Molecularly Imprinted Polymer Nanoparticles for Pharmaceutical Applications: Sample Preparation, Sensor-Based Detection, and Controlled Drug Release
Abstract
1. Introduction
2. MIP NPs Synthesis Methods
2.1. Precipitation Polymerization
2.2. Emulsion Polymerization
2.3. Sol-Gel Polymerization
2.4. Surface Imprinting
2.5. Electropolymerization
2.6. Solid-Phase Imprinting
2.7. Green Strategies for MIP Synthesis
2.8. Computational MIP Design
2.9. Machine Learning Assisted MIPs
3. Applications of MIP Nanoparticles
3.1. Sample Preparation
3.2. Sensor-Based Detection
3.2.1. Optical Sensors
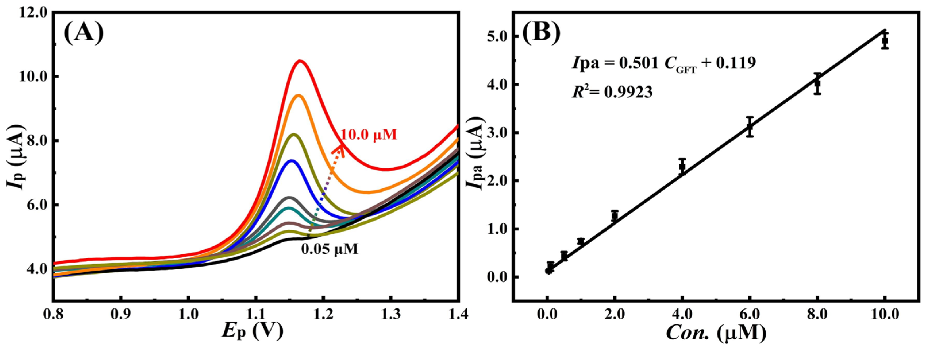
3.2.2. Electrochemical Sensors
3.3. Controlled Drug Release
3.3.1. Drug Release Systems for Cancer
3.3.2. Drug Release Systems for Diabetes
3.3.3. Drug Release Systems for Neurological Diseases
3.3.4. Drug Release Systems for Infection
4. Limitations and Challenges
5. Conclusions and Future Perspectives
Funding
Institutional Review Board Statement
Data Availability Statement
Conflicts of Interest
Abbreviations
| 2-AP | 2-aminophenol |
| AA | Acrylic acid |
| Aam | Acrylamide |
| 4-ABA | 4-aminobenzoic acid |
| ABDV | 2,2′-Azobis(2,4-dimethylvaleronitrile) |
| AI | Artificial intelligence |
| AFM | Atomic force microscopy |
| AIBN | Azobisisobutyronitrile |
| AMPS | 2-Acrylamido-2-methyl-1-propanesulfonic acid |
| APTES | 3-aminopropyltriethoxysilane |
| APS | Ammonium persulfate |
| APTMS | 3-aminopropyltrimethoxysilane |
| BET | Brunauer-Emmett-Teller |
| BuMA | Butyl methacrylate |
| CDs | Carbon Dots |
| CDDS | Controlled drug delivery system |
| CNTs | Carbon nanotubes |
| COF | Covalent organic framework |
| CPE | Carbon paste electrode |
| C-SPEd | Carbon screen-printed electrode |
| CV | Cyclic voltammetry |
| DDS | Drug delivery system |
| DESs | Deep eutectic solvents |
| DFT | Density functional theory |
| DMSPME | Dispersed magnetic solid phase microextraction |
| DPASV | Differential pulse anodic stripping voltammetry |
| DSPME | Dispersive solid-phase microextraction |
| DPV | Differential pulse voltammetry |
| DVB | Divinylbenzene |
| EDOT | 3,4-ethylenedioxythiophene |
| EDX | Energy dispersive X-ray spectroscopy |
| EGDMA | Ethylene glycol dimethacrylate |
| EIS | Electrochemical impedance spectroscopy |
| HEMA | 2-hydroxyethyl methacrylate |
| HF | Hartree-Fock |
| FDA | Food and Drug Administration |
| FT-IR | Fourier transform infrared |
| GCE | Glassy carbon electrode |
| GO | Graphene oxide |
| GQDs | Graphene quantum dots |
| HEMA | 2-hydroxyethyl methacrylate |
| HIV | Human immunodeficiency virus |
| HPLC | High-performance liquid chromatography |
| ILs | Ionic liquids |
| ISEs | Ion-selective electrodes |
| IT-SPME | In-tube solid-phase microextraction |
| LC-MS | Liquid chromatography mass spectrometry |
| L-DOPA | (S)-2-amino-3-(3,4-dihydroxyphenyl) propanoic acid |
| LOD | Limit of detection |
| MAA | Methacrylic acid |
| MAPA | Methacryloyl-L-phenylalanine |
| MATyr | N-Methacryloyl-L-tyrosine |
| MBA | N, N′-methylene bisacrylamide |
| MIP | Molecularly imprinted polymer |
| ML | Machine learning |
| MISPE | Molecularly imprinted solid phase extraction |
| N-Aasp | N-acryloyl derivative of aspartic acid |
| MM | Molecular mechanics |
| MOF | Metal-organic framework |
| MPC | Magnetic porous cellulose |
| MPDE | 4-Methylphenyl dicyclohexyl ethylene |
| MPS | 3-(methacryloxy) propyl trimethoxy silane |
| MPTMS | 3-(mercaptopropyl)trimethoxysilane |
| MSPE | Magnetic solid phase extraction |
| MSPME | Magnetic solid-phase microextraction |
| MWCNT | Multi-walled carbon nanotube |
| MTX | Methotrexate |
| NIP | Non-imprinted polymer |
| NSAIDs | Non-steroidal anti-inflammatory drugs |
| o-PD | o-phenylenediamine |
| p-APBA | p-aminophenyl boronic acid |
| PAN | Polyacrylonitrile |
| PANI | Polyaniline |
| PCD | Poly-carbidopa |
| PEC | Photoelectrochemical |
| PEDOT | Poly(3,4-ethylenedioxythiophene) |
| PGE | Pencil graphite electrode |
| Ppy | Polypyrrole |
| PS-DVB | Poly(styrene-divinylbenzene) |
| PT | Polythiophene |
| pTHi | Polythionine |
| PVC | Poly(vinyl chloride) |
| rGO | Reduced graphene oxide |
| RSD | Relative standard deviation |
| SBSE | Stir bar sorptive extraction |
| SEM | Scanning Electron Microscopy |
| SERS | Surface-enhanced Raman Scattering |
| SPCE | Screen-printed carbon electrode |
| SPE | Solid-phase extraction |
| SPEd | Screen-printed electrode |
| SPME | Solid-phase microextraction |
| SPR | Surface plasmon resonance |
| SS-MSPME | Syringe-to-syringe magnetic solid-phase microextraction |
| SWV | Square wave voltammetry |
| TDM | Therapeutic drug monitoring |
| TEOS | Tetraethyl orthosilicate |
| TFME | Thin-film microextraction |
| ThyM | Thymine methacrylate |
| UA-DMSPME | Ultrasonic-assisted Dispersed magnetic solid phase microextraction |
| VA-DMSPME | Vortex-assisted-Dispersed magnetic solid phase microextraction |
| VP | 1-vinyl-2-pyrrolidine |
| VTES | 3-vinyltriethoxysilane |
| VTMS | vinyltrimethoxysilane |
| WADA | World Anti-Doping Agency |
| XRD | X-ray diffraction |
| Zn NFs | Zinc nanoflowers |
References
- Anand, U.; Adelodun, B.; Cabreros, C.; Kumar, P.; Suresh, S.; Dey, A.; Ballesteros, F.; Bontempi, E. Occurrence, Transformation, Bioaccumulation, Risk and Analysis of Pharmaceutical and Personal Care Products from Wastewater: A Review. Environ. Chem. Lett. 2022, 20, 3883–3904. [Google Scholar] [CrossRef] [PubMed]
- Sengar, A.; Vijayanandan, A. Human Health and Ecological Risk Assessment of 98 Pharmaceuticals and Personal Care Products (PPCPs) Detected in Indian Surface and Wastewaters. Sci. Total Environ. 2022, 807, 150677. [Google Scholar] [CrossRef] [PubMed]
- Wei, B.; Dai, L.; Zhang, K. Applications of Hydrophilic Interaction and Mixed-Mode Liquid Chromatography in Pharmaceutical Analysis. J. Chromatogr. A 2025, 1739, 465524. [Google Scholar] [CrossRef]
- Sim, J.; Kyung, S.Y.; Jo, J.; Choi, H.; Jeong, S.; Lee, N.; Kim, S. Simultaneous Determination of Methamphetamine, MDMA, and Ketamine and Their Metabolites in Urine Using a Rapid and Simple HS-SPME-GC–MS Method: A Forensic Study on Drug Abuse Patterns in South Korea. J. Chromatogr. B 2025, 1264, 124720. [Google Scholar] [CrossRef]
- Huang, C.-T.; Gurrani, S.; Hu, S.-T.; Wang, C.-C.; Tsai, P.-C.; Prakasham, K.; Tsai, C.; Fang, L.-H.; Krishnamoorthi, V.; Wang, C.-E.; et al. Rapid Biomonitoring of Fluoropyrimidine-Based Chemotherapy Drugs and Their Biometabolites in Colorectal Cancer Patients’ Blood Samples Using an in-Syringe-Based Fast Drug Extraction Technique Followed by LC-MS/MS Analysis. J. Chromatogr. A 2025, 1740, 465575. [Google Scholar] [CrossRef]
- Polat, Ü.; Ulusoy, H.İ.; Palabıyık, İ.M. Analysis of Glipizide and Pravastatin Sodium Drug Molecules at Trace Level by Using Magnetic Solid Phase Extraction and HPLC-DAD System. J. Chromatogr. B 2025, 1253, 124477. [Google Scholar] [CrossRef]
- Büyüktiryaki, S.; Say, R.; Denizli, A.; Ersöz, A. Mimicking Receptor for Methylmercury Preconcentration Based on Ion-Imprinting. Talanta 2007, 71, 699–705. [Google Scholar] [CrossRef]
- Kaya, S.I.; Cetinkaya, A.; Ozkan, S.A. Molecularly Imprinted Polymers as Highly Selective Sorbents in Sample Preparation Techniques and Their Applications in Environmental Water Analysis. Trends Environ. Anal. Chem. 2023, 37, e00193. [Google Scholar] [CrossRef]
- Büyüktiryaki, S.; Say, R.; Denizli, A.; Ersöz, A. Phosphoserine Imprinted Nanosensor for Detection of Cancer Antigen 125. Talanta 2017, 167, 172–180. [Google Scholar] [CrossRef] [PubMed]
- Büyüktiryaki, S. Sensitive and Selective Detection of Cancer Biomarkers with Molecularly Imprinted Biosensors. Talanta Open 2025, 11, 100444. [Google Scholar] [CrossRef]
- Afsharara, H.; Asadian, E.; Mostafiz, B.; Banan, K.; Bigdeli, S.A.; Hatamabadi, D.; Keshavarz, A.; Hussain, C.M.; Keçili, R.; Ghorbani-Bidkorpeh, F. Molecularly Imprinted Polymer-Modified Carbon Paste Electrodes (MIP-CPE): A Review on Sensitive Electrochemical Sensors for Pharmaceutical Determinations. TrAC Trends Anal. Chem. 2023, 160, 116949. [Google Scholar] [CrossRef]
- Sümbelli, Y.; Keçili, R.; Hür, D.; Ersöz, A.; Say, R. Molecularly Imprinted Polymer Embedded-Cryogels as Selective Genotoxic Impurity Scavengers. Sep. Sci. Technol. 2021, 56, 3066–3078. [Google Scholar] [CrossRef]
- İbrahim, D.; Keçili, R.; Yılmaz, F.; Ersöz, A.; Say, R. Selective Recognition and Separation of Ubiquitin by Nanoparticle Embedded Cryogel Traps with Ubiquitin Memories Based on Photosensitive Covalent Imprinting. J. Anal. Chem. 2021, 76, 165–171. [Google Scholar] [CrossRef]
- He, S.; Zhang, L.; Bai, S.; Yang, H.; Cui, Z.; Zhang, X.; Li, Y. Advances of Molecularly Imprinted Polymers (MIP) and the Application in Drug Delivery. Eur. Polym. J. 2021, 143, 110179. [Google Scholar] [CrossRef]
- Çalışır, M.; Erkek, M.; Denizli, A.; Bereli, N. Aripiprazole-Imprinted Poly(Hydroxyethyl Methacrylate) Cryogel Patches for Enhanced Drug Release. Polym. Bull. 2025, 82, 7247–7264. [Google Scholar] [CrossRef]
- Abdulsada, S.H.; Garcia Cruz, A.; Zaleski, C.; Piletska, E.; Ulker, D.; Piletsky, S.; Piletsky, S.A. Generic Strategy for the Synthesis of Highly Specific Au/MIP Nanozymes and Their Application in Homogeneous Assays. Mater. Adv. 2024, 6, 378–387. [Google Scholar] [CrossRef]
- Say, R.; Keçili, R.; Denizli, A.; Ersöz, A. Biomimetic Imprinted Polymers: Theory, Design Methods, and Catalytic Applications. Theory, Design Methods, and Catalytic Applications. In Molecularly Imprinted Catalysts: Principles, Syntheses, and Applications; Elsevier: Amsterdam, The Netherlands, 2016; pp. 103–120. [Google Scholar] [CrossRef]
- Lu, H.; Xu, S.; Guo, Z.; Zhao, M.; Liu, Z. Redox-Responsive Molecularly Imprinted Nanoparticles for Targeted Intracellular Delivery of Protein toward Cancer Therapy. ACS Nano 2021, 15, 18214–18225. [Google Scholar] [CrossRef] [PubMed]
- Liu, H.; Deng, Z.; Bu, J.; Zhang, Y.; Zhang, Z.; He, Y.; Li, T.; Gao, P.; Yang, Y.; Zhong, S. Capsule-like Molecular Imprinted Polymer Nanoparticles for Targeted and Chemophotothermal Synergistic Cancer Therapy. Colloids Surf. B Biointerfaces 2021, 208, 112126. [Google Scholar] [CrossRef]
- Panagiotopoulou, M.; Kunath, S.; Medina-Rangel, P.X.; Haupt, K.; Tse Sum Bui, B. Fluorescent Molecularly Imprinted Polymers as Plastic Antibodies for Selective Labeling and Imaging of Hyaluronan and Sialic Acid on Fixed and Living Cells. Biosens. Bioelectron. 2017, 88, 85–93. [Google Scholar] [CrossRef]
- Zhang, Y.; Li, S.; Ma, X.T.; He, X.W.; Li, W.Y.; Zhang, Y.K. Carbon Dots-Embedded Epitope Imprinted Polymer for Targeted Fluorescence Imaging of Cervical Cancer via Recognition of Epidermal Growth Factor Receptor. Microchim. Acta 2020, 187, 228. [Google Scholar] [CrossRef] [PubMed]
- Kupai, J.; Razali, M.; Buyuktiryaki, S.; Kecili, R.; Szekely, G. Long-Term Stability and Reusability of Molecularly Imprinted Polymers. Polym. Chem. 2017, 8, 666–673. [Google Scholar] [CrossRef]
- Saylan, Y.; Kılıç, S.; Denizli, A. Biosensing Applications of Molecularly Imprinted-Polymer-Based Nanomaterials. Processes 2024, 12, 177. [Google Scholar] [CrossRef]
- Liu, R.; Poma, A. Advances in Molecularly Imprinted Polymers as Drug Delivery Systems. Molecules 2021, 26, 3589. [Google Scholar] [CrossRef]
- Zhang, H. Molecularly Imprinted Nanoparticles for Biomedical Applications. Adv. Mater. 2020, 32, 1806328. [Google Scholar] [CrossRef]
- Wackerlig, J.; Schirhagl, R. Applications of Molecularly Imprinted Polymer Nanoparticles and Their Advances toward Industrial Use: A Review. Anal. Chem. 2016, 88, 250–261. [Google Scholar] [CrossRef] [PubMed]
- Fresco-Cala, B.; Batista, A.D.; Cárdenas, S. Molecularly Imprinted Polymer Micro- And Nano-Particles: A Review. Molecules 2020, 25, 4740. [Google Scholar] [CrossRef]
- Shevchenko, K.G.; Garkushina, I.S.; Canfarotta, F.; Piletsky, S.A.; Barlev, N.A. Nano-Molecularly Imprinted Polymers (NanoMIPs) as a Novel Approach to Targeted Drug Delivery in Nanomedicine. RSC Adv. 2022, 12, 3957–3968. [Google Scholar] [CrossRef]
- Muhammad, T.; Zhao, D.; Guerreiro, A.; Muhammad, I.; Aimaitiniyazi, M.; Ding, B.; Zheng, Y.; Yimamumaimaiti, T.; Chen, L.; Piletsky, S.A. Solid Phase Synthesis of Molecularly Imprinted Polymers for Analytical and Life Science Applications. TrAC Trends Anal. Chem. 2025, 184, 118134. [Google Scholar] [CrossRef]
- Carballido, L.; Karbowiak, T.; Cayot, P.; Gerometta, M.; Sok, N.; Bou-Maroun, E. Applications of Molecularly Imprinted Polymers and Perspectives for Their Use as Food Quality Trackers. Chem 2022, 8, 2330–2341. [Google Scholar] [CrossRef]
- Iskierko, Z.; Noworyta, K.; Sharma, P.S. Molecular Recognition by Synthetic Receptors: Application in Field-Effect Transistor Based Chemosensing. Biosens. Bioelectron. 2018, 109, 50–62. [Google Scholar] [CrossRef] [PubMed]
- Pauling, L. A Theory of the Structure and Process of Formation of Antibodies. J. Am. Chem. Soc. 1940, 62, 2643–2657. [Google Scholar] [CrossRef]
- Shahhoseini, F.; Azizi, A.; Bottaro, C.S. A Critical Evaluation of Molecularly Imprinted Polymer (MIP) Coatings in Solid Phase Microextraction Devices. TrAC Trends Anal. Chem. 2022, 156, 116695. [Google Scholar] [CrossRef]
- Justino, C.I.L.; Freitas, A.C.; Pereira, R.; Duarte, A.C.; Rocha Santos, T.A.P. Recent Developments in Recognition Elements for Chemical Sensors and Biosensors. TrAC Trends Anal. Chem. 2015, 68, 2–17. [Google Scholar] [CrossRef]
- Keçili, R.; Büyüktiryaki, S.; Hussain, C.M. Engineered Nanosensors Based on Molecular Imprinting Technology. In Handbook of Nanomaterials for Industrial Applications; Elsevier: Amsterdam, The Netherlands, 2018; pp. 1031–1046. ISBN 9780128167878. [Google Scholar]
- Ansari, S.; Karimi, M. Novel Developments and Trends of Analytical Methods for Drug Analysis in Biological and Environmental Samples by Molecularly Imprinted Polymers. TrAC Trends Anal. Chem. 2017, 89, 146–162. [Google Scholar] [CrossRef]
- Martins, R.O.; Bernardo, R.A.; Machado, L.S.; Batista Junior, A.C.; Maciel, L.Í.L.; de Aguiar, D.V.A.; Sanches Neto, F.O.; Oliveira, J.V.A.; Simas, R.C.; Chaves, A.R. Greener Molecularly Imprinted Polymers: Strategies and Applications in Separation and Mass Spectrometry Methods. TrAC Trends Anal. Chem. 2023, 168, 117285. [Google Scholar] [CrossRef]
- Wang, J.; Cheng, Y.; Peng, R.; Cui, Q.; Luo, Y.; Li, L. Co-Precipitation Method to Prepare Molecularly Imprinted Fluorescent Polymer Nanoparticles for Paracetamol Sensing. Colloids Surf. A Physicochem. Eng. Asp. 2020, 587, 124342. [Google Scholar] [CrossRef]
- Wackerlig, J.; Lieberzeit, P.A. Molecularly Imprinted Polymer Nanoparticles in Chemical Sensing—Synthesis, Characterisation and Application. Sens. Actuators B Chem. 2015, 207, 144–157. [Google Scholar] [CrossRef]
- Tang, Y.; Meng, H.; Wang, W.; Song, Y.; Wang, S.; Li, Z.; Wang, X.; Hu, X. Off-Line Magnetic Fe3O4@SiO2@MIPs-Based Solid Phase Dispersion Extraction Coupling with HPLC for the Simultaneous Determination of Olaquindox and Its Metabolite in Fish Muscle and Milk Samples. Food Chem. X 2023, 17, 100611. [Google Scholar] [CrossRef] [PubMed]
- Kalogiouri, N.P.; Kabir, A.; Furton, K.G.; Samanidou, V.F. A Tutorial on the Synthesis and Applications of Molecularly Imprinted Polymers in Analytical Chemistry. J. Chromatogr. Open 2025, 8, 100244. [Google Scholar] [CrossRef]
- Moein, M.M.; Abdel-Rehim, A.; Abdel-Rehim, M. Recent Applications of Molecularly Imprinted Sol-Gel Methodology in Sample Preparation. Molecules 2019, 24, 2889. [Google Scholar] [CrossRef]
- He, K.; Cao, Y.; Chen, Q.; Yang, S.; Chen, M.; Shan, L. Magnetic Molecularly Imprinted Polymer Based on Dynamically Established Metal-mediated Binding Sites for the Determination of Trace Captopril in Rat Plasma. J. Sep. Sci. 2023, 46, 2300092. [Google Scholar] [CrossRef] [PubMed]
- Dong, C.; Shi, H.; Han, Y.; Yang, Y.; Wang, R.; Men, J. Molecularly Imprinted Polymers by the Surface Imprinting Technique. Eur. Polym. J. 2021, 145, 110231. [Google Scholar] [CrossRef]
- Weng, J.; Tian, Y.; Zhang, X.; Chen, F.; Wang, Z.; Sun, M.; He, J. Analysis of Trace Enrofloxacin in Environmental Waters by a Surface Molecular Imprinting Technique. Langmuir 2024, 40, 23279–23288. [Google Scholar] [CrossRef]
- Crapnell, R.D.; Hudson, A.; Foster, C.W.; Eersels, K.; van Grinsven, B.; Cleij, T.J.; Banks, C.E.; Peeters, M. Recent Advances in Electrosynthesized Molecularly Imprinted Polymer Sensing Platforms for Bioanalyte Detection. Sensors 2019, 19, 1204. [Google Scholar] [CrossRef] [PubMed]
- Zhang, X.; Liu, R.; Liu, R.; Han, X.; Sun, Y.; Ren, B. Target Detection and Simultaneous Degradation of Furazolidone by Molecularly Imprinted CoWO4/g-C3N4. Colloids Surf. A Physicochem. Eng. Asp. 2025, 705, 135694. [Google Scholar] [CrossRef]
- Poma, A.; Guerreiro, A.; Whitcombe, M.J.; Piletska, E.V.; Turner, A.P.F.; Piletsky, S.A. Solid-Phase Synthesis of Molecularly Imprinted Polymer Nanoparticles with a Reusable Template–“Plastic Antibodies”. Adv. Funct. Mater. 2013, 23, 2821–2827. [Google Scholar] [CrossRef] [PubMed]
- Chiarello, M.; Anfossi, L.; Cavalera, S.; Di Nardo, F.; Artusio, F.; Pisano, R.; Baggiani, C. Effect of Polymerization Time on the Binding Properties of Ciprofloxacin-Imprinted NanoMIPs Prepared by Solid-Phase Synthesis. Polymers 2021, 13, 2656. [Google Scholar] [CrossRef]
- Büyüktiryaki, S.; Ersöz, A.; Say, R. Green Magnetic Core–Shell MIPs for Environmental Applications. In Green Imprinted Materials; Elsevier: Amsterdam, The Netherlands, 2024; pp. 269–329. ISBN 9780443154317. [Google Scholar]
- Viveiros, R.; Rebocho, S.; Casimiro, T. Green Strategies for Molecularly Imprinted Polymer Development. Polymers 2018, 10, 306. [Google Scholar] [CrossRef]
- Keçili, R.; Yilmaz, E.; Ersöz, A.; Say, R. Imprinted Materials: From Green Chemistry to Sustainable Engineering; Elsevier: Amsterdam, The Netherlands, 2019; ISBN 9780128146828. [Google Scholar]
- Arabi, M.; Ostovan, A.; Li, J.; Wang, X.; Zhang, Z.; Choo, J.; Chen, L. Molecular Imprinting: Green Perspectives and Strategies. Adv. Mater. 2021, 33, 2100543. [Google Scholar] [CrossRef]
- Marć, M.; Wojnowski, W.; Pena-Pereira, F.; Tobiszewski, M.; Martín-Esteban, A. AGREEMIP: The Analytical Greenness Assessment Tool for Molecularly Imprinted Polymers Synthesis. ACS Sustain. Chem. Eng. 2024, 12, 12516–12524. [Google Scholar] [CrossRef]
- Rajpal, S.; Mishra, P.; Mizaikoff, B. Rational In Silico Design of Molecularly Imprinted Polymers: Current Challenges and Future Potential. Int. J. Mol. Sci. 2023, 24, 6785. [Google Scholar] [CrossRef]
- Sobiech, M. Computer-Assisted Strategies as a Tool for Designing Green Monomer-Based Molecularly Imprinted Materials. Int. J. Mol. Sci. 2024, 25, 12912. [Google Scholar] [CrossRef]
- Suryana, S.; Mutakin; Rosandi, Y.; Hasanah, A.N. An Update on Molecularly Imprinted Polymer Design through a Computational Approach to Produce Molecular Recognition Material with Enhanced Analytical Performance. Molecules 2021, 26, 1891. [Google Scholar] [CrossRef]
- Mohsenzadeh, E.; Ratautaite, V.; Brazys, E.; Ramanavicius, S.; Zukauskas, S.; Plausinaitis, D.; Ramanavicius, A. Design of Molecularly Imprinted Polymers (MIP) Using Computational Methods: A Review of Strategies and Approaches. WIREs Interdiscip. Rev. Comput. Mol. Sci. 2024, 14, e1713. [Google Scholar] [CrossRef]
- Cetinkaya, A.; Unal, M.A.; Nazır, H.; Çorman, M.E.; Uzun, L.; Ozkan, S.A. Two Different Molecularly Imprinted Polymeric Coating Techniques for Creating Sensitive and Selective Electrochemical Sensors for the Detection of Ribavirin. Sens. Actuators B Chem. 2023, 389, 133914. [Google Scholar] [CrossRef]
- Cetinkaya, A.; Unal, M.A.; Çorman, M.E.; Uzun, L.; Ozkan, S.A. Dummy Imprinted Electrochemical Sensor for the Selective Detection of Camostat Mesylate. Microchim. Acta 2025, 192, 498. [Google Scholar] [CrossRef]
- Wisnuwardhani, H.A.; Ibrahim, S.; Mukti, R.R.; Damayanti, S. Computational and Experimental Investigation on Functional Monomer Selection for a Novel Molecularly Imprinting Polymer of Remdesivir. J. Mol. Liq. 2024, 414, 126023. [Google Scholar] [CrossRef]
- Gunawan, U.; Ibrahim, S.; Ivansyah, A.L.; Damayanti, S. Theoretical Insight and Molecular Recognition of Fluconazole Molecularly Imprinted Polymers: A Combined Computational and Experimental Analysis. RSC Adv. 2025, 15, 19158–19175. [Google Scholar] [CrossRef]
- Nashruddin, S.N.A.B.M.; Salleh, F.H.M.; Yunus, R.M.; Zaman, H.B. Artificial Intelligence−powered Electrochemical Sensor: Recent Advances, Challenges, and Prospects. Heliyon 2024, 10, e37964. [Google Scholar] [CrossRef]
- Javid, S.; Rahmanulla, A.; Ahmed, M.G.; sultana, R.; Prashantha Kumar, B.R. Machine Learning & Deep Learning Tools in Pharmaceutical Sciences: A Comprehensive Review. Intell. Pharm. 2025, 3, 167–180. [Google Scholar] [CrossRef]
- Karasu, T.; Çalışır, F.; Pişkin, S.; Özgür, E.; Armutcu, C.; Çorman, M.E.; Uzun, L. An Intriguing Future Is Approaching: Artificial Intelligence Meets Molecularly Imprinted Polymers. J. Pharm. Biomed. Anal. Open 2024, 4, 100041. [Google Scholar] [CrossRef]
- Yarahmadi, B.; Hashemianzadeh, S.M.; Milani Hosseini, S.M.R. A New Approach to Prediction Riboflavin Absorbance Using Imprinted Polymer and Ensemble Machine Learning Algorithms. Heliyon 2023, 9, e17953. [Google Scholar] [CrossRef]
- Kundu, S.; Gangopadhyay, D.; Banerjee, M.B.; Nag, S.; Pramanik, P.; Roy, R.B. A Molecular Imprinted Polymer Tethered QCM Sensor to Classify Lemongrass Essential Oils. Sens. Actuators A Phys. 2025, 383, 116234. [Google Scholar] [CrossRef]
- Zhang, Z.; Yuan, Y.; Tian, Y.; Zhao, Y.; Chen, T.; Gao, J.; Chen, L. Machine Learning-Assisted Carbon Quantum Dots-Molecularly Imprinted Polymer Array for Synchronous Screening of Multiple Sulfonamides. Sens. Actuators B Chem. 2025, 444, 138374. [Google Scholar] [CrossRef]
- Canpolat, G.; Dolak, İ.; Keçili, R.; Hussain, C.G.; Amiri, A.; Hussain, C.M. Conductive Polymer-Based Nanocomposites as Powerful Sorbents: Design, Preparation and Extraction Applications. Crit. Rev. Anal. Chem. 2023, 53, 1419–1432. [Google Scholar] [CrossRef]
- Sobiech, M.; Luliński, P. Molecularly Imprinted Solid Phase Extraction—Recent Strategies, Future Prospects and Forthcoming Challenges in Complex Sample Pretreatment Process. TrAC Trends Anal. Chem. 2024, 174, 117695. [Google Scholar] [CrossRef]
- Kamaruzaman, S.; Nasir, N.M.; Faudzi, S.M.M.; Yahaya, N.; Hanapi, N.S.M.; Ibrahim, W.N.W. Solid-Phase Extraction of Active Compounds from Natural Products by Molecularly Imprinted Polymers: Synthesis and Extraction Parameters. Polymers 2021, 13, 3780. [Google Scholar] [CrossRef]
- Cheng, G.; Zhao, J.; Wang, X.; Yang, C.; Li, S.; Lu, T.; Li, X.; Wang, X.; Zhu, G. A Highly Sensitive and Selective Method for the Determination of Ceftiofur Sodium in Milk and Animal-Origin Food Based on Molecularly Imprinted Solid-Phase Extraction Coupled with HPLC-UV. Food Chem. 2021, 347, 129013. [Google Scholar] [CrossRef]
- Liu, Y.; Li, W.; Gao, Y.; Wang, J.; Cheng, G.; Chen, J.; Li, X.; Zhu, G. Highly Efficient and Rapid Removal of Non-Steroidal Anti-Inflammatory Drugs from Environmental Samples Based on an Eco-Friendly ZIF-67-Molecularly Imprinted Composite. Chem. Eng. J. 2022, 443, 136396. [Google Scholar] [CrossRef]
- Arthur, C.L.; Pawliszyn, J. Solid Phase Microextraction with Thermal Desorption Using Fused Silica Optical Fibers. Anal. Chem. 1990, 62, 2145–2148. [Google Scholar] [CrossRef]
- Isa, A.; Samanci, S.N.; Kocabay, P.; Cetinkaya, A.; Kaya, S.I.; Ozkan, S.A. Molecularly Imprinted Micro-Extraction of Pharmaceuticals in Biological Samples. Microchem. J. 2025, 212, 113530. [Google Scholar] [CrossRef]
- Haghgouei, H.; Alizadeh, N. Fabrication of Flexible Paper-Based Conducting Molecularly Imprinted Polymer as Analytical Devices: Electrochemically Assisted Solid Phase Microextraction and Selective Flexible Sensor for Determination of Naproxen. Microchem. J. 2024, 200, 110434. [Google Scholar] [CrossRef]
- Kataoka, H. In-Tube Solid-Phase Microextraction: Current Trends and Future Perspectives. J. Chromatogr. A 2021, 1636, 461787. [Google Scholar] [CrossRef]
- Kefayati, H.; Yamini, Y.; Shamsayei, M.; Abdi, S. Molecularly Imprinted Polypyrrole@CuO Nanocomposite as an In-Tube Solid-Phase Microextraction Coating for Selective Extraction of Carbamazepine from Biological Samples. J. Pharm. Biomed. Anal. 2021, 204, 114256. [Google Scholar] [CrossRef]
- Büyüktiryaki, S.; Keçili, R.; Hussain, C.M. Functionalized Nanomaterials in Dispersive Solid Phase Extraction: Advances & Prospects. TrAC Trends Anal. Chem. 2020, 127, 115893. [Google Scholar] [CrossRef]
- Hansen, F.A.; Pedersen-Bjergaard, S. Emerging Extraction Strategies in Analytical Chemistry. Anal Chem 2020, 92, 2–15. [Google Scholar] [CrossRef]
- Reyes-Garcés, N.; Gionfriddo, E.; Gómez-Ríos, G.A.; Alam, M.N.; Boyacl, E.; Bojko, B.; Singh, V.; Grandy, J.; Pawliszyn, J. Advances in Solid Phase Microextraction and Perspective on Future Directions. Anal. Chem. 2018, 90, 302–360. [Google Scholar] [CrossRef]
- Alipanahpour Dil, E.; Asfaram, A.; Javadian, H. A New Approach for Microextraction of Trace Albendazole Sulfoxide Drug from the Samples of Human Plasma and Urine, and Water by the Molecularly Imprinted Polymer Nanoparticles Combined with HPLC. J. Chromatogr. B Analyt. Technol. Biomed. Life Sci. 2020, 1158, 122249. [Google Scholar] [CrossRef]
- Büyüktiryaki, S.; Uzun, L.; Denizli, A.; Say, R.; Ersöz, A. Simultaneous Depletion of Albumin and Immunoglobulin G by Using Twin Affinity Magnetic Nanotraps. Sep. Sci. Technol. 2016, 51, 2080–2089. [Google Scholar] [CrossRef]
- Nxumalo, N.L.; Mahlambi, P.N. Molecularly Imprinted Polymer-Based Adsorbents for the Selective Removal of Pharmaceuticals from Wastewater: Adsorption Kinetics, Isotherms, and Thermodynamics Studies. Ind. Eng. Chem. Res. 2023, 62, 16525–16544. [Google Scholar] [CrossRef]
- Azizi, A.; Bottaro, C.S. A Critical Review of Molecularly Imprinted Polymers for the Analysis of Organic Pollutants in Environmental Water Samples. J. Chromatogr. A 2020, 1614, 460603. [Google Scholar] [CrossRef]
- Büyüktiryaki, S.; Keçili, R.; Özkütük, E.B.; Ersöz, A.; Say, R. Synthesis of Core-Shell Magnetic Nanoparticles. In Handbook of Magnetic Hybrid Nanoalloys and Their Nanocomposites; Springer International Publishing: Cham, Switzerland, 2022; pp. 65–106. ISBN 9783030909475. [Google Scholar]
- Ali, Z.; Sajid, M.; Manzoor, S.; Ahmad, M.M.; Khan, M.I.; Elboughdiri, N.; Kashif, M.; Shanableh, A.; Rajhi, W.; Mersni, W.; et al. Biodegradable Magnetic Molecularly Imprinted Anticancer Drug Carrier for the Targeted Delivery of Docetaxel. ACS Omega 2022, 7, 28516–28524. [Google Scholar] [CrossRef]
- Sadani, M.; Rasolevandi, T.; Azarpira, H.; Mahvi, A.H.; Ghaderpoori, M.; Mohseni, S.M.; Atamaleki, A. Arsenic Selective Adsorption Using a Nanomagnetic Ion Imprinted Polymer: Optimization, Equilibrium, and Regeneration Studies. J. Mol. Liq. 2020, 317, 114246. [Google Scholar] [CrossRef]
- Li, D.; Wen, Z.; Lin, J.; Zeng, J.; Li, Z.; Ke, F.; Gao, D.; Wang, D. Molecularly Imprinted Polymer Based on Magnetic Porous Cellulose for Specific Adsorption of Tetracyclines: Preparation, Characterization, Property Evaluation, and Application. Mater. Today Chem. 2023, 33, 101742. [Google Scholar] [CrossRef]
- Fathi, A.A.; Afshar Mogaddam, M.R.; Sorouraddin, S.M.; Farajzadeh, M.A. Synthesis of MIP@COF@MIL-156@Fe3O4 Composite and Its Application in Dispersive Solid Phase Extraction of Montelukast in Plasma and Urine Samples. J. Chromatogr. A 2024, 1738, 465478. [Google Scholar] [CrossRef] [PubMed]
- Sabbaghi, N.; Dadfarnia, S.; Haji Shabani, A.M.; Farsadrooh, M. Dispersive Micro Solid Phase Extraction of Glibenclamide from Plasma, Urine, and Wastewater Using a Magnetic Molecularly Imprinted Polymer Followed by Its Determination by a High-Performance Liquid Chromatography-Photodiode Array Detector. RSC Adv. 2024, 14, 13168–13179. [Google Scholar] [CrossRef]
- Olcer, Y.A.; Tascon, M.; Eroglu, A.E.; Boyacı, E. Thin Film Microextraction: Towards Faster and More Sensitive Microextraction. TrAC Trends Anal. Chem. 2019, 113, 93–101. [Google Scholar] [CrossRef]
- Mirzajani, R.; Kha, J.B. Electrospun Nanofiber Composite Based on Bimetallic Metal–Organic Framework/Halloysite Nanotubes/Deep Eutectic Solvents/Molecularly Imprinted Polymers for Thin Film Microextraction of Sulfonamides in Milk, Eggs and Chicken Meat by HPLC Analysis. Microchem. J. 2024, 203, 110950. [Google Scholar] [CrossRef]
- Peng, J.; Liu, D.; Shi, T.; Tian, H.; Hui, X.; He, H. Molecularly Imprinted Polymers Based Stir Bar Sorptive Extraction for Determination of Cefaclor and Cefalexin in Environmental Water. Anal. Bioanal. Chem. 2017, 409, 4157–4166. [Google Scholar] [CrossRef]
- Jia, M.; Zhu, Y.; Guo, D.; Bi, X.; Hou, X. Surface Molecularly Imprinted Polymer Based on Core-Shell Fe3O4@MIL-101(Cr) for Selective Extraction of Phenytoin Sodium in Plasma. Anal. Chim. Acta 2020, 1128, 211–220. [Google Scholar] [CrossRef]
- de Paula, D.D.M.; Santos da Silva, R.C.; Dinali, L.A.F.; Silva, C.F.; de Oliveira, M.A.L.; Pereira, A.C.; Borges, K.B. Magnetic Solid Phase Extraction Based on Restricted Access Molecularly Imprinted Polymer with Dually Coated for Enantioselective Determination of Tramadol in Human Plasma by Capillary Electrophoresis with Ultraviolet Detection. Talanta 2025, 288, 127676. [Google Scholar] [CrossRef]
- Fazl, F.; Gholivand, M.B. Characterization and Optimization of Magnetic Molecularly Imprinted Nanofibers for Determination of Sunitinib in Human Serum and Capsule Samples. Talanta 2024, 279, 126588. [Google Scholar] [CrossRef] [PubMed]
- Ansari, S.; Masoum, S. A Hybrid Imprinted Polymer Based on Magnetic Graphene Oxide and Carbon Dots for Ultrasonic Assisted Dispersive Solid-Phase Microextraction of Oxycodone. Microchem. J. 2021, 164, 105988. [Google Scholar] [CrossRef]
- Azizi-Khereshki, N.; Mousavi, H.Z.; Dogaheh, M.G.; Farsadrooh, M.; Alizadeh, N.; Mohammadi, A. Synthesis of Molecularly Imprinted Polymer as a Nanosorbent for Dispersive Magnetic Micro Solid-Phase Extraction and Determination of Valsartan in Biological Samples by UV–Vis Spectrophotometry: Isotherm, Kinetics, and Thermodynamic Studies. Spectrochim. Acta A Mol. Biomol. Spectrosc. 2023, 296, 122656. [Google Scholar] [CrossRef]
- Oshaghi, S. Highly Selective Magnetic Molecularly Imprinted Polymer for Preconcentration and Determination of Atorvastatin in Human Urine Samples. Microchem. J. 2024, 206, 111465. [Google Scholar] [CrossRef]
- Alipanahpour Dil, E.; Ghaedi, M.; Mehrabi, F.; Tayebi, L. Highly Selective Magnetic Dual Template Molecularly Imprinted Polymer for Simultaneous Enrichment of Sulfadiazine and Sulfathiazole from Milk Samples Based on Syringe–to–Syringe Magnetic Solid–Phase Microextraction. Talanta 2021, 232, 122449. [Google Scholar] [CrossRef]
- Ansari, S.; Masoum, S. Ultrasound-Assisted Dispersive Solid-Phase Microextraction of Capecitabine by Multi-Stimuli Responsive Molecularly Imprinted Polymer Modified with Chitosan Nanoparticles Followed by HPLC Analysis. Microchim. Acta 2020, 187, 366. [Google Scholar] [CrossRef]
- Kardani, F.; Mirzajani, R.; Tamsilian, Y.; Kiasat, A. The Residual Determination of 39 Antibiotics in Meat and Dairy Products Using Solid-Phase Microextraction Based on Deep Eutectic Solvents@UMCM-1 Metal-Organic Framework /Molecularly Imprinted Polymers with HPLC-UV. Food Chem. Adv. 2023, 2, 100173. [Google Scholar] [CrossRef]
- Barati, A.; Kazemi, E.; Dadfarnia, S.; Haji Shabani, A.M. Synthesis/Characterization of Molecular Imprinted Polymer Based on Magnetic Chitosan/Graphene Oxide for Selective Separation/Preconcentration of Fluoxetine from Environmental and Biological Samples. J. Ind. Eng. Chem. 2017, 46, 212–221. [Google Scholar] [CrossRef]
- Li, Z.; Li, S.; Jiang, L.; Niu, J.; Zhang, Y.; Nie, L.; Zhou, Q.; Chen, C. High Enrichment and Sensitive Measurement of Oxytetracycline in Tea Drinks by Thermosensitive Magnetic Molecular Imprinting Based Magnetic Solid Phase Extraction Coupled with Boron Doped Carbon Dots. Food Chem. 2024, 447, 138998. [Google Scholar] [CrossRef]
- Oshaghi, S. Nano-Sized Magnetic Molecularly Imprinted Polymer Solid-Phase Microextraction for Highly Selective Recognition and Enrichment of Sulfamethoxazole from Spiked Water Samples. J. Chromatogr. A 2024, 1729, 465016. [Google Scholar] [CrossRef]
- Sarnaghi, S.P.; Ayazi, Z. Synthesis of Chitosan-Based Molecularly Imprinted Biopolymer for Thin-Film Solid-Phase Microextraction of Tramadol Followed by Its On-Site Detection Using Digital Image Colorimetry. Anal. Chim. Acta 2025, 1369, 344335. [Google Scholar] [CrossRef]
- Baltussen, E.; Sandra, P.; David, F.; Cramers, C. Stir Bar Sorptive Extraction (SBSE), a Novel Extraction Technique for Aqueous Samples: Theory and Principles. J. Microcolumn Sep. 1999, 11, 737–747. [Google Scholar] [CrossRef]
- Cui, Y.; Jiang, L.; Li, H.; Meng, D.; Chen, Y.; Ding, L.; Xu, Y. Molecularly Imprinted Electrospun Nanofibre Membrane Assisted Stir Bar Sorptive Extraction for Trace Analysis of Sulfonamides from Animal Feeds. J. Ind. Eng. Chem. 2021, 96, 382–389. [Google Scholar] [CrossRef]
- Chen, C.; Wang, J. Optical Biosensors: An Exhaustive and Comprehensive Review. Analyst 2020, 145, 1605–1628. [Google Scholar] [CrossRef] [PubMed]
- Akgönüllü, S.; Denizli, A. Recent Advances in Optical Biosensing Approaches for Biomarkers Detection. Biosens. Bioelectron. X 2022, 12, 100269. [Google Scholar] [CrossRef]
- Rico-Yuste, A.; Carrasco, S. Molecularly Imprinted Polymer-Based Hybrid Materials for the Development of Optical Sensors. Polymers 2019, 11, 1173. [Google Scholar] [CrossRef]
- Guliy, O.I.; Karavaeva, O.A.; Smirnov, A.V.; Eremin, S.A.; Bunin, V.D. Optical Sensors for Bacterial Detection. Sensors 2023, 23, 9391. [Google Scholar] [CrossRef]
- Gerdan, Z.; Saylan, Y.; Denizli, A. Biosensing Platforms for Cardiac Biomarker Detection. ACS Omega 2024, 9, 9946–9960. [Google Scholar] [CrossRef] [PubMed]
- Çimen, D.; Bereli, N.; Denizli, A. Molecularly Imprinted Surface Plasmon Resonance Sensor-Based Devices for Clinical Applications. Biomed. Mater. Devices 2023, 1, 202–212. [Google Scholar] [CrossRef]
- Aşır, S.; Uğur, B.; Jalilzadeh, M.; Göktürk, I.; Türkmen, D. Development of a Plasmonic Sensor for a Chemotherapeutic Agent Cabazitaxel. ACS Omega 2023, 8, 492–501. [Google Scholar] [CrossRef]
- Li, C.; Awasthi, M.K.; Liu, J.; Yao, T. Veterinary Tetracycline Residues: Environmental Occurrence, Ecotoxicity, and Degradation Mechanism. Environ. Res. 2025, 266, 120417. [Google Scholar] [CrossRef] [PubMed]
- Bakhshpour-Yücel, M.; Küçük, M.; Tümay Özer, E.; Osman, B. Nano-MIP Based SPR Sensor for Tetracycline Analysis in Milk Sample. Talanta Open 2025, 11, 100417. [Google Scholar] [CrossRef]
- Fang, Z.; Zhang, H.; Guo, J.; Guo, J. Overview of Therapeutic Drug Monitoring and Clinical Practice. Talanta 2024, 266, 124996. [Google Scholar] [CrossRef]
- Wang, Q.; Wei, Y.; Lan, J.; Bai, C.; Chen, J.; Zhao, S.; Wang, T.; Dong, Y. A New Perspective on Antimicrobial Therapeutic Drug Monitoring: Surface-Enhanced Raman Spectroscopy. Talanta 2025, 292, 128017. [Google Scholar] [CrossRef]
- Solouki Bashiz, A.; Afshar Mogaddam, M.R.; Nemati, M.; Siahi-Shadbad, M.; Farajzade, M.A.; Fathi, A.A.; Shahedi Hojaghan, A. Dispersive Solid Phase Extraction of Imatinib from Human Plasma Using Biological Metal-Organic and Covalent-Organic Framework Composite Prior to HPLC-MS/MS. J. Chromatogr. B Analyt. Technol. Biomed. Life Sci. 2025, 1256, 124558. [Google Scholar] [CrossRef]
- Hashem, H.M.; Ghaith, E.A.; Eladl, A.; Abozeid, S.M.; Abdallah, A.B. A Novel Fluorescent Probe Based Imprinted Polymer-Coated Magnetite for the Detection of Imatinib Leukemia Anti-Cancer Drug Traces in Human Plasma Samples. Spectrochim. Acta A Mol. Biomol. Spectrosc. 2024, 315, 124262. [Google Scholar] [CrossRef] [PubMed]
- Alizadeh, T.; Fard, L.A. Synthesis of Cu2+-Mediated Nano-Sized Salbutamol-Imprinted Polymer and Its Use for Indirect Recognition of Ultra-Trace Levels of Salbutamol. Anal. Chim. Acta. 2013, 769, 100–107. [Google Scholar] [CrossRef]
- Zhou, Y.; Wang, D.; Wang, D.; Wang, Y.; Li, Y.; Li, J.; Zhang, Y. Rapid Analysis of Salbutamol Residues in Animal-Derived Food Based on the Fluorescence of MOFs/MIPs Paper-Based Chips. Chem. Eng. J. 2024, 496, 153918. [Google Scholar] [CrossRef]
- Xiong, Y.; Gao, X.; Wang, Y.; Deng, X.; Xiong, C.; Zhang, J.; Gu, Q.; Huang, G. A Combination of Polypeptide and Magnetic Molecular Imprinted Electrochemical Sensor Based on BSA-AuNPs/Fe3O4@ZIF-8 for the Detection of Norfloxacin. Microchem. J. 2024, 201, 110583. [Google Scholar] [CrossRef]
- Samkumpim, T.; Alahmad, W.; King, A.W.; Darwish, I.A.; Aly, M.A.S.; Varanusupakul, P. Electro-Fluorescence Gel-Based Sensing Miniaturized Approach for Screening and Determination of Norfloxacin at Trace Level in Milk and Egg Samples: A Green Strategy for Food Analysis. Food Chem. 2025, 3, 145071. [Google Scholar] [CrossRef]
- Tarannum, N.; Khatoon, S.; Yadav, A.; Yadav, A.K. SERS-Based Molecularly Imprinted Polymer Sensor for Highly Sensitive Norfloxacin Detection. J. Food Compos. Anal. 2023, 119, 105281. [Google Scholar] [CrossRef]
- Huang, H.; Wen, G.; Liang, A.; Jiang, Z. A New SERS Quantitative Analysis Strategy for Ultratrace Chloramphenicol with Fe3O4@MIP Nanocatalytic Probe. Spectrochim. Acta A Mol. Biomol. Spectrosc. 2024, 322, 124732. [Google Scholar] [CrossRef]
- Wu, Y.; Cong, Y.; Zhao, W.; Cui, S.; Ma, B.; Zhao, H.; Cao, Y.; Liu, H.; Liu, Y. Eco-Friendly Self-Cleaning Magnetic MIPs-SERS Sensor for Ultra-Sensitive Detection of Ciprofloxacin in Complex Water Environments. J. Alloys Compd. 2025, 1010, 178184. [Google Scholar] [CrossRef]
- Wang, Y.Q.; Fang, Z.; Min, H.; Xu, X.Y.; Li, Y. Sensitive Determination of Ofloxacin by Molecularly Imprinted Polymers Containing Ionic Liquid Functionalized Carbon Quantum Dots and Europium Ion. ACS Appl. Nano Mater. 2022, 5, 8467–8474. [Google Scholar] [CrossRef]
- Ye, L.; Chen, F.; Tang, Y.; Sun, W.; Song, Y. Highly Selective and Sensitive Detection of Trace Amoxicillin with a Novel Fluorescent Nanoprobe N, S-CDs@MIP Based on S/N Co-Doped Carbon Quantum Dots Combined with Molecularly Imprinted Polymer. J. Water Process Eng. 2025, 71, 107291. [Google Scholar] [CrossRef]
- Mantashloo, R.; Bahar, S. Synthesis of Magnetic Graphene Quantum Dots Based Molecularly Imprinted Polymers for Fluorescent Determination of Quercetin. Microchem. J. 2023, 185, 108233. [Google Scholar] [CrossRef]
- Faalnouri, S.; Çimen, D.; Bereli, N.; Denizli, A. Surface Plasmon Resonance Nanosensors for Detecting Amoxicillin in Milk Samples with Amoxicillin Imprinted Poly(Hydroxyethyl Methacrylate-N-Methacryloyl-(L)- Glutamic Acid). ChemistrySelect 2020, 5, 4761–4769. [Google Scholar] [CrossRef]
- Birinci, H.S.; Akgönüllü, S.; Yavuz, H.; Arslan, O.; Denizli, A. Design of Molecularly Imprinted Polymer-Based Biomimetic Surface Plasmon Resonance Sensor for Detection of Methamphetamine in Plasma and Urine. Microchem. J. 2025, 213, 113668. [Google Scholar] [CrossRef]
- Özgür, E.; Saylan, Y.; Bereli, N.; Türkmen, D.; Denizli, A. Molecularly Imprinted Polymer Integrated Plasmonic Nanosensor for Cocaine Detection. J. Biomater. Sci. Polym. Ed. 2020, 31, 1211–1222. [Google Scholar] [CrossRef] [PubMed]
- Çelik, O.; Saylan, Y.; Göktürk, I.; Yılmaz, F.; Denizli, A. A Surface Plasmon Resonance Sensor with Synthetic Receptors Decorated on Graphene Oxide for Selective Detection of Benzylpenicillin. Talanta 2023, 253, 123939. [Google Scholar] [CrossRef]
- Özkan, A.; Atar, N.; Yola, M.L. Enhanced Surface Plasmon Resonance (SPR) Signals Based on Immobilization of Core-Shell Nanoparticles Incorporated Boron Nitride Nanosheets: Development of Molecularly Imprinted SPR Nanosensor for Anticancer Drug, Etoposide. Biosens. Bioelectron. 2019, 130, 293–298. [Google Scholar] [CrossRef]
- Altıntaş, Ö.; Denizli, A. Molecular Imprinting Technologies in Electroanalysis of Pharmaceuticals. Electrochim. Acta 2025, 535, 146597. [Google Scholar] [CrossRef]
- Jamilan, M.A.; Kamarudin, B.; Mohd Zain, Z.; Sambasevam, K.P.; Mehamod, F.S.; Md Noh, M.F. A Scoping Review of Vitamins Detection Using Electrochemically Polymerised, Molecularly Imprinted Polymers. Polymers 2025, 17, 1415. [Google Scholar] [CrossRef]
- Gavrila, A.-M.; Diacon, A.; Iordache, T.-V.; Rotariu, T.; Ionita, M.; Toader, G. Hazardous Materials from Threats to Safety: Molecularly Imprinted Polymers as Versatile Safeguarding Platforms. Polymers 2024, 16, 2699. [Google Scholar] [CrossRef] [PubMed]
- Keçili, R.; Hussain, C.G.; Hussain, C.M. Emerging Trends in Green Carbon Dots Coated with Molecularly Imprinted Polymers for Sensor Platforms. TrAC Trends Anal. Chem. 2023, 166, 117205. [Google Scholar] [CrossRef]
- Kadhem, A.J.; Gentile, G.J.; Fidalgo de Cortalezzi, M.M. Molecularly Imprinted Polymers (MIPs) in Sensors for Environmental and Biomedical Applications: A Review. Molecules 2021, 26, 6233. [Google Scholar] [CrossRef] [PubMed]
- Akgönüllü, S.; Kılıç, S.; Esen, C.; Denizli, A. Molecularly Imprinted Polymer-Based Sensors for Protein Detection. Polymers 2023, 15, 629. [Google Scholar] [CrossRef]
- Cabaleiro-Lago, C.; Hasterok, S.; Gjörloff Wingren, A.; Tassidis, H. Recent Advances in Molecularly Imprinted Polymers and Their Disease-Related Applications. Polymers 2023, 15, 4199. [Google Scholar] [CrossRef]
- Ramanavicius, S.; Jagminas, A.; Ramanavicius, A. Advances in Molecularly Imprinted Polymers Based Affinity Sensors (Review). Polymers 2021, 13, 974. [Google Scholar] [CrossRef]
- Keçili, R.; Büyüktiryaki, S.; Hussain, C.M. Advancement in Bioanalytical Science through Nanotechnology: Past, Present and Future. TrAC Trends Anal. Chem. 2019, 110, 259–276. [Google Scholar] [CrossRef]
- Gagliani, F.; Di Giulio, T.; Asif, M.I.; Malitesta, C.; Mazzotta, E. Boosting Electrochemical Sensing Performances Using Molecularly Imprinted Nanoparticles. Biosensors 2024, 14, 358. [Google Scholar] [CrossRef]
- Özbek, O.; Altunoluk, O.C. Potentiometric Determination of Anti–Epileptic Drugs: A Mini Review. Sens. Int. 2023, 4, 15–18. [Google Scholar] [CrossRef]
- Wang, J.; Liang, R.; Qin, W. Molecularly Imprinted Polymer-Based Potentiometric Sensors. TrAC Trends Anal. Chem. 2020, 130, 115980. [Google Scholar] [CrossRef]
- Jigyasa; Kaur Rajput, J. Nanosensors: A Smart Remedy for Early Detection of Clenbuterol Contamination in Food. Food Chem. 2023, 426, 136569. [Google Scholar] [CrossRef]
- Özkütük, E.B.; Uğurağ, D.; Ersöz, A.; Say, R. Determination of Clenbuterol by Multiwalled Carbon Nanotube Potentiometric Sensors. Anal. Lett. 2016, 49, 778–789. [Google Scholar] [CrossRef]
- Soliman, S.S.; Mahmoud, A.M.; Elghobashy, M.R.; Zaazaa, H.E.; Sedik, G.A. Point-of-Care Electrochemical Sensor for Selective Determination of Date Rape Drug “Ketamine” Based on Core-Shell Molecularly Imprinted Polymer. Talanta 2023, 254, 124151. [Google Scholar] [CrossRef] [PubMed]
- Cetinkaya, A.; Yusufbeyoglu, S.; Kaya, S.I.; Kilic, A.B.; Atici, E.B.; Ozkan, S.A. Plant-Based Zinc Nanoflowers Assisted Molecularly Imprinted Polymer for the Design of an Electrochemical Sensor for Selective Determination of Abrocitinib. Microchim. Acta 2024, 191, 322. [Google Scholar] [CrossRef]
- Jyoti; Gonzato, C.; Żołek, T.; Maciejewska, D.; Kutner, A.; Merlier, F.; Haupt, K.; Sharma, P.S.; Noworyta, K.R.; Kutner, W. Molecularly Imprinted Polymer Nanoparticles-Based Electrochemical Chemosensors for Selective Determination of Cilostazol and Its Pharmacologically Active Primary Metabolite in Human Plasma. Biosens. Bioelectron. 2021, 193, 113542. [Google Scholar] [CrossRef]
- Huang, Q.; Cao, J.; Huang, X.; Liu, Z. A Robust Electrochemical Sensor for Gefitinib Detection Using Three-Dimensional Framework Molecularly Imprinted Polymer-Loaded Carbon Nanotubes. Microchem. J. 2025, 208, 112485. [Google Scholar] [CrossRef]
- Afzali, M.; Mostafavi, A.; Shamspur, T. A Novel Electrochemical Sensor Based on Magnetic Core@shell Molecularly Imprinted Nanocomposite (Fe3O4@graphene Oxide@MIP) for Sensitive and Selective Determination of Anticancer Drug Capecitabine. Arab. J. Chem. 2020, 13, 6626–6638. [Google Scholar] [CrossRef]
- Mazloum-Ardakani, M.; Mokari, Z.; Alizadeh, Z.; Mohammadian-Sarcheshmeh, H.; Abdollahi-Alibiek, M.; Mirjalili, B.B.F.; Salehi, N. Electrochemical Sensor for Sensitive Detection of an Anticancer Drug Capecitabine by Modified Carbon Paste Electrode with Tetrahydrodipyrazolo Pyridine Derivative and Cu-MCM-41 Nanoparticles. Microchem. J. 2024, 199, 109887. [Google Scholar] [CrossRef]
- Garcia, S.M.; Wong, A.; Khan, S.; Sotomayor, M.D.P.T. A Simple, Sensitive and Efficient Electrochemical Platform Based on Carbon Paste Electrode Modified with Fe3O4@MIP and Graphene Oxide for Folic Acid Determination in Different Matrices. Talanta 2021, 229, 122258. [Google Scholar] [CrossRef]
- Hassan, S.S.M.; Kamel, A.H.; Fathy, M.A. All-Solid-State Paper-Based Potentiometric Combined Sensor Modified with Reduced Graphene Oxide (RGO) and Molecularly Imprinted Polymer for Monitoring Losartan Drug in Pharmaceuticals and Biological Samples. Talanta 2023, 253, 123907. [Google Scholar] [CrossRef]
- Banan, K.; Niknam, S.; Ahmadi, M.; Tabasi, S.; Ghalkhani, M.; Adabi, M.; Ghorbani-Bidkoreph, F. Molecularly Imprinted Electrochemical Sensor Based on Carbon Nanofibers for Amiodarone Determination. Microchem. J. 2024, 200, 110365. [Google Scholar] [CrossRef]
- Emin Çorman, M.; Cetinkaya, A.; Armutcu, C.; Uzun, L.; Ozkan, S.A. Designing of ZnO Nanoparticles Oriented Interface Imprinted Electrochemical Sensor for Fluoxetine Detection. Bioelectrochemistry 2023, 152, 108411. [Google Scholar] [CrossRef]
- El-Beshlawy, M.M.; Barhoum, A.; Abdel-Haleem, F.M. Nanomolar Detection of Lurasidone Hydrochloride in Pharmaceutical Formulations (Serodopamoun®) and Spiked Urine Using a PVC/Imprinted Polymer/MWCNTs Layer Deposited onto Polyaniline-Coated Screen-Printed Electrodes. RSC Adv. 2024, 14, 39769–39778. [Google Scholar] [CrossRef]
- Lu, Z.; Wei, K.; Ma, H.; Xiong, Q.; Li, Y.; Sun, M.; Wang, X.; Wang, Y.; Wu, C.; Su, G.; et al. Nanoarchitectonics of on–off Ratiometric Signal Amplified Electrochemical Sensor for Chlorpromazine with Molecularly Imprinted Polymer Based on Ni-MOF/Fe-MOF-5 Hybrid Au Nanoparticles. Sep. Purif. Technol. 2023, 327, 124858. [Google Scholar] [CrossRef]
- Çorman, M.E.; Cetinkaya, A.; Ozcelikay, G.; Özgür, E.; Atici, E.B.; Uzun, L.; Ozkan, S.A. A Porous Molecularly Imprinted Nanofilm for Selective and Sensitive Sensing of an Anticancer Drug Ruxolitinib. Anal. Chim. Acta 2021, 1187, 339143. [Google Scholar] [CrossRef]
- Yıldız, E.; Cetinkaya, A.; Çorman, M.E.; Atici, E.B.; Uzun, L.; Ozkan, S.A. An Electrochemical Sensor Based on Carbon Nanofiber and Molecular Imprinting Strategy for Dasatinib Recognition. Bioelectrochemistry 2024, 158, 108701. [Google Scholar] [CrossRef]
- Cetinkaya, A.; Yusufbeyoglu, S.; Kaya, S.I.; Baldemir Kilic, A.; Atici, E.B.; Ozkan, S.A. Design of a Molecularly Imprinted Polymer Sensor Modified with Saffron-Based Copper Nanoflowers for Highly Selective and Sensitive Determination of Bortezomib. Talanta 2025, 282, 127005. [Google Scholar] [CrossRef]
- Naseef, A.; Abdel-Haleem, F.M.; Zahran, M.K.; Barhoum, A. Acrylic Molecularly Imprinted Polymer-Based Electrochemical Sensor for Precise Nanomolar Quantification of Daclatasvir Dihydrochloride in Daclavirdin®, Serum, and Urine. Microchem. J. 2025, 208, 112389. [Google Scholar] [CrossRef]
- Yamani, H.Z.; El Azab, N.F. First Electropolymerized Carbidopa-Based Molecularly Imprinted Film: Disposable Electrochemical Sensor for Monitoring of Anti-COVID-19 Drug Favipiravir in Human Plasma. Microchem. J. 2024, 196, 109572. [Google Scholar] [CrossRef]
- Mehmandoust, M.; Soylak, M.; Erk, N. Innovative Molecularly Imprinted Electrochemical Sensor for the Nanomolar Detection of Tenofovir as an Anti-HIV Drug. Talanta 2023, 253, 123991. [Google Scholar] [CrossRef] [PubMed]
- Cetinkaya, A.; Unal, M.A.; Nazır, H.; Çorman, M.E.; Uzun, L.; Ozkan, S.A. Development of Borazine-Assisted-Oriented Molecularly Imprinted Electrochemical Sensor for the Detection of Umifenovir in Serum and Urine by EIS and DPV Methods. Sens. Actuators B Chem. 2024, 420, 136519. [Google Scholar] [CrossRef]
- Wadie, M.; Marzouk, H.M.; Rezk, M.R.; Abdel-Moety, E.M.; Tantawy, M.A. A Sensing Platform of Molecular Imprinted Polymer-Based Polyaniline/Carbon Paste Electrodes for Simultaneous Potentiometric Determination of Alfuzosin and Solifenacin in Binary Co-Formulation and Spiked Plasma. Anal. Chim. Acta 2022, 1200, 339599. [Google Scholar] [CrossRef]
- Almehizia, A.A.; Naglah, A.M.; Alanazi, M.G.; El-Galil, E.; Amr, A.; Kamel, A.H. Potentiometric Planar Platforms Modified with a Multiwalled Carbon Nanotube/Polyaniline Nanocomposite and Based on Imprinted Polymers for Erythromycin Assessment. RSC Adv. 2023, 13, 35926–35936. [Google Scholar] [CrossRef]
- Unal, M.A. Nanomaterial-Assisted Molecularly Imprinted Polymer Strategies for Highly Sensitive and Selective Determination of Cefdinir and Its Validation Using Computational Approach. J. Pharm. Biomed. Anal. 2024, 246, 116209. [Google Scholar] [CrossRef]
- Zhang, Y.; Jamal, R.; Abdurexit, A.; Abdiryim, T.; Zhang, Y.; Zhou, Y.; Liu, Y.; Fan, N.; Wang, Z. Selective Detection of Norfloxacin Using MIP/PEDOT Modified Electrode: A Study on Sensing Performance. Compos. B Eng. 2024, 279, 111432. [Google Scholar] [CrossRef]
- Chen, S.; Guo, J.; Sun, Q.; Wang, Y.; Du, M.; Wang, A.; Yu, X.; Ding, L. Enhanced Electrochemical Sensor Based on Uio-66-NH2/Carbon Nanotubes Hybrid for Selective Detection of Ofloxacin. Mater. Today Chem. 2024, 42, 102441. [Google Scholar] [CrossRef]
- Smolinska-Kempisty, K.; Ahmad, O.S.; Guerreiro, A.; Karim, K.; Piletska, E.; Piletsky, S. New Potentiometric Sensor Based on Molecularly Imprinted Nanoparticles for Cocaine Detection. Biosens. Bioelectron. 2017, 96, 49–54. [Google Scholar] [CrossRef]
- Oyinlola, K.; Adeniyi, K.O.; Nic Daeid, N.; Adegoke, O. Heavy Metal-Free MnInPSeS Alloyed Quantum Dots-Molecularly Imprinted Polymer as an Electrochemical Nanosensor for the Detection of the Synthetic Cathinone, 3,4-Methylenedioxypyrovalerone. Mater. Sci. Semicond. Process. 2024, 183, 108750. [Google Scholar] [CrossRef]
- Elaine, A.A.; Othman, R.; Mita, S.R.; Hasanah, A.N. Breaking Boundaries in Controlled Release Drug Delivery System: The Promise and Potential of Molecularly Imprinted Polymers. J. Drug Deliv. Sci. Technol. 2025, 111, 107142. [Google Scholar] [CrossRef]
- Bulbake, U.; Doppalapudi, S.; Kommineni, N.; Khan, W. Liposomal Formulations in Clinical Use: An Updated Review. Pharmaceutics 2017, 9, 12. [Google Scholar] [CrossRef]
- Atanase, L.I. Micellar Drug Delivery Systems Based on Natural Biopolymers. Polymers 2021, 13, 477. [Google Scholar] [CrossRef]
- Genç, L.; Büyüktıryakı, S. Preparation and Characterization of Methotrexate-Loaded Microcapsules. Pharm. Dev. Technol. 2014, 19, 42–47. [Google Scholar] [CrossRef] [PubMed]
- Kamaly, N.; Yameen, B.; Wu, J.; Farokhzad, O.C. Degradable Controlled-Release Polymers and Polymeric Nanoparticles: Mechanisms of Controlling Drug Release. Chem. Rev. 2016, 116, 2602–2663. [Google Scholar] [CrossRef] [PubMed]
- Jain, A.K.; Thareja, S. Solid Lipid Nanoparticles. In Nanotechnology in the Life Sciences; Springer: Cham, Switzerland, 2020; pp. 221–249. [Google Scholar]
- Çetin, K.; Şarkaya, K. Drug Delivery Based on Nanoparticulate Systems. Düzce Üniv. Bilim Teknol. Derg. 2024, 12, 1993–2015. [Google Scholar] [CrossRef]
- Sanadgol, N.; Wackerlig, J. Developments of Smart Drug-Delivery Systems Based on Magnetic Molecularly Imprinted Polymers for Targeted Cancer Therapy: A Short Review. Pharmaceutics 2020, 12, 831. [Google Scholar] [CrossRef]
- Yun, Y.H.; Lee, B.K.; Park, K. Controlled Drug Delivery: Historical Perspective for the next Generation. J. Control. Release 2015, 219, 2–7. [Google Scholar] [CrossRef] [PubMed]
- Hashemi-Moghaddam, H.; Kazemi-Bagsangani, S.; Jamili, M.; Zavareh, S. Evaluation of Magnetic Nanoparticles Coated by 5-Fluorouracil Imprinted Polymer for Controlled Drug Delivery in Mouse Breast Cancer Model. Int. J. Pharm. 2016, 497, 228–238. [Google Scholar] [CrossRef]
- Abouelatta, S.M.; Sheta, A.I.; Ibrahim, R.R. Optimized Molecular Imprints in Gamma-Irradiated Collagen Shields of an Antifungal Drug: In Vitro Characterization, in-Vivo Bioavailability Enhancement. Eur. J. Pharm. Biopharm. 2021, 166, 135–143. [Google Scholar] [CrossRef]
- Ghaffari-Bohlouli, P.; Zahedi, P.; Shahrousvand, M. Enhanced Osteogenesis Using Poly (L-Lactide-Co-D, L-Lactide)/Poly (Acrylic Acid) Nanofibrous Scaffolds in Presence of Dexamethasone-Loaded Molecularly Imprinted Polymer Nanoparticles. Int. J. Biol. Macromol. 2020, 165, 2363–2377. [Google Scholar] [CrossRef] [PubMed]
- Li, L.; Chen, L.; Zhang, H.; Yang, Y.; Liu, X.; Chen, Y. Temperature and Magnetism Bi-Responsive Molecularly Imprinted Polymers: Preparation, Adsorption Mechanism and Properties as Drug Delivery System for Sustained Release of 5-Fluorouracil. Mater. Sci. Eng. C 2016, 61, 158–168. [Google Scholar] [CrossRef]
- Asadi, E.; Abdouss, M.; Leblanc, R.M.; Ezzati, N.; Wilson, J.N.; Kordestani, D. Synthesis, Characterization and in Vivo Drug Delivery Study of a Biodegradable Nano-Structured Molecularly Imprinted Polymer Based on Cross-Linker of Fructose. Polymer 2016, 97, 226–237. [Google Scholar] [CrossRef]
- Tashakori-Sabzevar, F.; Mohajeri, S.A. Development of Ocular Drug Delivery Systems Using Molecularly Imprinted Soft Contact Lenses. Drug Dev. Ind. Pharm. 2015, 41, 703–713. [Google Scholar] [CrossRef] [PubMed]
- Bodoki, A.E.; Iacob, B.C.; Dinte, E.; Vostinaru, O.; Samoila, O.; Bodoki, E. Perspectives of Molecularly Imprinted Polymer-Based Drug Delivery Systems in Ocular Therapy. Polymers 2021, 13, 3649. [Google Scholar] [CrossRef]
- Lusina, A.; Cegłowski, M. Molecularly Imprinted Polymers as State-of-the-Art Drug Carriers in Hydrogel Transdermal Drug Delivery Applications. Polymers 2022, 14, 640. [Google Scholar] [CrossRef] [PubMed]
- Guo, W.; Ji, J.; Shi, Y.; Li, N.; Yan, Z.; Du, Q. Recent Advances in Composite Materials Integrating Molecularly Imprinted Polymers for Targeted Drug Delivery Systems. Eur. Polym. J. 2025, 228, 113825. [Google Scholar] [CrossRef]
- Liu, L.-t.; Chen, M.-j.; Yang, H.-l.; Huang, Z.-j.; Tang, Q.; Chow, C.-f.; Gong, C.-b.; Zu, M.-h.; Xiao, B. An NIR-Light-Responsive Surface Molecularly Imprinted Polymer for Photoregulated Drug Release in Aqueous Solution through Porcine Tissue. Mater. Sci. Eng. C 2020, 106, 110253. [Google Scholar] [CrossRef]
- Chen, W.; Ma, Y.; Pan, J.; Meng, Z.; Pan, G.; Sellergren, B. Molecularly Imprinted Polymers with Stimuli-Responsive Affinity: Progress and Perspectives. Polymers 2015, 7, 1689–1715. [Google Scholar] [CrossRef]
- Han, S.; Song, Y.; Liu, S.; Zhao, L.; Sun, R. Dual Responsive Molecularly Imprinted Polymers Based on UiO-66-DOX for Selective Targeting Tumor Cells and Controlled Drug Release. Eur. Polym. J. 2022, 171, 111219. [Google Scholar] [CrossRef]
- Kubo, T.; Tachibana, K.; Naito, T.; Mukai, S.; Akiyoshi, K.; Balachandran, J.; Otsuka, K. Magnetic Field Stimuli-Sensitive Drug Release Using a Magnetic Thermal Seed Coated with Thermal-Responsive Molecularly Imprinted Polymer. ACS Biomater. Sci. Eng. 2019, 5, 759–767. [Google Scholar] [CrossRef]
- Yari-Ilkhchi, A.; Rafi, A.A.; Mahkam, M. Design and Development of PH-Sensitive Nanocarriers Using Molecularly Imprinted Polymers for the Targeted Delivery of Sodium Thiopental. Nanoscale Adv. 2025, 7, 2039–2046. [Google Scholar] [CrossRef]
- Laracuente, M.L.; Yu, M.H.; McHugh, K.J. Zero-Order Drug Delivery: State of the Art and Future Prospects. J. Control. Release 2020, 327, 834–856. [Google Scholar] [CrossRef]
- Higuchi, T. Rate of Release of Medicaments from Ointment Bases Containing Drugs in Suspension. J. Pharm. Sci. 1961, 50, 874–875. [Google Scholar] [CrossRef]
- Paul, D.R. Elaborations on the Higuchi Model for Drug Delivery. Int. J. Pharm. 2011, 418, 13–17. [Google Scholar] [CrossRef] [PubMed]
- Korsmeyer, R.W.; Gurny, R.; Doelker, E.; Buri, P.; Peppas, N.A. Mechanisms of Solute Release from Porous Hydrophilic Polymers. Int. J. Pharm. 1983, 15, 25–35. [Google Scholar] [CrossRef]
- Kumar, A.; Kashap, S.; Mazahir, F.; Sharma, R.; Yadav, A.K. Unveiling the Potential of Molecular Imprinting Polymer-Based Composites in the Discovery of Advanced Drug Delivery Carriers. Drug Discov. Today 2024, 29, 104164. [Google Scholar] [CrossRef] [PubMed]
- Zhao, L.; Wang, X.L.; Ma, L.; Shang, P.P.; Huang, Y.P.; Liu, Z.S. Improving Affinity of β-Cyclodextrin-Based Molecularly Imprinted Polymer Using Room Temperature Ionic Liquid. Eur. Polym. J. 2019, 116, 275–282. [Google Scholar] [CrossRef]
- Liu, Z.; Ma, X.; Li, S.; Qiu, J.; Liu, S.; Huang, Z.; Lin, H.; Abd El-Aty, A.M. Development of a Biocompatible Green Drug Release System Using Salidroside-TiO2-Doped Chitosan Oligosaccharide Molecularly Imprinted Polymers. Arab. J. Chem. 2023, 16, 105130. [Google Scholar] [CrossRef]
- Ezati, N.; Abdouss, M.; Rouhani, M.; Kerr, P.G.; Kowsari, E. Novel Serotonin Decorated Molecularly Imprinted Polymer Nanoparticles Based on Biodegradable Materials; A Potential Self-Targeted Delivery System for Irinotecan. React. Funct. Polym. 2022, 181, 105437. [Google Scholar] [CrossRef]
- Gagliardi, M.; Bertero, A.; Bifone, A. Molecularly Imprinted Biodegradable Nanoparticles. Sci. Rep. 2017, 7, 40046. [Google Scholar] [CrossRef]
- Kassem, S.; Piletsky, S.S.; Yesilkaya, H.; Gazioglu, O.; Habtom, M.; Canfarotta, F.; Piletska, E.; Spivey, A.C.; Aboagye, E.O.; Piletsky, S.A. Assessing the In Vivo Biocompatibility of Molecularly Imprinted Polymer Nanoparticles. Polymers 2022, 14, 4582. [Google Scholar] [CrossRef] [PubMed]
- Bărăian, A.-I.; Iacob, B.-C.; Bodoki, A.E.; Bodoki, E. In Vivo Applications of Molecularly Imprinted Polymers for Drug Delivery: A Pharmaceutical Perspective. Int. J. Mol. Sci. 2022, 23, 14071. [Google Scholar] [CrossRef] [PubMed]
- Kitayama, Y.; Yamada, T.; Kiguchi, K.; Yoshida, A.; Hayashi, S.; Akasaka, H.; Igarashi, K.; Nishimura, Y.; Matsumoto, Y.; Sasaki, R.; et al. In Vivo Stealthified Molecularly Imprinted Polymer Nanogels Incorporated with Gold Nanoparticles for Radiation Therapy. J. Mater. Chem. B 2022, 10, 6784–6791. [Google Scholar] [CrossRef]
- Chenthamara, D.; Subramaniam, S.; Ramakrishnan, S.G.; Krishnaswamy, S.; Essa, M.M.; Lin, F.H.; Qoronfleh, M.W. Therapeutic Efficacy of Nanoparticles and Routes of Administration. Biomater. Res. 2019, 23, 1–29. [Google Scholar] [CrossRef]
- Kheiri, K.; Sohrabi, N.; Mohammadi, R.; Amini-Fazl, M.S. Preparation and Characterization of Magnetic Nanohydrogel Based on Chitosan for 5-Fluorouracil Drug Delivery and Kinetic Study. Int. J. Biol. Macromol. 2022, 202, 191–198. [Google Scholar] [CrossRef]
- Saboury, A.; Mohammadi, R.; Javanbakht, S.; Ghorbani, M. Doxorubicin Imprinted Magnetic Polymethacrylamide as a PH-Sensitive Anticancer Nanocarrier. J. Drug Deliv. Sci. Technol. 2023, 79, 103998. [Google Scholar] [CrossRef]
- Parisi, O.I.; Ruffo, M.; Malivindi, R.; Vattimo, A.F.; Pezzi, V.; Puoci, F. Molecularly Imprinted Polymers (MIPs) as Theranostic Systems for Sunitinib Controlled Release and Self-Monitoring in Cancer Therapy. Pharmaceutics 2020, 12, 41. [Google Scholar] [CrossRef] [PubMed]
- Bodoki, A.E.; Iacob, B.-C.; Bodoki, E. Perspectives of Molecularly Imprinted Polymer-Based Drug Delivery Systems in Cancer Therapy. Polymers 2019, 11, 2085. [Google Scholar] [CrossRef]
- Yilmaz, E.G.; Küçük, B.N.; Aslan, Y.; Erdem, Ö.; Saylan, Y.; Inci, F.; Denizli, A. Theranostic Advances and the Role of Molecular Imprinting in Disease Management. iScience 2025, 28, 112186. [Google Scholar] [CrossRef] [PubMed]
- Nasiriani, T.; Javanbakht, S.; Shaabani, A.; Kazeminava, F. Gelatin-Based Carbon Quantum Dot-Molecularly Imprinted Polymer: Safe Photoluminescent Core-Shell Nano-Carrier for the PH-Responsive Anticancer Drug Delivery. Int. J. Biol. Macromol. 2024, 278, 134669. [Google Scholar] [CrossRef] [PubMed]
- Paul, P.K.; Nopparat, J.; Nuanplub, M.; Treetong, A.; Suedee, R. Improvement in Insulin Absorption into Gastrointestinal Epithelial Cells by Using Molecularly Imprinted Polymer Nanoparticles: Microscopic Evaluation and Ultrastructure. Int. J. Pharm. 2017, 530, 279–290. [Google Scholar] [CrossRef] [PubMed]
- Taha, D.E.; Kabel, A.M.; Yassin, A.I.; Abdin, A.A. The Potential Mitigating Effect of Febuxostat Alone or with Donepezil on Scopolamine-Induced Alzheimer’s Disease in Rats: The Role of TXNIP/NLRP3 Inflammasome Signaling Pathway. Eur. J. Pharmacol. 2025, 1002, 177875. [Google Scholar] [CrossRef]
- Parviz, G.; Guler, E.; Hazar-Yavuz, A.N.; Yekeler, H.B.; Tatar, E.; Kocar, F.; Sermet, S.; Asghar, A.; Wang, X.; Ikram, F.; et al. Characterization and Anti-Alzheimer’s Effect of Donepezil-Loaded Chitosan/Polyethylene Glycol Nanospheres. J. Drug Deliv. Sci. Technol. 2025, 108, 106887. [Google Scholar] [CrossRef]
- Figueiredo, E.C.; Seabra, C.L.; Mendes, T.V.; Rosa, M.A.; Pinho, C.D.L.N.; de Oliveira Figueiredo, D.M.; Boralli, V.B.; Junior, M.K.A.; de Lima, M.E.T.; Reis, S. Molecularly Imprinted Nanoparticles as Drug Carriers to the Brain. J. Mater. Sci. 2023, 58, 17578–17593. [Google Scholar] [CrossRef]
- Lamaoui, A.; Lahcen, A.A.; Amine, A. Unlocking the Potential of Molecularly Imprinted Polydopamine in Sensing Applications. Polymers 2023, 15, 3712. [Google Scholar] [CrossRef]
- Khaneghah, S.S.; Sohrabi, N.; Mohammadi, R. Synthesis and Characterization of Magnetic Molecularly Imprinted Polymer of Polydopamine/Graphene Oxide as Drug Carrier for Rivastigmine. J. Mol. Liq. 2023, 391, 123238. [Google Scholar] [CrossRef]
- Trotta, F.; Caldera, F.; Cavalli, R.; Soster, M.; Riedo, C.; Biasizzo, M.; Uccello Barretta, G.; Balzano, F.; Brunella, V. Molecularly Imprinted Cyclodextrin Nanosponges for the Controlled Delivery of L-DOPA: Perspectives for the Treatment of Parkinson’s Disease. Expert Opin. Drug Deliv. 2016, 13, 1671–1680. [Google Scholar] [CrossRef]
- Ma, W.; Li, S.; Chen, L.; Sun, J.; Yan, Y. Core–Shell Thermal-Responsive and Magnetic Molecularly Imprinted Polymers Based on Mag-Yeast for Selective Adsorption and Controlled Release of Tetracycline. J. Iran. Chem. Soc. 2017, 14, 209–219. [Google Scholar] [CrossRef]
- Prusty, K.; Patra, S.; Swain, S.K. Nano ZnO Imprinted Dextran Hybrid Poly (N-Isopropylacrylamide)/Poly Ethylene Glycol Composite Hydrogels for in Vitro Release of Ciprofloxacin. Mater. Today Commun. 2021, 26, 101869. [Google Scholar] [CrossRef]
- Zhang, L.-P.; Tan, X.-X.; Huang, Y.-P.; Liu, Z.-S. Floating Liquid Crystalline Molecularly Imprinted Polymer Coated Carbon Nanotubes for Levofloxacin Delivery. Eur. J. Pharm. Biopharm. 2018, 127, 150–158. [Google Scholar] [CrossRef]
- Arıkan, C.; Çalışır, M.; Erkek, M.; Denizli, A.; Bereli, N. Design and Characterization of Nasal Release System Using Ritonavir-Imprinted PHEMA Nanoparticles. J. Biomater. Sci. Polym. Ed. 2025, 0, 1–16. [Google Scholar] [CrossRef]
- Li, Y.; Luo, L.; Kong, Y.; Li, Y.; Wang, Q.; Wang, M.; Li, Y.; Davenport, A.; Li, B. Recent Advances in Molecularly Imprinted Polymer-Based Electrochemical Sensors. Biosens. Bioelectron. 2024, 249, 116018. [Google Scholar] [CrossRef] [PubMed]
- Lamaoui, A.; Mani, V.; Durmus, C.; Salama, K.N.; Amine, A. Molecularly Imprinted Polymers: A Closer Look at the Template Removal and Analyte Binding. Biosens. Bioelectron. 2024, 243, 115774. [Google Scholar] [CrossRef] [PubMed]
- Lowdon, J.W.; Diliën, H.; Singla, P.; Peeters, M.; Cleij, T.J.; van Grinsven, B.; Eersels, K. MIPs for Commercial Application in Low-Cost Sensors and Assays—An Overview of the Current Status Quo. Sens. Actuators B Chem. 2020, 325, 128973. [Google Scholar] [CrossRef]










| Target Drug/Property | Extraction Material | Extraction Technique | Analytical Method | Linear Range | Matrix | Recovery (%) | Ref. |
|---|---|---|---|---|---|---|---|
| Cefaclor and cefalexin/Antibiotics | Fe3O4@c-CNTs@MIP | SBSE | HPLC-DAD | 20–320 ng/mL for cefaclor, 15–240 ng/mL for cefalexin | Lake water | 86.5–98.6 | [94] |
| Phenytoin sodium/Antiepileptic drug | Fe3O4@MIL-101(Cr) nanoparticles | MSPE | HPLC-UV | 0.05–40 µg/mL | Plasma | 89.2–94.3 | [95] |
| Tramadol/Opioid analgesic | Fe3O4@SiO2@MIP | MSPE | CE capillary electrophoresis | 100–3000 ng/mL | Plasma | Close to 100 | [96] |
| Sunitinib/Cancer drug | Magnetic molecularly imprinted nanofibers | MSPE | Fluorescence spectroscopy | 0.01–15.0 mg/L | Serum and capsule | 94.0–99.0 | [97] |
| Oxycodone/Narcotic analgesic | MIP@MGO/CDs NPs | UA-DSPME | HPLC-UV | 1–2000 ng/mL | Urine | 92.5–103.20 | [98] |
| Valsartan/Angiotensin II receptor blocker | Fe3O4@SiO2-MPS@MIP | DMSPME | UV-Vis | 10–100 µg/L | Plasma and urine | 100.83–102.02 | [99] |
| Atorvastatin/Statins | Fe3O4@MIP nanoparticles | VA-DMSPME | HPLC-UV | 0.5–900 ng/mL | Urine | 90.50–97.70 | [100] |
| Sulfathiazole/Veterinary drugs | Fe3O4@MIP nanoparticles | SS-MSPME | HPLC-UV | 5–400 ng/mL | Milk | 90.74–94.11 | [101] |
| Capecitabine/Cancer drug | pH-sensitive magnetic MIP@chitosan nanoparticles | UA-DMSPME | HPLC-UV | 5–2000 ng/mL | Plasma | 93.41–102.50 | [102] |
| Quinolones, Tetracyclines, and sulfonamides/Antibiotics | Deep eutectic solvents@UMCM-1MOF/MIP | SPME | HPLC-UV | 5.0–1400 µg/L | Meat and dairy products | 95.1–100.0 | [103] |
| Fluoxetine/Antidepressant drug | Magnetic chitosan/graphene oxide@MIP | MSPE | Fiber optic linear array spectrophotometry | 0.8–10.0 µg/L | Water, urine | 95.7–104.0 | [104] |
| Oxytetracycline/Antibiotic | Fe3O4@SiO2@Thermosensitive MIP | MSPE | Fluorescence spectrometry | 0.2–60 µg/L | Ice Tea, Jasmine Tea, and Green Tea | 94.2–104.9 | [105] |
| Sulfamethoxazole/Antibiotic | Fe3O4/MIP | UA-DMSPME | HPLC-UV | 7–900 ng/mL | River, Spring, and Tap Waters | 94.2–98.2 | [106] |
| Target | Material | Linear Range | LOD | Detection | Ref. |
|---|---|---|---|---|---|
| Chloramphenicol | Fe3O4@MIP | 0.0125–0.1 nM | 0.004 nM | SERS | [128] |
| Ciprofloxacin | ZnFe2O4@SiO2@Au-MIPs Nanocomposites | 10−9–10−4 M | 10−9 M | SERS | [129] |
| Ofloxacin | Carbon Quantum Dots/Eu3+@MIP | 0.83–40 nM | 0.25 nM | Fluorescence | [130] |
| Amoxicillin | N/S co-doped CDs@MIP | 5.8–200 ng/mL | 1.17 ng/mL | Fluorescence | [131] |
| Quercetin | Fe3O4@GQDs/MIP | 5–220 ng/mL | 0.54 ng/mL | Fluorescence | [132] |
| Amoxicillin | SPR nanosensor | 0.1–200 ng/mL | 0.0009 ng/mL | SPR | [133] |
| Methamphetamine | AuNPs@MIP | 1.67–167.5 µM | 0.66 µM | SPR | [134] |
| Cocaine | Polymeric nanofilm | 0.2–100 µg/mL | 0.1 µg/mL | SPR | [135] |
| Benzylpenicillin | MIP-GO SPR | 1–100 ng/mL | 0.021 ng/mL | SPR | [136] |
| Etoposide | Ag@AuNPs@hexagonal boron ni- tride@MIP | 1.70 × 10−12–1.70 × 10−9 M | 4.25 × 10−13 M | SPR | [137] |
| Target | Material | Linear Range | LOD | Detection | Ref. |
|---|---|---|---|---|---|
| Losartan | rGO@AA@MIP paper-based sensor | 8.5 × 10−7–6.9 × 10−2 M | 2.7 × 10−7 M | Potentiometry | [159] |
| Amiodarone | Fe3O4@PAN@MIPs | 0.3–5 µg/mL for blood and 2–10 µg/mL for plasma | 0.01 µg/mL for blood and 0.4 µg/mL for plasma | CV | [160] |
| Fluoxetine | ZnO-MAPA@MIP/GCE | 1.0 × 10−11–1.0 × 10−10 M | 2.67 × 10−12 M | DPV | [161] |
| Lurasidone hydrochloride | PVC/VP/MIP/MWCNTs/SPEd | 10−4–10−8 M | 10 nM | Potentiometry | [162] |
| Chlorpromazine | MIP/pTHi/Ni-MOF/Fe- MOF-5/AuNPs/GCE | 0.001–900 μM | 0.025 µM | SWV | [163] |
| Ruxolitinib | GCE/MIP@PHEMA-ThyM | 0.01–0.1 pM | 0.00191 pM | DPV | [164] |
| Dasatinib | MATyr-CNF@MIP/GCE | 1.0 × 10−14–1.0 × 10−13 M | 1.76 × 10−15 | DPV | [165] |
| Bortezomib | CuNFs/AMPS/MIP-GCE | 0.25–2.5 pM | 29 fM | DPV | [166] |
| Daclatasvir | AA/MIP/AgNPs/GO/CPE | 10−8–10−2 M | 6.9 nM | Potentiometry | [167] |
| Favipiravir | PCD-MIP/PGE | 5.0 × 10−6–5.0 × 10−5 M and 7.0 × 10−5–1.0 × 10−3 M | 1.67 µM | DPV | [168] |
| Tenofovir | 2-AP/MIP/Pt@g-C3N4/F-MWCNTs/SPEd | 0.005–0.69 µM | 0.0030 µM | DPV | [169] |
| Umifenovir | B3N3/BuMA@MIP/GCE | 0.50–7.50 pM for DPV, and 0.25–5.00 pM for EIS | 48.20 fM for DPV, and 23.40 fM for EIS | DPV and EIS | [170] |
| Alfuzosin and Solifenacin | MIP/nanoPANI/CPE | 10−6–10−2 M for alfuzosin, 10−7–10−2 M for solifenacin | 7.9 × 10−7 M for alfuzosin, 8.9 × 10−8 M for solifenacin | Potentiometry | [171] |
| Erythromycin | SPEd/f MWCNTs/PANI/MIP/ERY-ISE | 4.6 × 10−6–1.0 × 10−3 M | 9.6 × 10−7 M | Potentiometry | [172] |
| Cefdinir | 4-ABA@ZnONPs/MIP/GCE | 7.5–100 pM | 2.06 pM | EIS | [173] |
| Norfloxacin | MIP/PEDOT/GCE | 2 nM–21.11 µM | 173 pM | DPV | [174] |
| Ofloxacin | UiO-66-NH2/CNTs-2@o-PD/MIP/ITO | 0.1 nM–20 nM | 0.03 nM | CV | [175] |
| Cocaine | MIP NPs@AAm | 10−9–10−3 M | - | Potentiometry | [176] |
| 3,4-methylenedioxypyrovalerone | Dopamine@MIP@MnInPSeS QDs/SPCE | 6 nM–600 μM | 0.28 nM | DPV | [177] |
| Template | Monomer, Crosslinker, Initiator | Loading Efficiency | Release Efficiency | Cell Viability | Ref |
|---|---|---|---|---|---|
| Olanzapine | MPS, Methacrylated fructose, AIBN | 89.0% | -, 216 h, pH 4.0 | More than 90%, 5 days | [191] |
| Sodium thiopental | MAA, EGDMA, AIBN | 393.8 ± 1.328% | 57.7%, 78 h, pH 7.4 | - | [200] |
| Irinotecan | 2-N,2-N-diethyl-6-prop-1-en-2-yl-1,3,5-triazine-2,4-diamine, methacrylated fructose, AIBN | 95 mg/g | 83.2%, 7 days, pH 5.2 | More than 90%, 72 h | [208] |
| 5-Fluorouracil | AA, Glutaraldehyde, APS | 89.3% | More than 40%, 48 h | - | [214] |
| Doxorubicin | Methacrylamide, MBA, APS | 51.2% | More than 80%, 70 h, pH 5 | More than 85%, 48 h | [215] |
| Sunitinib | MAA, EGDMA, AIBN | 87.2% | 79%, 24 h, pH 7.4 | - | [216] |
Disclaimer/Publisher’s Note: The statements, opinions and data contained in all publications are solely those of the individual author(s) and contributor(s) and not of MDPI and/or the editor(s). MDPI and/or the editor(s) disclaim responsibility for any injury to people or property resulting from any ideas, methods, instructions or products referred to in the content. |
© 2025 by the author. Licensee MDPI, Basel, Switzerland. This article is an open access article distributed under the terms and conditions of the Creative Commons Attribution (CC BY) license (https://creativecommons.org/licenses/by/4.0/).
Share and Cite
Büyüktiryaki, S. Molecularly Imprinted Polymer Nanoparticles for Pharmaceutical Applications: Sample Preparation, Sensor-Based Detection, and Controlled Drug Release. Polymers 2025, 17, 2283. https://doi.org/10.3390/polym17172283
Büyüktiryaki S. Molecularly Imprinted Polymer Nanoparticles for Pharmaceutical Applications: Sample Preparation, Sensor-Based Detection, and Controlled Drug Release. Polymers. 2025; 17(17):2283. https://doi.org/10.3390/polym17172283
Chicago/Turabian StyleBüyüktiryaki, Sibel. 2025. "Molecularly Imprinted Polymer Nanoparticles for Pharmaceutical Applications: Sample Preparation, Sensor-Based Detection, and Controlled Drug Release" Polymers 17, no. 17: 2283. https://doi.org/10.3390/polym17172283
APA StyleBüyüktiryaki, S. (2025). Molecularly Imprinted Polymer Nanoparticles for Pharmaceutical Applications: Sample Preparation, Sensor-Based Detection, and Controlled Drug Release. Polymers, 17(17), 2283. https://doi.org/10.3390/polym17172283
