Comparative Effects of Various Plasticizers on the Physicochemical Characteristics of Polyhydroxybutyrate (PHB) Film for Food Packaging
Abstract
1. Introduction
2. Materials and Methods
2.1. Raw Materials and Chemicals
2.2. Fabrication of PHB Films
2.3. FTIR Spectroscopy
2.4. X-Ray Diffractometry (XRD)
2.5. Scanning Electron Microscopy (SEM)
2.6. Differential Scanning Calorimetry (DSC)
2.7. Thermogravimetric Analysis (TGA)
2.8. Contact Angle
2.9. UV-Vis Spectrophotometry
2.10. Mechanical Characterization
2.11. Statistical Analyses
3. Results and Discussion
3.1. Structural Characterization
3.2. Morphology Characterization
3.3. Thermal Properties
3.4. Surface Wettability
3.5. Optical Properties
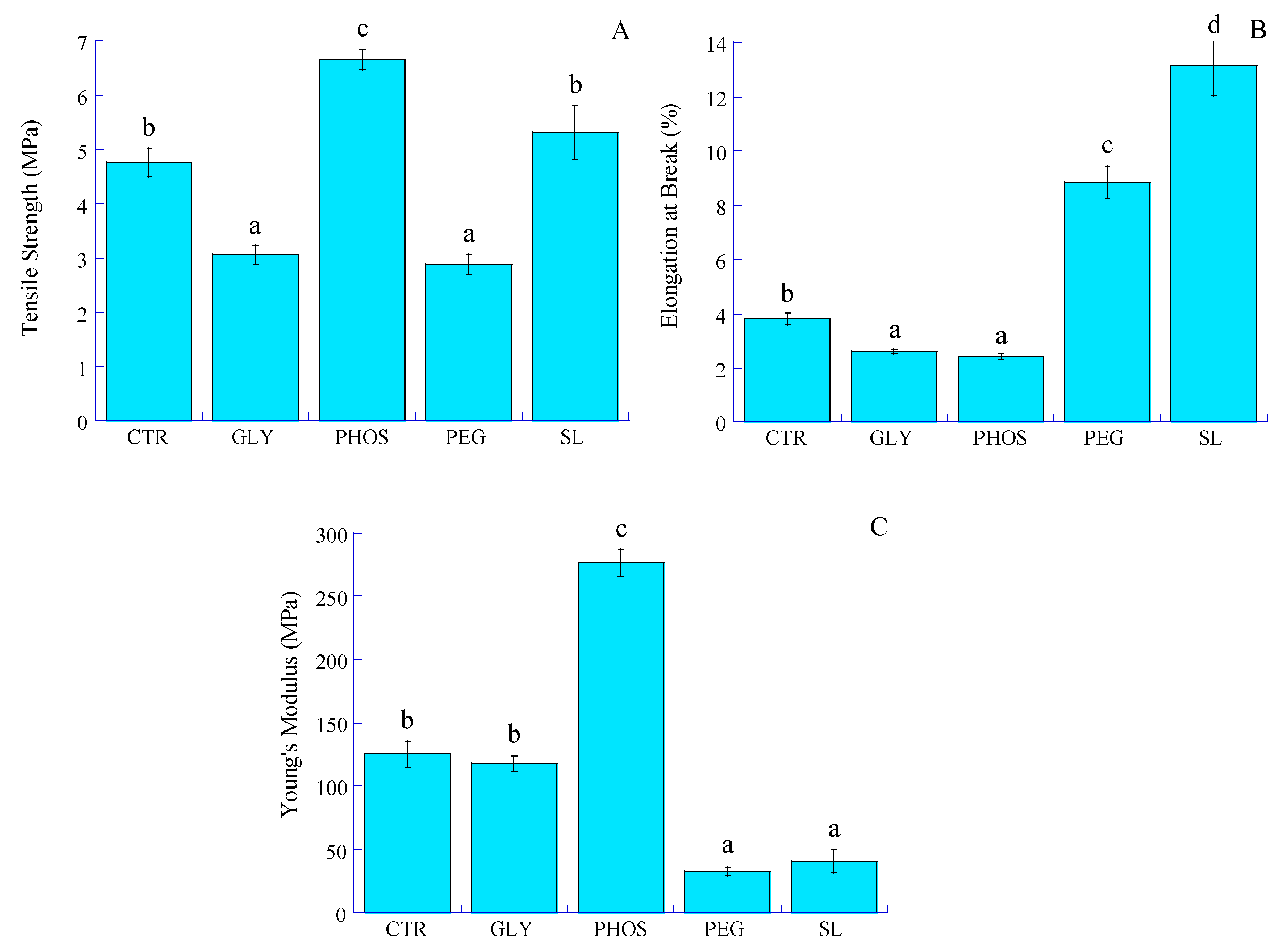
3.6. Mechanical Properties
4. Conclusions
Author Contributions
Funding
Institutional Review Board Statement
Data Availability Statement
Acknowledgments
Conflicts of Interest
References
- Yin, W.; Qiu, C.; Ji, H.; Li, X.; Sang, S.; McClements, D.J.; Jiao, A.; Wang, J.; Jin, Z. Recent Advances in Biomolecule-Based Films and Coatings for Active and Smart Food Packaging Applications. Food Biosci. 2023, 52, 102378. [Google Scholar] [CrossRef]
- Pfaendner, R. How Will Additives Shape the Future of Plastics? Polym. Degrad. Stab. 2006, 91, 2249–2256. [Google Scholar] [CrossRef]
- King, L.F.; Noël, F. Characterization of Lubricants for Polyvinyl Chloride. Polym. Eng. Sci. 1972, 12, 112–119. [Google Scholar] [CrossRef]
- Shaw, S.J. Additives and Modifiers for Epoxy Resins. In Chemistry and Technology of Epoxy Resins; Springer: Dordrecht, The Netherlands, 1993; pp. 117–143. [Google Scholar] [CrossRef]
- Rosato, D.V.; Rosato, D.V.; Rosato, M.G. Injection Molding Handbook; Rosato, D.V., Rosato, D.V., Rosato, M.G., Eds.; Springer: Boston, MA, USA, 2000. [Google Scholar] [CrossRef]
- Barczewski, M.; Matykiewicz, D.; Hoffmann, B. Effect of Quinacridone Pigments on Properties and Morphology of Injection Molded Isotactic Polypropylene. Int. J. Polym. Sci. 2017, 2017, 7043297. [Google Scholar] [CrossRef]
- Murphy, J. An Overview of Additives. In Additives for Plastics Handbook, 2nd ed.; Elsevier: Amsterdam, The Netherlands, 2001; pp. 1–3. [Google Scholar] [CrossRef]
- Hamid, S.H. Handbook of Polymer Degradation; CRC Press: Boca Raton, FL, USA, 2000. [Google Scholar] [CrossRef]
- Bacha, S.; Arous, F.; Chouikh, E.; Jaouani, A.; Gtari, M.; Charradi, K.; Attia, H.; Ghorbel, D. Exploring Bacillus Amyloliquefaciens Strain OM81 for the Production of Polyhydroxyalkanoate (PHA) Bioplastic Using Olive Mill Wastewater. 3 Biotech 2023, 13, 415. [Google Scholar] [CrossRef]
- Quintero-Silva, M.J.; Suárez-Rodríguez, S.J.; Gamboa-Suárez, M.A.; Blanco-Tirado, C.; Combariza, M.Y. Polyhydroxyalkanoates Production from Cacao Fruit Liquid Residues Using a Native Bacillus Megaterium Strain: Preliminary Study. J. Polym. Environ. 2024, 32, 1289–1303. [Google Scholar] [CrossRef]
- Cho, J.Y.; Kim, S.H.; Jung, H.J.; Cho, D.H.; Kim, B.C.; Bhatia, S.K.; Ahn, J.; Jeon, J.M.; Yoon, J.J.; Lee, J.; et al. Finding a Benign Plasticizer to Enhance the Microbial Degradation of Polyhydroxybutyrate (PHB) Evaluated by PHB Degrader Microbulbifer sp. SOL66. Polymers 2022, 14, 3625. [Google Scholar] [CrossRef]
- Râpă, M.; Popa, E.E.; Râpă, M.; Darie-Niţă, R.N.; Grosu, E.; Tănase, E.E.; Trifoi, A.R.; Pap, T.; Vasile, C. Effect of Plasticizers on Melt Processability and Properties of PHB. J. Optoelectron. Adv. Mater. 2015, 17, 1778–1784. [Google Scholar]
- Abdelwahab, M.A.; Flynn, A.; Chiou, B.S.; Imam, S.; Orts, W.; Chiellini, E. Thermal, Mechanical and Morphological Characterization of Plasticized PLA–PHB Blends. Polym. Degrad. Stab. 2012, 97, 1822–1828. [Google Scholar] [CrossRef]
- Majerczak, K.; Liggat, J.J. Submission to Journal of Polymers and the Environment Evaluation of Thermal Properties and Crystallinity in PHB-Based Systems—A DoE Approach. J. Polym. Environ. 2024, 32, 4613–4632. [Google Scholar] [CrossRef]
- Parra, D.F.; Fusaro, J.; Gaboardi, F.; Rosa, D.S. Influence of Poly (Ethylene Glycol) on the Thermal, Mechanical, Morphological, Physical–Chemical and Biodegradation Properties of Poly (3-Hydroxybutyrate). Polym. Degrad. Stab. 2006, 91, 1954–1959. [Google Scholar] [CrossRef]
- Janigová, I.; Lacík, I.; Chodák, I. Thermal Degradation of Plasticized Poly(3-Hydroxybutyrate) Investigated by DSC. Polym. Degrad. Stab. 2002, 77, 35–41. [Google Scholar] [CrossRef]
- Arrieta, M.P.; López, J.; Hernández, A.; Rayón, E. Ternary PLA-PHB-Limonene Blends Intended for Biodegradable Food Packaging Applications. Eur. Polym. J. 2014, 50, 255–270. [Google Scholar] [CrossRef]
- Weber, C.J. Biobased Packaging Materials for the Food Industry: Status and Perspectives: A European Concerted Action; The Royal Veterinary and Agricultural University: Denmark, Frederiksberg, 2000. [Google Scholar]
- Zhang, Z.; Li, J.; Ma, L.; Yang, X.; Fei, B.; Leung, P.H.M.; Tao, X. Mechanistic Study of Synergistic Antimicrobial Effects between Poly (3-Hydroxybutyrate) Oligomer and Polyethylene Glycol. Polymers 2020, 12, 2735. [Google Scholar] [CrossRef]
- Quispe, M.M.; Lopez, O.V.; Boina, D.A.; Stumbé, J.F.; Villar, M.A. Glycerol-Based Additives of Poly(3-Hydroxybutyrate) Films. Polym. Test. 2021, 93, 107005. [Google Scholar] [CrossRef]
- Benelhadj, S.; Douiri, S.; Ghouilli, A.; Hassen, R.B.; Keshk, S.M.A.S.; El-kott, A.; Attia, H.; Ghorbel, D. Extraction of Arthrospira Platensis (Spirulina) Proteins via Osborne Sequential Procedure: Structural and Functional Characterizations. J. Food Compos. Anal. 2023, 115, 104984. [Google Scholar] [CrossRef]
- Beji, E.; Keshk, S.M.A.S.; Douiri, S.; Charradi, K.; Ben Hassen, R.; Gtari, M.; Attia, H.; Ghorbel, D. Bioactive Film Based on Chitosan Incorporated with Cellulose and Aluminum Chloride for Food Packaging Application: Fabrication and Characterization. Food Biosci. 2023, 53, 102678. [Google Scholar] [CrossRef]
- Schmidt, A.; Bittmann-Hennes, B.; Montero, B.; Wetzel, B.; Barral, L. Green Bionanocomposites Based on Polyhydroxybutyrate and Filled with Cellulose Nanocrystals: Melting Processing and Characterization. J. Polym. Environ. 2023, 31, 4801–4816. [Google Scholar] [CrossRef]
- de Sousa Junior, R.R.; dos Santos, C.A.S.; Ito, N.M.; Suqueira, A.N.; Lackner, M.; dos Santos, D.J. PHB Processability and Property Improvement with Linear-Chain Polyester Oligomers Used as Plasticizers. Polymers 2022, 14, 4197. [Google Scholar] [CrossRef] [PubMed]
- Cheikh Rouhou, M.; Abdelmoumen, S.; Atrous, H.; Lung, A.; Vaca-Medina, G.; Raynaud, C.; Ghorbel, D. Pilot Scale Production of Dietary Fibers from Tunisian Tomato and Red Pepper By-Products. Sustain. Chem. Pharm. 2024, 39, 101521. [Google Scholar] [CrossRef]
- Douiri, S.; Ghorbal, A.; Blecker, C.; Dhouib, W.; Charradi, K.; Richel, A.; Attia, H.; Ghorbel, D. Enriching Wheat Flour Dough with Dietary Fibers: A Structure-Function Relationship Investigation. ACS Food Sci. Technol. 2024, 4, 2176–2189. [Google Scholar] [CrossRef]
- Hamza, H.; Bettaieb, I.; Benltoufa, A.; Ghorbal, A.; Ben Ahmed, H.; Elfalleh, W. Bioplastic Reinforced with Parthenocarpic Date Palm Fibers: Characterization and Microorganisms Involved in Degradation. Food Biosci. 2023, 51, 102352. [Google Scholar] [CrossRef]
- Tănase, E.E.; Popa, M.E.; Râpă, M.; Popa, O. PHB/Cellulose Fibers Based Materials: Physical, Mechanical and Barrier Properties. Agric. Agric. Sci. Procedia 2015, 6, 608–615. [Google Scholar] [CrossRef]
- Tapadiya, A.; Vasanthan, N. Crystallization and Alkaline Hydrolysis of Poly(3- Hydroxybutyrate) Films Probed by Thermal Analysis and Infrared Spectroscopy. Int. J. Biol. Macromol. 2017, 102, 1130–1137. [Google Scholar] [CrossRef]
- Guo, L.; Sato, H.; Hashimoto, T.; Ozaki, Y. FTIR Study on Hydrogen-Bonding Interactions in Biodegradable Polymer Blends of Poly(3-Hydroxybutyrate) and Poly(4-Vinylphenol). Macromolecules 2010, 43, 3897–3902. [Google Scholar] [CrossRef]
- Hu, S.; McDonald, A.G.; Coats, E.R. Characterization of Polyhydroxybutyrate Biosynthesized from Crude Glycerol Waste Using Mixed Microbial Consortia. J. Appl. Polym. Sci. 2013, 129, 1314–1321. [Google Scholar] [CrossRef]
- León, A.; Reuquen, P.; Garín, C.; Segura, R.; Vargas, P.; Zapata, P.; Orihuela, P.A. FTIR and Raman Characterization of TiO2 Nanoparticles Coated with Polyethylene Glycol as Carrier for 2-Methoxyestradiol. Appl. Sci. 2017, 7, 49. [Google Scholar] [CrossRef]
- Manikandan, N.A.; Pakshirajan, K.; Pugazhenthi, G. Preparation and Characterization of Environmentally Safe and Highly Biodegradable Microbial Polyhydroxybutyrate (PHB) Based Graphene Nanocomposites for Potential Food Packaging Applications. Int. J. Biol. Macromol. 2020, 154, 866–877. [Google Scholar] [CrossRef]
- Fu, X.; Kong, W.; Zhang, Y.; Jiang, L.; Wang, J.; Lei, J. Novel Solid-Solid Phase Change Materials with Biodegradable Trihydroxy Surfactants for Thermal Energy Storage. RSC Adv. 2015, 5, 68881–68889. [Google Scholar] [CrossRef]
- Panaitescu, D.M.; Nicolae, C.A.; Frone, A.N.; Chiulan, I.; Stanescu, P.O.; Draghici, C.; Iorga, M.; Mihailescu, M. Plasticized Poly(3-Hydroxybutyrate) with Improved Melt Processing and Balanced Properties. J. Appl. Polym. Sci. 2017, 134, 44810. [Google Scholar] [CrossRef]
- Arrieta, M.P.; Samper, M.D.; López, J.; Jiménez, A. Combined Effect of Poly(Hydroxybutyrate) and Plasticizers on Polylactic Acid Properties for Film Intended for Food Packaging. J. Polym. Environ. 2014, 22, 460–470. [Google Scholar] [CrossRef]
- Erceg, M.; Kovačić, T.; Klarić, I. Thermal Degradation of Poly(3-Hydroxybutyrate) Plasticized with Acetyl Tributyl Citrate. Polym. Degrad. Stab. 2005, 90, 313–318. [Google Scholar] [CrossRef]
- Ribeiro Lopes, J.; Azevedo dos Reis, R.; Almeida, L.E. Production and Characterization of Films Containing Poly(Hydroxybutyrate) (PHB) Blended with Esterified Alginate (ALG-e) and Poly(Ethylene Glycol) (PEG). J. Appl. Polym. Sci. 2017, 133, 44362. [Google Scholar] [CrossRef]
- Frone, A.N.; Nicolae, C.A.; Eremia, M.C.; Tofan, V.; Ghiurea, M.; Chiulan, I.; Radu, E.; Damian, C.M.; Panaitescu, D.M. Low Molecular Weight and Polymeric Modifiers as Toughening Agents in Poly(3-Hydroxybutyrate) Films. Polymers 2020, 12, 2446. [Google Scholar] [CrossRef]
- Seoane, I.T.; Manfredi, L.B.; Cyras, V.P. Effect of Two Different Plasticizers on the Properties of Poly(3-Hydroxybutyrate) Binary and Ternary Blends. J. Appl. Polym. Sci. 2018, 135, 46016. [Google Scholar] [CrossRef]
- Pinto, J.; Athanassiou, A.; Fragouli, D. Surface Modification of Polymeric Foams for Oil Spills Remediation. J. Environ. Manag. 2018, 206, 872–889. [Google Scholar] [CrossRef]
- Garcia-Garcia, D.; Lopez-Martinez, J.; Balart, R.; Strömberg, E.; Moriana, R. Reinforcing Capability of Cellulose Nanocrystals Obtained from Pine Cones in a Biodegradable Poly(3-Hydroxybutyrate)/Poly(ε-Caprolactone) (PHB/PCL) Thermoplastic Blend. Eur. Polym. J. 2018, 104, 10–18. [Google Scholar] [CrossRef]
- Arrieta, M.P.; López, J.; López, D.; Kenny, J.M.; Peponi, L. Development of Flexible Materials Based on Plasticized Electrospun PLA-PHB Blends: Structural, Thermal, Mechanical and Disintegration Properties. Eur. Polym. J. 2015, 73, 433–446. [Google Scholar] [CrossRef]








| Plasticizer | Tc (°C) | ∆Hc (J·g−1) | Tm1 (°C) | ∆Hm1 (J·g−1) | Tm2 (°C) | ∆Hm2 (J·g−1) | XDSC (%) |
|---|---|---|---|---|---|---|---|
| Control | 102.8 | −71.4 | 58.6 | 4.0 | 168.2 | 83.05 | 56.9 |
| GLY | 100.2 | −56.9 | 52.1 | 3.8 | 160. 5 | 69.8 | 38.2 |
| PHOS | 103.6 | −72.3 | 53.2 | 5.3 | 166.8 | 86.1 | 47.2 |
| PEG | 102.4 | −62.5 | 52.2 | 24.0 | 162.1 | 80.2 | 43.9 |
| SL | 93.8 | −44.5 | 50.0 | 3.8 | 164. 2 | 51.7 | 28.3 |
| Plasticizer | T5% (°C) | T10% (°C) | Td1 (°C) | Td2 (°C) | Td3 (°C) |
|---|---|---|---|---|---|
| Control | 138 | 224 | 256 | 322 | − |
| GLY | 156 | 220 | 262 | 357 | − |
| PHOS | 229 | 237 | 258 | 330 | − |
| PEG | 218 | 229 | 247 | 343 | 391 |
| SL | 176 | 238 | 279 | 385 | − |
| Plasticizer | Control | GLY | PHOS | PEG | SL |
|---|---|---|---|---|---|
| Transparency | 17.62 ± 0.17 e | 14.23 ± 0.11 b | 16.99 ± 0.16 d | 12.80 ± 0.13 a | 16.25 ± 0.03 c |
Disclaimer/Publisher’s Note: The statements, opinions and data contained in all publications are solely those of the individual author(s) and contributor(s) and not of MDPI and/or the editor(s). MDPI and/or the editor(s) disclaim responsibility for any injury to people or property resulting from any ideas, methods, instructions or products referred to in the content. |
© 2025 by the authors. Licensee MDPI, Basel, Switzerland. This article is an open access article distributed under the terms and conditions of the Creative Commons Attribution (CC BY) license (https://creativecommons.org/licenses/by/4.0/).
Share and Cite
Taamallah, S.; Douiri, S.; Keshk, S.M.A.S.; Ben Arfi, R.; Ghorbal, A.; Charradi, K.; Ben Hassen, R.; Attia, H.; Ghorbel, D. Comparative Effects of Various Plasticizers on the Physicochemical Characteristics of Polyhydroxybutyrate (PHB) Film for Food Packaging. Polymers 2025, 17, 3071. https://doi.org/10.3390/polym17223071
Taamallah S, Douiri S, Keshk SMAS, Ben Arfi R, Ghorbal A, Charradi K, Ben Hassen R, Attia H, Ghorbel D. Comparative Effects of Various Plasticizers on the Physicochemical Characteristics of Polyhydroxybutyrate (PHB) Film for Food Packaging. Polymers. 2025; 17(22):3071. https://doi.org/10.3390/polym17223071
Chicago/Turabian StyleTaamallah, Siwar, Sabrine Douiri, Sherif M. A. S. Keshk, Rim Ben Arfi, Achraf Ghorbal, Khaled Charradi, Rached Ben Hassen, Hamadi Attia, and Dorra Ghorbel. 2025. "Comparative Effects of Various Plasticizers on the Physicochemical Characteristics of Polyhydroxybutyrate (PHB) Film for Food Packaging" Polymers 17, no. 22: 3071. https://doi.org/10.3390/polym17223071
APA StyleTaamallah, S., Douiri, S., Keshk, S. M. A. S., Ben Arfi, R., Ghorbal, A., Charradi, K., Ben Hassen, R., Attia, H., & Ghorbel, D. (2025). Comparative Effects of Various Plasticizers on the Physicochemical Characteristics of Polyhydroxybutyrate (PHB) Film for Food Packaging. Polymers, 17(22), 3071. https://doi.org/10.3390/polym17223071

