Zero Waste Concept in Production of PLA Biocomposites Reinforced with Fibers Derived from Wild Plant (Spartium junceum L.) and Energy Crop (Sida hermaphrodita (L.) Rusby)
Abstract
1. Introduction
1.1. State of the Art on Spartium junceum L. Reinforced Composites
1.2. State of the Art on Sida hermaphrodita (L.) Rusby Reinforced Composites
2. Materials and Methods
2.1. Materials
2.2. Methods
2.2.1. Fibers Isolation
2.2.2. Fibers Moisture Content and Moisture Regain
2.2.3. Fiber Density
2.2.4. Fibers Mechanical Properties
2.2.5. Fiber Morphology
2.2.6. Composite Formation
2.2.7. Composite Mechanical Properties
2.2.8. Composites Thermal Properties
3. Results and Discussion
3.1. Fibers Physical Properties
3.2. Fibers Mechanical Properties
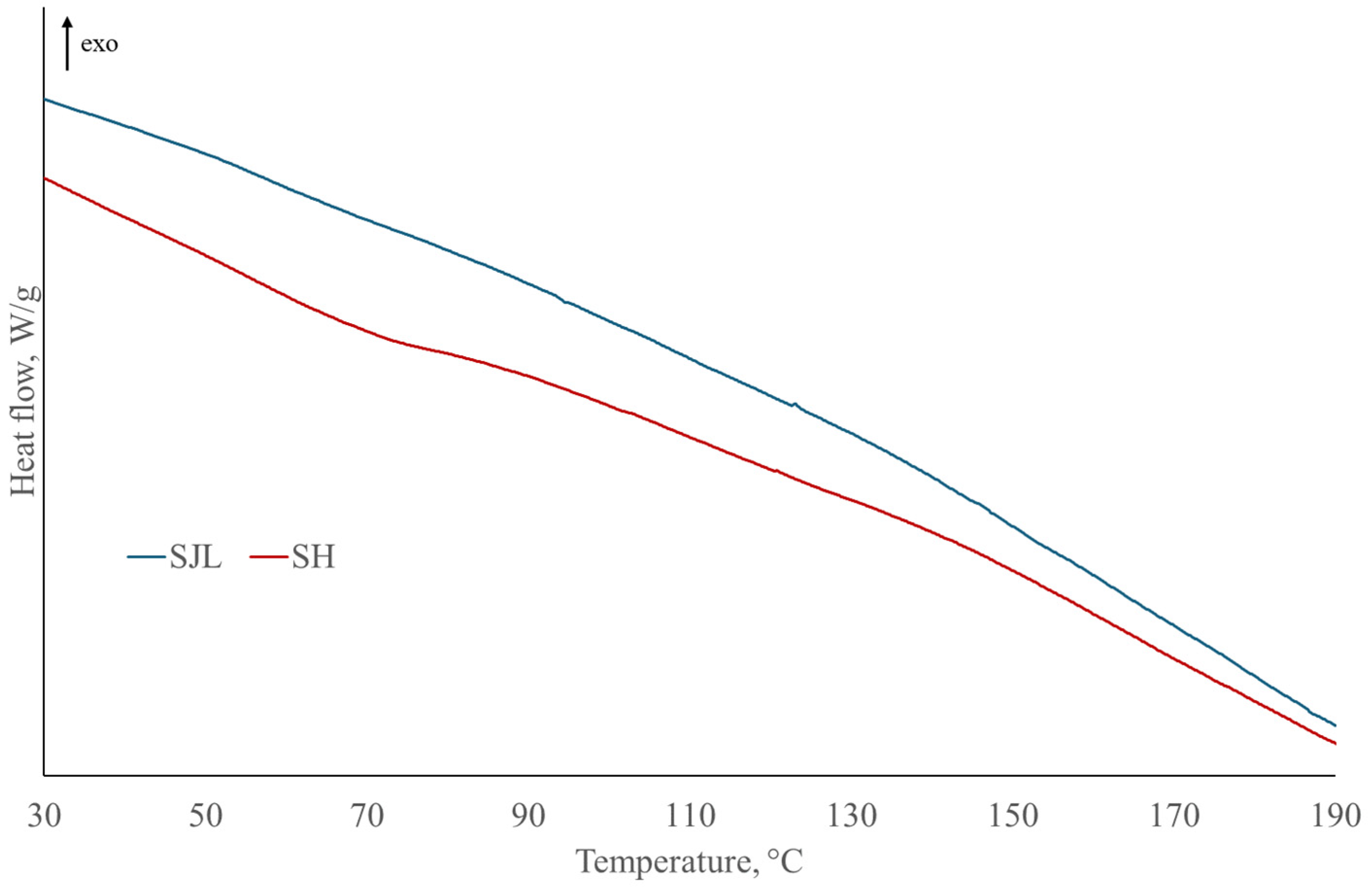
3.3. Fiber Morphology
3.4. Composites Mechanical Properties
3.5. Composites Thermal Properties
4. Conclusions
5. Future Perspectives
6. Patents
Author Contributions
Funding
Institutional Review Board Statement
Data Availability Statement
Acknowledgments
Conflicts of Interest
References
- Nemessanyi, C. Brief history of fiber reinforced polymers as structural material. Period. Polytech. Archit. 2023, 54, 193–206. [Google Scholar] [CrossRef]
- Vujasinović, E.; Pavunc Samaržija, M. Biokompoziti-materijali budućnosti. In Održivi Razvoj Biokompozita i Biogoriva iz Obnovljivih Izvora Energije; Bischof, S., Ed.; Sveučilište u Zagrebu Tekstilno-Tehnološki Fakultet: Zagreb, Croatia, 2023; pp. 113–152. ISBN 978-953-8418-09-9. [Google Scholar]
- Kovačević, Z. Development of Advanced Polylactide Nanobiocomposite Reinforced with Spartium junceum L. Fibres. Ph.D. Thesis, University of Zagreb Faculty of Textile Technology, Zagreb, Croatia, 25 October 2019. [Google Scholar]
- Dong, Z.; Ding, Z.; Zhang, S.; Zhang, Y. Natural Fibers from the Bark of Mulbery Branches for Textile Application. Fibres Text. East. Eur. 2017, 25, 20–25. [Google Scholar] [CrossRef]
- Bischof, S.; Kovačević, Z. Kemijska predobrada za izolaciju tekstilnih vlakana iz energetskih kultura. In Održivi Razvoj Biokompozita i Biogoriva iz Obnovljivih Izvora Energije; Bischof, S., Ed.; Sveučilište u Zagrebu Tekstilno-Tehnološki Fakultet: Zagreb, Croatia, 2023; pp. 83–112. ISBN 978-953-8418-09-9. [Google Scholar]
- Corrente, G.A.; Scarpelli, A.; Caputo, P.; Rossi, C.O.; Crispini, A.; Chidichimo, G.; Beneduci, A. Chemical-physical and dynamical-mechanical characterization on Spartium junceum L. cellulosic fiber treated with softener agents: A preliminary investigation. Sci. Rep. Nat. Res. 2021, 11, 35. [Google Scholar] [CrossRef] [PubMed]
- Angelini, L.G.; Lazzeri, A.; Levita, G.; Fantanelli, D.; Bozzi, C. Ramie (Boehmeria nivea (L.) Gaud.) and Spanish Broom (Spartium junceum L.) fibres for composite materials: Agronomical aspects, morphology and mechanical properties. Ind. Crops Prod. 2000, 11, 145–161. [Google Scholar] [CrossRef]
- Angelini, L.G.; Tavarini, S.; Foschi, L. Spanish Broom (Spartium junceum L.) as New Fiber for Biocomposites: The Effect of Crop Age and Microbial Retting on Fiber Quality. Mater. Sci. 2013, 2013, 274359. [Google Scholar] [CrossRef]
- Gabriele, B.; Cerchiara, T.; Salerno, G.; Chidichimo, G.; Vetere, M.V.; Alampi, C.; Gallucci, M.C.; Canidi, C.; Cassano, A. A new physical-chemical process for the efficient production of cellulose fibers from Spanish broom (Spartium junceum L.). Bioresour. Technol. 2010, 101, 724–729. [Google Scholar] [CrossRef]
- Krička, T.; Grubor, M.; Jurišić, V.; Leto, J.; Voća, N.; Bilandžija, N.; Matin, A. Nova energetska kultura Sida hermaphrodita u republici Hrvatskoj. Glas. Zaštite Bilja 2017, 5, 44–49. [Google Scholar] [CrossRef]
- Jablonowski, N.D.; Kollman, T.; Nabel, M.; Damm, T. Valorization of Sida (Sida hermaphrodita) biomass for multiple energy purposes. GCB Bioenergy 2017, 9, 202–214. [Google Scholar] [CrossRef]
- Borkowska, H.; Molas, R. Two extremely different crops, Salix and Sida, as sources of renewable bioenergy. Biomass Bioenergy 2012, 36, 234–240. [Google Scholar] [CrossRef]
- Cumplido-Marin, L.; Graves, A.R.; Burgess, P.J.; Morhart, C.; Paris, P.; Jablonowski, N.D.; Facciotto, G.; Bury, M.; Martens, R.; Nahm, M. Two Novel Energy Crops: Sida hermaphrodita (L.) Rusby and Silphium perfoliatum L.—State of Knowledge. Agronomy 2020, 10, 928. [Google Scholar] [CrossRef]
- Schrey, S.D.; Martinez Diaz, J.; Becker, L.; Mademann, J.A.; Ohrem, B.; Drobietz, D.; Chaloupsky, P.; Jablonowski, N.D.; Wever, C.; Grande, P.M.; et al. Cell wall composition and biomass saccharification potential of Sida hermaphrodita differ between genetically distant accessions. Front. Plant Sci. 2023, 14, 1191249. [Google Scholar] [CrossRef] [PubMed]
- Nabel, M.; Schrey, S.D.; Temperton, V.M.; Harrison, L.; Jablonowski, N.D. Legume Intercropping with the Bioenergy Crop Sida hermaphrodita on Marginal Soil. Front. Plant Sci. 2018, 9, 905. [Google Scholar] [CrossRef] [PubMed]
- Hosur, M.; Maroju, H.; Jeelani, S. Comparison of Effects of Alkali Treatment on Flax Fibre Reinforced Polyester and Polyester-biopolymer Blend Resins. Polym. Polym. Compos. 2015, 23, 229–242. [Google Scholar] [CrossRef]
- Mushtaq, B.; Ahmad, F.; Nawab, Y.; Ahmad, S. Optimization of the novel jute retting process to enhance the fiber quality for textile applications. Heliyon 2023, 9, e21513. [Google Scholar] [CrossRef]
- Mohammed, M.; Jawad, A.J.M.; Mohammed, A.M.; Oleiwi, J.K.; Adam, T.; Osman, A.F.; Dahham, O.S.; Betar, B.O.; Gopinath, S.C.B.; Jaafar, M. Challenges and advancement in water absorption of natural fiber-reinforced polymer composites. Polym. Test. 2023, 124, 108083. [Google Scholar] [CrossRef]
- Ali, A.; Shaker, K.; Nawab, Y.; Jabbar, M.; Hussain, T.; Militky, J.; Baheti, V. Hydrophobic treatment of natural fibers and their composites—A review. J. Ind. Text. 2018, 47, 2153–2183. [Google Scholar] [CrossRef]
- Rajeshkumar, G.; Arvindh Seshadri, S.; Devnani, G.L.; Sanjay, M.R.; Siengchin, S.; Prakash Maran, J.; Al-Dhabi, N.A.; Karuppiah, P.; Mariadhas, V.A.; Sivarajasekar, N.; et al. Environment friendly, renewable and sustainable poly lactic acid (PLA) based natural fiber reinforced composites—A comprehensive review. J. Clean. Prod. 2021, 310, 127483. [Google Scholar] [CrossRef]
- Ilyas, R.A.; Zuhri, M.Y.M.; Aisyah, H.A.; Asyraf, M.R.M.; Hassan, S.A.; Zainudin, E.S.; Sapuan, S.M.; Sharma, S.; Bangar, S.P.; Jumaidin, R.; et al. Natural Fiber-Reinforced Polylactic Acid, Polylactic Acid Blends and Their Composites for Advanced Applications. Polymers 2022, 14, 202. [Google Scholar] [CrossRef]
- Mysiukiewicz, O.; Barczewski, M.; Skorczewska, K.; Szulc, J.; Klozinski, A. Accelerated Weathering of Polylactide-Based Composites Filled with Linseed Cake: The Influence of Time and Oil Content within the Filler. Polymers 2019, 11, 1495. [Google Scholar] [CrossRef]
- Huang, H.; Chen, L.; Song, G.; Tang, G. An efficient plasticization method for poly(lactic acid) using combination of liquid-state and solid-state plasticizers. J. Appl. Polym. Sci. 2018, 135, 46669. [Google Scholar] [CrossRef]
- Mokhothu, T.H.; John, M.J. Bio-Based Fillers for Environmentally Friendly Composites. In Handbook of Composites from Renewable Materials; Chapter 10; Thakur, V.K., Thakur, M.K., Kessler, M.R., Eds.; Scrivener Publishing LLC: Beverly, MA, USA, 2017; pp. 243–270. ISBN 9781119441632. [Google Scholar] [CrossRef]
- del Campo, A.; de Lucas-Gil, E.; Rubio-Marcos, F.; Arrieta, M.P.; Fernandez-Garcia, M.; Fernandez, J.F.; Munoz-Bonilla, A. Accelerated disintegration of compostable Ecovio polymer by using ZnO particles as filler. Polym. Degrad. Stab. 2021, 185, 109501. [Google Scholar] [CrossRef]
- Mitjans, M.; Marics, L.; Bilbao, M.; Maddaleno, A.S.; Pinero, J.J.; Vinardell, M.P. Size Matters? A Comprehensive In Vitro Study of the Impact of Particle Size on the Toxicity of ZnO. Nanomaterials 2023, 13, 1800. [Google Scholar] [CrossRef] [PubMed]
- Venkatesh, C.; Laurenti, M.; Bandeira, M.; Lanzagorta, E.; Lucherini, L.; Cauda, V.; Devine, D.M. Biodegradation and Antimicrobial Properties of Zinc Oxide-Polymer Composite Materials for Urinary Stent Applications. Coatings 2020, 10, 1002. [Google Scholar] [CrossRef]
- Fabijanski, M. Properties of Composites Based on Polylactide Filled with Cork Filler. J. Compos. Sci. 2024, 8, 185. [Google Scholar] [CrossRef]
- de Leon, A.S.; Nunez-Galvez, F.; Moreno-Sanchez, D.; Fernandez-Delgado, N.; Molina, S.I. Polymer Composites with Cork Particles Functionalized by Surface Polymerization for Fused Deposition Modeling. ACS Appl. Polym. Mater. 2022, 4, 1225–1233. [Google Scholar] [CrossRef]
- Ghonjizade-Samani, F.; Haurie, L.; Malet, R.; Realinho, V. The Components’ Roles in Thermal Stability and Flammability of Cork Powder. Materials 2023, 16, 3829. [Google Scholar] [CrossRef]
- Nekkaa, S.; Haddaoui, N.; Grillet, A.C.; Merle, G. Thermal, Thermomechanical, and Morphological Properties of Spartium junceum Fiber reinforced Polypropylene Composites. Int. J. Polym. Mater. 2006, 55, 837–853. [Google Scholar] [CrossRef]
- Nekkaa, S.; Guessoum, M.; Haddaoui, N. Water Absorption Behavior and Impact Properties of Spartium junceum Fiber Composites. Int. J. Polym. Mater. 2009, 58, 468–481. [Google Scholar] [CrossRef]
- Nekkaa, S.; Guessoum, M.; Grillet, A.C.; Haddaoui, N. Mechanical Properties of Biodegradable Composites Reinforced with Short Spartium junceum Fibers Before and After Treatments. Int. J. Polym. Mater. 2012, 61, 1021–1034. [Google Scholar] [CrossRef]
- Kovacevic, Z.; Bischof, S.; Katovic, A. Thermal and Morphological Properties of Spartium junceum Fiber-Reinforced Green Composites. In Proceedings of the ICCE-20 The Twentieth Annual International Conference on Composites or Nano Engineering, Beijing, China, 22–28 July 2012; Hui, D., Ed.; University of New Orleans: New Orleans, LA, USA, 2012; pp. 415–416. [Google Scholar]
- Kovačević, Z.; Vujasinovic, E.; Bischof, S.; Fan, M. The influence of Pretreatment of Spartium junceum L. Fibres on Mechanical Properties of PLA Biocomposites. In Proceedings of the 22nd Annual International Conference on Composites/NanoEngineering (ICCE-22), Saint Julian’s, Malta, 13–19 July 2014; Hui, D., Ed.; University of New Orleans: New Orleans, LA, USA, 2014; pp. 497–499. [Google Scholar]
- Kovačević, Z.; Bischof, S.; Fan, M. The influence of Spartium junceum L. Fibres modified with montmorrilonite nanoclay on the thermal properties of PLA biocomposites. Compos. Part B Eng. 2015, 101, 122–130. [Google Scholar] [CrossRef]
- Kovačević, Z.; Bischof, S.; Vujasinović, E.; Fan, M. The potential of nanoclay modified Spartium junceum L. fibres used as reinforcement in PLA matrix composites for automotive applications. Int. J. Nanotechnol. 2018, 15, 695–700. [Google Scholar] [CrossRef]
- Kovačević, Z.; Bischof, S.; Vujasinović, E.; Fan, M. The influence of pre-treatment of Spartium junceum L. fibres on the structure and mechanical properties of PLA biocomposites. Arab. J. Chem. 2019, 12, 449–463. [Google Scholar] [CrossRef]
- Chidichimo, G.; Aloise, A.; Beneduci, A.; De Rango, A. Polyurethanes Reinforced with Spartium junceum Fibers. Polym. Compos. 2015, 37, 3042–3049. [Google Scholar] [CrossRef]
- Bouhank, S.; Nekkaa, S.; Haddaoui, N. Water absorption, biodegradation, thermal and morphological properties of Spartium junceum fiber-reinforced polyvinylchloride composites: Effects of fibers content and surface modification. J. Adhes. Sci. Technol. 2016, 30, 1462–1478. [Google Scholar] [CrossRef]
- Bedreddine, M.; Nekkaa, S.; Guessoum, M. Poly (lactic acid)/Spartium junceum fibers biocomposites: Effects of the fibers content and surface treatments on the microstructure and thermomechanical properties. Compos. Interfaces 2019, 26, 1101–1121. [Google Scholar] [CrossRef]
- Messaoudi, K.; Nekkaa, S.; Guessoum, M. Contribution of surface treatments by esterification and silanization in reinforcing the composites based on Pine cone and Spartium junceum flours and polypropylene. J. Adhes. Sci. Technol. 2019, 33, 2405–2429. [Google Scholar] [CrossRef]
- Nouar, Y.; Zouaoui, F.; Nekkaa, S.; Rouabah, F.; Fernandez-Garcia, M.; Lopez, D.; Fois, M. Effect of chemical treatment on thermophysical behavior of Spanish broom flour-reinforced polypropylene biocomposites. J. Polym. Eng. 2020, 41, 9–18. [Google Scholar] [CrossRef]
- Corapi, A.; Gallo, L.; Lucadamo, L.; Tursi, A.; Chidichimo, G. Evaluation of the Ecotoxicity of New Polyurethane Composites on Target Organisms for Aquatic and Atmospheric Environments. Environ. Toxicol. Chem. 2023, 42, 421–436. [Google Scholar] [CrossRef]
- Govorčin Bajsić, E.; Meheš, M.; Kratofil Krehula, L.; Peršić, A.; Filipan, V.; Sutlović, I. Preparation and thermal properties of thermoplastic composites filled with Spartium junceum L. fibres. In Proceedings of the 15th International Conference on Nanomaterials—Research & Application, Brno, Czech Republic, 18–20 October 2023; pp. 392–399, ISBN 978-80-88365-15-0, ISSN 2694-930X. [Google Scholar] [CrossRef]
- Juradin, S.; Jozić, D.; Netinger Grubeša, I.; Pamuković, A.; Čović, A.; Mihanović, F. Influence of Spanish Broom Fibre Treatment, Fibre Length, and Amount and Harvest Year on Reinforced Cement Mortar Quality. Buildings 2023, 13, 1910. [Google Scholar] [CrossRef]
- Gudelj-Velaga, A.; Bilandžija, N.; Leto, J.; Bischof, S.; Voća, N.; Kovačević, Z. Energy properties of the Virgina mallow (Sida hermaphrodita) residue from enzymatic fiber isolation. In Proceedings of the 59th Croatian & 19th International Symposium on Agriculture, Dubrovnik, Croatia, 11–16 February 2024; Carović-Stanko, K., Kljak, K., Eds.; University of Zagreb Faculty of Agriculture: Zagreb, Croatia, 2024; pp. 521–524, ISSN 2459-5551. [Google Scholar]
- Czarnecki, R.; Dukarska, D. Estimating the possibilities ao applying Sida hermaphrodita Rusby to the production of low-density particleboards. Annals of Warsaw University of Life Sciences–SGGW. For. Wood Technol. 2010, 71, 83–86. [Google Scholar]
- Khadka, R. The use of fibrous plants in the production of building materials. In Proceedings of the 10th International Scientific Conference Rural Development 2021, Kaunas, Lithuania, 21–23 September 2021; Černiauskiene, J., Ed.; Vytautas Magnus University Agriculture Academy: Kaunas, Lithuania, 2021; pp. 101–105, ISSN 1822-3230. [Google Scholar] [CrossRef]
- Holler, M.; Lunze, A.; Wever, C.; Deutschle, A.L.; Stucker, A.; Frase, N.; Pestsova, E.; Spiess, A.C.; Westhoff, P.; Pude, R. Meadow hay, Sida hermaphrodita (L.) Rusby and Silphium perfoliatum L. as potential non-wood raw materials for the pulp and paper industry. Ind. Crops Prod. 2021, 167, 113548. [Google Scholar] [CrossRef]
- Kmiotek, M.; Dybka-Stepien, K.; Molas, R.; Kieltyka-Dadasiewicz, A.; Gapinska, M.; Glinska, S.; Sicinski, M.; Imiela, M. Sida hermaphrodita Rusby as a papermaking Raw material—Chemical and Morphological Characteristics. Bioresources 2024, 19, 4381–4395. [Google Scholar] [CrossRef]
- Kovačević, Z.; Bischof, S.; Krička, T.; Bilandžija, N. Patent pending, Biocomposites of Antimicrobial Properties Based on Renewable Polymers and Lignocellulosic Fibers. European Patent Office, The Hague PCT/EP2023/08247, 16 November 2023. [Google Scholar]
- ASTM D2495-07; Standard Test Method for Moisture in Cotton by Oven-Drying. ASTM: West Conshohocken, PA, USA, 2019. [CrossRef]
- ASTM D8171-18; Standard Test Methods for Density Determination of Flax Fiber. ASTM: West Conshohocken, PA, USA, 2018. [CrossRef]
- HRN EN ISO 527-5:2021; Plastika-Određivanje Rasteznih Svojstava—5.dio: Uvjeti Ispitivanja za Plastične Kompozite Jednosmjerno Ojačane Vlaknima. ISO: Geneva, Switzerland, 2021.
- HRN EN ISO 14125:2005; Plastični Kompoziti Ojačani Vlaknima-Određivanje Savojnih Svojstava. ISO: Geneva, Switzerland, 2005.
- HRN EN ISO 179-1:2023; Plastika-Određivanje Svojstava Žilavosti po Charpyju—1.dio: Isapitivanje Žilavosti Bez Instrumenata. ISO: Geneva, Switzerland, 2021.
- ASTM D7309-21a; Standard Test Method for Determining Flammability Characteristics of Plastics and Other Solid Materials Using Microscale Combustion Calorimetry. ASTM: West Conshohocken, PA, USA, 2021. [CrossRef]
- Bachchan, A.A.; Das, P.P.; Chaudhary, V. Effect of moisture absorption on the properties of natural fiber reinforced polymer composites: A review. Mater. Today Proc. 2022, 49, 3403–3408. [Google Scholar] [CrossRef]
- Čunko, R.; Andrassy, M. Vlakna; Zrinski d.d.: Zagreb, Croatia, 2005; ISSN 953-155-089-1. [Google Scholar]
- Henderson, M.S. Environmental Influences on Fiber Component Concentrations of Warm-season Perennial Grasses. Agron. J. 1982, 74, 573–579. [Google Scholar] [CrossRef]
- Munawar, S.; Umemura, K. Characterization of the morphological, physical, and mechanical properties of seven nonwood plant fiber bundles. J. Wood Sci. 2007, 108, 108–113. [Google Scholar] [CrossRef]
- Le Gall, M.; Davies, P.; Martin, N.; Baley, C. Recommended flax fibre density values for composite property predictions. Ind. Crops Prod. 2018, 114, 52–58. [Google Scholar] [CrossRef]
- Dal, J.P.; Mishra, S.C. Processing and Properties of Natural Fiber-Reinforced Polymer Composite. J. Mater. 2012, 2013, 297213. [Google Scholar] [CrossRef]
- Kempe, A.; Gohre, A.; Lautenschlager, T.; Rudolf, A.; Eder, M.; Neinhuis, C. Evaluation of Bast Fibres of the Stem of Carica papaya L. for Application as Reinforcing Material in Green Composites. Annu. Res. Rev. Biol. 2015, 6, 245–252. [Google Scholar] [CrossRef]
- Senwitz, C.; Kempe, A.; Neinhuis, C.; Mandombe, J.L.; Branquima, M.F.; Lautenschlager, T. Almost Forgotten Resources—Biomechanical Properties of Traditionally Used Bast Fibers from Northern Angola. Bioresources 2016, 11, 7595–7607. [Google Scholar] [CrossRef]
- Kusić, D.; Božič, U.; Monzon, M.; Paz, R.; Bordon, P. Thermal and Mechanical Characterization of Banana Fiber Reinforced Composites for Its Application in Injection Molding. Materials 2020, 13, 3581. [Google Scholar] [CrossRef]
- Yusoff, R.B.; Takagi, H.; Nalagaito, A.N. Tensile and flexural properties of polylactic acid-based green composites reinforced by kenaf, bamboo and coir fibers. Ind. Crops Prod. 2016, 94, 562–573. [Google Scholar] [CrossRef]
- Alcock, M.; Ahmed, S.; DuCharme, S.; Ulven, C.A. Influence of Stem Diameter on Fiber Diameter and the Mechanical Properties of Technical Flax Fibers from Linseed Flax. Fibers 2018, 6, 10. [Google Scholar] [CrossRef]
- Djafari Petroudy, S.R. Physical and mechanical properties of natural fibers. In Advanced High Strength Natural Fibre Composites in Construction; Fan, M., Fu, F., Eds.; Woodhead Publishing: London, UK, 2017; ISBN 978-0-08-100411-1. [Google Scholar]
- Zhu, S.; Xie, J.; Sun, Q.; Zhang, Z.; Wan, J.; Zhou, Z.; Lu, J.; Chen, J.; Xu, J.; Chen, K.; et al. Recent advances on bast fiber composites Engineering innovations, applications and perspectives. Compos. Part B Eng. 2024, 284, 111738. [Google Scholar] [CrossRef]
- Bazli, L.; Bazli, M. A review on the mechanical properties of synthetic and natural fiber-reinforced polymer composites and thewir application in the transportation industry. J. Compos. Compd. 2021, 3, 262–274. [Google Scholar] [CrossRef]
- dos Santos Carneiro da Cunha, J.; de Oliveira Neto, H.E.; Mansanares Giacon, V.; Manzato, L.; Gomes da Silva, C. Study on Mechanical and Thermal Properties of Amazon Fibers on the Polymeric Biocomposites: Malva and Tucum. Fibers Polym. 2021, 22, 3203–3211. [Google Scholar] [CrossRef]
- Hafizah, N.A.K.; Hussin, M.W.; Yatim, J.M.; Bhutta, A. Tensile Behaviour of Kenaf Fiber Reinforced Polymer Composites. J. Teknol. 2014, 69, 11–15. [Google Scholar] [CrossRef]
- Ramesh, M.; Kumar, R.L.; Srinivasan, N.; Damodaran, K.; Balaji, D. Influence of filler material on properties of fiber-reinforced polymer composites: A review. e-Polymers 2022, 22, 898–916. [Google Scholar] [CrossRef]
- Darie-Nita, R.N.; Irimia, A.; Doroftei, F.; Stefan, L.M.; Iwanczuk, A.; Trusz, A. Bioactive and Physico-Chemical Assessment of Innovative Poly(lactic acid)-Based Biocomposites Containing Sage, Coconut Oil, and Modified Nanoclay. Int. J. Mol. Sci. 2023, 24, 3646. [Google Scholar] [CrossRef]
- Orue, A.; Eceiza, A.; Arbelaiz, A. Preparation and characterization of poly(lactic acid) plasticized with vegetable oils and reinforced with sisal fibers. Ind. Crops Prod. 2018, 112, 170–180. [Google Scholar] [CrossRef]
- Awad, S.; Hamouda, T.; Nidani, M.; Katsou, E.; Fan, M. Polylactic Acid (PLA) Reinforced with Date Palm Sheath Fiber Bio-Composites: Evaluation of Fiber Density, Geometry and Content on the Physical and Mechanical Properties. J. Nat. Fibers 2023, 20, 2143979. [Google Scholar] [CrossRef]
- Khan, M.Z.R.; Srivastava, S.K.; Gupta, M.K. Tensile and flexural properties of natural fiber reinforced polymer composites: A review. J. Reinf. Plast. Compos. 2018, 37, 1435–1455. [Google Scholar] [CrossRef]
- Pilipović, A.; Ilinčić, P.; Bakić, A.; Kodvanj, J. Influence of Atmospheric Conditions on Mechanical Properties of Polyamide with Different Content of Recycled Material in Selective Laser Sintering. Polymers 2022, 14, 2355. [Google Scholar] [CrossRef] [PubMed]
- Ochi, S. Flexural Properties of Long Bamboo Fiber/PLA Composites. Open J. Compos. Mater. 2015, 5, 70–78. [Google Scholar] [CrossRef]
- Mazur, K.E.; Borucka, A.; Kaczor, P.; Gadek, S.; Bogucki, R.; Mirzewinski, D.; Kuciel, S. Mechanical, Thermal and Microstructural Characteristic of 3D Printed Polylactide Composites with Natural Fibers: Wood, Bamboo and Cork. J. Polym. Environ. 2022, 30, 2341–2354. [Google Scholar] [CrossRef]
- Sreenivasan, V.S.; Ravindran, D.; Manikandan, V.; Narayanasamy, R. Mechanical properties of randomly oriented short Sansevieria cylindrical fibre/polyester composites. Mater. Des. 2011, 32, 2444–2455. [Google Scholar] [CrossRef]
- Mehdikhani, M.; Gorbatikh, L.; Verpoest, I.; Lomov, S.V. Voids in fiber-reinforced polymer composites: A review on their formation, characteristics and effects on mechanical performance. J. Compos. Mater. 2019, 53, 1579–1669. [Google Scholar] [CrossRef]
- Kovačević, Z.; Bischof Vukušić, S.; Zimniewska, M. Comparison of Spanish broom (Spartium junceum L.) and flax (Linum usitatissimum) fibre. Text. Res. J. 2012, 82, 1786–1798. [Google Scholar] [CrossRef]
- Thipperudrapa, S.; Kini, U.A.; Hiremath, A. Influence of zinc oxide nanoparticles on the mechanical and thermal responses of glass fiber-reinforced epoxy nanocomposites. Polym. Compos. 2020, 41, 174–181. [Google Scholar] [CrossRef]
- Wielage, B.; Lampke, T.; Marx, G.; Nestler, K.; Starke, D. Thermogravimetric and differential scanning calorimetric analysis of natural fibres and polypropylene. Thermochim. Acta 1999, 337, 169–177. [Google Scholar] [CrossRef]
- de Oliveira, P.F.; de Fatima Vieira Marques, M. Chemical treatment of natural Malva fibers and preparation of green composites with Poly(3-hydroxybutyrate). Chem. Chem. Technol. 2015, 9, 211–222. [Google Scholar] [CrossRef]
- Hassanpour, B.; Karbhari, V.M. Glass transition temperature as a characteristic of the durability of fiber-reinforced polymer composites. In Aging and Durability of FRP Composites and Nanocomposites; Chapter 15; Uthaman, A., Thomas, S., Lal, H.M., Eds.; Woodhead Publishing: London, UK, 2024; pp. 341–362. ISBN 978-0-443-15545-1. [Google Scholar]
- Kordić, D. Utjecaj Udjela Vlakana Brnistre na Svojstva PC kompozita. Master’s Thesis, University of Zagreb Faculty of Chemical Engineering, Zagreb, Croatia, 2023. [Google Scholar]
- Krishnamachari, P.; Zhang, J.; Lou, J.; Yan, J.; Uitenham, L. Biodegradable Poly(Lactic Acid)/clay Nanocomposites by Melt Intercalation: A Study of Morphological, Thermal, and Mechanical Properties. Int. J. Polym. Anal. Charact. 2009, 14, 336–350. [Google Scholar] [CrossRef]
- Kesler, D.; Ariyawansa, B.P.; Rathnayake, H. Mechanical Properties and Synergistic Interfacial Interactions of ZnO Nanorod-Reinforced Polyamide-Indie Composites. Polymers 2023, 15, 1522. [Google Scholar] [CrossRef] [PubMed]
- Wasti, S.; Triggs, E.; Farag, R.; Auad, M.; Adhikari, S.; Bajwa, D.; Li, M.; Ragauskas, A.J. Influence of plasticizers onthermal and mechanical properties of biocomposite filaments made from lignin and polylactic acid for 3D printing. Compos. Part B Eng. 2021, 205, 108483. [Google Scholar] [CrossRef]
- Xing, C.; Matuana, L.M. Epoxidized soybean oil-plasticized poly(lactic acid) films performance as impacted by storage. J. Appl. Polym. Sci. 2015, 133, 43201. [Google Scholar] [CrossRef]
- Daver, F.; Lee, K.P.M.; Brandt, M.; Shanks, R. Cork-PLA composite filaments for fused deposition modelling. Compos. Sci. Technol. 2018, 168, 230–237. [Google Scholar] [CrossRef]
- Du, Y.; Wu, T.; Yan, N.; Kortschot, M.T.; Farnood, R. Fabrication and characterization of fully biodegradable natural fiber-reinforced poly(lactic acid) composites. Compos. Part B Eng. 2014, 56, 717–723. [Google Scholar] [CrossRef]
- Magalhaes da Silva, S.P.; Silva, M.A.; Oliveira, J.M. Non-isothermal cold crystallization kinetics of cork-polymer biocomposites based on polylactic acid for fused filament fabrication. J. Therm. Anal. Calorim. 2021, 146, 1667–1678. [Google Scholar] [CrossRef]
- Kovačević, Z.; Jurišić, V.; Grubor, M.; Matin, A.; Krička, T.; Bischof, S. Spanish broom (Spartium junceum L.)—Feedstock for bioplastic and bioenergy industry. Holist. Approach Environ. 2019, 9, 44–52. [Google Scholar] [CrossRef]
- Grubor, M.; Bilandžija, N.; Krička, T. Peletiranje i Briketiranje Energetskih Kultura, 56. Hrvatski i 16. Međunarodni Simpozij agronoma, 5.-10.9.2021., Vodice, Hrvatska; Rozman, V., Antunović, Z., Eds.; Fakultet Agrobiotehničkih Znanosti Sveučilišta Josipa Jurja Strossmayera u: Osijeku, Croatia, 2021; pp. 762–767. ISSN 2459-5543. [Google Scholar]
- Jurišić, V. Proizvodnja bioplina. In Održivi Razvoj Biokompozita i Biogoriva iz Obnovljivih Izvora Energije; Bischof, S., Ed.; Sveučilište u Zagrebu Tekstilno-Tehnološki Fakultet: Zagreb, Croatia, 2023; pp. 153–165. ISBN 978-953-8418-09-9. [Google Scholar]
- Cassano, A.; Destani, F.; Conidi, C. Remediation of spent alakaline solutions in the production of cellulose fibers from Spanish broom by membrane operations. J. Water Process. Eng. 2016, 10, 48–55. [Google Scholar] [CrossRef]













| Specimen | Description/Constituents |
|---|---|
| Specimen 1 | PLA |
| Specimen 5 | PLA + SJL |
| Specimen 6 | PLA + SJL + LO |
| Specimen 7 | PLA + SJL + LO +MMT + ZnO |
| Specimen 8 | PLA + SJL + LO +MMT + ZnO + MC |
| Specimen 9 | PLA + SH |
| Specimen 10 | PLA + SH + LO |
| Specimen 11 | PLA + SH + LO + MMT + ZnO |
| Specimen 12 | PLA + SH + LO + MMT + ZnO + MC |
| Specimen 14 | PLA + SJL + LO +MMT + MC |
| Specimen 15 | PLA + SH + LO + MMT + MC |
| Fiber | Fineness (dtex) | Strain (%) | Tenacity (cN/tex) | Strength (MPa) | Young Modulus (cN/tex) | Young Modulus (GPa) |
|---|---|---|---|---|---|---|
| SJL | 42.73 b ± 2.16 | 6.20 a ± 0.20 | 57.48 b ± 2.52 | 913.98 b ± 40.12 | 1083.93 b ± 50.33 | 17.24 b ± 0.80 |
| SH | 53.71 a ± 1.06 | 5.56 b ± 0.06 | 79.85 a ± 2.23 | 1240.38 a ± 34.57 | 1344.60 a ± 41.42 | 20.89 a ± 0.64 |
| Mechanical Properties | Mechanism |
|---|---|
| Improved load transfer/efficient stress distribution | Interfacial bonding between fillers and matrix |
| Increased stiffness and strength | Additional reinforcement (fillers) restrict the mobility of polymer chains |
| Enhanced toughness and Impact resistance | Presence of fillers creates a more tortuous path for cracks, which requires more energy for the cracks to propagate and absorbs or dissipates energy more effectively in order to improve impact resistance |
| Specimen | Tensile Strength (MPa) | Strain at Break (%) | Young Modulus (GPa) |
|---|---|---|---|
| Specimen 1 | 44.35 ad ± 5.24 | 6.45 ab ± 3.16 | 0.89 bh ± 0.24 |
| SJL | |||
| Specimen 5 | 45.37 a ± 4.40 | 6.72 a ± 2.23 | 0.88 c ± 0.13 |
| Specimen 6 | 46.51 a ± 5.41 | 5.29 a ± 2.70 | 1.02 a ± 0.14 |
| Specimen 7 | 19.80 c ± 9.34 | 4.16 a ± 1.32 | 0.67 e ± 0.23 |
| Specimen 8 | 22.64 c ± 7.93 | 4.61 a ± 0.32 | 0.03 f ± 0.005 |
| Specimen 14 | 35.56 b ± 4.81 | 4.11 a ± 0.76 | 0.81 d ± 0.40 |
| SH | |||
| Specimen 9 | 50.72 e ± 15.18 | 6.40 b ± 2.22 | 0.86 i ± 0.54 |
| Specimen 10 | 54.37 e ± 1.10 | 4.07 b ± 0.65 | 1.20 g ± 0.02 |
| Specimen 11 | 24.30 g ± 4.61 | 4.71 b ± 0.34 | 0.04 j ± 0.007 |
| Specimen 12 | 27.64 g ± 7.11 | 4.85 b ± 0.57 | 0.04 j ± 0.02 |
| Specimen 15 | 33.27 f ± 4.11 | 5.82 b ± 0.23 | 0.03 k ± 0.02 |
| Specimen | Flexural Strength (MPa) | Flexural Deformation (%) | Flexural Modulus (MPa) |
|---|---|---|---|
| Specimen 1 | 62.83 bc ± 11.98 | 2.87 ab ± 0.27 | 2346.07 ek ± 296.18 |
| SJL | |||
| Specimen 5 | 64.34 bd ± 8.48 | 2.76 a ± 1.49 | 3554.09 b ± 608.31 |
| Specimen 6 | 76.21 a ± 18.50 | 3.12 a ± 0.97 | 3471.38 c ± 434.74 |
| Specimen 7 | 62.79 cd ± 13.21 | 2.07 a ± 0.22 | 3621.58 a ± 344.60 |
| Specimen 8 | 55.71 e ± 18.09 | 2.54 a ± 0.37 | 3468.78 c ± 691.66 |
| Specimen 14 | 68.87 b ± 8.40 | 2.74 a ± 0.49 | 3391.57 d ± 496.49 |
| SH | |||
| Specimen 9 | 101.67 f ± 19.18 | 2.68 b ± 0.31 | 4104.94 j ± 485.61 |
| Specimen 10 | 86.46 g ± 9.37 | 2.51 b ± 0.52 | 4524.71 h ± 718.93 |
| Specimen 11 | 68.75 i ± 13.94 | 1.88 b ± 0.01 | 4994.36 g ± 953.89 |
| Specimen 12 | 79.06 h ± 1.65 | 2.02 b ± 0.37 | 5026.73 f ± 540.21 |
| Specimen 15 | 74.38 h ± 16.82 | 2.11 b ± 0.69 | 4462.08 i ± 671.74 |
| Phase Transition | Parameters | Specimen 1 | Specimen 5 | Specimen 6 | Specimen 7 | Specimen 8 | Specimen 14 | SJL |
|---|---|---|---|---|---|---|---|---|
| Glass transition | Tg, on (°C) | 57.86 | 57.55 | 55.83 | 53.96 | 53.19 | 56.17 | 51.36 |
| Tg, mp (°C) | 59.74 | 59.33 | 58.14 | 57.54 | 56.23 | 58.4 | 57.65 | |
| Cold crystallization | ΔHcc (Jg−1) | 32.61 | 40.84 | 31.55 | 28.09 | 24.83 | 30.36 | / |
| Tcc, on (°C) | 107.75 | 105.49 | 102.06 | 97.24 | 93.38 | 98.77 | / | |
| Tcc, p (°C) | 131.12 | 114.13 | 111.97 | 111.74 | 106.44 | 111.05 | / | |
| Tcc, f (°C) | 151.71 | 144.59 | 123.06 | 148.19 | 121.02 | 132.31 | / | |
| Melting | ΔHm (Jg−1) | 34.66 | 41.76 | 35.39 | 31.66 | 31.03 | 31.27 | / |
| Tm, on (°C) | 159.72 | 158.83 | 157.8 | 148.2 | 155.24 | 158.34 | / | |
| Tm, p (°C) | 166.35 | 168.65 | 168 | 166.61 | 164.93 | 168.31 | / | |
| Tm, f (°C) | 173.01 | 173.07 | 171.13 | 177.86 | 170.13 | 172.51 | / | |
| Xc (%) | 2.20% | 1.24% | 5.90% | 5.65% | 9.95% | 1.44% | / |
| Phase Transition | Parameters | Specimen 1 | Specimen 9 | Specimen 10 | Specimen 11 | Specimen 12 | Specimen 15 | SH |
|---|---|---|---|---|---|---|---|---|
| Glass transition | Tg, on (°C) | 57.86 | 57.92 | 55.96 | 53.81 | 54.66 | 55.07 | 62.75 |
| Tg, mp (°C) | 59.74 | 60.47 | 58.34 | 56.38 | 57.03 | 57.51 | 67.86 | |
| Cold crystallization | ΔHcc (Jg−1) | 32.61 | 28.04 | 28.56 | 32.64 | 26.33 | 30.1 | / |
| Tcc, on (°C) | 107.75 | 104.86 | 119.07 | 100.77 | 98.98 | 96.24 | / | |
| Tcc, p (°C) | 131.12 | 122.75 | 123.23 | 124.08 | 120.74 | 103.54 | / | |
| Tcc, f (°C) | 151.71 | 140.2 | 143.23 | 146.19 | 143.27 | 111.74 | / | |
| Melting | ΔHm (Jg−1) | 34.66 | 31.84 | 29.66 | 33.3 | 35.79 | 32.45 | / |
| Tm, on (°C) | 159.72 | 159.15 | 152.43 | 155.59 | 156.66 | 160.49 | / | |
| Tm, p (°C) | 166.35 | 169.24 | 168.39 | 164.55 | 164.37 | 167.66 | / | |
| Tm, f (°C) | 173.01 | 175.42 | 171.59 | 170.73 | 170.6 | 171.8 | / | |
| Xc (%) | 2.20% | 5.11% | 1.69% | 1.04% | 15.18% | 3.72% | / |
Disclaimer/Publisher’s Note: The statements, opinions and data contained in all publications are solely those of the individual author(s) and contributor(s) and not of MDPI and/or the editor(s). MDPI and/or the editor(s) disclaim responsibility for any injury to people or property resulting from any ideas, methods, instructions or products referred to in the content. |
© 2025 by the authors. Licensee MDPI, Basel, Switzerland. This article is an open access article distributed under the terms and conditions of the Creative Commons Attribution (CC BY) license (https://creativecommons.org/licenses/by/4.0/).
Share and Cite
Kovačević, Z.; Pilipović, A.; Meheš, M.; Bischof, S. Zero Waste Concept in Production of PLA Biocomposites Reinforced with Fibers Derived from Wild Plant (Spartium junceum L.) and Energy Crop (Sida hermaphrodita (L.) Rusby). Polymers 2025, 17, 235. https://doi.org/10.3390/polym17020235
Kovačević Z, Pilipović A, Meheš M, Bischof S. Zero Waste Concept in Production of PLA Biocomposites Reinforced with Fibers Derived from Wild Plant (Spartium junceum L.) and Energy Crop (Sida hermaphrodita (L.) Rusby). Polymers. 2025; 17(2):235. https://doi.org/10.3390/polym17020235
Chicago/Turabian StyleKovačević, Zorana, Ana Pilipović, Mario Meheš, and Sandra Bischof. 2025. "Zero Waste Concept in Production of PLA Biocomposites Reinforced with Fibers Derived from Wild Plant (Spartium junceum L.) and Energy Crop (Sida hermaphrodita (L.) Rusby)" Polymers 17, no. 2: 235. https://doi.org/10.3390/polym17020235
APA StyleKovačević, Z., Pilipović, A., Meheš, M., & Bischof, S. (2025). Zero Waste Concept in Production of PLA Biocomposites Reinforced with Fibers Derived from Wild Plant (Spartium junceum L.) and Energy Crop (Sida hermaphrodita (L.) Rusby). Polymers, 17(2), 235. https://doi.org/10.3390/polym17020235

