PVA- Bentonite-Water Coatings: Experimental and Simulation Studies
Abstract
1. Introduction
- ○
- During drying, water acts first as a plasticizer: it reduces the glass transition temperature (Tg) of PVA, increases chain mobility, and allows conformational rearrangements. As water is removed, chain mobility decreases, promoting crystallization and stronger intermolecular (or interchain) hydrogen bonding.
- ○
- This change from plasticized to more rigid matrix increases stiffness and strength but can reduce elongation at break or toughness, especially if drying is very thorough.
- ○
- Crystallization, orientation, and phase separation: As water content falls, PVA chains crystallize more; residual water can disrupt or reduce crystallinity. In fiber or filler-reinforced systems, drying can pull PVA chains toward reinforcement surfaces, affecting interfacial zones.
- ○
- Formation of voids, micro-voids or porosity: Shrinkage accompanying water removal can lead to microcracking or voids if the drying is not uniform or if internal gradients of water concentration exist. These voids act as stress concentrators.
- ○
- Residual stresses: Differential shrinkage (e.g., from surface to core, or near fibers/fillers versus bulk) can lock in internal stresses, which may lead to warping, cracking, or failure under load or over time.
- ○
- As water is removed, hydrogen bonding or other interactions between the PVA matrix and reinforcements (e.g., fibers and nanoparticles like graphene oxide) strengthen. In some studies, dehydration improved adhesive bonding and load transfer.
- ○
- However, if water is trapped (e.g., in pores) or drying is too rapid (causing skin layers), the interface may be weakened or have weak boundary layers.
- ○
- Strength and modulus tend to increase with more thorough drying (lower residual water), thanks to better packing, higher crystallinity, stronger interchain and matrix–reinforcement bonds.
- ○
- Ductility/toughness often decreases; fracture strain or elongation decreases with drying, especially beyond a certain low residual water threshold.
- ○
- There may be optimal water content/residual moisture that balances toughness and strength.
- ○
- With less residual water, thermal stability improves (less risk of hydrolytic or moisture-induced degradation).
- ○
- Dimensional stability under changes in humidity is better when drying is well controlled.
- ○
- Long term durability may be enhanced, but over-drying or very fast drying can introduce micro defects that reduce fatigue or impact resistance.
2. Materials and Methods
- Type 1—PVA: 5.05 wt% and water: 94.95 wt%
- Type 2—PVA: 9.97 wt% and water: 90.03 wt%
- Type 3—PVA: 14.95 wt% and water: 85.05 wt%
- Type 4—PVA: 5.08 wt%, Bentonite: 5.03 wt%, and water: 89.89 wt%
Coating Calculations
3. Results and Discussion
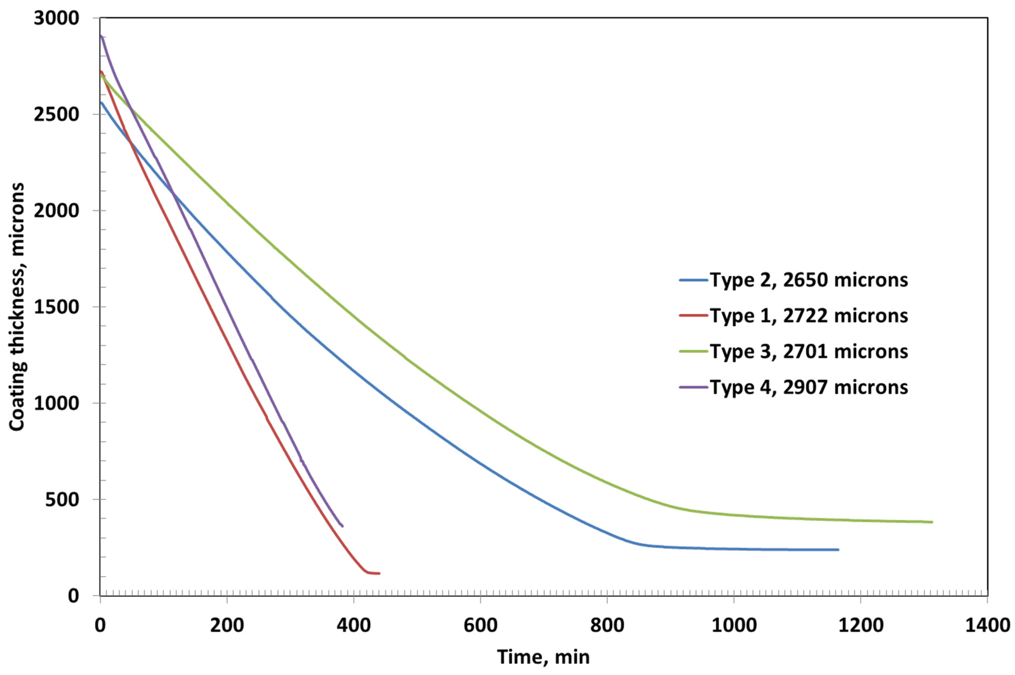
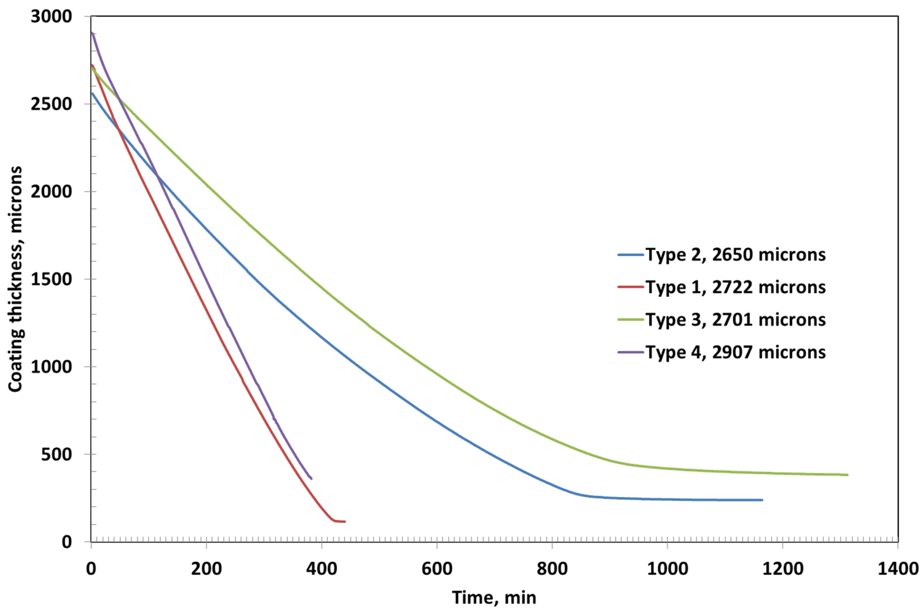
3.1. Drying of PVA—Water/Bentonite Clay of Around 2500 Microns
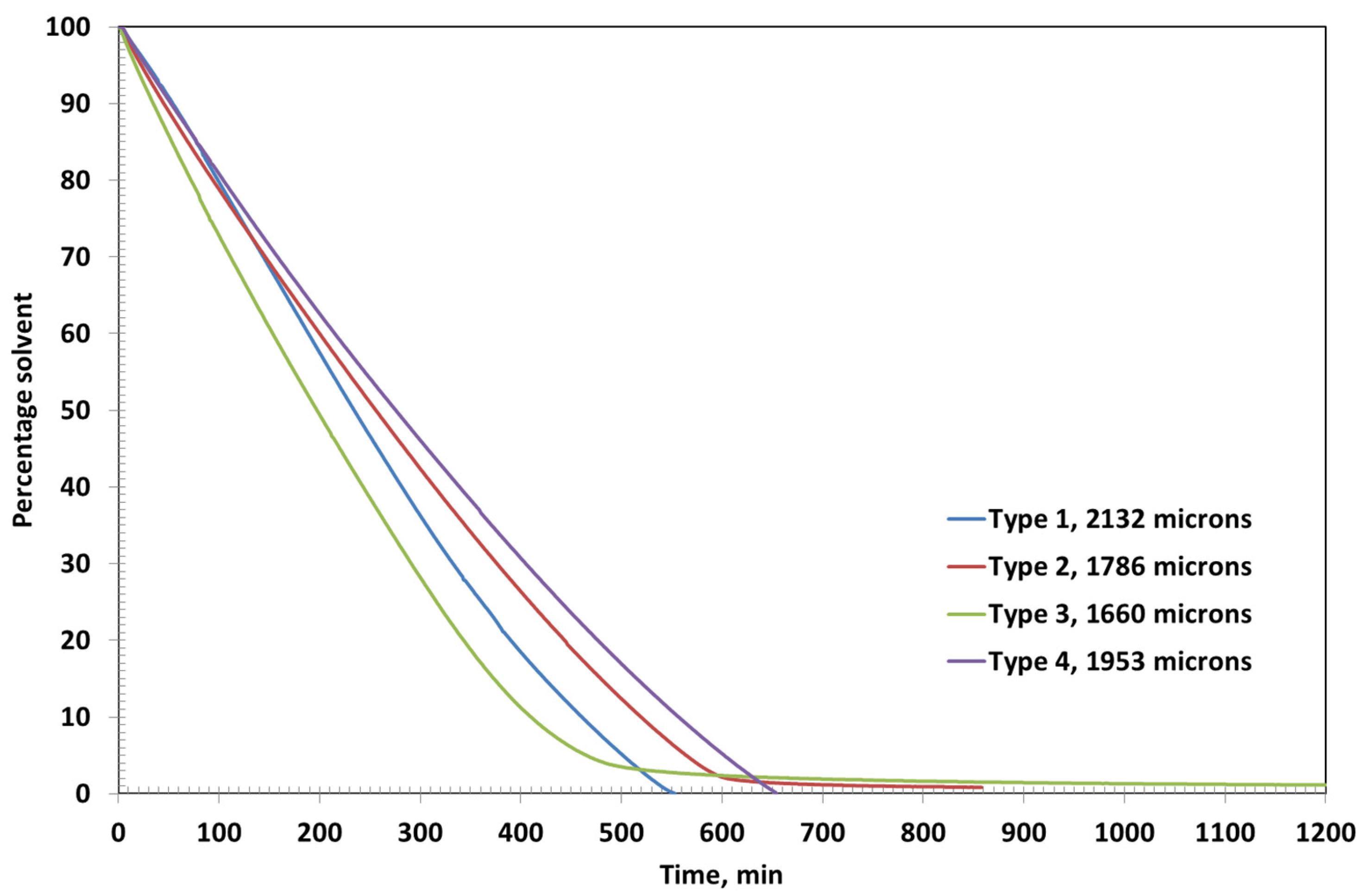
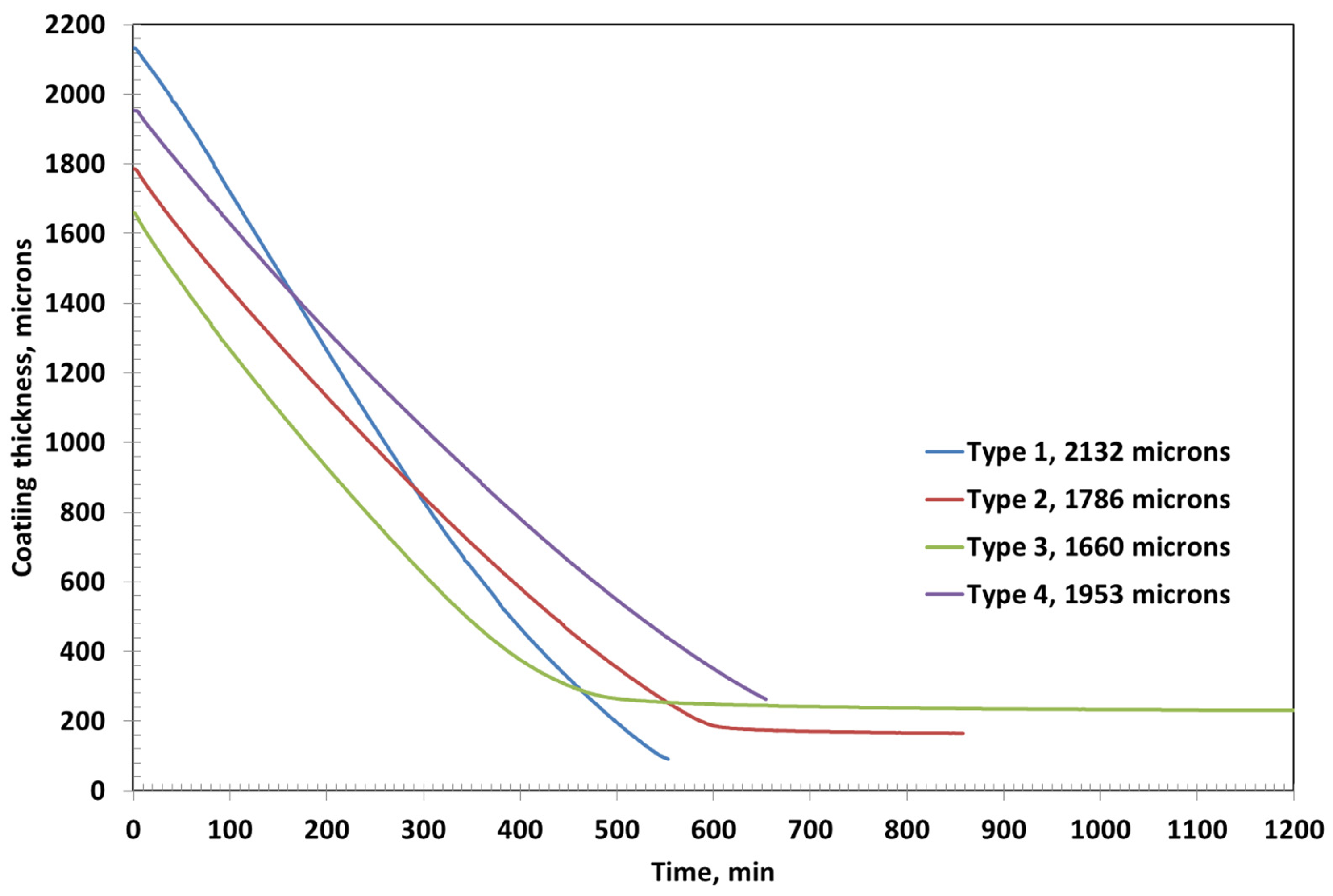
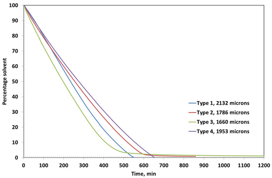
3.2. Drying of PVA—Water/Bentoite Coatings of 2000 Microns Thickness
3.3. Simulation Studies
4. Conclusions
Author Contributions
Funding
Data Availability Statement
Acknowledgments
Conflicts of Interest
Nomenclature
| A | Adjustable parameter, s−1 | 
| KG | Mass transfer coefficient, kg.m−2s−1 | 
| L | Position of the gas–liquid interface, m | 
| L0 | Initial solution thickness, m | 
| Mp | Mass of polymer | 
| Ms | Initial mass of solvent | 
| P | Total pressure at the air phase, atm | 
| Pure solvent vapor pressure, atm | |
| R | Universal gas constant, J.mol−1.K−1 | 
| t | Time, s | 
| u1 | Solvent volume fraction, dimensionless | 
| u10 | Initial volume fraction of the solvent, dimensionless | 
| u2 | PVA + bentonite volume fraction | 
| v1 | Partial specific volume of the solvent, m3.kg−1 | 
| xs | Solvent mole fraction at the air phase (gas-film interface) | 
| x∞ | Solvent mole fraction at the air phase (bulk) | 
| z | Axial coordinate, m | 
References
- Kausar, A. Polymer coating technology for high performance applications: Fundamentals and advances. J. Macromol. Sci. Part A 2018, 55, 440–448. [Google Scholar] [CrossRef]
- Umoren, S.A.; Solomon, M.M. Protective polymeric films for industrial substrates: A critical review on past and recent applications with conducting polymers and polymer composites/nanocomposites. Prog. Mater. Sci. 2019, 104, 380–450. [Google Scholar] [CrossRef]
- Wu, L.; Baghdachi, J. Functional Polymer Coatings: Principles, Methods, and Applications; John Wiley & Sons: Hoboken, NJ, USA, 2015. [Google Scholar]
- Müller, B.; Schackmann, M. Coatings Formulation; Lack in Vincentz GmbH & Company KG: Hanover, Germany, 2023. [Google Scholar]
- Rangappa, S.M.; Parameswaranpillai, J.; Siengchin, S. Polymer Coatings: Technologies and Applications; CRC Press: Boca Raton, FL, USA, 2020. [Google Scholar]
- Jones, F.N.; Nichols, M.E.; Pappas, S.P. Organic Coatings: Science and Technology; John Wiley & Sons: Hoboken, NJ, USA, 2017. [Google Scholar]
- Bieleman, J. Additives for Coatings; John Wiley & Sons: Hoboken, NJ, USA, 2008. [Google Scholar]
- Buyondo, A.K.; Kasedde, H.; Kirabira, J.B.; Yusuf, A.A. Integration of fillers in paint formulation: Comprehensive insights into methods, properties, and performance. Results Eng. 2025, 26, 105543. [Google Scholar] [CrossRef]
- Maile, F.J.; Pfaff, G.; Reynders, P. Effect pigments—Past, present and future. Prog. Org. Coat. 2005, 54, 150–163. [Google Scholar] [CrossRef]
- Alexandre, M.; Dubois, P. Polymer-layered silicate nanocomposites: Preparation, properties and uses of a new class of materials. Mater. Sci. Eng. R Rep. 2000, 28, 1–63. [Google Scholar] [CrossRef]
- Giannelis, E.P. Polymer layered silicate nanocomposites. Adv. Mater. 1996, 8, 29–35. [Google Scholar] [CrossRef]
- Freitag, W.; Stoye, D. Paints, Coatings and Solvents; John Wiley & Sons: Hoboken, NJ, USA, 2008. [Google Scholar]
- Diebold, M.; De Backer, S.; Niedenzu, P.M.; Hester, B.R.; Vanhecke, F. Pigments, Extenders, and Particles in Surface Coatings and Plastics; Springer International Publishing: Cham, Switzerland, 2022; Volume 10, pp. 973–978. [Google Scholar]
- Gaaz, T.S.; Sulong, A.B.; Akhtar, M.N.; Kadhum, A.A.H.; Mohamad, A.B.; Al-Amiery, A.A. Properties and applications of polyvinyl alcohol, halloysite nanotubes and their nanocomposites. Molecules 2015, 20, 22833–22847. [Google Scholar] [CrossRef]
- Liu, B.; Zhang, J.; Guo, H. Research progress of polyvinyl alcohol water-resistant film materials. Membranes 2022, 12, 347. [Google Scholar] [CrossRef]
- Nagarkar, R.; Patel, J. Polyvinyl alcohol: A comprehensive study. Acta Sci. Pharm. Sci 2019, 3, 34–44. [Google Scholar]
- Khan, F.; Ajlouni, A.F.A. 4 characterization of eco-friendly bentonite materials and their applications. In Nanomaterials for Water Remediation; De Gruyter: Berlin, Germany; Boston, MA, USA, 2020; pp. 93–121. [Google Scholar]
- Alther, G. The qualifications of bentonite as a soil sealant. Eng. Geol. 1987, 23, 177–191. [Google Scholar] [CrossRef]
- Yu, C.; Liao, R.; Cai, X.; Yu, X. Sodium polyacrylate modification method to improve the permeant performance of bentonite in chemical resistance. J. Clean. Prod. 2019, 213, 242–250. [Google Scholar] [CrossRef]
- Rana, M.S.; Kim, S. Bentonite in korea: A resource and research focus for biomedical and cosmetic industries. Materials 2024, 17, 1982. [Google Scholar] [CrossRef] [PubMed]
- Kabdrakhmanova, S.K.; Kerimkulova, A.Z.; Nauryzova, S.Z.; Aryp, K.; Shaimardan, E.; Kukhareva, A.D.; Kantay, N.; Beisebekov, M.M.; Thomas, S. Bentonite-based composites in medicine: Synthesis, characterization, and applications. J. Compos. Sci. 2025, 9, 310. [Google Scholar] [CrossRef]
- Bangar, S.P.; Ilyas, R.; Chowdhury, A.; Navaf, M.; Sunooj, K.V.; Siroha, A.K. Bentonite clay as a nanofiller for food packaging applications. Trends Food Sci. Technol. 2023, 142, 104242. [Google Scholar] [CrossRef]
- Torre-Celeizabal, A.; Garea, A.; Casado-Coterillo, C. Chitosan: Polyvinyl alcohol based mixed matrix sustainable coatings for reusing composite membranes in water treatment: Fouling characterization. Chem. Eng. J. Adv. 2022, 9, 100236. [Google Scholar] [CrossRef]
- Mishra, S.K.; Kannan, S. Development, mechanical evaluation and surface characteristics of chitosan/polyvinyl alcohol based polymer composite coatings on titanium metal. J. Mech. Behav. Biomed. Mater. 2014, 40, 314–324. [Google Scholar] [CrossRef]
- Jordan, M.P.; Taylor, J. Film coatings and film coating compositions based on polyvinyl alcohol. U.S. Patent 6448323, 10 September 2002. [Google Scholar]
- Tarnowiecka-Kuca, A.; Peeters, R.; Bamps, B.; Stobińska, M.; Kamola, P.; Wierzchowski, A.; Bartkowiak, A.; Mizielińska, M. Paper coatings based on polyvinyl alcohol and cellulose nanocrystals using various coating techniques and determination of their barrier properties. Coatings 2023, 13, 1975. [Google Scholar] [CrossRef]
- Shen, Z.; Rajabi-Abhari, A.; Oh, K.; Yang, G.; Youn, H.J.; Lee, H.L. Improving the barrier properties of packaging paper by polyvinyl alcohol based polymer coating—Effect of the base paper and nanoclay. Polymers 2021, 13, 1334. [Google Scholar] [CrossRef]
- Oh, K.; Kim, S.; Shen, Z.; Jeong, M.H.; Toivakka, M.; Lee, H.L. Effect of carboxymethyl cellulose and polyvinyl alcohol on the cracking of particulate coating layers. Prog. Org. Coat. 2022, 170, 106951. [Google Scholar] [CrossRef]
- Zhang, J.; Huang, Y.; Wu, H.; Geng, S.; Wang, F. Corrosion protection properties of an environmentally friendly polyvinyl alcohol coating reinforced by a heating treatment and lignin nanocellulose. Prog. Org. Coat. 2021, 155, 106224. [Google Scholar] [CrossRef]
- Dhaheer, M.A.; Ammash, H.; Albdiry, M. Improving the properties of clay brick using polyvinyl alcohol (pva). Int. J. Eng. Technol. 2018, 7, 568–571. [Google Scholar] [CrossRef]
- Sharma, D.; Sharma, J.; Arya, R.K.; Ahuja, S.; Agnihotri, S. Surfactant enhanced drying of waterbased poly (vinyl alcohol) coatings. Prog. Org. Coat. 2018, 125, 443–452. [Google Scholar] [CrossRef]
- Maged, A.; Kharbish, S.; Ismael, I.S.; Bhatnagar, A. Characterization of activated bentonite clay mineral and the mechanisms underlying its sorption for ciprofloxacin from aqueous solution. Environ. Sci. Pollut. Res. 2020, 27, 32980–32997. [Google Scholar] [CrossRef] [PubMed]
- Liang, H.; Long, Z.; Yang, S.; Dai, L. Organic modification of bentonite and its effect on rheological properties of paper coating. Appl. Clay Sci. 2015, 104, 106–109. [Google Scholar] [CrossRef]
- Azha, S.F.; Shahadat, M.; Ismail, S. Acrylic polymer emulsion supported bentonite clay coating for the analysis of industrial dye. Dye. Pigment. 2017, 145, 550–560. [Google Scholar] [CrossRef]
- Akhtar, M.S. Bentonite and polymeric support fluids used for stabilization in excavations. Turk. J. Eng. 2023, 7, 338–348. [Google Scholar] [CrossRef]
- Hager, I.Z.; Rammah, Y.S.; Othman, H.A.; Ibrahim, E.M.; Hassan, S.F.; Sallam, F.H. Nano-structured natural bentonite clay coated by polyvinyl alcohol polymer for gamma rays attenuation. J. Theor. Appl. Phys. 2019, 13, 141–153. [Google Scholar] [CrossRef]
- Grigale-Sorocina, Z.; Birks, I. Hectorite and bentonite effect on water-based polymer coating rheology. Comptes Rendus. Chim. 2019, 22, 169–174. [Google Scholar] [CrossRef]
- Hebbar, R.S.; Isloor, A.M.; Prabhu, B.; Inamuddin; Asiri, A.M.; Ismail, A. Removal of metal ions and humic acids through polyetherimide membrane with grafted bentonite clay. Sci. Rep. 2018, 8, 4665. [Google Scholar] [CrossRef]
- Shaarawy, H.; Hussein, H.; Kader, E.A.; Hussien, N.H.; Hawash, S. Adsorption performance of coated bentonite via graphene oxide. Bull. Natl. Res. Cent. 2020, 44, 53. [Google Scholar] [CrossRef]
- Kaur, J.; Ahmad, F.; Ullah, S.; Yusoff, P.M.; Ahmad, R. The role of bentonite clay on improvement in char adhesion of intumescent fire-retardant coating with steel substrate. Arab. J. Sci. Eng. 2017, 42, 2043–2053. [Google Scholar] [CrossRef]
- Geankoplis, C. Transport Processes and Separation Process Principles (Includes Unit Operations); Prentice Hall Press: Hoboken, NJ, USA, 2003. [Google Scholar]
- Arya, R.K.; Vinjamur, M. Near-optimization of operating conditions and residence times in multizone dryers for polymer coatings. Ind. Eng. Chem. Res. 2009, 48, 10504–10514. [Google Scholar] [CrossRef]
- Zhang, B.; Fan, B.; Huang, Z.; Higa, K.; Battaglia, V.S.; Prasher, R.S. A review of dispersion film drying research. J. Electrochem. Energy Convers. Storage 2023, 20, 030801. [Google Scholar] [CrossRef]
- Forţu, I.O.; Negoescu, C.; Mămăligă, I. Effects of drying conditions on polyvinyl alcohol–water and cellulose acetate–tetrahydrofuran films. Cellul. Chem. Technol. 2019, 53, 527–535. [Google Scholar] [CrossRef]
- Chousidis, N. Polyvinyl alcohol (pva)-based films: Insights from crosslinking and plasticizer incorporation. Eng. Res. Express 2024, 6, 025010. [Google Scholar] [CrossRef]
- Wypych, F.; Bergaya, F.; Schoonheydt, R.A. From polymers to clay polymer nanocomposites. In Developments in Clay Science; Elsevier: Amsterdam, The Netherlands, 2018; Volume 9, pp. 331–359. [Google Scholar]
- David Jr, P.P. Review on the preparation, structure and property relation of clay-based polymer nanocomposites. Kimika 2017, 28, 44–56. [Google Scholar]
- Sapalidis, A.A.; Katsaros, F.K.; Kanellopoulos, N.K. Pva/montmorillonite nanocomposites: Development and properties. In Nanocomposites and Polymers with Analytical Methods; BoD–Books on Demand: Norderstedt, Germany, 2011; pp. 29–50. [Google Scholar]
- Sapalidis, A.A. Porous polyvinyl alcohol membranes: Preparation methods and applications. Symmetry 2020, 12, 960. [Google Scholar] [CrossRef]
- Aljar, M.A.A.; Rashdan, S.; Abd El-Fattah, A. Environmentally friendly polyvinyl alcohol–alginate/bentonite semi-interpenetrating polymer network nanocomposite hydrogel beads as an efficient adsorbent for the removal of methylene blue from aqueous solution. Polymers 2021, 13, 4000. [Google Scholar] [CrossRef]
- Chandio, A.D.; Channa, I.A.; Rizwan, M.; Akram, S.; Javed, M.S.; Siyal, S.H.; Saleem, M.; Makhdoom, M.A.; Ashfaq, T.; Khan, S. Polyvinyl alcohol and nano-clay based solution processed packaging coatings. Coatings 2021, 11, 942. [Google Scholar] [CrossRef]
- Yu, Y.-H.; Lin, C.-Y.; Yeh, J.-M.; Lin, W.-H. Preparation and properties of poly (vinyl alcohol)–clay nanocomposite materials. Polymer 2003, 44, 3553–3560. [Google Scholar] [CrossRef]
- Vinjamur, M.; Cairncross, R.A. Non-fickian nonisothermal model for drying of polymer coatings. AIChE J. 2002, 48, 2444–2458. [Google Scholar] [CrossRef]
- Wong, S.-S.; Altınkaya, S.A.; Mallapragada, S.K. Drying of semicrystalline polymers: Mathematical modeling and experimental characterization of poly (vinyl alcohol) films. Polymer 2004, 45, 5151–5161. [Google Scholar] [CrossRef]
- Turan, O.Y.; Firatligil, F.E. Modelling and characteristics of thin layer convective air-drying of thyme (thymus vulgaris) leaves. Czech J. Food Sci. 2019, 37, 128–134. [Google Scholar] [CrossRef]
- Sirousazar, M.; Kokabi, M.; Hassan, Z.M.; Bahramian, A. Dehydration kinetics of polyvinyl alcohol nanocomposite hydrogels containing na-montmorillonite nanoclay. Sci. Iran. 2011, 18, 780–784. [Google Scholar] [CrossRef]
- Zhang, Y.; Tang, X.-X.; Uchida, N.; Uematsu, K. Mathematical simulation for segregation of pva during drying. J. Ceram. Soc. Jpn. 1993, 101, 180–183. [Google Scholar] [CrossRef]
- Putranto, A.; Chen, X.D.; Webley, P.A. Infrared and convective drying of thin layer of polyvinyl alcohol (pva)/glycerol/water mixture—The reaction engineering approach (rea). Chem. Eng. Process. Process Intensif. 2010, 49, 348–357. [Google Scholar] [CrossRef]
- Velaga, S.P.; Nikjoo, D.; Vuddanda, P.R. Experimental studies and modeling of the drying kinetics of multicomponent polymer films. Aaps Pharmscitech 2018, 19, 425–435. [Google Scholar] [CrossRef]
- Asoltanei, A.M.; Iacob-Tudose, E.T.; Secula, M.S.; Mamaliga, I. Mathematical models for estimating diffusion coefficients in concentrated polymer solutions from experimental data. Processes 2024, 12, 1266. [Google Scholar] [CrossRef]
- Gao, Y.; Chi, Y.; Patel, M.; Jin, L.; Liu, J.; Brun, P.-T.; Yang, S. Geometrically templated dynamic wrinkling from suspended poly (vinyl alcohol) soap films. arXiv 2025, arXiv:2503.06065. [Google Scholar] [CrossRef]
- Chen, J.; Gao, Y.; Liu, W.; Shi, X.; Li, L.; Wang, Z.; Zhang, Y.; Guo, X.; Liu, G.; Li, W. The influence of dehydration on the interfacial bonding, microstructure and mechanical properties of poly (vinyl alcohol)/graphene oxide nanocomposites. Carbon 2015, 94, 845–855. [Google Scholar] [CrossRef]
- Ding, H.; Lin, S.; Li, L. Effects of water on drawability, structure, and mechanical properties of poly (vinyl alcohol) melt-spun fibers. J. Appl. Polym. Sci. 2017, 134, 45436. [Google Scholar]
- Jain, N.; Singh, V.K.; Chauhan, S. A review on mechanical and water absorption properties of polyvinyl alcohol based composites/films. J. Mech. Behav. Mater. 2017, 26, 213–222. [Google Scholar] [CrossRef]
- Pathania, A.; Sharma, J.; Arya, R.K.; Ahuja, S. Effect of crosslinked polymer content on drying of binary polymer—Solvent coatings. Prog. Org. Coat. 2018, 114, 78–89. [Google Scholar] [CrossRef]
- Arya, R.K.; Thapliyal, D.; Sharma, J.; Verros, G.D. Glassy polymers—Diffusion, sorption, ageing and applications. Coatings 2021, 11, 1049. [Google Scholar] [CrossRef]
- Verros, G.D. Application of non-equilibrium thermodynamics and computer aided analysis to the estimation of diffusion coefficients in polymer solutions: The solvent evaporation method. J. Membr. Sci. 2009, 328, 31–57. [Google Scholar] [CrossRef]
- Chen, S.; Yang, H.; Huang, K.; Ge, X.; Yao, H.; Tang, J.; Ren, J.; Ren, S.; Ma, Y. Quantitative study on solubility parameters and related thermodynamic parameters of pva with different alcoholysis degrees. Polymers 2021, 13, 3778. [Google Scholar] [CrossRef] [PubMed]
- Kudo, S.; Otsuka, E.; Suzuki, A. Swelling behavior of chemically crosslinked pva gels in mixed solvents. J. Polym. Sci. Part B Polym. Phys. 2010, 48, 1978–1986. [Google Scholar] [CrossRef]
- Martinez, M.; Garzón, E.; Pérez, D.; Gartner, C. Flory-huggins interaction parameter for pva-water in hydrogels prepared by two methods: Freezing/thawing and crosslinking with citric acid. Rev. Colomb. Mat 2022, 1, 64. [Google Scholar]
- Yang, S.; Zhao, D.; Zhang, H.; Lu, S.; Chen, L.; Yu, X. Impact of environmental conditions on the sorption behavior of pb (ii) in na-bentonite suspensions. J. Hazard. Mater. 2010, 183, 632–640. [Google Scholar] [CrossRef]
- Azzam, M.O.; Al-Gharabli, S.I.; Al-Harahsheh, M.S. Olive mills wastewater treatment using local natural jordanian clay. Desalination Water Treat. 2015, 53, 627–636. [Google Scholar] [CrossRef]
- Al-Essa, E.M.; Al-Essa, K.; Halalsheh, N.; Lagum, A.A.; Al-Ma’abreh, A.M.; Saraireh, H.; Shatnawi, K. Removal of total phenolic compounds and heavy metal ions from olive mill wastewater using sodium-activated jordanian kaolinite. Sustainability 2025, 17, 4627. [Google Scholar] [CrossRef]
- Stewart, W.E.; Caracotsios, M.; Sørensen, J.P. Parameter estimation from multiresponse data. AIChE J. 1992, 38, 641–650. [Google Scholar] [CrossRef]
- Poós, T.; Varju, E. Mass transfer coefficient for water evaporation by theoretical and empirical correlations. Int. J. Heat Mass Transf. 2020, 153, 119500. [Google Scholar] [CrossRef]









| Spectrum 1 | Line Type | wt% | Atomic % | 
|---|---|---|---|
| C | K series | 4.22 | 6.95 | 
| O | K series | 48.84 | 60.38 | 
| Na | K series | 1.41 | 1.21 | 
| Mg | K series | 0.83 | 0.68 | 
| Al | K series | 15.89 | 11.65 | 
| Si | K series | 25.50 | 17.96 | 
| Fe | K series | 3.30 | 1.17 | 
| Total | 100.00 | 100.00 | 
| Type | L0 (μm) | Maximum Deviation % | A × 106 (s−1) | −Log10(KG) | 
|---|---|---|---|---|
| 2500 μm | ||||
| 1 | 2722 | 3.4 | 0.95 ± 0.15 | 3.75 ± 0.02 | 
| 2 | 2560 | 0.8 | 2.38 ± 0.14 | 3.69 ± 0.02 | 
| 3 | 2701 | 1.1 | 1.92 ± 0.18 | 3.605 ± 0.02 | 
| 4 | 2927 | 4.2 | 2.3 ± 0.80 | 3.28 ± 0.02 | 
| 2000 μm | ||||
| 1 | 2132 | 3.2 | 0.29 ± 0.05 | 4.01 ± 0.02 | 
| 2 | 1786 | 1.8 | 1.82 ± 0.15 | 3.77 ± 0.01 | 
| 3 | 1660 | 1.9 | 4.61 ± 0.47 | 3.52 ± 0.02 | 
| 4 | 1953 | 3.4 | 0.95 ± 0.16 | 3.75 ± 0.01 | 
| Disclaimer/Publisher’s Note: The statements, opinions and data contained in all publications are solely those of the individual author(s) and contributor(s) and not of MDPI and/or the editor(s). MDPI and/or the editor(s) disclaim responsibility for any injury to people or property resulting from any ideas, methods, instructions or products referred to in the content. | 
© 2025 by the authors. Licensee MDPI, Basel, Switzerland. This article is an open access article distributed under the terms and conditions of the Creative Commons Attribution (CC BY) license (https://creativecommons.org/licenses/by/4.0/).
Share and Cite
Verma, S.; Verros, G.D.; Arya, R.K. PVA- Bentonite-Water Coatings: Experimental and Simulation Studies. Polymers 2025, 17, 2689. https://doi.org/10.3390/polym17192689
Verma S, Verros GD, Arya RK. PVA- Bentonite-Water Coatings: Experimental and Simulation Studies. Polymers. 2025; 17(19):2689. https://doi.org/10.3390/polym17192689
Chicago/Turabian StyleVerma, Sarojini, George D. Verros, and Raj Kumar Arya. 2025. "PVA- Bentonite-Water Coatings: Experimental and Simulation Studies" Polymers 17, no. 19: 2689. https://doi.org/10.3390/polym17192689
APA StyleVerma, S., Verros, G. D., & Arya, R. K. (2025). PVA- Bentonite-Water Coatings: Experimental and Simulation Studies. Polymers, 17(19), 2689. https://doi.org/10.3390/polym17192689
 
        



 
                         
       