(Ligno)Cellulose Nanofibrils and Tannic Acid as Green Fillers for the Production of Poly(vinyl alcohol) Biocomposite Films
Abstract
1. Introduction
2. Materials and Methods
2.1. Materials
2.2. Production of LCNFs
2.3. Film Preparation
2.4. Characterization
2.4.1. Thickness
2.4.2. Morphology
2.4.3. FTIR Analysis
2.4.4. Tensile Test
2.4.5. Thermal Analysis
2.4.6. Contact Angle
2.4.7. Water Uptake
2.4.8. Antioxidant Assay (A DPPH Radical Scavenging Activity)
2.4.9. Statistical Analysis
3. Results and Discussion
3.1. Characterization
3.1.1. Thickness
3.1.2. Morphology
3.1.3. FTIR Analysis
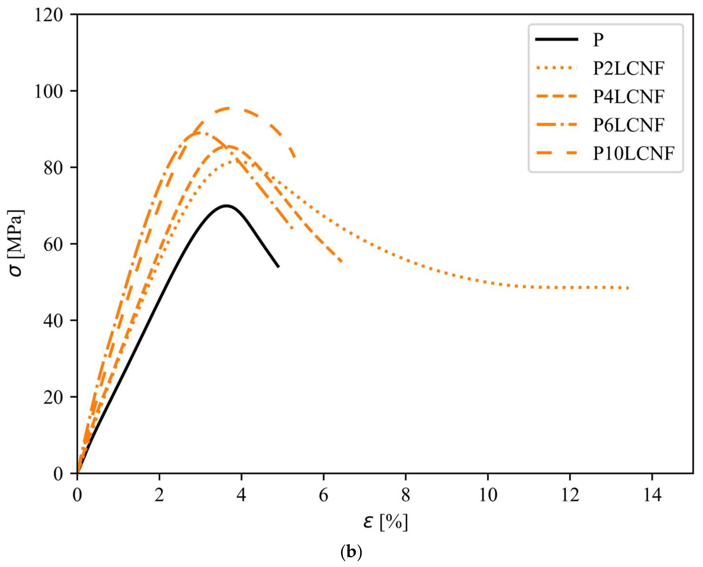
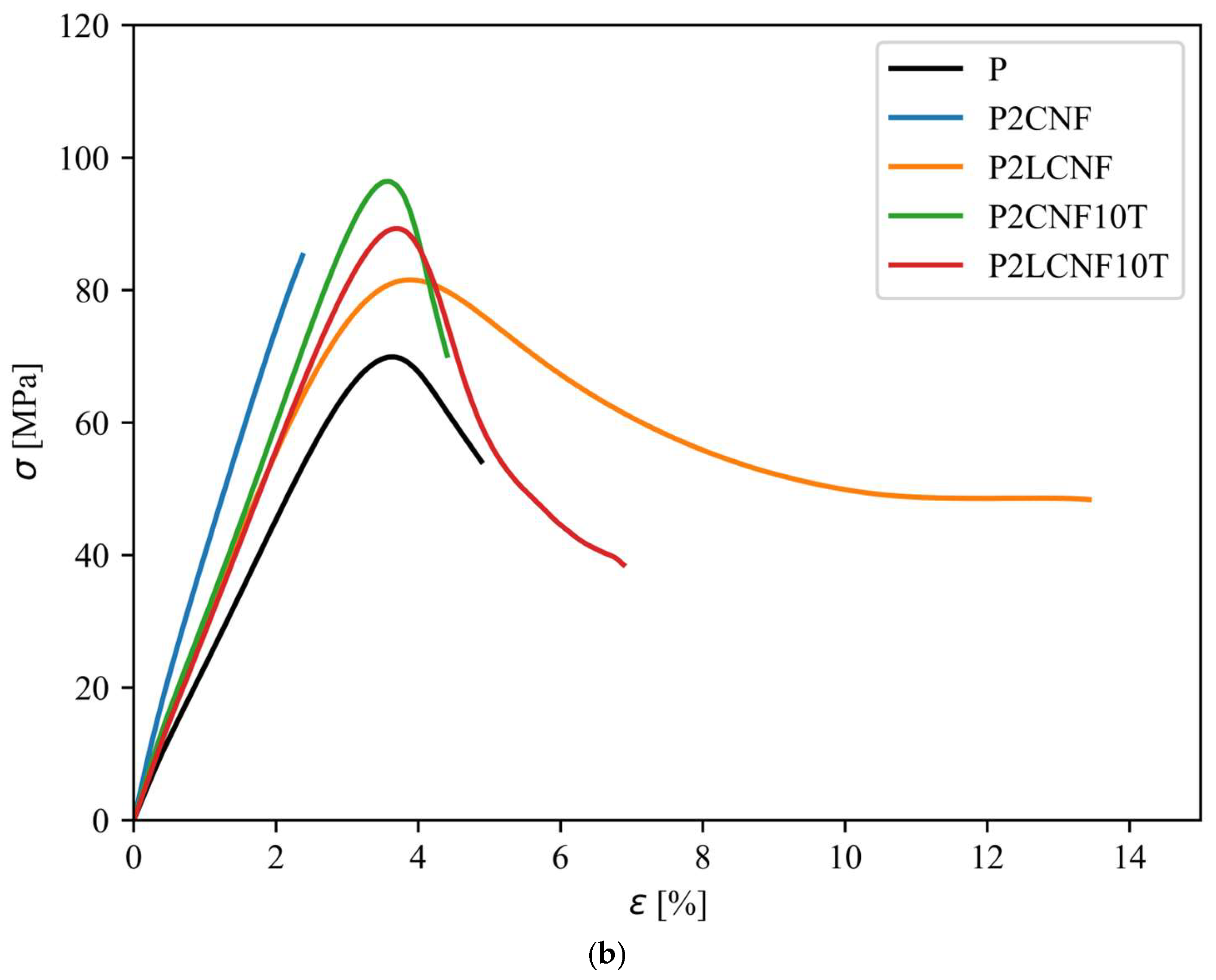
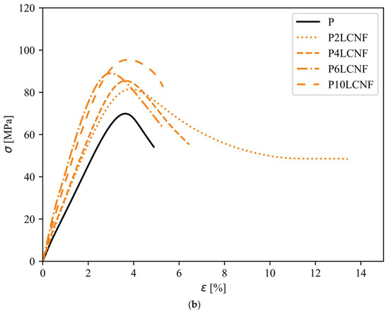
3.1.4. Tensile Test
3.1.5. Thermal Analysis
3.1.6. Contact Angle
3.1.7. Water Uptake
3.1.8. Antioxidant Assay (A DPPH Radical Scavenging Activity)
4. Conclusions
Supplementary Materials
Author Contributions
Funding
Institutional Review Board Statement
Data Availability Statement
Acknowledgments
Conflicts of Interest
References
- Tan, R.; Li, F.; Zhang, Y.; Yuan, Z.; Feng, X.; Zhang, W.; Liang, T.; Cao, J.; De Hoop, C.F.; Peng, X.; et al. High-Performance Biocomposite Polyvinyl Alcohol (PVA) Films Modified with Cellulose Nanocrystals (CNCs), Tannic Acid (TA), and Chitosan (CS) for Food Packaging. J. Nanomater. 2021, 2021, 4821717. [Google Scholar] [CrossRef]
- Zhang, X.; Tanguy, N.R.; Chen, H.; Zhao, Y.; Gnanasekar, P.; Le Lagadec, R.; Yan, N. Lignocellulosic nanofibrils as multifunctional component for high-performance packaging applications. Mater. Today Commun. 2022, 31, 103630. [Google Scholar] [CrossRef]
- Missio, A.L.; Mattos, B.D.; Ferreira, D.d.F.; Magalhães, W.L.E.; Bertuol, D.A.; Gatto, D.A.; Petutschnigg, A.; Tondi, G. Nanocellulose-tannin films: From trees to sustainable active packaging. J. Clean. Prod. 2018, 184, 143–151. [Google Scholar] [CrossRef]
- Yildirim, S.; Röcker, B.; Pettersen, M.K.; Nilsen-Nygaard, J.; Ayhan, Z.; Rutkaite, R.; Radusin, T.; Suminska, P.; Marcos, B.; Coma, V. Active Packaging Applications for Food. Compr. Rev. Food Sci. Food Saf. 2018, 17, 165–199. [Google Scholar] [CrossRef]
- Chou, C.-T.; Shi, S.-C.; Chen, C.-K. Sandwich-Structured, Hydrophobic, Nanocellulose-Reinforced Polyvinyl Alcohol as an Alternative Straw Material. Polymers 2021, 13, 4447. [Google Scholar] [CrossRef]
- Lee, H.; You, J.; Jin, H.-J.; Kwak, H.W. Chemical and physical reinforcement behavior of dialdehyde nanocellulose in PVA composite film: A comparison of nanofiber and nanocrystal. Carbohydr. Polym. 2019, 232, 115771. [Google Scholar] [CrossRef]
- Horseman, T.; Tajvidi, M.; Diop, C.I.K.; Gardner, D.J. Preparation and property assessment of neat lignocellulose nanofibrils (LCNF) and their composite films. Cellulose 2017, 24, 2455–2468. [Google Scholar] [CrossRef]
- Osolnik, U.; Vek, V.; Korošec, R.C.; Oven, P.; Poljanšek, I. Integration of wood-based components—Cellulose nanofibrils and tannic acid—Into a poly(vinyl alcohol) matrix to improve functional properties. Int. J. Biol. Macromol. 2024, 256, 128495. [Google Scholar] [CrossRef]
- Wu, Y.; Tang, Q.; Yang, F.; Xu, L.; Xuehua, W.; Zhang, J. Mechanical and thermal properties of rice straw cellulose nanofibrils-enhanced polyvinyl alcohol films using freezing-and-thawing cycle method. Cellulose 2019, 26, 3193–3204. [Google Scholar] [CrossRef]
- Singh, S.; Gaikwad, K.K.; Lee, Y.S. Antimicrobial and antioxidant properties of polyvinyl alcohol bio composite films containing seaweed extracted cellulose nano-crystal and basil leaves extract. Int. J. Biol. Macromol. 2018, 107, 1879–1887. [Google Scholar] [CrossRef]
- Tanpichai, S.; Oksman, K. Crosslinked poly(vinyl alcohol) composite films with cellulose nanocrystals: Mechanical and thermal properties. J. Appl. Polym. Sci. 2018, 135, 45710. [Google Scholar] [CrossRef]
- Bian, H.; Wei, L.; Lin, C.; Ma, Q.; Dai, H.; Zhu, J.Y. Lignin-Containing Cellulose Nanofibril-Reinforced Polyvinyl Alcohol Hydrogels. ACS Sustain. Chem. Eng. 2018, 6, 4821–4828. [Google Scholar] [CrossRef]
- Yang, M.; Zhang, X.; Guan, S.; Dou, Y.; Gao, X. Preparation of lignin containing cellulose nanofibers and its application in PVA nanocomposite films. Int. J. Biol. Macromol. 2020, 158, 1259–1267. [Google Scholar] [CrossRef] [PubMed]
- Fu, H.; Li, Y.; Wang, B.; Li, J.; Zeng, J.; Li, J.; Chen, K. Structural change and redispersion characteristic of dried lignin-containing cellulose nanofibril and its reinforcement in PVA nanocomposite film. Cellulose 2021, 28, 7749–7764. [Google Scholar] [CrossRef]
- Liu, K.; Du, H.; Zheng, T.; Liu, W.; Zhang, M.; Liu, H.; Zhang, X.; Si, C. Lignin-containing cellulose nanomaterials: Preparation and applications. Green Chem. 2021, 23, 9723–9746. [Google Scholar] [CrossRef]
- Trifol, J.; Moriana, R. Barrier packaging solutions from residual biomass: Synergetic properties of CNF and LCNF in films. Ind. Crops Prod. 2022, 177, 114493. [Google Scholar] [CrossRef]
- Nair, S.; Yan, N. Effect of high residual lignin on the thermal stability of nanofibrils and its enhanced mechanical performance in aqueous environments. Cellulose 2015, 22, 3137–3150. [Google Scholar] [CrossRef]
- Zhang, N.; Tao, P.; Lu, Y.; Nie, S. Effect of lignin on the thermal stability of cellulose nanofibrils produced from bagasse pulp. Cellulose 2019, 26, 7823–7835. [Google Scholar] [CrossRef]
- Espinosa, E.; Bascon-Villegas, I.; Rosal, A.; Perez-Rodriguez, F.; Chinga-Carrasco, G.; Rodriguez, A. PVA/(ligno)nanocellulose biocomposite films. Effect of residual lignin content on structural, mechanical, barrier and antioxidant properties. Int. J. Biol. Macromol. 2019, 141, 197–206. [Google Scholar] [CrossRef]
- Zhang, C.W.; Nair, S.S.; Chen, H.; Yan, N.; Farnood, R.; Li, F.Y. Thermally stable, enhanced water barrier, high strength starch bio-composite reinforced with lignin containing cellulose nanofibrils. Carbohydr. Polym. 2020, 230, 115626. [Google Scholar] [CrossRef]
- Bascón-Villegas, I.; Sánchez-Gutiérrez, M.; Pérez-Rodríguez, F.; Espinosa, E.; Rodríguez, A. Lignocellulose Nanofibre Obtained from Agricultural Wastes of Tomato, Pepper and Eggplants Improves the Performance of Films of Polyvinyl Alcohol (PVA) for Food Packaging. Foods 2021, 10, 3043. [Google Scholar] [CrossRef] [PubMed]
- Xu, K.; Li, Q.; Xie, L.; Shi, Z.; Su, G.; Harper, D.; Tang, Z.; Zhou, J.; Du, G.; Wang, S. Novel flexible, strong, thermal-stable, and high-barrier switchgrass-based lignin-containing cellulose nanofibrils/chitosan biocomposites for food packaging. Ind. Crops Prod. 2022, 179, 114661. [Google Scholar] [CrossRef]
- Cheng, G.; Wang, S.; Li, W.; Zhou, X.; Jiang, Y.; Liu, X.; Huang, Q. Mechanically strong, self-healing and pH-responsive lignocellulose nanofibril-based hydrogels towards drug delivery applications. Res. Sq. 2023. [Google Scholar] [CrossRef]
- Agarwal, A.; Rizwana; Tripathi, A.D.; Kumar, T.; Sharma, K.P.; Patel, S.K.S. Nutritional and Functional New Perspectives and Potential Health Benefits of Quinoa and Chia Seeds. Antioxidants 2023, 12, 1413. [Google Scholar] [CrossRef] [PubMed]
- Dong, G.; Liu, H.; Yu, X.; Zhang, X.; Lu, H.; Zhou, T.; Cao, J. Antimicrobial and anti-biofilm activity of tannic acid against Staphylococcus aureus. Nat. Prod. Res. 2018, 32, 2225–2228. [Google Scholar] [CrossRef]
- Hong, K.H. Preparation and properties of polyvinyl alcohol/tannic acid composite film for topical treatment application. Fibers Polym. 2016, 17, 1963–1968. [Google Scholar] [CrossRef]
- Rivero, S.; García, M.A.; Pinotti, A. Crosslinking capacity of tannic acid in plasticized chitosan films. Carbohydr. Polym. 2010, 82, 270–276. [Google Scholar] [CrossRef]
- Rubentheren, V.; Ward, T.A.; Chee, C.Y.; Tang, C.K. Processing and analysis of chitosan nanocomposites reinforced with chitin whiskers and tannic acid as a crosslinker. Carbohydr. Polym. 2015, 115, 379–387. [Google Scholar] [CrossRef]
- Rubentheren, V.; Ward, T.A.; Chee, C.Y.; Nair, P. Physical and chemical reinforcement of chitosan film using nanocrystalline cellulose and tannic acid. Cellulose 2015, 22, 2529–2541. [Google Scholar] [CrossRef]
- Žepič, V.; Poljanšek, I.; Oven, P.; Škapin, A.; Hančič, A. Effect of Drying Pretreatment on the Acetylation of Nanofibrillated Cellulose. Bioresources 2015, 10, 8148–8167. [Google Scholar] [CrossRef]
- Iwamoto, S.; Endo, T. 3 nm Thick Lignocellulose Nanofibers Obtained from Esterified Wood with Maleic Anhydride. ACS Macro Lett. 2014, 4, 80–83. [Google Scholar] [CrossRef] [PubMed]
- ASTM D882—02; Standard Test Methods for Tensile Properties of Thin Plastic Sheeting. ASTM International: West Conshohocken, PA, USA, 2010.
- Idris, A.; Muntean, A.; Mesic, B.; Lestelius, M.; Javed, A. Oxygen Barrier Performance of Poly(vinyl alcohol) Coating Films with Different Induced Crystallinity and Model Predictions. Coatings 2021, 11, 1253. [Google Scholar] [CrossRef]
- Vek, V.; Balzano, A.; Poljanšek, I.; Humar, M.; Oven, P. Improving Fungal Decay Resistance of Less Durable Sapwood by Impregnation with Scots Pine Knotwood and Black Locust Heartwood Hydrophilic Extractives with Antifungal or Antioxidant Properties. Forests 2020, 11, 1024. [Google Scholar] [CrossRef]
- Liu, D.; Sun, X.; Tian, H.; Maiti, S.; Ma, Z. Effects of cellulose nanofibrils on the structure and properties on PVA nanocomposites. Cellulose 2013, 20, 2981–2989. [Google Scholar] [CrossRef]
- Oksman, K.; Aitomäki, Y.; Mathew, A.P.; Siqueira, G.; Zhou, Q.; Butylina, S.; Tanpichai, S.; Zhou, X.; Hooshmand, S. Review of the recent developments in cellulose nanocomposite processing. Compos. Part A Appl. Sci. Manuf. 2016, 83, 2–18. [Google Scholar] [CrossRef]
- Sultana, T.; Sultana, S.; Nur, H.P.; Khan, M.W. Studies on Mechanical, Thermal and Morphological Properties of Betel Nut Husk Nano Cellulose Reinforced Biodegradable Polymer Composites. J. Compos. Sci. 2020, 4, 83. [Google Scholar] [CrossRef]
- Yang, H.S.; Wolcott, M.P.; Kim, H.S.; Kim, H.J. Thermal properties of lignocellulosic filler-thermoplastic polymer bio-composites. J. Therm. Anal. Calorim. 2005, 82, 157–160. [Google Scholar] [CrossRef]
- Sun, X.; Lu, C.; Liu, Y.; Zhang, W.; Zhang, X. Melt-processed poly(vinyl alcohol) composites filled with microcrystalline cellulose from waste cotton fabrics. Carbohydr. Polym. 2014, 101, 642–649. [Google Scholar] [CrossRef]
- Zhu, L.; Feng, L.; Luo, H.; Dong, R.-s.; Wang, M.-y.; Yao, G.; Chen, J. Characterization of polyvinyl alcohol-nanocellulose composite film and its release effect on tetracycline hydrochloride. Ind. Crops Prod. 2022, 188, 115723. [Google Scholar] [CrossRef]
- Sheltami, R.; Kargarzadeh, H.; Abdullah, I.; Ahmad, I. Thermal Properties of Cellulose Nanocomposites. In Handbook of Nanocellulose and Cellulose Nanocomposites; John Wiley & Sons Inc.: Hoboken, NJ, USA, 2017; pp. 523–552. [Google Scholar] [CrossRef]
- Brebu, M.; Vasile, C. Thermal degradation of lignin—A Review. Cell. Chem. Technol. 2010, 44, 353–363. [Google Scholar]
- Latthe, S.S.; Terashima, C.; Nakata, K.; Fujishima, A. Superhydrophobic surfaces developed by mimicking hierarchical surface morphology of lotus leaf. Molecules 2014, 19, 4256–4283. [Google Scholar] [CrossRef]
- Sánchez-Gutiérrez, M.; Bascón-Villegas, I.; Espinosa, E.; Carrasco, E.; Pérez-Rodríguez, F.; Rodríguez, A. Cellulose Nanofibers from Olive Tree Pruning as Food Packaging Additive of a Biodegradable Film. Foods 2021, 10, 1584. [Google Scholar] [CrossRef]













| Film Type | Film Label | % CNFs | % LCNFs * | %TA * |
|---|---|---|---|---|
| PVA | P | 0 | 0 | 0 |
| PVA + 2% CNFs | P2CNF | 2 | 0 | 0 |
| PVA + 4% CNFs | P4CNF | 4 | 0 | 0 |
| PVA + 6% CNFs | P6CNF | 6 | 0 | 0 |
| PVA + 10% CNFs | P10CNF | 10 | 0 | 0 |
| PVA + 2% CNFs + 10% TA | P2CNF10T | 2 | 0 | 10 |
| PVA + 2% LCNFs | P2LCNF | 0 | 2 | 0 |
| PVA + 4% LCNFs | P4LCNF | 0 | 4 | 0 |
| PVA + 6% LCNFs | P6LCNF | 0 | 6 | 0 |
| PVA + 10% LCNFs | P10LCNF | 0 | 10 | 0 |
| PVA + 2% LCNFs +10% TA | P2LCNF10T | 0 | 2 | 10 |
| PVA + 6% LCNFs + 10% TA | P6LCNF10T | 0 | 6 | 10 |
| PVA + 10% LCNFs + 10% TA | P10LCNF10T | 0 | 10 | 10 |
| Film Type | Et [MPa] | σM [MPa] | εtb [%] |
|---|---|---|---|
| P | 2552 ± 233 | 68.6 ± 10.2 | 8.5 ± 2.5 |
| P2CNF | 4612 ± 555 | 97.6 ± 9.4 | 8.8 ± 1.0 |
| P4CNF | 4348 ± 451 | 96.4 ± 5.6 | 7.9 ± 1.6 |
| P6CNF | 4676 ± 430 | 105.1 ± 8.7 | 6.1 ± 0.9 |
| P10CNF | 4003 ± 510 | 78.1 ± 4.7 | 10.9 ± 2.3 |
| P2CNF10T | 3473 ± 283 | 98.1 ± 4.0 | 7.2 ± 0.8 |
| P2LCNF | 3227 ± 534 | 83.1 ± 5.3 | 17.8 ± 2.0 |
| P4LCNF | 3427 ± 318 | 87.1 ± 8.2 | 9.1 ± 1.2 |
| P6LCNF | 4898 ± 702 | 95.6 ± 12.3 | 8.0 ± 1.0 |
| P10LCNF | 4040 ± 502 | 91.4 ± 7.9 | 6.4 ± 0.6 |
| P2LCNF10T | 3086 ± 299 | 90.7 ± 5.0 | 8.6 ± 1.0 |
| P6LCNF10T | 3725 ± 842 | 93.8 ± 11.4 | 3.5 ± 0.9 |
| P10LCNF10T | 4539 ± 512 | 86.9 ± 12.4 | 3.3 ± 0.6 |
| Film Type | Tg [°C] | Tm [°C] | XcDSC [%] a |
|---|---|---|---|
| P | 75 | 221 | 42 |
| P2CNF | 78 | 221 | 40 |
| P4CNF | 75 | 220 | 38 |
| P6CNF | 76 | 222 | 39 |
| P10CNF | 78 | 219 | 38 |
| P2CNF10T | 83 | 208 | 31 |
| P2LCNF | 76 | 219 | 43 |
| P4LCNF | 78 | 219 | 41 |
| P6LCNF | 80 | 218 | 40 |
| P10LCNF | 81 | 216 | 36 |
| P2LCNF10T | 83 | 215 | 31 |
| P6LCNF10T | 87 | 210 | 26 |
| P10LCNF10T | 88 | 207 | 30 |
| Film Type | Tonset [°C] | Tmax [°C] |
|---|---|---|
| P | 298 | 364 |
| P2CNF | 299 | 366 |
| P4CNF | 297 | 366 |
| P6CNF | 294 | 366 |
| P10CNF | 290 | 362 |
| P2CNF10T | 298 | 366 |
| P2LCNF | 285 | 356 |
| P4LCNF | 284 | 335 |
| P6LCNF | 282 | 332 |
| P10LCNF | 278 | 327 |
| P2LCNF10T | 303 | 361 |
| P6LCNF10T | 303 | 350 |
| P10LCNF10T | 302 | 340 |
| Film Type | RSA [%] | sd [%] |
|---|---|---|
| P | 0.0 | 0.0 |
| P2CNF | 0.0 | 0.0 |
| P4CNF | 0.0 | 0.0 |
| P6CNF | 0.0 | 0.0 |
| P10CNF | 0.0 | 0.0 |
| P2CNF10T | 85.4 | 1.2 |
| P2LCNF | 0.0 | 0.0 |
| P4LCNF | 0.0 | 0.0 |
| P6LCNF | 0.0 | 0.0 |
| P10LCNF | 1.8 | 1.0 |
| P2LCNF10T | 86.7 | 2.4 |
| P6LCNF10T | 85.4 | 1.0 |
| P10LCNF10T | 86.8 | 0.6 |
Disclaimer/Publisher’s Note: The statements, opinions and data contained in all publications are solely those of the individual author(s) and contributor(s) and not of MDPI and/or the editor(s). MDPI and/or the editor(s) disclaim responsibility for any injury to people or property resulting from any ideas, methods, instructions or products referred to in the content. |
© 2024 by the authors. Licensee MDPI, Basel, Switzerland. This article is an open access article distributed under the terms and conditions of the Creative Commons Attribution (CC BY) license (https://creativecommons.org/licenses/by/4.0/).
Share and Cite
Osolnik, U.; Vek, V.; Humar, M.; Oven, P.; Poljanšek, I. (Ligno)Cellulose Nanofibrils and Tannic Acid as Green Fillers for the Production of Poly(vinyl alcohol) Biocomposite Films. Polymers 2025, 17, 16. https://doi.org/10.3390/polym17010016
Osolnik U, Vek V, Humar M, Oven P, Poljanšek I. (Ligno)Cellulose Nanofibrils and Tannic Acid as Green Fillers for the Production of Poly(vinyl alcohol) Biocomposite Films. Polymers. 2025; 17(1):16. https://doi.org/10.3390/polym17010016
Chicago/Turabian StyleOsolnik, Urša, Viljem Vek, Miha Humar, Primož Oven, and Ida Poljanšek. 2025. "(Ligno)Cellulose Nanofibrils and Tannic Acid as Green Fillers for the Production of Poly(vinyl alcohol) Biocomposite Films" Polymers 17, no. 1: 16. https://doi.org/10.3390/polym17010016
APA StyleOsolnik, U., Vek, V., Humar, M., Oven, P., & Poljanšek, I. (2025). (Ligno)Cellulose Nanofibrils and Tannic Acid as Green Fillers for the Production of Poly(vinyl alcohol) Biocomposite Films. Polymers, 17(1), 16. https://doi.org/10.3390/polym17010016

