor(s). MDPI and/or the editor(s) disclaim responsibility for any injury to people or property resulting from any ideas, methods, instructions or products referred to in the content. |
© 2025 by the authors. Licensee MDPI, Basel, Switzerland. This article is an open access article distributed under the terms and conditions of the Creative Commons Attribution (CC BY) license (https://creativecommons.org/licenses/by/4.0/).
Share and Cite
Xu, J.; Luo, M.; Lin, R.; Lv, S. Polyvinyl Alcohol Composite Films Containing Flame-Retardant DOPO-VTES and α-ZrP. Polymers 2025, 17, 1011. https://doi.org/10.3390/polym17081011
Xu J, Luo M, Lin R, Lv S. Polyvinyl Alcohol Composite Films Containing Flame-Retardant DOPO-VTES and α-ZrP. Polymers. 2025; 17(8):1011. https://doi.org/10.3390/polym17081011
Chicago/Turabian StyleXu, Jiayou, Minyi Luo, Riyan Lin, and Shu Lv. 2025. "Polyvinyl Alcohol Composite Films Containing Flame-Retardant DOPO-VTES and α-ZrP" Polymers 17, no. 8: 1011. https://doi.org/10.3390/polym17081011
APA StyleXu, J., Luo, M., Lin, R., & Lv, S. (2025). Polyvinyl Alcohol Composite Films Containing Flame-Retardant DOPO-VTES and α-ZrP. Polymers, 17(8), 1011. https://doi.org/10.3390/polym17081011
