Biodegradable Polyvinyl Alcohol (PVOH)-Based Films with Anthocyanin-Rich Extracts of Corozo (Bactris guineensis H.E. Moore) for Intelligent Packaging Design
Abstract
1. Introduction
2. Materials and Methods
2.1. Reagents
2.2. Extraction of Anthocyanins
2.3. Characterisation of the Extract
2.3.1. Halochromic Response of the Extracts
2.3.2. Determination of the Total Anthocyanin Content (TAC)
2.3.3. FTIR Analysis of Corozo Anthocyanin Extract
2.3.4. Film Preparation
2.3.5. Optical Properties
2.3.6. Moisture Content (MC), Water Absorption Capacity (WAC), and Contact Angle (CA)
2.3.7. Structural Properties
2.3.8. Statistical Analysis
3. Results
3.1. Effect of Concentration on the Halochromic Response of the CAE
3.2. Total Anthocyanin Content
3.3. Response Surface Methodology (RSM) and Face-Centred Cube Design (FCD)
3.4. FTIR Analysis of Corozo Anthocyanin Extract
3.5. Characterisation of PVOH Films with CAE
3.5.1. Optical Properties
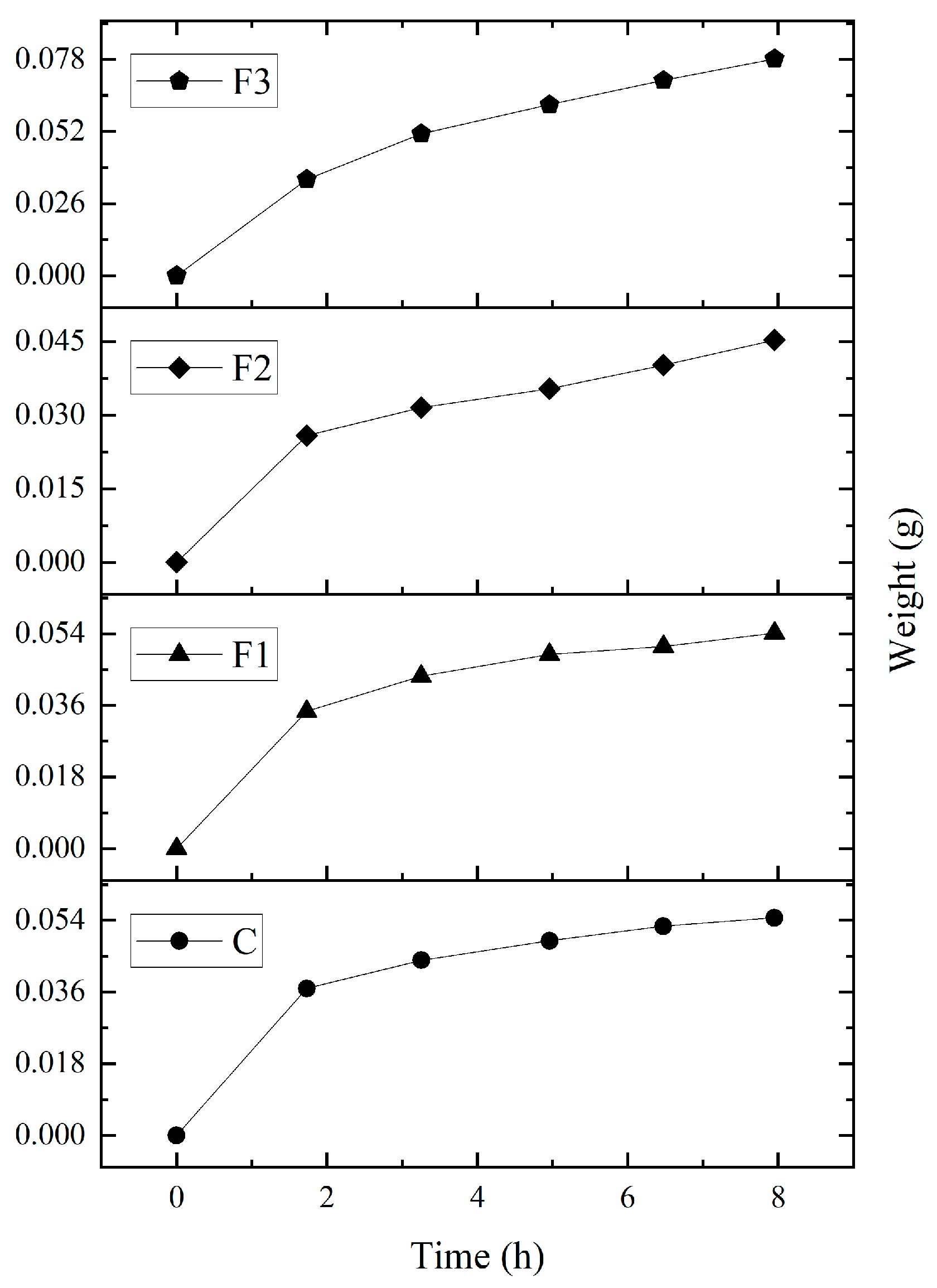
3.5.2. Moisture Content (MC), Water Absorption Capacity (WAC) and Contact Angle (CA)
3.5.3. Structural Properties
4. Conclusions
Author Contributions
Funding
Institutional Review Board Statement
Data Availability Statement
Acknowledgments
Conflicts of Interest
Abbreviations
| AS | Amount of solvent |
| AU | Absorbance unit(s) |
| CA | Contact angle |
| CAE | Corozo anthocyanin extract |
| CCD | Central composite design |
| CS | Solvent concentration |
| DF | Dilution factor |
| FCD | Face-centred cube design |
| FFS | Film-forming solution |
| FTIR | Fourier-transform infrared spectroscopy |
| GU | Gloss units |
| MC | Moisture content |
| MW | Molecular weight |
| PVOH | Polyvinyl alcohol |
| RH | Relative humidity |
| RSM | Response surface methodology |
| TAC | Total anthocyanin content |
| Ti | Inner transmittance |
| UV-Vis | Ultraviolet-visible spectroscopy |
| WAC | Water absorption capacity |
| WP | Water vapor permeability |
| WVP | Water vapor barrier properties |
References
- Brieva-Oviedo, E.; Maia, A.C.D.; Núñez-Avellaneda, L.A. Pollination of Bactris guineensis (Arecaceae), a potential economically exploitable fruit palm from the Colombian Caribbean. Flora 2020, 269, 151628. [Google Scholar] [CrossRef]
- Bagnarello, V.; Trimiño, H.; Alpizar-Cordero, J.; Borbón, H.; Calvo, M.; Alpízar-Cordero, J. Isolation and chemical characterization of two new anthocyanin pigments from Güiscoyol (Bactris guineensis) Fruit. Eur. J. Sci. Res. 2014, 127, 369–381. [Google Scholar]
- López, S.; Martá, M.; Sequeda, L.G.; Celis, C.; Sutachan, J.J.; Albarracín, S.L. Cytoprotective action against oxidative stress in astrocytes and neurons by Bactris guineensis (L.) H.E. Moore (corozo) fruit extracts. Food Chem. Toxicol. 2017, 109, 1010–1017. [Google Scholar] [CrossRef]
- Osorio, C.; Acevedo, B.; Hillebrand, S.; Carriazo, J.; Winterhalter, P.; Morales, A.L. Microencapsulation by spray-drying of anthocyanin pigments from corozo (Bactris guineensis) fruit. J. Agric. Food Chem. 2010, 58, 6977–6985. [Google Scholar] [CrossRef]
- Osorio, C.; Carriazo, J.G.; Almanza, O. Antioxidant activity of corozo (Bactris guineensis) fruit by electron paramagnetic resonance (EPR) spectroscopy. Eur. Food Res. Technol. 2011, 233, 103–108. [Google Scholar] [CrossRef]
- Kong, J.M.; Chia, L.S.; Goh, N.K.; Chia, T.F.; Brouillard, R. Analysis and biological activities of anthocyanins. Phytochemistry 2003, 64, 923–933. [Google Scholar] [CrossRef]
- Franco, D.S.P.; Georgin, J.; Ramos, C.G.; Netto, M.S.; Lobo, B.; Jimenez, G.; Lima, E.C.; Sher, F. Production of adsorbent for removal of propranolol hydrochloride: Use of residues from Bactris guineensis fruit palm with economically exploitable potential from the Colombian Caribbean. J. Mol. Liq. 2023, 380, 121677. [Google Scholar] [CrossRef]
- Latos-Brozio, M.; Masek, A. The application of natural food colorants as indicator substances in intelligent biodegradable packaging materials. Food Chem. Toxicol. 2019, 135, 110975. [Google Scholar] [CrossRef]
- Dong, T.; Yun, X.; Li, M.; Sun, W.; Duan, Y.; Jin, Y. Biodegradable high oxygen barrier membrane for chilled meat packaging. J. Appl. Polym. Sci. 2015, 132, 41871. [Google Scholar] [CrossRef]
- Abdullah, Z.W.; Dong, Y.; Davies, I.J.; Barbhuiya, S. PVA, PVA blends and their nanocomposites for biodegradable packaging application. Polym. Technol. Eng. 2017, 56, 1307–1344. [Google Scholar] [CrossRef]
- Tang, X.; Alavi, S. Recent advances in starch, polyvinyl alcohol-based polymer blends, nanocomposites and their biodegradability. Carbohydr. Polym. 2011, 85, 7–16. [Google Scholar] [CrossRef]
- Amulya, P.R.; ul Islam, R. Optimization of enzyme-assisted extraction of anthocyanins from eggplant (Solanum melongena L.) peel. Food Chem. X 2023, 18, 100643. [Google Scholar] [CrossRef]
- ASTM E11; Standard Specification for Woven Wire Test Sieve Cloth and Test Sieves. ASTM International: West Conshohocken, PA, USA, 2024.
- Mcilvaine, T.C. A Buffer Solution for Colorimetric Comparison. J. Biol. Chem. 1921, 49, 183–186. [Google Scholar] [CrossRef]
- Giusti, M.M.; Wrolstad, R.E. Characterization and Measurement of Anthocyanins by UV-Visible Spectroscopy. Curr. Protoc. Food Anal. Chem. 2001, 1, F1.2.1–F1.2.13. [Google Scholar] [CrossRef]
- Arrieta, C.N.; Acevedo-Puello, V.; Ordoñez EG, F.; Fonseca-Florido, H.; Ortega-Toro, R. Biodegradable monolayer film based on the collagen extracted from Oreochromis sp. processing byproducts blended with chitosan and assembled with PCL and PLA monolayers to form bilayers films. J. Food Process. Eng. 2024, 47, 7. [Google Scholar]
- Mohammed, A.A.; Hasan, Z.; Omran, A.A.B.; Elfaghi, A.M.; Ali, Y.H.; Akeel, N.A.; Ilyas, R.; Sapuan, S. Effect of sugar palm fibers on the properties of blended wheat starch/polyvinyl alcohol (PVA)-based biocomposite films. J. Mater. Res. Technol. 2023, 24, 1043–1055. [Google Scholar]
- ASTM D523; Standard Test Method for Specular Gloss. ASTM International: West Conshohocken, PA, USA, 2018.
- Rezaei, M.; Pirsa, S.; Chavoshizadeh, S. Photocatalytic/antimicrobial active film based on wheat gluten/ZnO nanoparticles. J. Inorg. Organomet. Polym. Mater. 2019, 30, 2654–2665. [Google Scholar]
- Pirsa, S. Nanocomposite base on carboxymethylcellulose hydrogel: Simultaneous absorbent of ethylene and humidity to increase the shelf life of banana fruit. Int. J. Biol. Macromol. 2021, 193, 300–310. [Google Scholar] [CrossRef]
- Muñoz-Suarez, A.; Cortes-Rodriguez, M.; Ortega-Toro, R. Biodegradable films based on tilapia collagen (Oreochromis sp.): Improvement of properties with PLA and PCL bilayers with potential use in sustainable food packaging. Rev. Mex. De Ing. Quimica 2024, 23, Alim24326. [Google Scholar] [CrossRef]
- Aguirre, A.; Borneo, R.; León, A. Antimicrobial, mechanical and barrier properties of triticale protein films incorporated with oregano essential oil. Food Biosci. 2013, 1, 2–9. [Google Scholar] [CrossRef]
- Madadi, R.; Maljaee, H.; Serafim, L.S.; Ventura, S.P. Microalgae as contributors to produce biopolymers. Mar. Drugs 2021, 19, 466. [Google Scholar] [CrossRef]
- Etxabide, A.; Kilmartin, P.A.; Maté, J.I. Colourstability and pH-indicator ability of curcumin, anthocyanin and betanin containing colorants under different storage conditions for intelligent packaging development. Food Control 2021, 121, 107645. [Google Scholar] [CrossRef]
- Pourjavaher, S.; Almasi, H.; Meshkini, S.; Pirsa, S.; Parandi, E. Development of a colorimetric pH indicator based on bacterial cellulose nanofibers and red cabbage (Brassica oleraceae) extract. Carbohydr. Polym. 2017, 156, 193–201. [Google Scholar] [CrossRef]
- Eghbaljoo, H.; Alizadeh Sani, M.; Sani, I.K.; Maragheh, S.M.; Sain, D.K.; Jawhar, Z.H.; Pirsa, S.; Kadi, A.; Dadkhodayi, R.; Zhang, F.; et al. Development of smart packaging halochromic films embedded with anthocyanin pigments; recent advances. Crit. Rev. Food Sci. Nutr. 2023, 65, 770–786. [Google Scholar] [CrossRef] [PubMed]
- Mattioli, R.; Francioso, A.; Mosca, L.; Silva, P. Anthocyanins: A comprehensive review of their chemical properties and health effects on cardiovascular and neurodegenerative diseases. Molecules 2020, 25, 3809. [Google Scholar] [CrossRef] [PubMed]
- Jeyaraj, E.J.; Lim, Y.Y.; Choo, W.S. Antioxidant, cytotoxic, and antibacterial activities of Clitoria ternatea flower extracts and anthocyanin-rich fraction. Sci. Rep. 2022, 12, 14890. [Google Scholar] [CrossRef]
- Vidana Gamage, G.C.; Choo, W.S. Hot water extraction, ultrasound, microwave and pectinase-assisted extraction of anthocyanins from blue pea flower. Food Chem. Adv. 2023, 2, 100209. [Google Scholar] [CrossRef]
- Ku, C.S.; Mun, S.P. Optimization of the extraction of anthocyanin from Bokbunja (Rubus coreanus Miq.) marc produced during traditional wine processing and characterization of the extracts. Bioresour. Technol. 2008, 99, 8325–8330. [Google Scholar] [CrossRef]
- Chandrasekhar, J.; Madhusudhan, M.C.; Raghavarao, K.S.M.S. Extraction of anthocyanins from red cabbage and purification using adsorption. Food Bioprod. Process. 2012, 90, 615–623. [Google Scholar] [CrossRef]
- Erşan, S.; Berning, J.C.; Esquivel, P.; Jiménez, V.M.; Carle, R.; May, B.; Schweiggert, R.; Steingass, C.B. Phytochemical and mineral composition of fruits and seeds of wild-growing Bactris guineensis (L.) H.E. Moore palms from Costa Rica. J. Food Compos. Anal. 2020, 94, 103611. [Google Scholar] [CrossRef]
- Bhushan, B.; Bibwe, B.; Pal, A.; Mahawar, M.K.; Dagla, M.C.; Kr, Y.; Jat, B.S.; Kumar, P.; Aggarwal, S.K.; Singh, A.; et al. FTIR spectra, antioxidant capacity and degradation kinetics of maize anthocyanin extract under variable process conditions: Anthocyanin degradation under storage. Appl. Food Res. 2023, 3, 100282. [Google Scholar] [CrossRef]
- Wahyuningsih, S.; Wulandari, L.; Wartono, M.W.; Munawaroh, H.; Ramelan, A.H. The effect of pH and color stability of anthocyanin on food colorant. IOP Conf. Ser. Mater. Sci. Eng. 2017, 193, 012047. [Google Scholar] [CrossRef]
- Johnson, J.B.; Walsh, K.B.; Naiker, M.; Ameer, K. The use of infrared spectroscopy for the quantification of bioactive compounds in food: A review. Molecules 2023, 28, 3215. [Google Scholar] [CrossRef] [PubMed]
- Tarmizi, E.; Putri, A.Z.E.; Nusandari, M.A.; Husnil, Y.A.; Saragih, R.; Lalasari, L.H. Identification of chemical structure of anthocyanin and other active substances of red color melinjo peels by FTIR and LC-MC analysis. IOP Conf. Ser. Mater. Sci. Eng. 2019, 578, 012013. [Google Scholar] [CrossRef]
- Cano, A.I.; Cháfer, M.; Chiralt, A.; González-Martínez, C. Physical and microstructural properties of biodegradable films based on pea starch and PVA. J. Food Eng. 2015, 167, 59–64. [Google Scholar] [CrossRef]
- Acevedo-Puello, V.; Figueroa-López, K.J.; Ortega-Toro, R. Gelatin-based hydrogels containing microcrystalline and nanocrystalline cellulose as moisture absorbers for food packaging applications. J. Compos. Sci. 2023, 7, 337. [Google Scholar] [CrossRef]
- Zheng, L.; Liu, L.; Yu, J.; Shao, P. New trends and applications of natural pH-sensitive indicator films in food packaging for improving quality control. Food Control 2022, 134, 108769. [Google Scholar] [CrossRef]
- Wu, Y.; Gao, Y.; Li, C. Preparation and characterization of smart indicator films based on gellan gum/modified black rice anthocyanin/curcumin for improving the stability of natural anthocyanins. Int. J. Biol. Macromol. 2023, 253, 127436. [Google Scholar] [CrossRef]
- Forghani, S.; Zeynali, F.; Almasi, H.; Hamishehkar, H. Characterization of electrospun nanofibers and solvent-casted films based on Centaurea arvensis anthocyanin-loaded PVA/κ-carrageenan and comparing their performance as colorimetric pH indicator. Food Chem. 2022, 388, 133057. [Google Scholar] [CrossRef]
- Yao, X.; Liu, J.; Hu, H.; Yun, D.; Liu, J. Development and comparison of different polysaccharide/PVA-based active/intelligent packaging films containing red pitaya betacyanins. Food Hydrocoll. 2022, 124, 107305. [Google Scholar] [CrossRef]
- Rahmadiawan, D.; Abral, H.; Chayri Iby, I.; Kim, H.J.; Ryu, K.H.; Kwack, H.W.; Razan-Railis, M.; Sugiarti, E.; Novi Muslimin, A.; Handayani, D.; et al. Effect of post-heat treatment on the UV transmittance, hydrophobicity, and tensile properties of PVA/Uncaria gambir extract blend films. Heliyon 2024, 10, e30748. [Google Scholar] [CrossRef] [PubMed]
- Chen, C.H.; Wang, F.Y.; Mao, C.F.; Liao, W.T.; Hsieh, C.D. Studies of chitosan: II. Preparation and characterization of chitosan/poly(vinyl alcohol)/gelatin ternary blend films. Int. J. Biol. Macromol. 2008, 43, 37–42. [Google Scholar] [CrossRef]
- Su, J.F.; Huang, Z.; Zhao, Y.H.; Yuan, X.Y.; Wang, X.Y.; Li, M. Moisture sorption and water vapor permeability of soy protein isolate/poly(vinyl alcohol)/glycerol blend films. Ind. Crops Prod. 2010, 31, 266–276. [Google Scholar] [CrossRef]
- Xu, J.; Ren, L.; Song, W.; Wu, N.; Zeng, R. Homogeneous PVA/sodium lignosulfonate mulch films with improved mechanical and UV/water vapor barrier properties. Ind. Crops Prod. 2024, 209, 117975. [Google Scholar] [CrossRef]
- Qin, W.; Zou, L.; Hou, Y.; Wu, Z.; Loy, D.A.; Lin, D. Characterization of novel anthocyanins film@ carbon quantum dot nanofiber intelligent active double-layer film, physicochemical properties and fresh-keeping monitoring in Ictalurus punctatus fish. Chem. Eng. J. 2024, 496, 154041. [Google Scholar] [CrossRef]
- Berthomieu, C.; Hienerwadel, R. Fourier transform infrared (FTIR) spectroscopy. Photosynth. Res. 2006, 101, 157–170. [Google Scholar] [CrossRef] [PubMed]
- Branca, C.; D’Angelo, G.; Crupi, C.; Khouzami, K.; Rifici, S.; Ruello, G.; Wanderlingh, U. Role of the OH and NH vibrational groups in polysaccharide-nanocomposite interactions: A FTIR-ATR study on chitosan and chitosan/clay films. Polymer 2016, 99, 614–622. [Google Scholar] [CrossRef]
- Md Salim, R.; Asik, J.; Sarjadi, M.S. Chemical functional groups of extractives, cellulose and lignin extracted from native Leucaena leucocephala bark. Wood Sci. Technol. 2021, 55, 295–313. [Google Scholar] [CrossRef]
- Akhter, S.; Allan, K.; Buchanan, D.; Cook, J.A.; Campion, A.; White, J.M. XPS and IR study of X-ray induced degradation of PVA polymer film. Appl. Surf. Sci. 1988, 35, 241–258. [Google Scholar] [CrossRef]
- Halloub, A.; Raji, M.; Essabir, H.; Chakchak, H.; Bensalah, M.O.; Bouhfid, R. Intelligent food packaging film containing lignin and cellulose nanocrystals for shelf-life extension of food. Carbohydr. Polym. 2022, 296, 119972. [Google Scholar] [CrossRef]
- Barbato, A.; Apicella, A.; Palmieri, F.; Incarnato, L. Development of biodegradable PBS/PVOH-based films and evaluation of performance for food packaging applications. Chem. Eng. Trans. 2023, 102, 97–102. [Google Scholar] [CrossRef]
- Boronat, C.; Correcher, V.; Benavente, J.F.; Bravo-Yagüe, J.C. Thermoluminescence and ATR-FTIR study of UVC-irradiated low-densidy polyethylene (LDPE) food packaging. Spectrochim. Acta Part A Mol. Biomol. Spectrosc. 2024, 323, 124882. [Google Scholar] [CrossRef]
- Yousef, S.; Eimontas, J.; Striūgas, N.; Abdelnaby, M.A. Pyrolysis and gasification kinetic behavior of mango seed shells using TG-FTIR-GC–MS system under N2 and CO2 atmospheres. Renew. Energy 2021, 173, 733–749. [Google Scholar] [CrossRef]
- Zhang, X.; Liu, Y.; Yong, H.; Qin, Y.; Liu, J.; Liu, J. Development of multifunctional food packaging films based on chitosan, TiO2 nanoparticles and anthocyanin-rich black plum peel extract. Food Hydrocoll. 2019, 94, 80–92. [Google Scholar] [CrossRef]
- Kim, J.-S.; Hwang, H.; Lee, D.; Lee, H. Electrospinnable, Neutral Coacervates for Facile Preparation of Solid Phenolic Bioadhesives. ACS Appl. Mater. Interfaces 2021, 13, 37989–37996. [Google Scholar] [CrossRef] [PubMed]
- Lee, S.Y.; Kim, J.T.; Chathuranga, K.; Lee, J.S.; Park, S.W.; Park, W.H. Tannic-Acid-Enriched Poly(vinyl Alcohol) Nanofibrous Membrane as a UV-Shie Lding and Antibacterial Face Mask Filter Material. ACS Appl. Mater. Interfaces 2023, 15, 20435–20443. [Google Scholar] [CrossRef]
- Monne, M.A.; Howlader, C.Q.; Mishra, B.; Chen, M.Y. Synthesis of Printable Polyvinyl Alcohol for Aerosol Jet and Inkjet Printing Technology. Micromachines 2021, 12, 220. [Google Scholar] [CrossRef]
- Zakaria, Z.; Kamarudin, S.K.; Kudus, M.H.A.; Wahid, K.A.A. Κ-carrageenan/Polyvinyl Alcohol-graphene Oxide Biopolymer Composite Membrane for Application of Air-breathing Passive Direct Ethanol Fuel Cells. J. Appl. Polym. Sci. 2022, 139, 52256. [Google Scholar] [CrossRef]






| Experiment | Extraction Condition | ||
|---|---|---|---|
| t (min) | T (°C) | Solvent Amount (mL) | |
| 1 | 75 | 50 | 11.00 |
| 2 | 75 | 50 | 11.00 |
| 3 | 75 | 50 | 11.00 |
| 4 | 138 | 50 | 11.00 |
| 5 | 30 | 60 | 15.00 |
| 6 | 120 | 60 | 7.00 |
| 7 | 11 | 50 | 11.00 |
| 8 | 75 | 35 | 11.00 |
| 9 | 75 | 50 | 11.00 |
| 10 | 75 | 50 | 5.34 |
| 11 | 75 | 50 | 11.00 |
| 12 | 120 | 40 | 15.00 |
| 13 | 30 | 40 | 7.00 |
| 14 | 75 | 64 | 11.00 |
| 15 | 75 | 50 | 16.66 |
| Formulation | PVOH | CAE | Glycerol |
|---|---|---|---|
| Control | 0.833 | 0.000 | 0.167 |
| F1 (10%) | 0.161 | 0.806 | 0.032 |
| F2 (20%) | 0.089 | 0.893 | 0.018 |
| F3 (30%) | 0.062 | 0.926 | 0.012 |
| Treatment | Extraction Condition | TAC Peel (mg EC3G/L) | ||
|---|---|---|---|---|
| Observed | Predicted | Relative Error | ||
| 1 | 1:110, 75 min, 50 °C | 17.92 | 19.81 | 0.10 |
| 2 | 1:110, 75 min, 50 °C | 18.28 | 19.81 | 0.08 |
| 3 | 1:110, 75 min, 50 °C | 18.17 | 19.81 | 0.08 |
| 4 | 1:110, 138 min, 50 °C | 18.91 | 20.45 | 0.08 |
| 5 | 1:150, 30 min, 60 °C | 34.61 | 35.55 | 0.03 |
| 6 | 1:070, 120 min, 60 °C | 12.61 | 10.94 | 0.15 |
| 7 | 1:110, 11 min, 50 °C | 17.70 | 19.17 | 0.08 |
| 8 | 1:110, 75 min, 35 °C | 18.85 | 19.11 | 0.01 |
| 9 | 1:110, 75 min, 50 °C | 22.04 | 19.81 | 0.11 |
| 10 | 1:5.343, 75 min, 50 °C | 6.53 | 7.20 | 0.09 |
| 11 | 1:110, 75 min, 50 °C | 20.58 | 19.81 | 0.04 |
| 12 | 1:150, 120 min, 40 °C | 34.18 | 32.43 | 0.05 |
| 13 | 1:070, 30min, 40 °C | 10.94 | 9.58 | 0.14 |
| 14 | 1:110, 75 min, 64 °C | 19.91 | 20.52 | 0.03 |
| 15 | 1:16.66, 75 min, 50 °C | 38.26 | 38.65 | 0.01 |
| D | 1:100, 30 min, 60° C | 17.45 | 17.89 | 0.02 |
| Formulation | Brightness | Colour Parameters | |||||
|---|---|---|---|---|---|---|---|
| L* | a* | b* | c* | h* | ΔE | ||
| Control | 15.2 ± 4.02 a | 92.25 ± 0.16 a | 3.28 ± 0.15 d | −0.6 ± 0.15 b | 3.35 ± 0.14 d | 1.78 ± 0.05 b | -- |
| F1 | 9.13 ± 3.39 b | 74.19 ± 8.16 b | 21.21 ± 8.51 c | 1.48 ± 1.38 b | 21.28 ± 8.59 c | 1.51 ± 0.03 a | 25.59 ± 11.71 c |
| F2 | 15.26 ± 6.52 a | 63.10 ± 3.39 c | 36.92 ± 4.89 b | 0.69 ± 0.78 b | 36.93 ± 4.91 b | 1.55 ± 0.01 a | 44.54 ± 5.96 b |
| F3 | 14.66 ± 7.15 a | 51.98 ± 10.95 d | 55.36 ± 13.33 a | 5.2 ± 4.46 a | 55.77 ± 13.71 a | 1.50 ± 0.08 a | 66.21 ± 17.63 a |
| Treatment | MC (g Water/g Dry Film) | WAC (g Dry Film/g Absorbed Water) | WVP (g·mm/kPa·h·m2) | Contact Angle (°) |
|---|---|---|---|---|
| Control | 0.24 ± 0.04 a | 0.39 ± 0.01 a | 0.56 ± 0.05 a | 26.33 ± 0.57 a |
| F1 | 0.23 ± 0.0 a | 0.35 ± 0.01 ab | 0.57 ± 0.01 a | 24.00 ± 1.73 a |
| F2 | 0.20 ± 0.01 a | 0.32 ± 0.03 b | 0.60 ± 0.04 a | 24.33 ± 1.52 a |
| F3 | 0.22 ± 0.0 a | 0.32 ± 0.02 b | 0.56 ± 0.01 a | 24.66 ± 2.08 a |
| Treatment | Internal Transmittance (%) | Opacity (A600/mm) |
|---|---|---|
| Control | 71.53 ± 4.89 | 2.73 ± 0.59 |
| F1 | 75.35 ± 0.37 | 1.41 ± 0.02 |
| F2 | 77.14 ± 0.01 | 1.10 ± 0.06 |
| F3 | 78.44 ± 1.96 | 1.45 ± 0.13 |
Disclaimer/Publisher’s Note: The statements, opinions and data contained in all publications are solely those of the individual author(s) and contributor(s) and not of MDPI and/or the editor(s). MDPI and/or the editor(s) disclaim responsibility for any injury to people or property resulting from any ideas, methods, instructions or products referred to in the content. |
© 2025 by the authors. Licensee MDPI, Basel, Switzerland. This article is an open access article distributed under the terms and conditions of the Creative Commons Attribution (CC BY) license (https://creativecommons.org/licenses/by/4.0/).
Share and Cite
Rico-Rodríguez, F.; López-Padilla, A.; Ortega-Toro, R. Biodegradable Polyvinyl Alcohol (PVOH)-Based Films with Anthocyanin-Rich Extracts of Corozo (Bactris guineensis H.E. Moore) for Intelligent Packaging Design. Polymers 2025, 17, 933. https://doi.org/10.3390/polym17070933
Rico-Rodríguez F, López-Padilla A, Ortega-Toro R. Biodegradable Polyvinyl Alcohol (PVOH)-Based Films with Anthocyanin-Rich Extracts of Corozo (Bactris guineensis H.E. Moore) for Intelligent Packaging Design. Polymers. 2025; 17(7):933. https://doi.org/10.3390/polym17070933
Chicago/Turabian StyleRico-Rodríguez, Fabián, Alexis López-Padilla, and Rodrigo Ortega-Toro. 2025. "Biodegradable Polyvinyl Alcohol (PVOH)-Based Films with Anthocyanin-Rich Extracts of Corozo (Bactris guineensis H.E. Moore) for Intelligent Packaging Design" Polymers 17, no. 7: 933. https://doi.org/10.3390/polym17070933
APA StyleRico-Rodríguez, F., López-Padilla, A., & Ortega-Toro, R. (2025). Biodegradable Polyvinyl Alcohol (PVOH)-Based Films with Anthocyanin-Rich Extracts of Corozo (Bactris guineensis H.E. Moore) for Intelligent Packaging Design. Polymers, 17(7), 933. https://doi.org/10.3390/polym17070933

