Research Advances in Natural Polymers for Environmental Remediation
Abstract
1. Introduction
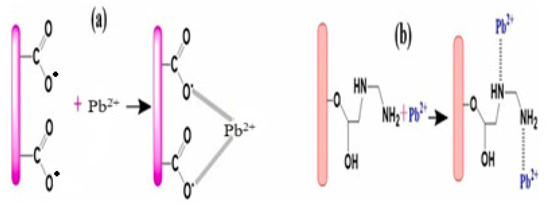
2. Adsorption Mechanism
3. Major Natural Polymers
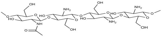
3.1. Chitosan
3.2. Cellulose
3.3. Lignin
3.4. Pectin
4. Natural Polymer-Based Composites
4.1. Chitosan Composites
4.2. Cellulose Composites
4.3. Lignin Composites
4.4. Pectin Composites
5. Applications
5.1. Adsorption of Metal Ions
5.2. Adsorption of Dyes
6. Challenges and Perspectives
7. Conclusions
Author Contributions
Funding
Conflicts of Interest
References
- Lin, L.; Yang, H.; Xu, X. Effects of water pollution on human health and disease heterogeneity: A review. Front. Environ. Sci. 2022, 10, 880246. [Google Scholar] [CrossRef]
- Akhtar, N.; Syakir Ishak, M.I.; Bhawani, S.A.; Umar, K. Various natural and anthropogenic factors responsible for water quality degradation: A review. Water 2021, 13, 2660. [Google Scholar] [CrossRef]
- Giri, S. Water quality prospective in Twenty First Century: Status of water quality in major river basins, contemporary strategies and impediments: A review. Environ. Pollut. 2021, 271, 116332. [Google Scholar] [CrossRef] [PubMed]
- Iyiola, A.O.; Akinrinade, A.J.; Ajayi, F.O. Effects of Water pollution on biodiversity along the coastal regions. In Biodiversity in Africa: Potentials, Threats and Conservation; Springer Nature: Singapore, 2022; pp. 345–367. [Google Scholar]
- Chakraborty, S.K. River pollution and perturbation: Perspectives and processes. In Riverine Ecology Volume 2: Biodiversity Conservation, Conflicts and Resolution; Springer: Cham, Switzerland, 2021; pp. 443–530. [Google Scholar]
- Agrawal, K.K.; Panda, C.; Bhuyan, M.K. Impact of urbanization on water quality. In Current Advances in Mechanical Engineering: Select Proceedings of ICRAMERD 2020; Springer: Singapore, 2021; pp. 665–673. [Google Scholar]
- Saravanan, A.; Kumar, P.S.; Jeevanantham, S.; Karishma, S.; Tajsabreen, B.; Yaashikaa, P.; Reshma, B. Effective water/wastewater treatment methodologies for toxic pollutants removal: Processes and applications towards sustainable development. Chemosphere 2021, 280, 130595. [Google Scholar] [CrossRef]
- Rathi, B.S.; Kumar, P.S.; Vo, D.-V.N. Critical review on hazardous pollutants in water environment: Occurrence, monitoring, fate, removal technologies and risk assessment. Sci. Total Environ. 2021, 797, 149134. [Google Scholar] [CrossRef]
- Rebelo, A.; Ferra, I.; Gonçalves, I.; Marques, A.M. A risk assessment model for water resources: Releases of dangerous and hazardous substances. J. Environ. Manag. 2014, 140, 51–59. [Google Scholar] [CrossRef] [PubMed]
- Bilal, M.; Adeel, M.; Rasheed, T.; Zhao, Y.; Iqbal, H.M.N. Emerging contaminants of high concern and their enzyme-assisted biodegradation–a review. Environ. Int. 2019, 124, 336–353. [Google Scholar] [CrossRef] [PubMed]
- Bilal, M.; Rasheed, T.; Nabeel, F.; Iqbal, H.M.; Zhao, Y. Hazardous contaminants in the environment and their laccase-assisted degradation–a review. J. Environ. Manag. 2019, 234, 253–264. [Google Scholar] [CrossRef]
- Khan, N.A.; Hasan, Z.; Jhung, S.H. Adsorptive removal of hazardous materials using metal-organic frameworks (MOFs): A review. J. Hazard. Mater. 2013, 244–245, 444–456. [Google Scholar] [CrossRef] [PubMed]
- Sharma, P.; Kaur, H.; Sharma, M.; Sahore, V. A review on applicability of naturally available adsorbents for the removal of hazardous dyes from aqueous waste. Environ. Monit. Assess. 2011, 183, 151–195. [Google Scholar] [CrossRef] [PubMed]
- Ajiboye, T.O.; Oyewo, O.A.; Onwudiwe, D.C. Simultaneous removal of organics and heavy metals from industrial wastewater: A review. Chemosphere 2021, 262, 128379. [Google Scholar] [CrossRef] [PubMed]
- Waheed, A.; Baig, N.; Ullah, N.; Falath, W. Removal of hazardous dyes, toxic metal ions and organic pollutants from wastewater by using porous hyper-cross-linked polymeric materials: A review of recent advances. J. Environ. Manag. 2021, 287, 112360. [Google Scholar] [CrossRef]
- Kuchangi, S.N.; Mruthunjayappa, M.H.; Kotrappanavar, N.S. An overview of water pollutants in present scenario. In 3D Printing Technology for Water Treatment Applications; Elsevier: Amsterdam, The Netherlands, 2023; pp. 83–105. [Google Scholar]
- Mano, E.B. Natural polymer characterization. Macromol. Symp. 2007, 258, 1–4. [Google Scholar] [CrossRef]
- Bekchanov, D.; Mukhamediev, M.; Yarmanov, S.; Lieberzeit, P.; Mujahid, A. Functionalizing natural polymers to develop green adsorbents for wastewater treatment applications. Carbohydr. Polym. 2024, 323, 121397. [Google Scholar] [CrossRef] [PubMed]
- Prasad, V.; Alliyankal Vijayakumar, A.; Jose, T.; George, S.C. A comprehensive review of sustainability in natural-fiber-reinforced polymers. Sustainability 2024, 16, 1223. [Google Scholar] [CrossRef]
- Elfaleh, I.; Abbassi, F.; Habibi, M.; Ahmad, F.; Guedri, M.; Nasri, M.; Garnier, C. A comprehensive review of natural fibers and their composites: An eco-friendly alternative to conventional materials. Results Eng. 2023, 19, 101271. [Google Scholar] [CrossRef]
- Mukherjee, C.; Varghese, D.; Krishna, J.; Boominathan, T.; Rakeshkumar, R.; Dineshkumar, S.; Rao, C.B.; Sivaramakrishna, A. Recent advances in biodegradable polymers–properties, applications and future prospects. Eur. Polym. J. 2023, 192, 112068. [Google Scholar] [CrossRef]
- Kandar, C.C.; Hasnain, M.S.; Nayak, A.K. Natural polymers as useful pharmaceutical excipients. In Advances and Challenges in Pharmaceutical Technology; Elsevier: Amsterdam, The Netherlands, 2021; pp. 1–44. [Google Scholar]
- Kayan, G.Ö.; Kayan, A. Composite of natural polymers and their adsorbent properties on the dyes and heavy metal ions. J. Polym. Environ. 2021, 29, 3477–3496. [Google Scholar] [CrossRef]
- Matei, E.; Predescu, A.M.; Râpă, M.; Țurcanu, A.A.; Mateș, I.; Constantin, N.; Predescu, C. Natural polymers and their nanocomposites used for environmental applications. Nanomaterials 2022, 12, 1707. [Google Scholar] [CrossRef]
- El-Gaayda, J.; Titchou, F.E.; Oukhrib, R.; Yap, P.-S.; Liu, T.; Hamdani, M.; Akbour, R.A. Natural flocculants for the treatment of wastewaters containing dyes or heavy metals: A state-of-the-art review. J. Environ. Chem. Eng. 2021, 9, 106060. [Google Scholar] [CrossRef]
- Jahan, I.; Zhang, L. Natural polymer-based electrospun nanofibrous membranes for wastewater treatment: A review. J. Polym. Environ. 2022, 30, 1709–1729. [Google Scholar] [CrossRef]
- Badawi, A.K.; Salama, R.S.; Mostafa, M.M.M. Natural-based coagulants/flocculants as sustainable market-valued products for industrial wastewater treatment: A review of recent developments. RSC Adv. 2023, 13, 19335–19355. [Google Scholar] [CrossRef]
- Çatlıoğlu, F.N.; Akay, S.; Gözmen, B.; Turunç, E.; Anastopoulos, I.; Kayan, B.; Kalderis, D. Fe-modified hydrochar from orange peel as adsorbent of food colorant Brilliant Black: Process optimization and kinetic studies. Int. J. Environ. Sci. Technol. 2020, 17, 1975–1990. [Google Scholar] [CrossRef]
- Mansur, N.F.; Megat Hanafiah, M.A.K.; Ismail, M. Pb (II) Adsorption onto Urea Treated Leucaena leucocephala Leaf Powder: Characterization, Kinetics and Isotherm Studies. Nat. Environ. Pollut. Technol. 2020, 19, 311–318. [Google Scholar]
- Hasan, M.M.; Shenashen, M.; Hasan, M.N.; Znad, H.; Salman, M.S.; Awual, M.R. Natural biodegradable polymeric bioadsorbents for efficient cationic dye encapsulation from wastewater. J. Mol. Liq. 2021, 323, 114587. [Google Scholar] [CrossRef]
- Kubra, K.T.; Salman, M.S.; Hasan, M.N. Enhanced toxic dye removal from wastewater using biodegradable polymeric natural adsorbent. J. Mol. Liq. 2021, 328, 115468. [Google Scholar] [CrossRef]
- Elwakeel, K.Z. Removal of Cr (VI) from alkaline aqueous solutions using chemically modified magnetic chitosan resins. Desalination 2010, 250, 105–112. [Google Scholar] [CrossRef]
- Wang, Y.; Ge, S.; Cheng, W.; Hu, Z.; Shao, Q.; Wang, X.; Lin, J.; Dong, M.; Wang, J.; Guo, Z. Microwave hydrothermally synthesized metal–organic framework-5 derived C-doped ZnO with enhanced photocatalytic degradation of rhodamine B. Langmuir 2020, 36, 9658–9667. [Google Scholar] [CrossRef] [PubMed]
- Umar, A.; Kumar, R.; Chauhan, M.; Al-Hadeethi, Y. ZnO–SnO2 nanocubes for fluorescence sensing and dye degradation applications. Ceram. Int. 2021, 47, 6201–6210. [Google Scholar]
- Sun, Y.; Shah, K.J.; Sun, W.; Zheng, H. Performance evaluation of chitosan-based flocculants with good pH resistance and high heavy metals removal capacity. Sep. Purif. Technol. 2019, 215, 208–216. [Google Scholar] [CrossRef]
- Maćczak, P.; Kaczmarek, H.; Ziegler-Borowska, M.; Węgrzynowska-Drzymalska, K.; Burkowska-But, A. The use of chitosan and starch-based flocculants for filter backwash water treatment. Materials 2022, 15, 1056. [Google Scholar] [CrossRef] [PubMed]
- Bora, A.J.; Dutta, R.K. Removal of metals (Pb, Cd, Cu, Cr, Ni, and Co) from drinking water by oxidation-coagulation-absorption at optimized pH. J. Water Process Eng. 2019, 31, 100839. [Google Scholar] [CrossRef]
- Ibrahim, Y.; Abdulkarem, E.; Naddeo, V.; Banat, F.; Hasan, S.W. Synthesis of super hydrophilic cellulose-alpha zirconium phosphate ion exchange membrane via surface coating for the removal of heavy metals from wastewater. Sci. Total Environ. 2019, 690, 167–180. [Google Scholar] [CrossRef] [PubMed]
- Xu, J.; Liu, C.; Hsu, P.; Zhao, J.; Wu, T.; Tang, J.; Liu, K.; Cui, Y. Remediation of heavy metal contaminated soil by asymmetrical alternating current electrochemistry. Nat. Commun. 2019, 10, 2440. [Google Scholar] [CrossRef]
- Bashir, A.; Malik, L.A.; Ahad, S.; Manzoor, T.; Bhat, M.A.; Dar, G.N.; Pandith, A.H. Removal of heavy metal ions from aqueous system by ion-exchange and biosorption methods. Environ. Chem. Lett. 2019, 17, 729–754. [Google Scholar] [CrossRef]
- Lindholm-Lehto, P.C. Biosorption of Heavy Metals by Lignocellulosic Biomass and Chemical Analysis. BioResources 2019, 14, 4952–4995. [Google Scholar] [CrossRef]
- Kayan, A. Inorganic-organic hybrid materials and their adsorbent properties. Adv. Compos. Hybrid Mater. 2019, 2, 34–45. [Google Scholar] [CrossRef]
- Aljamali, N.M.; Khdur, R.; Alfatlawi, I.O. Physical and chemical adsorption and its applications. Int. J. Thermodyn. Chem. Kinet. 2021, 7, 1–8. [Google Scholar]
- Pourhakkak, P.; Taghizadeh, A.; Taghizadeh, M.; Ghaedi, M.; Haghdoust, S. Fundamentals of adsorption technology. In Interface Science and Technology; Elsevier: Amsterdam, The Netherlands, 2021; Volume 33, pp. 1–70. [Google Scholar]
- Söğüt, E.G.; Gülcan, M. Adsorption: Basics, properties, and classification. In Adsorption Through Advanced Nanoscale Materials; Elsevier: Amsterdam, The Netherlands, 2023; pp. 3–21. [Google Scholar]
- Rathi, B.S.; Kumar, P.S. Application of adsorption process for effective removal of emerging contaminants from water and wastewater. Environ. Pollut. 2021, 280, 116995. [Google Scholar] [CrossRef] [PubMed]
- Mao, J.; Lei, X.; Fu, X.; Chen, Z.; Zhu, H.; Xue, F.; Yu, Z.; Wang, L.; Xia, N.; He, H. Structural design of cellulose-hyperbranched double-network for enhanced intramolecular diffusion kinetics of heavy metal ion capture processes. Chem. Eng. J. 2024, 498, 155642. [Google Scholar] [CrossRef]
- Sumaila, A.; Aliyu, A.; Usman, A. Adsorption Isotherm, Kinetic, and Thermodynamic Studies for the Removal of Pb (II) and Zn (II) Ions from Mining Wastewater using Chitosan (CH) and Chitosan-Copper Oxide Nanocomposites (CMP). Moroc. J. Chem. 2024, 12, 696–713. [Google Scholar]
- Kumar, R.; Pande, P.P.; Chaurasiya, A.; Dey, K.K.; Kushwaha, N.; Kumar, P.; Kashaudhan, K. Synthesis and characterization of novel pectin-based copper oxide nanocomposite and its application for removal and photocatalytic degradation of methylene blue from aqueous solution. Iran. Polym. J. 2025, 34, 65–81. [Google Scholar] [CrossRef]
- Fu, M.; Tuo, X.; Yan, X.; Li, D.; Zhu, H.; Gao, S.; Han, X.; Zhou, J.; Mou, D.; Xiu, J. Adsorption performance and mechanism of pectin modified with β-cyclodextrin for Zn2+ and Cu2+. Int. J. Biol. Macromol. 2024, 274, 133563. [Google Scholar] [CrossRef]
- Ren, H.; Hao, Y.; Sheng, J.; Zhang, G.; Zheng, J.; Ti, X.; Li, Y.; Ai, G.; Wang, S.; Li, L.; et al. A lignin-based composite hydrogel for the removal of heavy metal ions from aqueous solution. J. Wood Chem. Technol. 2024, 44, 277–291. [Google Scholar] [CrossRef]
- Du, B.; Wang, Y.; Zheng, Q.; Wang, X.; Chen, X.; Zhou, J.; Yang, G.; Sun, R.-C. A novel modified lignin-based adsorbent for removal of malachite green and Pb2+ ions from wastewater. Sep. Purif. Technol. 2024, 330, 125495. [Google Scholar] [CrossRef]
- Chen, L.; Hu, J.; He, Y.; Wang, H.; Deng, Q.; Mi, B.; Wu, F. Microwave-assisted pyrolysis of waste lignin to prepare biochar for Cu2+ highly-efficient adsorption: Performance, kinetics and mechanism resolution. Sep. Purif. Technol. 2024, 342, 127070. [Google Scholar] [CrossRef]
- Li, S.; Li, X.; Li, S.; Xu, P.; Liu, Z.; Yu, S. In-situ preparation of lignin/Fe3O4 magnetic spheres as bifunctional material for the efficient removal of metal ions and methylene blue. Int. J. Biol. Macromol. 2024, 259, 128971. [Google Scholar] [CrossRef] [PubMed]
- Verma, Y.; Sharma, G.; Kumar, A.; Dhiman, P.; Si, C.; Stadler, F.J. Synthesizing pectin-crosslinked gum ghatti hydrogel for efficient adsorptive removal of malachite green. Int. J. Biol. Macromol. 2024, 258, 128640. [Google Scholar] [CrossRef]
- Patel, P.K.; Pandey, L.M.; Uppaluri, R.V. Cyclic adsorption and desorption characteristics of citric acid-chitosan variant resins for Pb, Fe, and Zn removal from simulated mining and agricultural wastewater system. J. Polym. Environ. 2024, 32, 5750–5770. [Google Scholar] [CrossRef]
- Nassef, H.M.; Al-Hazmi, G.A.; Alayyafi, A.A.; El-Desouky, M.G.; El-Bindary, A.A. Synthesis and characterization of new composite sponge combining of metal-organic framework and chitosan for the elimination of Pb (II), Cu (II) and Cd (II) ions from aqueous solutions: Batch adsorption and optimization using Box-Behnken design. J. Mol. Liq. 2024, 394, 123741. [Google Scholar] [CrossRef]
- Zhao, D.; Wang, H.; Wang, Z.; Lu, S. Understanding competitive Cu2+ and Zn2+ adsorption onto functionalized cellulose fiber via experimental and theoretical approach. Int. J. Biol. Macromol. 2024, 273, 132782. [Google Scholar] [CrossRef]
- Abdullah, M.; Abdullah, L.C.; Adeyi, A.A.; Jamil, S.N.A.M.; Choong, T.S.Y.; Majid, R.A. Insight into copper and iron ion sequestration from liquid-phase environment by microcrystalline cellulose biosorbent: Experimental and modelling analyses. J. Iran. Chem. Soc. 2024, 21, 1843–1853. [Google Scholar] [CrossRef]
- Wu, S.; Yang, H.; Liang, G.; Sun, X. Development of L-Met functionalized cellulose nanofiber for an efficient removal of Pb2+ from aqueous solution: Characterization, adsorption behavior, DFT calculations and physiochemical mechanism. Int. J. Biol. Macromol. 2025, 292, 139180. [Google Scholar] [CrossRef]
- Mir, I.S.; Riaz, A.; Roy, J.S.; Fréchette, J.; Morency, S.; Gomes, O.P.; Dumée, L.F.; Greener, J.; Messaddeq, Y. Removal of cadmium and chromium heavy metals from aqueous medium using composite bacterial cellulose membrane. Chem. Eng. J. 2024, 490, 151665. [Google Scholar] [CrossRef]
- Suter, E.; Rutto, H.; Seodigeng, T.; Kiambi, L.; Omwoyo, W. Bagasse-Based Cellulose Nanocrystal–Magnetic Iron Oxide Nanocomposite for Removal of Chromium (VI) from Aqua Media. Eng. Proc. 2024, 67, 5. [Google Scholar] [CrossRef]
- Bao, Y.; Zheng, X.; Guo, R.; Wang, L.; Liu, C.; Zhang, W. Biomass chitosan/sodium alginate colorimetric imprinting hydrogels with integrated capture and visualization detection for cadmium (II). Carbohydr. Polym. 2024, 331, 121841. [Google Scholar] [CrossRef]
- Ghubayra, R.; Mousa, I.; Madkhali, M.M.; Alaghaz, A.-N.M.; Elsayed, N.H.; El-Bindary, A.A. Synthesis and characterization of a novel TiO2@ chitosan/alginate nanocomposite sponge for highly efficient removal of As (V) ions from aqueous solutions: Adsorption isotherm, kinetics, experiment and adsorption mechanism optimization using Box-Behnken design. Int. J. Biol. Macromol. 2024, 275, 133513. [Google Scholar]
- Ungureanu, E.; Samuil, C.; Țopa, D.C.; Ungureanu, O.C.; Tofanica, B.-M.; Fortună, M.E.; Brezuleanu, C.O. Adsorption of Ni (II) from Aqueous Media on Biodegradable Natural Polymers—Sarkanda Grass Lignin. Crystals 2024, 14, 381. [Google Scholar] [CrossRef]
- Su, K.; Wei, C.; Liang, B.; Huang, H.; Huang, G.; Li, S.; Liang, J.; Huang, K. Thiol and amino co-grafting modification of sugarcane bagasse lignin nanospheres to enhance the adsorption capacity of cadmium ion. Ind. Crops Prod. 2024, 222, 119982. [Google Scholar] [CrossRef]
- Boughanmi, R.; Oelmann, M.; Steinbach, C.; Schwarz, S. Sustainable polyelectrolyte complexes of pectin and chitosan as adsorbents for heavy metal ions from surface water. J. Polym. Sci. 2025, 63, 133–145. [Google Scholar] [CrossRef]
- Khampala, S.; Sopasin, S.; Puchongkawarin, C.; Umpuch, C. An experimental design approach for lead (II) ion removal in an aqueous environment using a composite biofilm from microalgal biomass and pectin. Chem. Eng. Commun. 2024, 211, 743–762. [Google Scholar] [CrossRef]
- El Mahdaoui, A.; Radi, S.; Elidrissi, A.; Faustino, M.A.F.; Neves, M.G.P.; Moura, N.M. Progress in the modification of cellulose-based adsorbents for the removal of toxic heavy metal ions. J. Environ. Chem. Eng. 2024, 12, 113870. [Google Scholar] [CrossRef]
- Zhu, C.; Chu, Z.; Ni, C.; Chen, Y.; Chen, Z.; Yang, Z. Robust functionalized cellulose-based porous composite for efficient capture and ultra-fast desorption of aqueous heavy metal pollution. Carbohydr. Polym. 2024, 324, 121513. [Google Scholar] [CrossRef] [PubMed]
- Nasution, D.Y.; Siregar, A.H.; Rokhmayanti, E. Determination of Maximum Adsorption Capacity of Chitosan and Carboxymethyl Chitosan on the Absorption of Metal Ions Cr (VI) Based on the Langmuir Equation. J. Chem. Nat. Resour. 2024, 6, 30–38. [Google Scholar] [CrossRef]
- Xiao, F.; Su, D.; Ren, Y.; Zhou, J.; Xu, H.; Li, Z.; He, J. Efficient Removal of Cadmium (Cd2+) from Aqueous Solutions by Chitosan@ fig Branch Biochar: Adsorption Performance and Enhanced Complexation. Langmuir 2025, 41, 3909–3921. [Google Scholar] [CrossRef]
- Ayach, J.; Duma, L.; Badran, A.; Hijazi, A.; Martinez, A.; Bechelany, M.; Baydoun, E.; Hamad, H. Enhancing Wastewater Depollution: Sustainable Biosorption Using Chemically Modified Chitosan Derivatives for Efficient Removal of Heavy Metals and Dyes. Materials 2024, 17, 2724. [Google Scholar] [CrossRef] [PubMed]
- Allahkarami, E.; Maleki, S.; Azadmehr, A.; Aghayan, S.; Allahkarami, E. Fabricating nepheline syenite-chitosan composite for heavy metals uptake: Mechanism insight via statistical physics modeling. Sep. Purif. Technol. 2025, 354, 129152. [Google Scholar] [CrossRef]
- Trivunac, K.; Mihajlović, S.; Vukčević, M.; Maletić, M.; Pejić, B.; Kalijadis, A.; Perić Grujić, A. Modified Cellulose-Based Waste for Enhanced Adsorption of Selected Heavy Metals from Wastewater. Polymers 2024, 16, 2610. [Google Scholar] [CrossRef] [PubMed]
- Aminsharei, F.; Lahijanian, A.; Shiehbeigi, A.; Beiki, S.S.; Ghashang, M. Dual magnetization and amination of cellulosic chains for the efficient adsorption of heavy metals. Int. J. Biol. Macromol. 2024, 276, 134004. [Google Scholar] [CrossRef] [PubMed]
- Gupta, S.; Laiq, E.; Meraj, U.; Qurtulen, Q. Characterization of novel pectin zirconium tungstosilicate hybrid ion exchanger and its adsorptive remediation of environmental pollutants. Int. J. Environ. Sci. Technol. 2024, 21, 8675–8694. [Google Scholar] [CrossRef]
- Priya, V.S.; Basha, S.K.; Kumari, V.S. Sustainable removal of hexavalent chromium using graphene oxide-Iron oxide reinforced pectin/polyvinyl alcohol magnetic gel beads. Int. J. Biol. Macromol. 2024, 257, 128542. [Google Scholar] [CrossRef]
- Guo, S.; Zhang, W.; Liu, Y.; Tan, S.; Cai, H.; Geng, J.; Liu, X. Effective removal of Pb (II) from multiple cationic heavy metals—An inexpensive lignin-modified attapulgite. Sustainability 2024, 16, 5831. [Google Scholar] [CrossRef]
- Wang, C.; Feng, X.; Tian, Y.; Huang, X.; Shang, S.; Liu, H.; Song, Z.; Zhang, H. Facile synthesis of lignin-based Fe-MOF for fast adsorption of methyl orange. Environ. Res. 2024, 251, 118651. [Google Scholar] [CrossRef] [PubMed]
- Abdullah, A.H.; Yasin, S.A.; Abdullah, S.M.; Thalji, M.R.; Aziz, F.; Assiri, M.A.; Chong, K.F.; Ali, G.A.M.; Bakr, Z.H. Removal of Cr (VI) using thiol-modified cellulose nanostructure for water sustainability: Detailed adsorption study. Biomass Convers. Biorefin. 2024. [Google Scholar] [CrossRef]
- Wang, Q.; Tang, S.-F.; Zhang, Y. Recent development of natural polysaccharide-modified biochar on adsorption of pollutants from wastewater: Preparation, characterization, mechanisms and applications. Sep. Purif. Technol. 2024, 343, 127142. [Google Scholar] [CrossRef]
- Chaibou Yacouba, A.-R.C.; Oral, A.E.; Sert, S.; Kaptanoglu, I.G.; Natatou, I.; Yusan, S.; Aytas, S. Removal of lanthanum and cerium from aqueous solution using chitosan-functionalized magnetite-pectin. Discov. Water 2024, 4, 1. [Google Scholar] [CrossRef]
- Zheng, J.; Yang, L.; You, N.; Ding, B.; Fan, H. Chelating Cellulose for Removal of Heavy Metals. Korean J. Chem. Eng. 2024, 41, 2729–2739. [Google Scholar] [CrossRef]
- Matter, E.A.; Hassan, A.F.; Elfaramawy, N.M.; Esmail, G. Enhanced adsorption of lead (II) ions onto cellulose nanoparticles/chitosan composite based on loofah sponge: Kinetic and thermodynamic studies. Biomass Convers. Biorefin. 2024. [Google Scholar] [CrossRef]
- Obsa, A.L.; Shibeshi, N.T.; Mulugeta, E.; Workeneh, G.A. Bentonite/amino-functionalized cellulose composite as effective adsorbent for removal of lead: Kinetic and isotherm studies. Results Eng. 2024, 21, 101756. [Google Scholar] [CrossRef]
- Lopez, E.; Gómez, M.; Becar, I.; Zapata, P.; Pizarro, J.; Navlani-García, M.; Cazorla-Amorós, D.; Presser, V.; Gómez, T.; Cárdenas, C. Removal of Mo (VI), Pb (II), and Cu (II) from wastewater using electrospun cellulose acetate/chitosan biopolymer fibers. Int. J. Biol. Macromol. 2024, 269, 132160. [Google Scholar] [CrossRef] [PubMed]
- Tan, Z.; Yang, B.; Liu, W.; Yang, D.; Qiu, X.; Zheng, D. Multifunctional lignin-reinforced cellulose foam for the simultaneous removal of oils, dyes, and metal ions from water. Carbohydr. Polym. 2025, 348, 122890. [Google Scholar] [CrossRef] [PubMed]
- Alatawi, R.A. Electrospun nanofiber chitosan/polyvinyl alcohol loaded with metal organic framework nanofiber for efficient adsorption and removal of industrial dyes from waste water: Adsorption isotherm, kinetic, thermodynamic, and optimization via Box-Behnken design. Int. J. Biol. Macromol. 2025, 299, 140086. [Google Scholar] [CrossRef] [PubMed]
- Ojstršek, A.; Gorgieva, S. Cellulose Nanofibrils-Reinforced Pectin Membranes for the Adsorption of Cationic Dyes from a Model Solution. Polymers 2024, 16, 724. [Google Scholar] [CrossRef] [PubMed]
- Zubair, M.; Ullah, A. Chapter 14-Biopolymers in environmental applications: Industrial wastewater treatment. In Biopolymers and Their Industrial Applications; Elsevier: Amsterdam, The Netherlands, 2021; pp. 331–349. [Google Scholar] [CrossRef]
- Hussain, M.S.; Musharraf, S.G.; Bhanger, M.I.; Malik, M.I. Salicylaldehyde derivative of nano-chitosan as an efficient adsorbent for lead (II), copper (II), and cadmium (II) ions. Int. J. Biol. Macromol. 2020, 147, 643–652. [Google Scholar] [CrossRef] [PubMed]
- Privar, Y.; Shashura, D.; Pestov, A.; Ziatdinov, A.; Azarova, Y.; Bratskaya, S. Effect of regioselectivity of chitosan carboxyalkylation and type of cross-linking on the metal-chelate sorption properties toward ciprofloxacin. React. Funct. Polym. 2020, 150, 104536. [Google Scholar] [CrossRef]
- Zhao, G.-B.; Hao, Y.-F.; He, B.-Q.; Song, Y.-F.; Ji, Y.-H.; Zhang, Y.-H.; Bo, L.; Li, J.-X. A chitosan-separation-layer nanofiltration membrane prepared through homogeneous hybrid and copper ion enhancement. Sep. Purif. Technol. 2020, 234, 116084. [Google Scholar] [CrossRef]
- Li, S.-S.; Wang, X.-L.; An, Q.-D.; Xiao, Z.-Y.; Zhai, S.-R.; Cui, L.; Li, Z.-C. Upon designing carboxyl methylcellulose and chitosan-derived nanostructured sorbents for efficient removal of Cd (II) and Cr (VI) from water. Int. J. Biol. Macromol. 2020, 143, 640–650. [Google Scholar] [CrossRef] [PubMed]
- Philippova, O.E.; Volkov, E.V.; Sitnikova, N.L.; Khokhlov, A.R.; Desbrieres, J.; Rinaudo, M. Two types of hydrophobic aggregates in aqueous solutions of chitosan and its hydrophobic derivative. Biomacromolecules 2001, 2, 483–490. [Google Scholar] [CrossRef] [PubMed]
- Desbrières, J.; Guibal, E. Chitosan for wastewater treatment. Polym. Int. 2018, 67, 7–14. [Google Scholar] [CrossRef]
- Vidal, R.R.L.; Moraes, J.S. Removal of organic pollutants from wastewater using chitosan: A literature review. Int. J. Environ. Sci. Technol. 2019, 16, 1741–1754. [Google Scholar] [CrossRef]
- Carolin, F.; Kamalesh, T.; Kumar, P.S.; Hemavathy, R.; Rangasamy, G. A critical review on sustainable cellulose materials and its multifaceted applications. Ind. Crops Prod. 2023, 203, 117221. [Google Scholar] [CrossRef]
- Gopi, S.; Balakrishnan, P.; Chandradhara, D.; Poovathankandy, D.; Thomas, S. General scenarios of cellulose and its use in the biomedical field. Mater. Today Chem. 2019, 13, 59–78. [Google Scholar] [CrossRef]
- Wang, J.; Wang, L.; Gardner, D.J.; Shaler, S.M.; Cai, Z. Towards a cellulose-based society: Opportunities and challenges. Cellulose 2021, 28, 4511–4543. [Google Scholar] [CrossRef]
- Rahman, R. Fundamentals and Recent Advances in Nanocomposites Based on Polymers and Nanocellulose; Elsevier: Amsterdam, The Netherlands, 2021. [Google Scholar]
- Patil, N.; Shendkar, T.G.; Pardhi, A.; Suthar, S.P.; Patil, G.S.; Pathak, P.D. Bioethanol production from agricultural biomass: Sources of cellulose, pretreatment methods, and future prospects. In Biorefinery: A Sustainable Approach for the Production of Biomaterials, Biochemicals and Biofuels; Springer Nature: Singapore, 2023; pp. 287–324. [Google Scholar]
- Siró, I.; Plackett, D. Microfibrillated cellulose and new nanocomposite materials: A review. Cellulose 2010, 17, 459–494. [Google Scholar] [CrossRef]
- Stelte, W.; Sanadi, A.R. Preparation and characterization of cellulose nanofibers from two commercial hardwood and softwood pulps. Ind. Eng. Chem. Res. 2009, 48, 11211–11219. [Google Scholar] [CrossRef]
- Sheraz, M.; Sun, X.-F.; Siddiqui, A.; Wang, Y.; Hu, S.; Sun, R. Cellulose-Based Electrochemical Sensors. Sensors 2025, 25, 645. [Google Scholar] [CrossRef] [PubMed]
- Aguir, C.; M’Henni, M.F. Experimental study on carboxymethylation of cellulose extracted from Posidonia oceanica. J. Appl. Polym. Sci. 2006, 99, 1808–1816. [Google Scholar] [CrossRef]
- Habibi, Y. Key advances in the chemical modification of nanocelluloses. Chem. Soc. Rev. 2014, 43, 1519–1542. [Google Scholar] [CrossRef] [PubMed]
- Liimatainen, H.; Sirviö, J.; Sundman, O.; Visanko, M.; Hormi, O.; Niinimäki, J. Flocculation performance of a cationic biopolymer derived from a cellulosic source in mild aqueous solution. Bioresour. Technol. 2011, 102, 9626–9632. [Google Scholar] [CrossRef]
- Yan, M.; Li, S.; Zhang, M.; Li, C.; Dong, F.; Li, W. Characterization of surface acetylated nanocrystalline cellulose by single-step method. BioResources 2013, 8, 6330–6341. [Google Scholar] [CrossRef]
- Zhang, Z.; Sèbe, G.; Rentsch, D.; Zimmermann, T.; Tingaut, P. Ultralightweight and flexible silylated nanocellulose sponges for the selective removal of oil from water. Chem. Mater. 2014, 26, 2659–2668. [Google Scholar] [CrossRef]
- Chinga-Carrasco, G. Cellulose fibres, nanofibrils and microfibrils: The morphological sequence of MFC components from a plant physiology and fibre technology point of view. Nanoscale Res. Lett. 2011, 6, 417. [Google Scholar] [CrossRef] [PubMed]
- Singh, V.; Kendall, R.J.; Hake, K.; Ramkumar, S. Crude oil sorption by raw cotton. Ind. Eng. Chem. Res. 2013, 52, 6277–6281. [Google Scholar] [CrossRef]
- Li, D.; Zhu, F.Z.; Li, J.Y.; Na, P.; Wang, N. Preparation and characterization of cellulose fibers from corn straw as natural oil sorbents. Ind. Eng. Chem. Res. 2013, 52, 516–524. [Google Scholar] [CrossRef]
- Ragauskas, A.J.; Beckham, G.T.; Biddy, M.J.; Chandra, R.; Chen, F.; Davis, M.F.; Davison, B.H.; Dixon, R.A.; Gilna, P.; Keller, M.; et al. Lignin valorization: Improving lignin processing in the biorefinery. Science 2014, 344, 1246843. [Google Scholar] [CrossRef] [PubMed]
- Li, C.; Zhao, X.; Wang, A.; Huber, G.W.; Zhang, T. Catalytic transformation of lignin for the production of chemicals and fuels. Chem. Rev. 2015, 115, 11559–11624. [Google Scholar] [CrossRef]
- Jędrzejczak, P.; Collins, M.N.; Jesionowski, T.; Klapiszewski, Ł. The role of lignin and lignin-based materials in sustainable construction–a comprehensive review. Int. J. Biol. Macromol. 2021, 187, 624–650. [Google Scholar] [CrossRef]
- Calvo-Flores, F.G.; Dobado, J.A. Lignin as renewable raw material. ChemSusChem 2010, 3, 1227–1235. [Google Scholar] [CrossRef]
- Schutyser, W.; Renders, A.T.; Van den Bosch, S.; Koelewijn, S.-F.; Beckham, G.T.; Sels, B.F. Chemicals from lignin: An interplay of lignocellulose fractionation, depolymerisation, and upgrading. Chem. Soc. Rev. 2018, 47, 852–908. [Google Scholar] [CrossRef]
- Ponnusamy, V.K.; Nguyen, D.D.; Dharmaraja, J.; Shobana, S.; Banu, J.R.; Saratale, R.G.; Chang, S.W.; Kumar, G. A review on lignin structure, pretreatments, fermentation reactions and biorefinery potential. Bioresour. Technol. 2019, 271, 462–472. [Google Scholar] [CrossRef] [PubMed]
- Szalaty, T.J.; Klapiszewski, Ł.; Jesionowski, T. Recent developments in modification of lignin using ionic liquids for the fabrication of advanced materials–A review. J. Mol. Liq. 2020, 301, 112417. [Google Scholar] [CrossRef]
- Guo, H.; Zhang, B.; Qi, Z.; Li, C.; Ji, J.; Dai, T.; Wang, A.; Zhang, T. Valorization of lignin to simple phenolic compounds over tungsten carbide: Impact of lignin structure. ChemSusChem 2017, 10, 523–532. [Google Scholar] [CrossRef]
- De Gonzalo, G.; Colpa, D.I.; Habib, M.H.; Fraaije, M.W. Bacterial enzymes involved in lignin degradation. J. Biotechnol. 2016, 236, 110–119. [Google Scholar] [CrossRef]
- Upton, B.M.; Kasko, A.M. Strategies for the conversion of lignin to high-value polymeric materials: Review and perspective. Chem. Rev. 2016, 116, 2275–2306. [Google Scholar] [CrossRef] [PubMed]
- Boerjan, W.; Ralph, J.; Baucher, M. Lignin biosynthesis. Annu. Rev. Plant Biol. 2003, 54, 519–546. [Google Scholar] [CrossRef]
- Kai, D.; Tan, M.J.; Chee, P.L.; Chua, Y.K.; Yap, Y.L.; Loh, X.J. Towards lignin-based functional materials in a sustainable world. Green Chem. 2016, 18, 1175–1200. [Google Scholar] [CrossRef]
- Naseem, A.; Tabasum, S.; Zia, K.M.; Zuber, M.; Ali, M.; Noreen, A. Lignin-derivatives based polymers, blends and composites: A review. Int. J. Biol. Macromol. 2016, 93, 296–313. [Google Scholar] [CrossRef] [PubMed]
- Thakur, V.K.; Thakur, M.K.; Raghavan, P.; Kessler, M.R. Progress in green polymer composites from lignin for multifunctional applications: A review. ACS Sustain. Chem. Eng. 2014, 2, 1072–1092. [Google Scholar] [CrossRef]
- Tavakoli, O.; Goodarzi, V.; Saeb, M.R.; Mahmoodi, N.M.; Borja, R. Competitive removal of heavy metal ions from squid oil under isothermal condition by CR11 chelate ion exchanger. J. Hazard. Mater. 2017, 334, 256–266. [Google Scholar] [CrossRef] [PubMed]
- Sajjadi, M.; Ahmadpoor, F.; Nasrollahzadeh, M.; Ghafuri, H. Lignin-derived (nano) materials for environmental pollution remediation: Current challenges and future perspectives. Int. J. Biol. Macromol. 2021, 178, 394–423. [Google Scholar] [CrossRef]
- Wang, T.; Jiang, M.; Yu, X.; Niu, N.; Chen, L. Application of lignin adsorbent in wastewater Treatment: A review. Sep. Purif. Technol. 2022, 302, 122116. [Google Scholar] [CrossRef]
- Jiao, G.-J.; Ma, J.; Li, Y.; Jin, D.; Guo, Y.; Zhou, J.; Sun, R. Enhanced adsorption activity for phosphate removal by functional lignin-derived carbon-based adsorbent: Optimization, performance and evaluation. Sci. Total Environ. 2021, 761, 143217. [Google Scholar] [CrossRef]
- Martínez-Sabando, J.; Coin, F.; Melillo, J.H.; Goyanes, S.; Cerveny, S. A Review of Pectin-Based Material for Applications in Water Treatment. Materials 2023, 16, 2207. [Google Scholar] [CrossRef]
- Voragen, A.G.J.; Coenen, G.-J.; Verhoef, R.P.; Schols, H.A. Pectin, a versatile polysaccharide present in plant cell walls. Struct. Chem. 2009, 20, 263–275. [Google Scholar] [CrossRef]
- Yoshimura, T.; Sengoku, K.; Fujioka, R. Pectin-based surperabsorbent hydrogels crosslinked by some chemicals: Synthesis and characterization. Polym. Bull. 2005, 55, 123–129. [Google Scholar] [CrossRef]
- Chen, B.; McClements, D.J.; Gray, D.A.; Decker, E.A. Stabilization of soybean oil bodies by enzyme (laccase) cross-linking of adsorbed beet pectin coatings. J. Agric. Food Chem. 2010, 58, 9259–9265. [Google Scholar] [CrossRef]
- Li, J.; Yang, Z.-l.; Ding, T.; Song, Y.-J.; Li, H.-C.; Li, D.-q.; Chen, S.; Xu, F. The role of surface functional groups of pectin and pectin-based materials on the adsorption of heavy metal ions and dyes. Carbohydr. Polym. 2022, 276, 118789. [Google Scholar] [CrossRef]
- Li, F.T.; Yang, H.; Zhao, Y.; Xu, R. Novel modified pectin for heavy metal adsorption. Chin. Chem. Lett. 2007, 18, 325–328. [Google Scholar] [CrossRef]
- Mokhtar, A.; Abdelkrim, S.; Djelad, A.; Sardi, A.; Boukoussa, B.; Sassi, M.; Bengueddach, A. Adsorption behavior of cationic and anionic dyes on magadiite-chitosan composite beads. Carbohydr. Polym. 2020, 229, 115399. [Google Scholar] [CrossRef] [PubMed]
- Teimouri, A.; Ghased, N.; Nasab, S.G.; Habibollahi, S. Statistical design of experiment as a tool for optimization of methylene blue sorption on CS/MCM-41/nano-γ alumina as a novel and environmentally friendly adsorbent: Isotherm and kinetic studies. Desalination Water Treat. 2019, 139, 327–341. [Google Scholar] [CrossRef]
- Abd Malek, N.N.; Jawad, A.H.; Abdulhameed, A.S.; Ismail, K.; Hameed, B. New magnetic Schiff’s base-chitosan-glyoxal/fly ash/Fe3O4 biocomposite for the removal of anionic azo dye: An optimized process. Int. J. Biol. Macromol. 2020, 146, 530–539. [Google Scholar] [CrossRef]
- Tran, V.; Nguyen, T.; Nguyen, T.; Tran, V. Adsorption of Arsenate from Water by Iron-Chitosan Modified Fly Ash. In Proceedings of the Earth and Environmental Sciences, Mining for Digital Transformation, Green Development and Response to Global Change, Ho Chi Minh City, Vietnam, 29–30 December 2023; IOP Conference Series: Earth and Environmental Science. Volume 1383, p. 012010. [Google Scholar]
- Tshikovhi, A.; Motaung, T.E. Chitosan and guar-gum-based polymeric nanocomposites for the adsorption of contaminants in water: Insights into adsorption capacities, mechanisms, and applications. Desalination Water Treat. 2024, 320, 100708. [Google Scholar] [CrossRef]
- Noreen, S.; Bhatti, H.N.; Iqbal, M.; Hussain, F.; Sarim, F.M. Chitosan, starch, polyaniline and polypyrrole biocomposite with sugarcane bagasse for the efficient removal of Acid Black dye. Int. J. Biol. Macromol. 2020, 147, 439–452. [Google Scholar] [CrossRef]
- Abulyazied, D.; Isawi, H.; Ali, E.; Ahmed, S.; AlTurki, A.; Tarek, R.; Rashad, M.; Abd El Wahab, S. Fabrication and characterization of magnetic cobalt ferrite intercalated chitosan grafted polyaniline ternary nanocomposites for removing some heavy metals simultaneously. J. Mol. Liq. 2024, 393, 123527. [Google Scholar] [CrossRef]
- Hadi, B.J.; Umar, A.; Alhalafi, Z.; Inuwa, N.; Yahya Saddeek, S.; Hashim Ahmed, M. Ternary polymeric beads of chitosan-based polyaniline doped iron oxide used for removal of cadmium and lead ions from water: Kinetic, isotherm and mechanism studies. Sep. Sci. Technol. 2024, 59, 1683–1697. [Google Scholar] [CrossRef]
- Ruvubu, S.B.; Roy, I. Innovative nanocomposites for pollutant capture: Adsorption of rhodamine B dye using polyaniline-coated chitosan trisodium citrate nanocomposites. Int. J. Biol. Macromol. 2025, 292, 139293. [Google Scholar] [CrossRef]
- El-Shafie, A.S.; El-Azazy, M. Crosslinked chitosan–montmorillonite composite and its magnetized counterpart for the removal of basic fuchsin from wastewater: Parametric optimization using Box-Behnken design. Int. J. Biol. Macromol. 2024, 263, 130224. [Google Scholar] [CrossRef]
- Çetin, M.; Ozudogru, Y. Removal of malachite green dye by adsorption onto chitosan-montmorillonite nanocomposite: Kinetic, thermodynamic and equilibrium studies. J. Chin. Chem. Soc. 2025, 72, 196–210. [Google Scholar] [CrossRef]
- Heiba, H.F.; Taha, A.A.; Mostafa, A.R.; Mohamed, L.A.; Fahmy, M.A. Preparation and characterization of novel mesoporous chitin blended MoO3-montmorillonite nanocomposite for Cu (II) and Pb (II) immobilization. Int. J. Biol. Macromol. 2020, 152, 554–566. [Google Scholar] [CrossRef] [PubMed]
- Nassar, A.A.; Mubarak, M.F.; El-Sawaf, A.K.; Zayed, M.A.; Hemdan, M. Efficient lead ion removal from aqueous solutions for wastewater treatment using a novel cross-linked alginate-rice husk ash-graphene oxide-chitosan nanocomposite. Int. J. Biol. Macromol. 2025, 284, 137983. [Google Scholar] [CrossRef] [PubMed]
- El Bourachdi, S.; Moussaoui, F.; raza Ayub, A.; El Amri, A.; El Ouadrhiri, F.; Adachi, A.; Bendaoud, A.; Idrissi, A.M.; Lahkimi, A. DFT theoretical analysis, experimental approach, and RSM process to understand the congo red adsorption mechanism on Chitosan@ Graphene oxide beads. J. Mol. Struct. 2025, 1321, 140090. [Google Scholar] [CrossRef]
- Guo, T.; Bulin, C.; Li, C.; Xin, G.; Bao, J.; Song, J. Experimental and statistical physics illumination of Pb (II) adsorption on magnetic chitosan-graphene oxide surface. Sep. Purif. Technol. 2025, 354, 128867. [Google Scholar] [CrossRef]
- Zhang, Y.; Xue, Z.; Liu, X.; Feng, J.; Jiang, K.; Liu, Y. Simple synthesis of graphene oxide-supported and phosphorylated chitosan gel bead to uptake uranium from wastewater. Int. J. Biol. Macromol. 2025, 293, 139299. [Google Scholar] [CrossRef] [PubMed]
- Ko, M.; Choi, J.-H.; Jang, T.; Yoon, S.; Choi, J.-W.; Park, J.-A. Simultaneous removal of diclofenac, triclosan, and microplastics using graphene oxide-chitosan sponges. J. Water Process Eng. 2025, 70, 107032. [Google Scholar] [CrossRef]
- Jawad, A.H.; Mubarak, N.S.A.; Abdulhameed, A.S. Hybrid crosslinked chitosan-epichlorohydrin/TiO2 nanocomposite for reactive red 120 dye adsorption: Kinetic, isotherm, thermodynamic, and mechanism study. J. Polym. Environ. 2020, 28, 624–637. [Google Scholar] [CrossRef]
- Lahgui, F.; Cano, B.D.; Ramirez, A.A.; Heitz, M.; Hadjar, H.; Kaddour, S. Development of New Biosorbent Based on Crosslinked Chitosan Beads with High Brilliant Blue FCF Removal Efficiency. Molecules 2025, 30, 292. [Google Scholar] [CrossRef]
- Zhang, S.; Xin, L.; Li, M.; Fan, F.; Long, H.; Gao, X. Synthesis of Amino-protected Chitosan by Tripolyphosphate and Epichlorohydrin Modification: Cr (VI) Adsorption and Reaction Mechanism. J. Polym. Environ. 2024, 32, 703–717. [Google Scholar] [CrossRef]
- Salih, S.S.; Mahdi, A.; Kadhom, M.; Ghosh, T.K. Competitive adsorption of As (III) and As (V) onto chitosan/diatomaceous earth adsorbent. J. Environ. Chem. Eng. 2019, 7, 103407. [Google Scholar] [CrossRef]
- He, N.; Li, L.; Wang, P.; Zhang, J.; Chen, J.; Zhao, J. Dioxide/Chitosan/poly (lactide-co-caprolactone) composite membrane with efficient Cu (II) adsorption. Colloids Surf. A Physicochem. Eng. Asp. 2019, 580, 123687. [Google Scholar] [CrossRef]
- Farokhi, M.; Parvareh, A.; Moraveji, M.K. Adsorption optimization of Cr (VI) and Co (II) onto the synthesized chitosan/cerium oxide/iron oxide nano-composite in water system using RSM according to CCD method. Desalination Water Treat. 2019, 143, 240–255. [Google Scholar] [CrossRef]
- Bavasso, I.; Vuppala, S.; Cianfrini, C. Cr (VI) Removal by Chitosan-Magnetite Nano-Composite in Aqueous Solution. CET J. Chem. Eng. Trans. 2019, 73, 163–168. [Google Scholar]
- Dada, A.O.; Inyinbor, A.A.; Tokula, B.E.; Ajanaku, C.O.; Ayo-Akere, S.; Latona, D.F.; Ajanaku, K. Sustainable Chitosan Supported Magnetite Nanocomposites for Sequestration of Rhodamine B Dye from the Environment. In Proceedings of the 7th International Conference on Science and Sustainable Development, Ota, Nigeria, 15–17 November 2023; IOP Conference Series: Earth and Environmental Science. Volume 1342, p. 012013. [Google Scholar]
- da Cruz, P.I.; dos Santos, H.C.T.; Mendonça, S.S.; Pereira, C.A.; da Silva Filho, E.D.; Bohn, F.; Pereira, M.R.; Fonseca, J.L.C. Magnetic composite chitosan/magnetite for removal of tetracycline from aqueous solutions. J. Dispers. Sci. Technol. 2024, 1–14. [Google Scholar] [CrossRef]
- Bui, Q.M.; Nguyen, V.D.; Vu, T.Q.; Nguyen, L.T.; Nguyen, H.T. Removal of anionic dye from aqueous solution by chitosan-magnetite nanocomposite. Int. J. Environ. Anal. Chem. 2024, 104, 6127–6147. [Google Scholar] [CrossRef]
- Chang, S.H.; Jampang, A.O.A.; Din, A.T.M. Adsorption isotherms, kinetics, and thermodynamics of Au (III) on chitosan/palm kernel fatty acid distillate/magnetite nanocomposites. Int. J. Biol. Macromol. 2025, 304, 140913. [Google Scholar] [CrossRef] [PubMed]
- Fouda, S.R.; Abuessawy, A.; Abdel-Rahman, A.A.-H.; El-Hema, H.S.; Eisa, M.N.; Hawata, M.A. New functionalized magnetite chitosan–heterocyclic nanocomposites excelling in Cd2+ removal from aqueous solution with biological activity. Appl. Water Sci. 2025, 15, 31. [Google Scholar] [CrossRef]
- Sudarmono; Istiqomah, N.I.; Cuana, R.; Mahardhika, L.J.; Chotimah; Suharyadi, E. Photocatalytic Reduction of Aqueous Hexavalent Chromium Using Novel Green-Synthesized Magnetite/Chitosan Nanocomposites employing Moringa Oleifera Leaf Extract under UV Irradiation. J. Hazard. Mater. Adv. 2025, 17, 100565. [Google Scholar] [CrossRef]
- Wu, R.; Hapiz, A.; Musa, S.A.; ALOthman, Z.A.; Sillanpää, M.; Jawad, A.H. Hydrothermal fabrication of composite chitosan grafted salicylaldehyde/coal fly ash/algae for malachite green dye removal: A statistical optimization. Int. J. Biol. Macromol. 2024, 280, 135897. [Google Scholar] [CrossRef]
- Sharmila, K.; Srinivasan, L.; Vijayalakshmi, K.; Alshalwi, M.; Alotaibi, K.M.; Sudha, P.N.; Supriya Prasad, P.; Sugashini, S.; Lavanya, G.; Deepa, M. Evaluation of efficacy of chitosan oligosaccharide-salicylaldehyde Schiff base to extract copper (II) and chromium (VI) from synthetic wastewater. Biomass Convers. Biorefin. 2024. [Google Scholar] [CrossRef]
- Agha, H.M.; Abdulhameed, A.S.; Wu, R.; Jawad, A.H.; ALOthman, Z.A.; Algburi, S. Chitosan-grafted salicylaldehyde/algae composite for methyl violet dye removal: Adsorption modeling and optimization. Int. J. Phytoremediation 2024, 26, 1348–1358. [Google Scholar] [CrossRef] [PubMed]
- Hapiz, A.; Arni, L.A.; Khadiran, T.; ALOthman, Z.A.; Wilson, L.D.; Jawad, A.H. Magnetic grafted chitosan-salicylaldehyde via hydrothermal synthesis for acid red 88 dye removal: A statistical optimization. Biomass Convers. Biorefin. 2024, 14, 20571–20586. [Google Scholar] [CrossRef]
- Wu, R.; Abdulhameed, A.S.; Yong, S.K.; ALOthman, Z.A.; Wilson, L.D.; Jawad, A.H. Facile synthesis of an organic–inorganic nanohybrid composite of salicylaldehyde-based chitosan schiff base/SiO2 for acid red 88 dye removal: Characterization and adsorption modeling. J. Inorg. Organomet. Polym. Mater. 2024, 34, 1523–1534. [Google Scholar] [CrossRef]
- dos Santos Cardoso, C.; Vitali, L. Chitosan versus chitosan-Vanillin modified: An evaluation of the competitive adsorption of five emerging contaminants. Water Air Soil Pollut. 2021, 232, 179. [Google Scholar] [CrossRef]
- Bhatt, R.; Ageetha, V.; Rathod, S.B.; Padmaja, P. Self-assembled chitosan-zirconium phosphate nanostructures for adsorption of chromium and degradation of dyes. Carbohydr. Polym. 2019, 208, 441–450. [Google Scholar] [CrossRef]
- Ahmed, A.M.; Mekonnen, M.L.; Jote, B.A.; Damte, J.Y.; Mengesha, E.T.; Lednický, T.; Mekonnen, K.N. Removal of phosphate from wastewater using zirconium/iron embedded chitosan/alginate hydrogel beads: An experimental and computational perspective. Int. J. Biol. Macromol. 2024, 281, 136431. [Google Scholar] [CrossRef] [PubMed]
- Zhao, X.; Chen, D.; Zhang, N.; Shi, M.; Hu, W.; Yu, G.; Zhao, R. Biodegradable chitosan-zirconium composite adsorptive membranes for potential arsenic (III/V) capture electrodialysis. Int. J. Biol. Macromol. 2024, 256, 128356. [Google Scholar] [CrossRef] [PubMed]
- Rahim, M.; Mas Haris, M.R.H. Chromium (VI) removal from neutral aqueous media using banana trunk fibers (BTF)-reinforced chitosan-based film, in comparison with BTF, chitosan, chitin and activated carbon. SN Appl. Sci. 2019, 1, 1180. [Google Scholar] [CrossRef]
- Ngah, W.W.; Teong, L.; Hanafiah, M.M. Adsorption of dyes and heavy metal ions by chitosan composites: A review. Carbohydr. Polym. 2011, 83, 1446–1456. [Google Scholar] [CrossRef]
- Phan, D.-N.; Lee, H.; Huang, B.; Mukai, Y.; Kim, I.-S. Fabrication of electrospun chitosan/cellulose nanofibers having adsorption property with enhanced mechanical property. Cellulose 2019, 26, 1781–1793. [Google Scholar] [CrossRef]
- Wu, C.; McClements, D.J.; Ma, B.; He, Z.; Wu, F.; Zhang, Y.; Liu, X.; Wang, P. Fabrication of composite hydrogels by sonication-assisted assembly of okara cellulose nanofibers and chitosan: Structure and properties. J. Sci. Food Agric. 2024, 104, 3458–3467. [Google Scholar] [CrossRef]
- Atangana, E. Adsorption of Zn (II) and Pb (II) ions from aqueous solution using chitosan cross-linked formaldehyde adsorbent to protect the environment. J. Polym. Environ. 2019, 27, 2281–2291. [Google Scholar] [CrossRef]
- Yu, Y.; Li, Y.; Liao, Y.; Huang, X.; Huang, M. Preparation of phenol-formaldehyde composite modified with chitosan for the simultaneous removal of antibiotics and heavy metal ions in waters. Int. J. Biol. Macromol. 2024, 281, 136467. [Google Scholar] [CrossRef] [PubMed]
- El-Kousy, S.M.; El-Shorbagy, H.G.; Abd El-Ghaffar, M. Chitosan/montmorillonite composites for fast removal of methylene blue from aqueous solutions. Mater. Chem. Phys. 2020, 254, 123236. [Google Scholar] [CrossRef]
- Bhatti, H.N.; Safa, Y.; Yakout, S.M.; Shair, O.H.; Iqbal, M.; Nazir, A. Efficient removal of dyes using carboxymethyl cellulose/alginate/polyvinyl alcohol/rice husk composite: Adsorption/desorption, kinetics and recycling studies. Int. J. Biol. Macromol. 2020, 150, 861–870. [Google Scholar] [CrossRef]
- Sharma, H.; Kaith, B.S.; Kumar, R.; Mehra, R.; Bhatti, M.S. Development of a biowaste-derived cellulose/collagen-based adsorbent for the efficient sequestration of uranium from contaminated water. Biomass Convers. Biorefin. 2025. [Google Scholar] [CrossRef]
- Somsesta, N.; Sricharoenchaikul, V.; Aht-Ong, D. Adsorption removal of methylene blue onto activated carbon/cellulose biocomposite films: Equilibrium and kinetic studies. Mater. Chem. Phys. 2020, 240, 122221. [Google Scholar] [CrossRef]
- Herrera-González, A.M.; Trejo-Carbajal, N.; Reyes-Angeles, M.C.; Monroy-Galindo, R.; Peláez-Cid, A.A. Activated carbon cellulose acetate based as effective adsorbent of contaminants from water. Colloids Surf. A Physicochem. Eng. Asp. 2024, 694, 134146. [Google Scholar] [CrossRef]
- Gavabari, S.E.; Goudarzi, A.; Shahrousvand, M.; Asfaram, A. Preparation of novel polyurethane/activated carbon/cellulose nano-whisker nanocomposite film as an efficient adsorbent for the removal of methylene blue and basic violet 16 dyes from wastewater. Sep. Purif. Technol. 2024, 330, 125285. [Google Scholar] [CrossRef]
- Liu, J.; Chen, T.-W.; Yang, Y.-L.; Bai, Z.-C.; Xia, L.-R.; Wang, M.; Lv, X.-L.; Li, L. Removal of heavy metal ions and anionic dyes from aqueous solutions using amide-functionalized cellulose-based adsorbents. Carbohydr. Polym. 2020, 230, 115619. [Google Scholar] [CrossRef]
- Guo, P.-X.; Wang, X.-G.; Yang, M.-Q.; Wang, J.-X.; Meng, F.-J. Preparation and Oil Adsorption of Cellulose-graft-poly (butyl acrylate-N, N′-methylene Bisacrylamide). Materials 2024, 17, 325. [Google Scholar] [CrossRef]
- Sharma, G.; Kumar, A.; Sharma, S.; Naushad, M.; Ghfar, A.A.; Al-Muhtaseb, A.a.H.; Ahamad, T.; Sharma, N.; Stadler, F.J. Carboxymethyl cellulose structured nano-adsorbent for removal of methyl violet from aqueous solution: Isotherm and kinetic analyses. Cellulose 2020, 27, 3677–3691. [Google Scholar] [CrossRef]
- Raya, I.; Widjaja, G.; Mahmood, Z.H.; Kadhim, A.J.; Vladimirovich, K.O.; Mustafa, Y.F.; Kadhim, M.M.; Mahmudiono, T.; Husein, I.; Kafi-Ahmadi, L. Kinetic, isotherm, and thermodynamic studies on Cr (VI) adsorption using cellulose acetate/graphene oxide composite nanofibers. Appl. Phys. A 2022, 128, 167. [Google Scholar] [CrossRef]
- Nekooei, A.; Miroliaei, M.R.; Shahabi-Nejad, M.; Sheibani, G.; Sheibani, H. Cellulose-wrapped graphene oxide as efficient adsorbents for pharmaceutical contaminants. Inorg. Chem. Commun. 2023, 154, 110997. [Google Scholar] [CrossRef]
- Al-Badaani, A.A.; Hifney, A.F.; Adam, M.S.; Gomaa, M. Low-cost biosorption of Fe (II) and Fe (III) from single and binary solutions using Ulva lactuca-derived cellulose nanocrystals-graphene oxide composite film. Sci. Rep. 2023, 13, 6422. [Google Scholar] [CrossRef]
- Hussain, S.; Salman, M.; Farooq, U.; Zahid, F.; Yasmeen, S.; Al-Ahmary, K.M.; Ahmed, M. Fabrication of carboxymethyl cellulose/graphene oxide/ZnO composite hydrogel for efficient removal of fuchsin dye from aqueous media. Int. J. Biol. Macromol. 2024, 277, 134104. [Google Scholar] [CrossRef] [PubMed]
- Kausar, A.; Shahzad, R.; Iqbal, J.; Muhammad, N.; Ibrahim, S.M.; Iqbal, M. Development of new organic-inorganic, hybrid bionanocomposite from cellulose and clay for enhanced removal of Drimarine Yellow HF-3GL dye. Int. J. Biol. Macromol. 2020, 149, 1059–1071. [Google Scholar] [CrossRef]
- Reghioua, A.; Atia, D.; Hamidi, A.; Jawad, A.H.; Abdulhameed, A.S.; Mbuvi, H.M. Production of eco-friendly adsorbent of kaolin clay and cellulose extracted from peanut shells for removal of methylene blue and congo red removal dyes. Int. J. Biol. Macromol. 2024, 263, 130304. [Google Scholar] [CrossRef]
- Achalhi, N.; El Ouardi, Y.; Virolainen, S.; El yousfi, R.; Lamsayah, M.; Butylina, S.; El Barkany, S.; Repo, E.; El Idrissi, A. Ionic liquids-assisted integration of biobased materials for sustainable elaboration of nanocomposites using hydroxyethyl cellulose and interlayered clay for efficient separation of Co (II) from multi-component mixtures. Cellulose 2024, 31, 9887–9906. [Google Scholar] [CrossRef]
- Kouda, I.; Seddik, N.B.; Laaziz, A.; Hadri, M.; Draoui, K.; Elmidaoui, A. Efficient removal of cationic dye from wastewater using novel low-cost adsorbent, cellulose-clay composite: Insights from isotherm, kinetic, thermodynamic, and molecular dynamics simulation studies. J. Mol. Struct. 2023, 1291, 135865. [Google Scholar] [CrossRef]
- Azaryouh, L.; Abara, H.; Kassab, Z.; Ablouh, E.-h.; Aboulkas, A.; El Achaby, M.; Draoui, K. Hybrid carbonaceous adsorbents based on clay and cellulose for cadmium recovery from aqueous solution. RSC Adv. 2023, 13, 6954–6965. [Google Scholar] [CrossRef]
- Zheng, Q.; Cai, Z.; Gong, S. Green synthesis of polyvinyl alcohol (PVA)–cellulose nanofibril (CNF) hybrid aerogels and their use as superabsorbents. J. Mater. Chem. A 2014, 2, 3110–3118. [Google Scholar] [CrossRef]
- Boroujeni, F.M.; Fioravanti, G.; Kander, R. Synthesis and characterization of cellulose microfibril-reinforced polyvinyl alcohol biodegradable composites. Materials 2024, 17, 526. [Google Scholar] [CrossRef] [PubMed]
- Zhou, Y.; Jin, Q.; Hu, X.; Zhang, Q.; Ma, T. Heavy metal ions and organic dyes removal from water by cellulose modified with maleic anhydride. J. Mater. Sci. 2012, 47, 5019–5029. [Google Scholar] [CrossRef]
- Daniel, A.B.; Zahir, E.; Hussain, I.; Naz, S.; Asghar, M.A. Citric acid modified cellulose: A cost effective adsorbent for the immobilization of Cr (III) ions from the aqueous phase. Energy Sources Part A Recovery Util. Environ. Eff. 2024, 46, 9024–9036. [Google Scholar] [CrossRef]
- Wada, T.; Park, J.; Yamaoka, K.; Asaki, Y.; Sugawara, A.; Ikura, R.; Takahashi, Y.; Takenaka, N.; Uetsuji, Y.; Uyama, H. Material Design of Citric Acid-Modified Cellulose Composite Polymeric Materials with Both Tough and Sustainable Enhancement by Multiple Noncovalent Bonds. ACS Appl. Polym. Mater. 2023, 5, 10334–10341. [Google Scholar] [CrossRef]
- Li, W.; Zhang, L.; Su, T.; Luo, X.; Xie, X.; Qin, Z. Carboxymethyl cellulose sodium/bentonite composite adsorbent for Cd (II) adsorption from wastewater. Adv. Compos. Hybrid Mater. 2025, 8, 119. [Google Scholar] [CrossRef]
- Ding, W.; Liang, H.; Zhang, H.; Sun, H.; Geng, Z.; Xu, C. A cellulose/bentonite grafted polyacrylic acid hydrogel for highly-efficient removal of Cd (II). J. Water Process Eng. 2023, 51, 103414. [Google Scholar] [CrossRef]
- Tang, R.; Hu, Y.; Yan, J.; Xu, S.; Wang, Y.; Yan, J.; Liao, D.; Zhang, H.; Tong, Z. Multifunctional carboxylated cellulose nanofibers/exfoliated bentonite/Ti3C2 aerogel for efficient oil adsorption and recovery: The dual effect of exfoliated bentonite and MXene. Chem. Eng. J. 2023, 473, 145412. [Google Scholar] [CrossRef]
- Zhao, X.; Yang, M.; Shi, Y.; Sun, L.; Zheng, H.; Wu, M.; Gao, G.; Ma, T.; Li, G. Multifunctional bacterial cellulose-bentonite@ polyethylenimine composite membranes for enhanced water treatment: Sustainable dyes and metal ions adsorption and antibacterial properties. J. Hazard. Mater. 2024, 477, 135267. [Google Scholar] [CrossRef] [PubMed]
- Ranjbar, D.; Raeiszadeh, M.; Lewis, L.; MacLachlan, M.J.; Hatzikiriakos, S.G. Adsorptive removal of Congo red by surfactant modified cellulose nanocrystals: A kinetic, equilibrium, and mechanistic investigation. Cellulose 2020, 27, 3211–3232. [Google Scholar] [CrossRef]
- Yu, X.; Tong, S.; Ge, M.; Wu, L.; Zuo, J.; Cao, C.; Song, W. Adsorption of heavy metal ions from aqueous solution by carboxylated cellulose nanocrystals. J. Environ. Sci. 2013, 25, 933–943. [Google Scholar] [CrossRef] [PubMed]
- Wang, L.-Y.; Wang, M.-J. Removal of heavy metal ions by poly (vinyl alcohol) and carboxymethyl cellulose composite hydrogels prepared by a freeze–thaw method. ACS Sustain. Chem. Eng. 2016, 4, 2830–2837. [Google Scholar] [CrossRef]
- Yan, C.; Wu, F.; Zhou, X.; Luo, J.; Jiang, K. Superadsorbent aerogel based on sunflower stem pith cellulose and layered double hydroxides modified montmorillonite for methylene blue removal from water solution. Int. J. Biol. Macromol. 2024, 257, 128749. [Google Scholar] [CrossRef] [PubMed]
- González-López, M.E.; Robledo-Ortíz, J.R.; Rodrigue, D.; Pérez-Fonseca, A.A. Highly porous lignin composites for dye removal in batch and continuous-flow systems. Mater. Lett. 2020, 263, 127289. [Google Scholar] [CrossRef]
- Wu, Z.; Huang, W.; Shan, X.; Li, Z. Preparation of a porous graphene oxide/alkali lignin aerogel composite and its adsorption properties for methylene blue. Int. J. Biol. Macromol. 2020, 143, 325–333. [Google Scholar] [CrossRef]
- Yun, H.; Park, S.; Choi, J.; Cho, S.Y.; Kwak, H.W. Melamine and hydrophobic graphene composite foam with lignin as a green connector for oil–water separation applications. React. Funct. Polym. 2025, 209, 106173. [Google Scholar] [CrossRef]
- Ali, A.; Vohra, M.I.; Nadeem, A.; Al-Anzi, B.S.; Iqbal, M.; Memon, A.A.; Jatoi, A.H.; Akhtar, J.; Yang, J.; Thebo, K.H. Ultrafast Graphene Oxide-Lignin Biopolymer Nanocomposite Membranes for Separation of Biomolecules, Dyes, and Salts. ACS Appl. Polym. Mater. 2024, 6, 4747–4755. [Google Scholar] [CrossRef]
- Şimşek, S. Adsorption properties of lignin containing bentonite–polyacrylamide composite for ions. Desalination Water Treat. 2016, 57, 23790–23799. [Google Scholar] [CrossRef]
- Ma, H.; Li, X.; Sheng, N.; Xu, L.; Gao, J.; Yan, M.; Wang, Q. Dual crosslinking chitin/lignin composite aerogel as high efficiency adsorbent for dye pollutant removal. Colloids Surf. A: Physicochem. Eng. Asp. 2025, 711, 136422. [Google Scholar] [CrossRef]
- Sohni, S.; Hashim, R.; Nidaullah, H.; Lamaming, J.; Sulaiman, O. Chitosan/nano-lignin based composite as a new sorbent for enhanced removal of dye pollution from aqueous solutions. Int. J. Biol. Macromol. 2019, 132, 1304–1317. [Google Scholar] [CrossRef]
- Castro, A.S.; Cruz, B.D.; Correia, D.M.; Lanceros-Méndez, S.; Martins, P.M. Sustainable lignin-reinforced chitosan membranes for efficient Cr (VI) water remediation. Polymers 2024, 16, 1766. [Google Scholar] [CrossRef] [PubMed]
- Wang, H.; Chen, C.; Dai, K.; Xiang, H.; Kou, J.; Guo, H.; Ying, H.; Chen, X.; Wu, J. Selective adsorption of anionic dyes by a macropore magnetic lignin-chitosan adsorbent. Int. J. Biol. Macromol. 2024, 269, 131955. [Google Scholar] [CrossRef] [PubMed]
- Shi, X.; Wang, C.; Dong, B.; Kong, S.; Das, R.; Pan, D.; Guo, Z. Cu/N doped lignin for highly selective efficient removal of As (v) from polluted water. Int. J. Biol. Macromol. 2020, 161, 147–154. [Google Scholar] [CrossRef]
- Zhai, R.; Hu, J.; Chen, X.; Xu, Z.; Wen, Z.; Jin, M. Facile synthesis of manganese oxide modified lignin nanocomposites from lignocellulosic biorefinery wastes for dye removal. Bioresour. Technol. 2020, 315, 123846. [Google Scholar] [CrossRef]
- Heo, J.W.; Kim, M.S.; Oh, D.H.; Kim, Y.S. Innovative construction of amine-functionalized lignin-based hydrogel for ultrafast and selective dye remediation. Chem. Eng. J. 2024, 498, 155506. [Google Scholar] [CrossRef]
- Cong, S.-Q.; Wang, B.; Wang, H.; Zheng, Q.-C.; Yang, Q.-R.; Yang, R.-T.; Li, Q.-L.; Wang, W.-S.; Cui, X.-J.; Luo, F.-X. Fe3O4-lignin@ Pd-NPs: A highly active, stable and broad-spectrum nanocomposite for water treatment. Int. J. Biol. Macromol. 2024, 256, 128233. [Google Scholar] [CrossRef]
- Pan, H.; Li, T.; Li, K.; Xu, L. Preparation and properties of high-efficiency lignin-carbon based photocatalytic composites for the degradation of dye wastewater under visible light. J. Wood Chem. Technol. 2025, 45, 11–22. [Google Scholar] [CrossRef]
- Zhou, S.-J.; Xiong, S.-J.; Yu, S.; Yuan, T.-Q. Enhanced flame retardancy and electrical conductivity in nacre-inspired PBAT/montmorillonite/lignin ternary biodegradable composites reinforced with well-dispersed carbon nanotubes. Compos. Part B Eng. 2025, 295, 112214. [Google Scholar] [CrossRef]
- Zhou, S.-J.; Zhang, D.; Xiong, S.-J.; Liu, Q.; Shen, X.; Yu, S.; Sun, Z.; Wen, J.; Wang, L.; Yuan, T.-Q. A high-performance and cost-effective PBAT/montmorillonite/lignin ternary composite film for sustainable production. ACS Sustain. Chem. Eng. 2024, 12, 14704–14715. [Google Scholar] [CrossRef]
- Dizhbite, T.; Jashina, L.; Dobele, G.; Andersone, A.; Evtuguin, D.; Bikovens, O.; Telysheva, G. Polyoxometalate (POM)-aided modification of lignin from wheat straw biorefinery. Holzforschung 2013, 67, 539–547. [Google Scholar] [CrossRef]
- Klapiszewski, Ł.; Siwińska-Stefańska, K.; Kołodyńska, D. Preparation and characterization of novel TiO2/lignin and TiO2-SiO2/lignin hybrids and their use as functional biosorbents for Pb (II). Chem. Eng. J. 2017, 314, 169–181. [Google Scholar] [CrossRef]
- Gómez-Ceballos, V.; García-Córdoba, A.; Zapata-Benabithe, Z.; Velásquez, J.; Quintana, G. Preparation of hyperbranched polymers from oxidized lignin modified with triazine for removal of heavy metals. Polym. Degrad. Stab. 2020, 179, 109271. [Google Scholar] [CrossRef]
- Jin, C.; Zhang, X.; Xin, J.; Liu, G.; Wu, G.; Kong, Z.; Zhang, J. Clickable synthesis of 1, 2, 4-triazole modified lignin-based adsorbent for the selective removal of Cd (II). ACS Sustain. Chem. Eng. 2017, 5, 4086–4093. [Google Scholar] [CrossRef]
- Das, T.; Kumar, A.; Saji, J.; Pandey, A.; Patel, D.K. Remediation of Trace Metals from Aqueous Solution Using a Novel Lignin–Montmorillonite Hydrogel Composite Prepared from Tectona grandis Sawdust Derived Lignin. ACS Sustain. Resour. Manag. 2024, 1, 141–153. [Google Scholar] [CrossRef]
- Cataldo, S.; Gianguzza, A.; Pettignano, A.; Villaescusa, I. Mercury (II) removal from aqueous solution by sorption onto alginate, pectate and polygalacturonate calcium gel beads. A kinetic and speciation based equilibrium study. React. Funct. Polym. 2013, 73, 207–217. [Google Scholar] [CrossRef]
- Shao, Z.; Lu, J.; Ding, J.; Fan, F.; Sun, X.; Li, P.; Fang, Y.; Hu, Q. Novel green chitosan-pectin gel beads for the removal of Cu (II), Cd (II), Hg (II) and Pb (II) from aqueous solution. Int. J. Biol. Macromol. 2021, 176, 217–225. [Google Scholar] [CrossRef] [PubMed]
- Jeyaseelan, A.; Viswanathan, N.; Naushad, M. Design and development of rare earth elements anchored pectin/chitosan integrated magnesia hybrid composite for effective defluoridation of water. Sep. Purif. Technol. 2025, 352, 128137. [Google Scholar] [CrossRef]
- Reichembach, L.H.; de Oliveira Petkowicz, C.L.; Guerrero, P.; de la Caba, K. Pectin and pectin/chitosan hydrogel beads as coffee essential oils carrier systems. Food Hydrocoll. 2024, 151, 109814. [Google Scholar] [CrossRef]
- Subroto, N.N.P.; Tarmidzi, F.M.; Wati, I.; Armans, V.M. Lead Ion Removal in Water Using Low Methoxy Pectin-Guar Gum Beads Hybrid Adsorbent. Indones. J. Chem. Res. 2022, 10, 53–57. [Google Scholar] [CrossRef]
- Chamnannetivit, P.; Phrommachan, S.; Umpuch, C. Pectin/alginate biocomposite film embedded with surfactant-modified microalgal biomass for efficient removal of methyl orange from aqueous solutions. J. Dispers. Sci. Technol. 2024, 1–17. [Google Scholar] [CrossRef]
- Lessa, E.F.; Medina, A.L.; Ribeiro, A.S.; Fajardo, A.R. Removal of multi-metals from water using reusable pectin/cellulose microfibers composite beads. Arab. J. Chem. 2020, 13, 709–720. [Google Scholar] [CrossRef]
- Ibrahim, F.M.; El-Liethy, M.A.; Abouzeid, R.; Youssef, A.M.; Mahdy, S.Z. Preparation and characterization of pectin/hydroxyethyl cellulose/clay/TiO2 bionanocomposite films for microbial pathogen removal from contaminated water. Int. J. Biol. Macromol. 2024, 274, 133511. [Google Scholar] [CrossRef]
- Xu, F.; Zhang, S.; Wu, Q.; An, C.; Li, X.; Chen, X.; Chen, Y.; Zhang, X.; Dong, Z. A biodegradable multifunctional pectin–montmorillonite fertilizer coating: Controlled-release, water-retention and soil-cementation. Int. J. Biol. Macromol. 2024, 277, 134118. [Google Scholar] [CrossRef] [PubMed]
- Ribeiro, J.G.; Raimondi, R.M.; de Souza, A.G.; dos Santos Rosa, D.; Paulino, A.T. An ecofriendly pectin-co-montmorillonite composite hydrogel for the separation of contaminant metal ions from water. J. Water Process Eng. 2025, 69, 106629. [Google Scholar] [CrossRef]
- Khan, S.A.; Khan, T.A.; Alharthi, S.S.; Zhu, G.; Zhang, Y.; Pang, H. Functionalized iminodiacetic acid pectin/montmorillonite hydrogel for enhanced adsorption of 4-nitrophenol from simulated water: An integrated approach of response surface optimization and non-linear modeling. Int. J. Biol. Macromol. 2024, 282, 137049. [Google Scholar] [CrossRef] [PubMed]
- Chaurasiya, A.; Pande, P.P.; Shankar, R.; Nath, A.; Tripathi, N.P. Synthesis and characterization of pectin-xanthate and their application in heavy metal and lignin enriched paper industry wastewater treatment. Sep. Sci. Technol. 2023, 58, 3026–3042. [Google Scholar] [CrossRef]
- Abbasi, N.; Khan, S.A.; Khan, T.A. Statistically optimised sequestration of mefenamic acid from polluted water by acacia gum phthalate/pectin hydrogel: A novel multifunctional adsorbent material synthesised via microwave-assisted process. Chem. Eng. J. 2023, 466, 143296. [Google Scholar] [CrossRef]
- Zhang, W.; Song, J.; He, Q.; Wang, H.; Lyu, W.; Feng, H.; Xiong, W.; Guo, W.; Wu, J.; Chen, L. Novel pectin based composite hydrogel derived from grapefruit peel for enhanced Cu (II) removal. J. Hazard. Mater. 2020, 384, 121445. [Google Scholar] [CrossRef]
- Celus, M.; Kyomugasho, C.; Kermani, Z.J.; Roggen, K.; Van Loey, A.M.; Grauwet, T.; Hendrickx, M.E. Fe2+ adsorption on citrus pectin is influenced by the degree and pattern of methylesterification. Food Hydrocoll. 2017, 73, 101–109. [Google Scholar] [CrossRef]
- Ghanta, C.; Saini, C.S. Ecologically sustainable biodegradable polymers fabricated from banana peel pectin reinforced with silver zeolite nanoparticles (Ag/zeolite NPs). Int. J. Biol. Macromol. 2025, 300, 140209. [Google Scholar] [CrossRef] [PubMed]
- Khorasani, A.C.; Shojaosadati, S.A. Magnetic pectin-Chlorella vulgaris biosorbent for the adsorption of dyes. J. Environ. Chem. Eng. 2019, 7, 103062. [Google Scholar] [CrossRef]
- Fernandes Filho, W.B.; Agassin, S.T.R.; Naidek, K.P.; Paulino, A.T. Pectin hydrogels modified with montmorillonite: Case studies for the removal of dyes and herbicides from water. J. Environ. Chem. Eng. 2023, 11, 110846. [Google Scholar] [CrossRef]
- Rhazi, M.; Desbrieres, J.; Tolaimate, A.; Rinaudo, M.; Vottero, P.; Alagui, A.; El Meray, M. Influence of the nature of the metal ions on the complexation with chitosan.: Application to the treatment of liquid waste. Eur. Polym. J. 2002, 38, 1523–1530. [Google Scholar] [CrossRef]
- Ngah, W.W.; Ab Ghani, S.; Kamari, A. Adsorption behaviour of Fe (II) and Fe (III) ions in aqueous solution on chitosan and cross-linked chitosan beads. Bioresour. Technol. 2005, 96, 443–450. [Google Scholar] [CrossRef]
- Li, L.; Fan, L.; Sun, M.; Qiu, H.; Li, X.; Duan, H.; Luo, C. Adsorbent for chromium removal based on graphene oxide functionalized with magnetic cyclodextrin–chitosan. Colloids Surf. B Biointerfaces 2013, 107, 76–83. [Google Scholar] [CrossRef]
- Kumar, A.S.K.; Jiang, S.-J. Chitosan-functionalized graphene oxide: A novel adsorbent an efficient adsorption of arsenic from aqueous solution. J. Environ. Chem. Eng. 2016, 4, 1698–1713. [Google Scholar] [CrossRef]
- Liu, T.Y.; Zhao, L.; Wang, Z.L. Removal of hexavalent chromium from wastewater by Fe0-nanoparticles-chitosan composite beads: Characterization, kinetics and thermodynamics. Water Sci. Technol. 2012, 66, 1044–1051. [Google Scholar] [CrossRef] [PubMed][Green Version]
- Qi, J.; Zhang, G.; Li, H. Efficient removal of arsenic from water using a granular adsorbent: Fe–Mn binary oxide impregnated chitosan bead. Bioresour. Technol. 2015, 193, 243–249. [Google Scholar] [CrossRef]
- Gupta, A.; Chauhan, V.S.; Sankararamakrishnan, N. Preparation and evaluation of iron–chitosan composites for removal of As (III) and As (V) from arsenic contaminated real life groundwater. Water Res. 2009, 43, 3862–3870. [Google Scholar] [CrossRef] [PubMed]
- Croitoru, A.-M.; Ficai, A.; Ficai, D.; Trusca, R.; Dolete, G.; Andronescu, E.; Turculet, S.C. Chitosan/Graphene Oxide Nanocomposite Membranes as Adsorbents with Applications in Water Purification. Materials 2020, 13, 1687. [Google Scholar] [CrossRef]
- Fan, L.; Luo, C.; Sun, M.; Li, X.; Qiu, H. Highly selective adsorption of lead ions by water-dispersible magnetic chitosan/graphene oxide composites. Colloids Surf. B Biointerfaces 2013, 103, 523–529. [Google Scholar] [CrossRef]
- Ahmad, R.; Hasan, I.; Mittal, A. Adsorption of Cr (VI) and Cd (II) on chitosan grafted polyaniline-OMMT nanocomposite: Isotherms, kinetics and thermodynamics studies. Desalination Water Treat 2017, 58, 144–153. [Google Scholar] [CrossRef]
- Nithya, R.; Sudha, P. Removal of heavy metals from tannery effluent using chitosan-g-poly (butyl acrylate)/bentonite nanocomposite as an adsorbent. Text. Cloth. Sustain. 2016, 2, 7. [Google Scholar] [CrossRef]
- Nithya, R.; Gomathi, T.; Sudha, P.; Venkatesan, J.; Anil, S.; Kim, S.-K. Removal of Cr (VI) from aqueous solution using chitosan-g-poly (butyl acrylate)/silica gel nanocomposite. Int. J. Biol. Macromol. 2016, 87, 545–554. [Google Scholar] [CrossRef] [PubMed]
- Samuel, M.S.; Bhattacharya, J.; Raj, S.; Santhanam, N.; Singh, H.; Singh, N.P. Efficient removal of Chromium (VI) from aqueous solution using chitosan grafted graphene oxide (CS-GO) nanocomposite. Int. J. Biol. Macromol. 2019, 121, 285–292. [Google Scholar] [CrossRef] [PubMed]
- Subedi, N.; Lähde, A.; Abu-Danso, E.; Iqbal, J.; Bhatnagar, A. A comparative study of magnetic chitosan (Chi@Fe3O4) and graphene oxide modified magnetic chitosan (Chi@Fe3O4GO) nanocomposites for efficient removal of Cr (VI) from water. Int. J. Biol. Macromol. 2019, 137, 948–959. [Google Scholar] [CrossRef] [PubMed]
- He, G.; Wang, C.; Cao, J.; Fan, L.; Zhao, S.; Chai, Y. Carboxymethyl chitosan-kaolinite composite hydrogel for efficient copper ions trapping. J. Environ. Chem. Eng. 2019, 7, 102953. [Google Scholar] [CrossRef]
- Ahmad, M.; Zhang, B.; Wang, J.; Xu, J.; Manzoor, K.; Ahmad, S.; Ikram, S. New method for hydrogel synthesis from diphenylcarbazide chitosan for selective copper removal. Int. J. Biol. Macromol. 2019, 136, 189–198. [Google Scholar] [CrossRef] [PubMed]
- Kakoria, A.; Sinha-Ray, S. Industrially scalable Chitosan/Nylon-6 (CS/N) nanofiber-based reusable adsorbent for efficient removal of heavy metal from water. Polymer 2021, 213, 123333. [Google Scholar] [CrossRef]
- Cárdenas Bates, I.I.; Loranger, É.; Mathew, A.P.; Chabot, B. Cellulose reinforced electrospun chitosan nanofibers bio-based composite sorbent for water treatment applications. Cellulose 2021, 28, 4865–4885. [Google Scholar] [CrossRef]
- Peng, X.; Li, Y.; Liu, S.; Jiang, T.; Chen, W.; Li, D.; Yuan, J.; Xu, F. A study of adsorption behaviour of Cu (II) on hydroxyapatite-coated-limestone/chitosan composite. J. Polym. Environ. 2021, 29, 1727–1741. [Google Scholar] [CrossRef]
- Ye, X.; Shang, S.; Zhao, Y.; Cui, S.; Zhong, Y.; Huang, L. Ultra-efficient adsorption of copper ions in chitosan–montmorillonite composite aerogel at wastewater treatment. Cellulose 2021, 28, 7201–7212. [Google Scholar] [CrossRef]
- Maskawat Marjub, M.; Rahman, N.; Dafader, N.C.; Sultana Tuhen, F.; Sultana, S.; Tasneem Ahmed, F. Acrylic acid-chitosan blend hydrogel: A novel polymer adsorbent for adsorption of lead (II) and copper (II) ions from wastewater. J. Polym. Eng. 2019, 39, 883–891. [Google Scholar] [CrossRef]
- Bulin, C.; Guo, T.; Bao, J.; Song, J.; Zheng, R. Fabrication of ion imprinted graphene oxide-chitosan membrane cross linked by self polymerized polydopamine for selective adsorption of La (III). Sep. Purif. Technol. 2025, 358, 130317. [Google Scholar] [CrossRef]
- Hamad, A.A.; Hassouna, M.S.; Shalaby, T.I.; Elkady, M.F.; Abd Elkawi, M.A.; Hamad, H.A. Electrospun cellulose acetate nanofiber incorporated with hydroxyapatite for removal of heavy metals. Int. J. Biol. Macromol. 2020, 151, 1299–1313. [Google Scholar] [CrossRef] [PubMed]
- Li, D.; Tian, X.; Wang, Z.; Guan, Z.; Li, X.; Qiao, H.; Ke, H.; Luo, L.; Wei, Q. Multifunctional adsorbent based on metal-organic framework modified bacterial cellulose/chitosan composite aerogel for high efficient removal of heavy metal ion and organic pollutant. Chem. Eng. J. 2020, 383, 123127. [Google Scholar] [CrossRef]
- Choi, H.Y.; Bae, J.H.; Hasegawa, Y.; An, S.; Kim, I.S.; Lee, H.; Kim, M. Thiol-functionalized cellulose nanofiber membranes for the effective adsorption of heavy metal ions in water. Carbohydr. Polym. 2020, 234, 115881. [Google Scholar] [CrossRef] [PubMed]
- Zhang, D.; Xu, W.; Cai, J.; Cheng, S.-Y.; Ding, W.-P. Citric acid-incorporated cellulose nanofibrous mats as food materials-based biosorbent for removal of hexavalent chromium from aqueous solutions. Int. J. Biol. Macromol. 2020, 149, 459–466. [Google Scholar] [CrossRef] [PubMed]
- Ji, Y.; Wen, Y.; Wang, Z.; Zhang, S.; Guo, M. Eco-friendly fabrication of a cost-effective cellulose nanofiber-based aerogel for multifunctional applications in Cu (II) and organic pollutants removal. J. Clean. Prod. 2020, 255, 120276. [Google Scholar] [CrossRef]
- Li, J.; Tan, S.; Xu, Z. Anisotropic nanocellulose aerogel loaded with modified uio-66 as efficient adsorbent for heavy metal ions removal. Nanomaterials 2020, 10, 1114. [Google Scholar] [CrossRef] [PubMed]
- Ren, J.; Tao, F.; Cui, Y. L-Glutamic acid crosslinked cellulose ester films for heavy metal ions adsorption. J. Polym. Environ. 2020, 28, 1302–1314. [Google Scholar] [CrossRef]
- Yu, H.; Hong, H.-J.; Kim, S.M.; Ko, H.C.; Jeong, H.S. Mechanically enhanced graphene oxide/carboxymethyl cellulose nanofibril composite fiber as a scalable adsorbent for heavy metal removal. Carbohydr. Polym. 2020, 240, 116348. [Google Scholar] [CrossRef] [PubMed]
- Abu-Danso, E.; Peräniemi, S.; Leiviskä, T.; Kim, T.; Tripathi, K.M.; Bhatnagar, A. Synthesis of clay-cellulose biocomposite for the removal of toxic metal ions from aqueous medium. J. Hazard. Mater. 2020, 381, 120871. [Google Scholar] [CrossRef] [PubMed]
- Zhu, C.; Wang, W.; Wu, Z.; Zhang, X.; Chu, Z.; Yang, Z. Preparation of cellulose-based porous adsorption materials derived from corn straw for wastewater purification. Int. J. Biol. Macromol. 2023, 233, 123595. [Google Scholar] [CrossRef] [PubMed]
- Li, M.; Tang, C.; Fu, S.; Tam, K.C.; Zong, Y. Cellulose-based aerogel beads for efficient adsorption-reduction-sequestration of Cr (VI). Int. J. Biol. Macromol. 2022, 216, 860–870. [Google Scholar] [CrossRef]
- Tang, C.; Brodie, P.; Li, Y.; Grishkewich, N.J.; Brunsting, M.; Tam, K.C. Shape recoverable and mechanically robust cellulose aerogel beads for efficient removal of copper ions. Chem. Eng. J. 2020, 392, 124821. [Google Scholar] [CrossRef]
- Zhao, H.; Ouyang, X.-K.; Yang, L.-Y. Adsorption of lead ions from aqueous solutions by porous cellulose nanofiber–sodium alginate hydrogel beads. J. Mol. Liq. 2021, 324, 115122. [Google Scholar] [CrossRef]
- Abu-Danso, E.; Peräniemi, S.; Leiviskä, T.; Bhatnagar, A. Synthesis of S-ligand tethered cellulose nanofibers for efficient removal of Pb (II) and Cd (II) ions from synthetic and industrial wastewater. Environ. Pollut. 2018, 242, 1988–1997. [Google Scholar] [CrossRef]
- Obsa, A.L.; Shibeshi, N.T.; Mulugeta, E.; Workeneh, G.A. A green composite of sodium carboxymethyl cellulose and amino-decorated cellulose reinforced with modified bentonite for removal of lead (II): Kinetics and isotherm studies. Mater. Today Commun. 2024, 41, 110412. [Google Scholar] [CrossRef]
- Hu, L.-Q.; Dai, L.; Liu, R.; Si, C.-L. Lignin-graft-poly (acrylic acid) for enhancement of heavy metal ion biosorption. J. Mater. Sci. 2017, 52, 13689–13699. [Google Scholar] [CrossRef]
- Yao, Q.; Xie, J.; Liu, J.; Kang, H.; Liu, Y. Adsorption of lead ions using a modified lignin hydrogel. J. Polym. Res. 2014, 21, 465. [Google Scholar] [CrossRef]
- Sun, Y.; Liu, X.; Lv, X.; Wang, T.; Xue, B. Synthesis of novel lignosulfonate-modified graphene hydrogel for ultrahigh adsorption capacity of Cr (VI) from wastewater. J. Clean. Prod. 2021, 295, 126406. [Google Scholar] [CrossRef]
- Nair, V.; Panigrahy, A.; Vinu, R. Development of novel chitosan–lignin composites for adsorption of dyes and metal ions from wastewater. Chem. Eng. J. 2014, 254, 491–502. [Google Scholar] [CrossRef]
- Li, F.; Wang, X.; Yuan, T.; Sun, R. A lignosulfonate-modified graphene hydrogel with ultrahigh adsorption capacity for Pb (II) removal. J. Mater. Chem. A 2016, 4, 11888–11896. [Google Scholar] [CrossRef]
- Ma, Y.; Lv, L.; Guo, Y.; Fu, Y.; Shao, Q.; Wu, T.; Guo, S.; Sun, K.; Guo, X.; Wujcik, E.K. Porous lignin based poly (acrylic acid)/organo-montmorillonite nanocomposites: Swelling behaviors and rapid removal of Pb (II) ions. Polymer 2017, 128, 12–23. [Google Scholar] [CrossRef]
- Zhou, H.; Shi, X.; Wu, W.; An, X.; Tian, Y.; Qiao, Y. Facile preparation of lignosulfonate/N-methylaniline composite and its application in efficient removal of Cr (VI) from aqueous solutions. Int. J. Biol. Macromol. 2020, 154, 1194–1204. [Google Scholar] [CrossRef]
- Shi, X.; Qiao, Y.; An, X.; Tian, Y.; Zhou, H. High-capacity adsorption of Cr (VI) by lignin-based composite: Characterization, performance and mechanism. Int. J. Biol. Macromol. 2020, 159, 839–849. [Google Scholar] [CrossRef] [PubMed]
- Popovic, A.L.; Rusmirovic, J.D.; Velickovic, Z.; Radovanovic, Z.; Ristic, M.; Pavlovic, V.P.; Marinkovic, A.D. Novel amino-functionalized lignin microspheres: High performance biosorbent with enhanced capacity for heavy metal ion removal. Int. J. Biol. Macromol. 2020, 156, 1160–1173. [Google Scholar] [CrossRef] [PubMed]
- Kwak, H.W.; Lee, H.; Lee, K.H. Surface-modified spherical lignin particles with superior Cr (VI) removal efficiency. Chemosphere 2020, 239, 124733. [Google Scholar] [CrossRef] [PubMed]
- Zhang, X.; Li, Y.; Hou, Y. Preparation of magnetic polyethylenimine lignin and its adsorption of Pb (II). Int. J. Biol. Macromol. 2019, 141, 1102–1110. [Google Scholar] [CrossRef] [PubMed]
- Mu, R.; Liu, B.; Chen, X.; Wang, N.; Yang, J. Adsorption of Cu (II) and Co (II) from aqueous solution using lignosulfonate/chitosan adsorbent. Int. J. Biol. Macromol. 2020, 163, 120–127. [Google Scholar] [CrossRef] [PubMed]
- Li, W.; Chai, L.; Du, B.; Chen, X.; Sun, R.-C. Full-lignin-based adsorbent for removal of Cr (VI) from waste water. Sep. Purif. Technol. 2023, 306, 122644. [Google Scholar] [CrossRef]
- Roushenas, S.; Nikzad, M.F.; Ghoreyshi, A.A.; Ghorbani, M. Magnetic pectin nanocomposite for efficient adsorption of heavy metals from aqueous solution. J. Water Environ. Nanotechnol. 2022, 7, 69–88. [Google Scholar]
- Ma, X.; Li, D.; Wu, Z.; Zhang, H.; Chen, X.; Liu, Z. Mercury removal by adsorption on pectin extracted from sugar beet pulp: Optimization by response surface methodology. Chem. Eng. Technol. 2016, 39, 371–377. [Google Scholar] [CrossRef]
- Arachchige, M.P.M.; Mu, T.; Ma, M. Effect of high hydrostatic pressure-assisted pectinase modification on the Pb2+ adsorption capacity of pectin isolated from sweet potato residue. Chemosphere 2021, 262, 128102. [Google Scholar] [CrossRef] [PubMed]
- Wang, X.-d.; Li, Y.; Dai, T.-t.; He, X.-m.; Chen, M.-s.; Liu, C.-m.; Liang, R.-h.; Chen, J. Preparation of pectin/poly (m-phenylenediamine) microsphere and its application for Pb2+ removal. Carbohydr. Polym. 2021, 260, 117811. [Google Scholar] [CrossRef] [PubMed]
- Abubakar Zauro, S.; Vishalakshi, B. Pectin graft copolymer-montmorillonite composite: Synthesis, swelling and divalent metal ion adsorption. Sep. Sci. Technol. 2018, 53, 2170–2185. [Google Scholar] [CrossRef]
- Sivagangi Reddy, N.; Madhusudana Rao, K.; Sudha Vani, T.; Krishna Rao, K.; Lee, Y.I. Pectin/poly (acrylamide-co-acrylamidoglycolic acid) pH sensitive semi-IPN hydrogels: Selective removal of Cu2+ and Ni2+, modeling, and kinetic studies. Desalination Water Treat. 2016, 57, 6503–6514. [Google Scholar] [CrossRef]
- Karmakar, M.; Mondal, H.; Mahapatra, M.; Chattopadhyay, P.K.; Chatterjee, S.; Singha, N.R. Pectin-grafted terpolymer superadsorbent via N–H activated strategic protrusion of monomer for removals of Cd (II), Hg (II), and Pb (II). Carbohydr. Polym. 2019, 206, 778–791. [Google Scholar] [CrossRef] [PubMed]
- Bhuyan, M.M.; Okabe, H.; Hidaka, Y.; Hara, K. Pectin-[(3-acrylamidopropyl) trimethylammonium chloride-co-acrylic acid] hydrogel prepared by gamma radiation and selectively silver (Ag) metal adsorption. J. Appl. Polym. Sci. 2018, 135, 45906. [Google Scholar] [CrossRef]
- Martins, J.G.; Facchi, D.P.; Berton, S.B.; Nunes, C.S.; Matsushita, M.; Bonafé, E.G.; Popat, K.C.; Almeida, V.C.; Kipper, M.J.; Martins, A.F. Removal of Cu (II) from aqueous solutions imparted by a pectin-based film: Cytocompatibility, antimicrobial, kinetic, and equilibrium studies. Int. J. Biol. Macromol. 2020, 152, 77–89. [Google Scholar] [CrossRef] [PubMed]
- Kaushal, S.; Kaur, N.; Kaur, M.; Singh, P.P. Dual-Responsive Pectin/Graphene Oxide (Pc/GO) nano-composite as an efficient adsorbent for Cr (III) ions and photocatalyst for degradation of organic dyes in waste water. J. Photochem. Photobiol. A Chem. 2020, 403, 112841. [Google Scholar] [CrossRef]
- Upadhyay, U.; Sireesha, S.; Gupta, S.; Sreedhar, I.; Anitha, K. Freeze v/s air-dried alginate-pectin gel beads modified with sodium dodecyl sulphate for enhanced removal of copper ions. Carbohydr. Polym. 2023, 301, 120294. [Google Scholar] [CrossRef] [PubMed]
- Saksham; Kaith, B.S.; Kumar, R.; Mehra, R.; Bhatti, M.S. Synthesis of nanocellulose-pectin based hybrid adsorbent for efficient uranium removal: A sustainable approach towards environmental remediation. J. Environ. Chem. Eng. 2025, 13, 114976. [Google Scholar] [CrossRef]
- Wang, P.; Yan, T.; Wang, L. Removal of Congo red from aqueous solution using magnetic chitosan composite microparticles. BioResources 2013, 8, 6026–6043. [Google Scholar] [CrossRef]
- Younes, M.K.; Algburi, S.; Al Omari, R.H.; Abdulhameed, A.S. Application of chitosan/acid-treated biomass composite for dye wastewater treatment: Adsorption modeling using Box-Behnken Design. Desalination Water Treat. 2024, 320, 100795. [Google Scholar] [CrossRef]
- Khanday, W.; Asif, M.; Hameed, B. Cross-linked beads of activated oil palm ash zeolite/chitosan composite as a bio-adsorbent for the removal of methylene blue and acid blue 29 dyes. Int. J. Biol. Macromol. 2017, 95, 895–902. [Google Scholar] [CrossRef] [PubMed]
- Shen, C.; Shen, Y.; Wen, Y.; Wang, H.; Liu, W. Fast and highly efficient removal of dyes under alkaline conditions using magnetic chitosan-Fe (III) hydrogel. Water Res. 2011, 45, 5200–5210. [Google Scholar] [CrossRef] [PubMed]
- Huang, X.; Li, B.; Wang, S.; Yue, X.; Zhengguo, Y.; Deng, X.; Ma, J. Facile in-situ synthesis of PEI-Pt modified bacterial cellulose bio-adsorbent and its distinctly selective adsorption of anionic dyes. Colloids Surf. A Physicochem. Eng. Asp. 2020, 586, 124163. [Google Scholar] [CrossRef]
- Cheng, J.; Zhan, C.; Wu, J.; Cui, Z.; Si, J.; Wang, Q.; Peng, X.; Turng, L.-S. Highly efficient removal of methylene blue dye from an aqueous solution using cellulose acetate nanofibrous membranes modified by polydopamine. ACS Omega 2020, 5, 5389–5400. [Google Scholar] [CrossRef] [PubMed]
- Oyewo, O.A.; Adeniyi, A.; Sithole, B.B.; Onyango, M.S. Sawdust-based cellulose nanocrystals incorporated with ZnO nanoparticles as efficient adsorption media in the removal of methylene blue dye. ACS Omega 2020, 5, 18798–18807. [Google Scholar] [CrossRef] [PubMed]
- Sun, Y.; Wang, T.; Han, C.; Lv, X.; Bai, L.; Sun, X.; Zhang, P. Facile synthesis of Fe-modified lignin-based biochar for ultra-fast adsorption of methylene blue: Selective adsorption and mechanism studies. Bioresour. Technol. 2022, 344, 126186. [Google Scholar] [CrossRef]
- Jiang, M.; Niu, N.; Chen, L. A template synthesized strategy on bentonite-doped lignin hydrogel spheres for organic dyes removal. Sep. Purif. Technol. 2022, 285, 120376. [Google Scholar] [CrossRef]
- Ma, Y.-z.; Zheng, D.-f.; Mo, Z.-y.; Dong, R.-j.; Qiu, X.-q. Magnetic lignin-based carbon nanoparticles and the adsorption for removal of methyl orange. Colloids Surf. A Physicochem. Eng. Asp. 2018, 559, 226–234. [Google Scholar] [CrossRef]
- Ahmad, R.; Ansari, K. Enhanced sequestration of methylene blue and crystal violet dye onto green synthesis of pectin modified hybrid (Pect/AILP-Kal) nanocomposite. Process Biochem. 2021, 111, 132–143. [Google Scholar] [CrossRef]
- Ilgin, P. High removal of methylene blue dye from aqueous solution by using a novel pectin-based hydrogel. Int. J. Environ. Anal. Chem. 2022, 102, 5413–5431. [Google Scholar] [CrossRef]
- Auta, M.; Hameed, B. Chitosan–clay composite as highly effective and low-cost adsorbent for batch and fixed-bed adsorption of methylene blue. Chem. Eng. J. 2014, 237, 352–361. [Google Scholar] [CrossRef]
- Yu, Z.; Hu, C.; Dichiara, A.B.; Jiang, W.; Gu, J. Cellulose Nanofibril/Carbon Nanomaterial Hybrid Aerogels for Adsorption Removal of Cationic and Anionic Organic Dyes. Nanomaterials 2020, 10, 169. [Google Scholar] [CrossRef] [PubMed]
- Hu, L.; Guang, C.; Liu, Y.; Su, Z.; Gong, S.; Yao, Y.; Wang, Y. Adsorption behavior of dyes from an aqueous solution onto composite magnetic lignin adsorbent. Chemosphere 2020, 246, 125757. [Google Scholar] [CrossRef] [PubMed]
- Rafak, S.H.; Jasim, L.S. Synthesis of novel bentonite/pectin-grafted-poly (crotonic acid-co-acrylic acid) hydrogel nanocomposite for adsorptive removal of safranin O dye from aqueous solution. Int. J. Environ. Anal. Chem. 2024, 1–24. [Google Scholar] [CrossRef]
- Kasbaji, M.; Mennani, M.; Grimi, N.; Oubenali, M.; Mbarki, M.; Zakhem, H.E.; Moubarik, A. Adsorption of cationic and anionic dyes onto coffee grounds cellulose/sodium alginate double-network hydrogel beads: Isotherm analysis and recyclability performance. Int. J. Biol. Macromol. 2023, 239, 124288. [Google Scholar] [CrossRef] [PubMed]
- Zhu, S.; Xu, J.; Xie, J.; Zhang, Z.; Ding, Q.; Chen, K. Ultrafast dyeing wastewater purification by high-performance and reusable lignin-derived activated porous carbon filter. Sep. Purif. Technol. 2024, 349, 127672. [Google Scholar] [CrossRef]























| Material | Metal Ions | Method | Reference |
|---|---|---|---|
| Chitosan | Co2+, Ca2+, Cu2+, Pr3+, Cr2+, Eu2+, Nd2+ | Adsorption system | [254] |
| Chitosan with glutaraldehyde (GLA), epichlorohydrin (ECH), and ethylene glycol diglycidyl ether (EGDE) | Fe2+ and Fe3+ | Batch adsorption system | [255] |
| Chitosan-graphene oxide | As3+, As5+ | Functionalization | [257] |
| Feo-nanoparticles-chitosan composite beads | Cr6+ | Composite preparation | [258] |
| Fe–Mn binary oxide impregnated chitosan bead | As3+, As5+ | Impregnation | [259] |
| Iron–chitosan composites | As3+, As5+ | Iron doping and coating | [260] |
| Chitosan/graphene oxide (CS/GO) membranes with EDTA | Pb2+ | Blending | [261] |
| Magnetic chitosan/graphene oxide (MCGO) | Pb2+ | Ultrasonic dispersion | [262] |
| Chitosan-grafted polyaniline-OMMT (CPOM) nanocomposite | Cr6+, Cd2+ | Radical polymerization | [263] |
| Chitosan-g-poly(butyl acrylate)/bentonite nanocomposite | Cr6+, Pb2+ | Ultrasonic-assisted crosslinking | [264] |
| Glutaraldehyde crosslinked silica gel/chitosan-g-poly(butyl acrylate | Cr6+ | Sol-gel method | [265] |
| Chitosan grafted graphene oxide | Cr6+ | Ultrasonic irradiation technique | [266] |
| Magnetic chitosan modified with graphene oxide | Cr6+ | Co-precipitation | [267] |
| Carboxymethyl chitosan-kaolinite composite hydrogel | Cu2+ | Schiff base reaction | [268] |
| 1,5-Diphenylcarbazide-chitosan composite hydrogel | Cu2+ | Diazotization reaction | [269] |
| Chitosan/Nylon-6 (CS/N) nanofiber membrane | Cu2+ | Solution blowing technique | [270] |
| Electrospun chitosan–polyethylene oxide/TEMPO-oxidized cellulose (CS–PEO/TOC) bio-based composite | Cu2+ | Electrospinning | [271] |
| Chitosan (CS), waste limestone, and diammonium hydrogen phosphate | Cu2+ | One-step blending method | [272] |
| Material | Metal Ions | Method | Reference |
|---|---|---|---|
| Cellulose acetate nanofibers (CANFs) impregnated with hydroxyapatite (CA/HAp) nanocomposite | Pb2+, Fe3+ | Electrospinning | [276] |
| Bacterial cellulose/chitosan (BC/CH) composite aerogel | Cu2+, Cr6+ | In situ synthesis, lyophilization | [277] |
| Thiol-functionalized cellulose nanofiber membrane | Cu2+, Cd2+, Pb2+ | Esterification | [278] |
| Cellulose acetate/citric acid | Cr6+ | Electrospinning | [279] |
| Cellulose nanofiber (CNF)/tannic acid/cardanol-derived siloxane aerogel | Cu2+ | Biomimetic co-deposition, grafting | [280] |
| Ethylene diamine tetraacetic acid (UiO-66-EDTA)/CNF/CMC aerogel | Cr3+, Cu2+, Co2+, Ni2+, Mn2+, Zn2+, Sn4+, Fe3+, Zr4+ | Freeze-drying | [281] |
| Cellulose ester films (MCC-CAD-GA) based on cellulose (MCC), citric acid anhydride (CAD), and l-glutamic acid (l-GA) | Cd2+, Co2+, Ni2+, Pb2+, Cu2+ | Amidation | [282] |
| GO/carboxymethyl cellulose nanofibril (CMCNF) composite fiber(CF) | Pb2+ | Wet-spinning process | [283] |
| Clay-cellulose biocomposite (CCB) | Pb2+, Cd2+ | Spin and Pressure-Induced Heating | [284] |
| Polyethyleneimine-crosslinked cellulose | Cu2+ | Covalent cross-linking | [285] |
| Cellulose nanofibrils-polyethylenimine-(3-glycidyloxypropyl)trimethoxysilane beads (CGP beads) | Cu2+ | Cross-linking | [287] |
| Cellulose nanofiber-sodium alginate hydrogel beads (CNF-SA beads) | Pb2+ | Cross-linking | [288] |
| Material | Metal Ions | Method | Reference |
|---|---|---|---|
| Alkaline lignin-graft-poly(acrylic acid) (AL-g-PAA) | Cu2+, Cd2+ | Radical graft copolymerization | [291] |
| Bentonite/sodium lignosulfonate graft-polymerized with acrylamide and maleic anhydride (BLPAMA) | Pb2+, Cu2+, Cd2+, Zn2+ | Graft polymerization | [292] |
| Lignosulfonate-modified graphene hydrogel (LGH) | Cr6+ | Hydrothermal method | [293] |
| Chitosan–alkali lignin composite | Cr6+ | Blending and drying | [294] |
| Lignosulfonate-modified graphene hydrogel (LS-GH) | Pb2+ | One-step hydrothermal process | [295] |
| Porous lignin-based poly (acrylic acid)/organo-montmorillonite nanocomposite | Pb2+ | Copolymerization, ultrasonic dispersion method | [296] |
| Lignosulfonate/N-methylaniline composite | Cr6+ | Cross-linking | [297] |
| Lignin-branched polyethyleneimine | Cr6+ | Cross-linking | [298] |
| Amino-functionalized lignin-based microspheres | Ni2+, Cd2+, Cr6+, As5+ | Inverse suspension copolymerization | [299] |
| Lignin particles modified with polyethyleneimine | Cr6+ | Cross-linking | [300] |
| Material | Metal Ions | Method | Reference |
|---|---|---|---|
| Pectin/γ-Fe2O3/gl nanocomposite | Cd2+, Pb2+ | Single-step chemical precipitation | [304] |
| Pectin | Hg2+ | Response surface methodology | [305] |
| Modified pectin | Pb2+ | High hydrostatic pressure | [306] |
| Pectin/poly(m-phenylenediamine) (P/PmPDA) microspheres | Pb2+ | Assembly-based synthesis | [307] |
| Pectin-grafted poly(2-(methacryloyloxyethyl)trimethylammonium chloride-co-2-acrylamido-2-methyl-1-propane sulfonic acid) | Cu2+, Pb2+, Hg2+ | Microwave-assisted synthesis, graft copolymerization | [308] |
| Pectin-based semi-interpenetrating polymer network (semi-IPN) hydrogel | Cu2+, Co2+, Ni2+ | Cross-linking | [309] |
| Chitosan/graphene oxide (CS/GO) membranes with EDTA | Cd2+ Pb2+, Hg2+ | Response surface methodology | [310] |
| Pectin-[(3-acrylamidopropyl) trimethylammonium chloride-co-acrylic acid] hydrogel | Ag+ | Gamma radiation-induced polymerization | [311] |
| Pectin-based film blended with chitosan | Cu2+ | Solvent evaporation method | [312] |
| Pectin-graphene oxide (Pc/GO) nanocomposite | Cr3+ | Sol-gel method | [313] |
| Material | Dyes | Method | Reference |
|---|---|---|---|
| Magnetic chitosan composite microparticles (MCCPs) | Congo red | One-step co-precipitation method | [316] |
| Chitosan and acid-treated biomass composite(CHI/SFH-SA) | Brilliant green | CHI/SFH-SA precipitation method | [317] |
| Activated oil palm ash zeolite/chitosan composite | Methylene blue (MB), acid blue 29 (AB29) | Hydrothermal treatment followed by chitosan beading | [318] |
| Magnetic chitosan-Fe(III) hydrogel | Acid red 73 | Chelation procedure | [319] |
| Cationic polyethylenimine–platinum nanomaterial (PEI-Pt) anchored onto bacterial cellulose (PEI-Pt@BC membrane) | Acid black ATT (anionic dye) and methylene blue (cationic dye) | In-situ reduction | [320] |
| Amide-functionalized cellulose-based porous adsorbent | Acid black 1, acid red 18 (anionic dyes) | Cross-linking | [190] |
| Deacetylated cellulose acetate (DA)@polydopamine (PDA) composite nanofiber membrane | Methylene blue | Electrospinning, surface modification | [321] |
| Sawdust-derived cellulose nanocrystals (CNC) incorporated with zinc oxide (ZnO) nanocomposite | Methylene blue | One-pot ultrasonication, stirring technique | [322] |
| Fe-modified lignin-based biochar (Fe-LB) | Methylene blue | One-step carbonization method | [323] |
| Bentonite-doped lignin hydrogel spheres (LHS-BT) | Methylene blue, rhodamine B, malachite green | Template-assisted rapid synthesis method | [324] |
| Magnetic lignin-based carbon nanoparticles (MLBCN) | Methyl orange | Precipitation-carbonization process | [325] |
| Pectin modified with a hybrid mixture of Azadirachta indica leaves and kaolin clay | Methylene blue, crystal violet | Alkali treatment, precipitation | [326] |
| Pectin/poly(methacrylic acid-co-2-acrylamido-2-methylpropane sulphonic acid) (pec/poly(MA-co-AMPS)) hydrogel | Methylene blue | Free-radical polymerization | [327] |
Disclaimer/Publisher’s Note: The statements, opinions and data contained in all publications are solely those of the individual author(s) and contributor(s) and not of MDPI and/or the editor(s). MDPI and/or the editor(s) disclaim responsibility for any injury to people or property resulting from any ideas, methods, instructions or products referred to in the content. |
© 2025 by the authors. Licensee MDPI, Basel, Switzerland. This article is an open access article distributed under the terms and conditions of the Creative Commons Attribution (CC BY) license (https://creativecommons.org/licenses/by/4.0/).
Share and Cite
Sheraz, M.; Sun, X.-F.; Siddiqui, A.; Hu, S.; Song, Z. Research Advances in Natural Polymers for Environmental Remediation. Polymers 2025, 17, 559. https://doi.org/10.3390/polym17050559
Sheraz M, Sun X-F, Siddiqui A, Hu S, Song Z. Research Advances in Natural Polymers for Environmental Remediation. Polymers. 2025; 17(5):559. https://doi.org/10.3390/polym17050559
Chicago/Turabian StyleSheraz, Muhammad, Xiao-Feng Sun, Adeena Siddiqui, Sihai Hu, and Zhengcang Song. 2025. "Research Advances in Natural Polymers for Environmental Remediation" Polymers 17, no. 5: 559. https://doi.org/10.3390/polym17050559
APA StyleSheraz, M., Sun, X.-F., Siddiqui, A., Hu, S., & Song, Z. (2025). Research Advances in Natural Polymers for Environmental Remediation. Polymers, 17(5), 559. https://doi.org/10.3390/polym17050559

