Polysaccharide-Based Nanocarriers for Natural Antimicrobials: A Review
Abstract
1. Introduction
2. Natural Polysaccharides for Nanocarrier Fabrication
| Biopolymer | Advantages | Disadvantages | Ref. and Pub. Year |
|---|---|---|---|
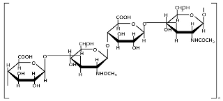
| Chitosan |
|
| [51,55,58,59,120,121] 2023, 2023, 2023, 2024, 2022, 2025 |
| Alginate |
|
| [60,62,67,69,122,123] 2021, 2012, 2022, 2024, 2022, 2022 |
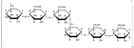
| Cellulose |
|
| [42,78,79,80,124,125] 2020, 2021, 2015, 2023, 2022, 2022 |
| Hemicellulose and xylan |
|
| [86,92,93,95,126,127] 2024, 2020, 2021, 2023, 2021, 2024 |
| Starch |
|
| [115,116,117,118,119] 2020, 2023, 2022, 2015, 2024 |
| Pectin |
|
| [128,129,130,131,132,133] 2023, 2015, 2008, 2021, 2023, 2022 |
| Gums |
|
| [134,135,136,137] 2020, 2023, 2019, 2025 |
| Carrageenan |
|
| [138,139,140,141,142,143,144,145,146] 2021, 2022, 2021, 2017, 2017 2001, 2023, 2013, 2017 |
| Dextran |
|
| [43,147,148,149,150,151] 2023, 2022, 2016, 2022, 2023, 2020 |
| Pullulan |
|
| [152,153,154,155,156,157,158,159,160] 2022, 2021, 2021, 2016, 2016, 2013, 2023, 2023, 2025 |
| Hyaluronic acid |
|
| [161,162,163,164,165,166] 2020, 2022, 2024, 2024, 2021, 2022 |
3. Methods of Synthesis for Polysaccharide-Based Nanocarriers
4. Polysaccharide-Based Nanocarriers for Plant-Derived Antimicrobials
| Active Component | Nanocarrier | Composition | Formulation Method | Antimicrobial Activity | Ref. and Pub. Year |
|---|---|---|---|---|---|
| Tea water extract (TPS) | Chitosan | Chitosan (85% DA, MW 27 kDa, 250 mg/100 mL) TPS (2.5 mg/mL) | Complex coacervation | Against P. grisea, X. oryzae | [233] 2024 |
| Lavendula angustifolia water extract | Chitosan (1% w/v) Ratio to extract (1:1) | Self-assembling | Suppressed P. aeruginosa, S. aureus, and C. albicans biofilm formation | [235] 2023 | |
| Martynia annua leaves ethanol extract | Chitosan (1% w/v) Ratio to extract (1:1) | Considerable antibacterial activity in order of B. fragilis > S. oralis > P. acnes > P. aeruginosa > S. aureus > E. coli > B. cereus > S. mutans > A. hydrophila > S. faecalis | [236] 2022 | ||
| Clove essential oil (CEO) | Chitosan (75–85% DA, MW 50–190 kDa, 1% w/v) Ratios to CEO (1:0, 1:0.25, 1:0.5, and 1:1) Sodium tripolyphosphate (TPP) | Oil-in-water emulsification followed by ionic gelation | Against L. monocytogenes, S. aureus, S. typhi, and E. coli | [229] 2020 | |
| Guava leaves essential oil (GLEO) | Chitosan (75% DA, MW 50 kDa, 1% w/v) Ratio to GLEO (1:1) TPP | Against K. pneumoniae | [230] 2020 | ||
| Curcumin | Chitosan (1 mg/mL) Curcumin stock (1 mg/mL) in ethanol TPP (1 mg/mL) | Ionic gelation | Against S. aureus and P. aeruginosa | [247] 2014 | |
| Resveratrol | Chitosan (75–85% DA, MW 50–190 kDa, 2 mg/mL) Resveratrol stock (5 mg/mL) in ethanol Ratio (1:5) TPP (1 mg/mL) | Against H. pylori | [238] 2024 | ||
| Grape pomace extract | Chitosan (low molecular weight) Grape pomace extract TPP (1 mg/mL) | 6-log reduction in C. albicans, 5-log reduction in MSSA, a 3-log reduction in L. monocytogenes and P. aeruginosa, and a 1-log reduction in E. coli and S. enteritidis | [234] 2021 | ||
| Grape pomace extract | Alginate | Sodium alginate Grape pomace extract Calcium chloride (2 mg/mL) | Ionic gelation | 6-log reduction in C. albicans, 3-log reduction in MSSA, a 2-log reduction in L. monocytogenes, P. aeruginosa, and S. enteritidis, and 1-log reduction in E. coli | [234] 2021 |
| Cuminum cyminum and Zataria multiflora EOs | Alginate solution (0.25% w/v) EO (0.25% w/v) Calcium chloride (0.04–0.05%) | Oil-in-water emulsification followed by ionic gelation | Superior efficacy for NPs containing Z. multiflora EO against E.coli, P.aeruginosa, and S. aureus | [231] 2024 | |
| Lemon EO | Alginate Myristic acid Ethylene carbo-di-imide hydrochloride (EDC) N-hydroxysuccinimide (NHS) Addition of EO in drop-wise manner | Emulsification and cross-linking | Inhibit multidrug-resistant (MDR) isolates of Acinetobacter baumannii | [232] 2025 | |
| Oregano EO | Chitosan Alginate | Chitosan (MW 110–150 kDa) Alginate (very low viscosity) Calcium chloride Oregano EO | Oil-in-water emulsification followed by pre-ionic gelation of alginate and coacervation with chitosan | Against S. aureus | [243] 2022 |
| O. sanctum methanolic extract | Sodium alginate solution (0.06%, w/v) Calcium chloride (18 mM) Chitosan solution (0.05%, w/v) Methanolic extract of O. sanctum | Pre-ionic gelation of alginate followed by chitosan coacervation | Against E. coli, P. aeruginosa, B. cereus, and S. aureus | [244] 2013 | |
| Curcumin | Sodium alginate (3%) Chitosan (75–85% DA, low MW) Ratio (5:4) Curcumin dissolved in ethanol | Coacervation | Mild activity against S. aureus, B. subtilis, and E. aerogenes | [248] 2024 | |
| Terminalia arjuna (arjuna), Azadirachta indica (neem), Withania somnifera (ashwagandha), Tinospora cordifolia (giloy), Murraya koenigii (curry leaves) extracts | Bacterial Nanocellulose (BNC) | BNC Extracts (20% w/v in water) | Ex situ modification of BNC by simple dipping method | Against E. coli and A. viridans | [249] 2020 |
| Curcumin | BNC Curcumin and curcumin degradation products (0.05, 0.1, and 0.5 mg/mL) | Loaded from aqueous solution during autoclaving | Against S. epidermidis and E. coli | [250] 2020 | |
| Cell cultures of Chelidonium majus | BNC C. majus cells | C. majus cells were cultured in vitro on BNC matrices in liquid media, followed by enzymatic digestion and purification | Against S.aureus, P. aeruginosa, and C. albicans | [251] 2022 | |
| Peppermint (PM), Cinnamon (CN) and lemongrass (LG) EOs | Cellulose Acetate (CA) | CA (acetyl content of 39.8%, MW 30 kDa, 1% w/v) EO in acetone (0.5% v/v) | Nanoprecipitation by solvent/anti-solvent technique EOs were grafted on cellulose acetate molecules | CA/CN significantly inhibited growth of S. aureus, E. coli, P. aeruginosa, and C. albicans | [252] 2018 |
| Thymol | Cellulose Nanofibrils (CNFs) | CNFs Thymol (200 mg) | Impregnation with thymol in scCO2 | Against E. coli, S. epidermidis, and C. albicans | [253] 2020 |
| Curcumin | Xylan | Xylan (0.132 g, 1 mmol) Curc-monosuccinate (0.864 g, 2 mmol) DMSO N, N’-dicyclohexylcarbodiimide (DCC, 0.412 g, 2 mmol) 4-Dimethylaminopyridine (DMAP, 0.116 g, 1 mmol) Precipitation in ethanol/ethyl ether (1:1 v/v) | Conjugation followed by precipitation | No data | [254] 2018 |
| Menthone, oregano, cinnamon, lavender, and citral EOs | Starch | Debranched starch (1% w/v in water) EOs (250 µL dissolved in 20 mL hot ethanol) | Precipitation and freeze drying | Better antimicrobial activity against S. aureus than E. coli | [255] 2017 |
| Triphala Churna (TC) extract | Heating soluble starch (5 g) in 0.4 M NaOH Addition of 0.3% of TC and acetone | Precipitation and graft copolymerization | Antibacterial activity against S. typhi and S. dysenteriae; antibiofilm activity against ATCC MRSA 33591 and clinical strain N7 | [256] 2020 | |
| Linalyl acetate | Corn starch (2 wt%) Mixture of 1 M sodium hydroxide and 1 M urea, volume ratio 1:2 Linalyl acetate (1.5 wt%) Tween 80 Ethanol was used as anti-solvent (1:15 ratio to solvent) | Nanoprecipitation by solvent/anti-solvent technique | Promote wound healing | [257] 2025 | |
| Curcumin | Cinnamic acid-esterified debranched starch Curcumin | Additional π-π interactions provided from cinnamic acid | Biofilm scavenging ability, superior antibacterial effects | [258] 2022 | |
| Quercetin | Pea, corn and potato starches (20 mg/mL) and quercetin (2 mg/mL) dissolved in NaOH/urea/H2O Ratio (0.8:1:98.2 by weight) 0.1 M HCl | Nanoprecipitation | No data | [259] 2018 | |
| Rutin | Quinoa and maize starch suspensions (1.5%) preheated (80 °C) in 0.1 M NaOH solution Rutin (1.5%) dissolved in ethanol Ratio (1:10) | Ultrasonication | [260] 2021 | ||
| Flavonoids of citrus peel extracts (CPE) | Pectin | Pectin water solution CPE ethanol extract Calcium chloride | Ionic gelation | No data | [261] 2017 |
| Quercetin | Pectin Chitosan | Chitosan (80% DA, MW 190–300 kDa, 1% w/v) TPP Quercetin dehydrate Pectin Calcium chloride | [240] 2022 | ||
| Anthocyanins (ANCs) | Chitosan (95% DA, MW 300 kDa, 1% w/v) ANCs (1–4% w/v) Pectin (MD 30%, 5% w/v) Mass ratio of chitosan/pectin/anthocyanin (1:1:3) | Coacervation | [241] 2020 | ||
| Lippia sidoides EO | Chitosan Cashew Gum | Gum (MW 110 kDa, 5%) Chitosan (75% DA, MW 180 kDa) Ratio (1:1) Polymer matrix/EO (10:2) | Complex coacervation | Against St. Aegypti larvae | [242] 2012 |
| Saffron extract | Chitosan Arabic Gum | Chitosan (DA > 75%, MW 50–180 kDa, 1–10 mg/mL) Gum arabic (MW 295–1860 kDa, 1–5 mg/mL) Saffron (5–15 mg/mL) | No data | [262] 2019 | |
| L. sidoide EO | Alginic Acid Sodium Salt Cashew Gum | Alginate (low viscosity, MW 54 kDa) Cashew gum (MW 110 kDa) Relative ratios of alginate/gum (1:3, 1:1, and 3:1) Blend/oil ratio (10:1, w/w) Calcium chloride (0.5%, w/w) | Ionic gelation followed by spray drying | [263] 2014 | |
| Curcumin | Prunus armeniaca Gum (PAGE) | PAGE solution in water Ethanolic solution of curcumin (400 μL, 10 mg/mL) Calcium chloride-to-mixture ratio (1:1) | Ionic gelation | Against S. aureus and E. coli | [264] 2021 |
| Quercetin | PAGE Quercetin Calcium chloride | Significant decline in bacterial load | [265] 2024 | ||
| D-limonene (DL, R-(+)-Limonene) | Carrageenan | Carrageenan (sulfate content around 27% w/w, MW 672 ± 32 kDa) DL | Electrospray | No data | [266] 2022 |
| Curcumin | Carrageenan (0.15% and 0.44% in 0.5 mL/L NaCl aqueous solution) Curcumin ethanolic solution (100 mg/mL and 10 mg/mL) | Self-assembling | [139] 2022 | ||
| Grapefruit seed extract and cinnamon oil (GCN) | Chitosan Carrageenan | Chitosan Carrageenan GCN | Complex coacervation | Against Streptococcus mutans and sobrinus | [267] 2023 |
| Quercetin | Modified Dextran | Grafted dextran with L-cysteine and octadecylamine onto carboxymethyl dextran Quercetin | Self-assembling | No data | [268] 2023 |
| Eucalyptus staigeriana EO | Dextran Sulfate Chitosan | Dextran sulfate Chitosan Aloe Vera Eucalyptus staigeriana EO | Formation of hydrogel | Inhibited bacteria growth | [269] 2023 |
| α-Tocopherol | Dextran sulfate (MW 15 kDa) Chitosan (95%DA) α-Tocopherol Lecithin | Multi-layer nanoemulsions | No data | [270] 2024 | |
| Curcumin | Dextran sulfate (MW > 500 kDa, 0.1 wt%) Chitosan (DA > 75%, low MW, 0.1 wt%) Volume ratio of 3:2 Curcumin (2 mg) was loaded into NPs in 5 wt% of polymer | Complex coacervation | [271] 2011 | ||
| Naringenin | Dextran sulfate (MW 500 kDa, 0.1 wt%) Chitosan (DA > 75%, 0.1 wt%) Volume ratio (3:2) Naringenin (2 mg/mL) was equal to 5% weight of polymers | [272] 2021 | |||
| Clove extract | Pullulan Whey | Pullulan (20% w/w) Whey (20% w/w) Pullulan: whey protein ratios (100:0 w/w, 50:50 w/w, and 25:75 w/w) Clove extract (5% w/w) | Electrospinning | Against S. aureus and M. luteus | [273] 2022 |
| Resveratrol | Pullulan | Pullulan Resveratrol | Surface-functionalized with the ligand n-acetyl glucosamine | No data | [274] 2025 |
| Tannic acid | Pullulan Chitosan | Pullulan (18 wt%) Chitosan (DA 75–85%, MW 50–190 kDa, 3 wt%) Tannic acid (1 wt%) | Force-spinning | Against E.coli | [275] 2015 |
| Curcumin | Pullulan Hyaluronic Acid (HA) | Succinylated pullulan (SPu, 200 kDa, 400 mg) HA (5.4 kDa, 0.528 mmol disaccharide repeat unit) DMAP (0.106 mmol) EDC (0.528 mmol) Formamide Curcumin Mass ratios Cur/HA-SPu (1/5, 1/10, 1/15) | Conjugation | Against E. coli and S. aureus | [276] 2020 |
| Olive leaf extract (OLE) | Hyaluronic Acid Silk Fibroin (SF) | SF (15% w/v in formic acid) HA (0.5% w/v in distilled water) OLE (12 and 15% w/v) | Electrospinning | Perfect antibacterial activities against both Gram-negative and Gram-positive bacteria, while antifungal activity against C. albicans was rather poor | [277] 2016 |
| Curcumin | Pluronic Chitosan Hyaluronic Acid | Pluronic Chitosan (DA 97%, MW 1–3 kDa) HA Triethanolamine (TEA) DMAP | Conjugation and nebulisation | No data | [278] 2021 |
| Curcumin (CUR) and resveratrol (REV) | Hyaluronic Acid Chitosan | Chitosan (0.1% w/v) 1 mg of each CUR and REV is dissolved into 70:30 ratio of ethanol and water TPP (0.1% v/v) HA (0.01–0.05% w/v) | Ionic gelation followed coacervation | [279] 2020 | |
| Quercetin | Hyaluronic Acid | HA sodium salt solution (0.5% w/v, MW 200 kDa) DMSO (1:1 v/v ratio) Glutaraldehyde (5% v/v) HCl Quercetin (34 µmol) in phosphate buffer containing 10% v/v of ethanol | Nanoprecipitation with solvent–non solvent method and cross-linking | [280,281] 2017 2018 | |
| Tannic acid (TA) | Sodium Hyaluronate (HA) | HA (MW 44 KDa (low), 375 kDa (medium) and 737 kDa (high), 10 mg/mL) 4-(4,6-dimethoxy-1,3,5-triazin-2-yl)-4-methylmorpholinium chloride (DMTMM, 404 μmol) 3-aminophenylboronic acid hydrochloride (3-APBA∙HCl, 91 μmol) HA-APBA (2 mg/mL) TA water solution (28, 56, 112, 224, or 448 μg/mL) | Cross-linking (Catechol/Boronate complexation) | Against E. coli, MSSA, and MRSA | [282] 2016 |
5. Polysaccharide-Based Nanocarriers for Microbial-Derived Antimicrobials
6. Polysaccharide-Based Nanocarriers for Animal-Derived Antimicrobial Proteins and Peptides
7. Conclusions
Author Contributions
Funding
Institutional Review Board Statement
Data Availability Statement
Conflicts of Interest
Abbreviations
| PLA | Polylactic acid |
| PHA | Polyhydroxyalkanoates |
| PLGA | Poly(lactide-co-glycolide) |
| PCL | Poly(caprolactone) |
| TPS | Tea water extract |
| DA | Deacetylation degree |
| MW | Molecular weight |
| CEO | Clove essential oil |
| GLEO | Guava leaves essential oil |
| TPP | Sodium tripolyphosphate |
| MSSA | Methicillin-susceptible S. aureus |
| EDC | Ethylene carbo-di-imide hydrochloride |
| NHS | N-hydroxysuccinimide |
| MDR | Multidrug-resistant |
| EO | Essential oil |
| BNC | Bacterial nanocellulose |
| CA | Cellulose acetate |
| PM | Peppermint |
| CN | Cinnamon |
| LG | Lemongrass |
| CNFs | Cellulose nanofibrils |
| DCC | N, N’-dicyclohexylcarbodiimide |
| DMAP | 4-Dimethylaminopyridine |
| TC | Triphala Churna |
| MRSA | Methicillin-resistant S. aureus |
| CPE | Citrus peel extracts |
| ANCs | Anthocyanins |
| MD | Methylation degree |
| PAGE | Prunus armeniaca gum exudates |
| DL | D-limonene |
| GCN | Grapefruit seed extract and cinnamon oil |
| SPu | Succinylated pullulan |
| HA | Hyaluronic acid |
| OLE | Olive leaf extract |
| SF | Silk fibroin |
| TEA | Triethanolamine |
| DMTMM | 4-(4,6-dimethoxy-1,3,5-triazin-2-yl)-4-methylmorpholinium chloride |
| 3-APBA∙HCl | 3-aminophenylboronic acid hydrochloride |
| DS | Degree of substitution |
| TONFC | 2,2,6,6-tetramethyl-1-piperidinyloxyl-oxidized nanofibrillated cellulose |
| HCNF | Holocellulose nanofibrils |
| DAC | Dialdehyde HCNF |
| HMP | High-methoxyl pectin |
| LMP | Low-methoxyl pectin |
| DE | Degree of esterification |
| HMPOS | High methoxy pectin oligo-saccharide |
| CMCS | Carboxymethyl chitosan |
| CMC | Carboxymethylcellulose |
| AMP | Antimicrobial peptide |
| CNCs | Cellulose nanocrystals |
| LNFs | Lysozyme nanofibers |
| TEMPO | 2,2,6,6-tetramethyl1-piperidinyloxy |
| STMP | Sodium trimetaphosphate |
| XG | Xanthan gum |
| GA | Gum arabic |
| CRG | κ-carrageenan |
| Ly | Lysozyme |
| LPO | Lactoperoxidase |
| LF | Lactoferrin |
| SBE-β-CD | Sulfobutylether-β-cyclodextrin |
| OVT | Ovotransferrin |
| OVTFs | Ovotransferrin fibrils |
| CP | Citrus pectin |
| SBP | Sugar beet pectin |
| HS-PEG-SH | Dithiol-functionalized poly (ethylene glycol) |
| OSA-HA | Octenyl succinic anhdride-modified hyaluronic acid |
References
- Guedes, B.N.; Krambeck, K.; Durazzo, A.; Lucarini, M.; Santini, A.; Oliveira, M.B.P.P.; Fathi, F.; Souto, E.B. Natural Antibiotics against Antimicrobial Resistance: Sources and Bioinspired Delivery Systems. Braz. J. Microbiol. 2024, 55, 2753–2766. [Google Scholar] [CrossRef] [PubMed]
- Li, S.; Jiang, S.; Jia, W.; Guo, T.; Wang, F.; Li, J.; Yao, Z. Natural Antimicrobials from Plants: Recent Advances and Future Prospects. Food Chem. 2024, 432, 137231. [Google Scholar] [CrossRef] [PubMed]
- Chakraborty, N.; Jha, D.; Roy, I.; Kumar, P.; Gaurav, S.S.; Marimuthu, K.; Ng, O.T.; Lakshminarayanan, R.; Verma, N.K.; Gautam, H.K. Nanobiotics against Antimicrobial Resistance: Harnessing the Power of Nanoscale Materials and Technologies. J. Nanobiotechnol. 2022, 20, 1–25. [Google Scholar] [CrossRef]
- Stan, D.; Enciu, A.M.; Mateescu, A.L.; Ion, A.C.; Brezeanu, A.C.; Stan, D.; Tanase, C. Natural Compounds With Antimicrobial and Antiviral Effect and Nanocarriers Used for Their Transportation. Front. Pharmacol. 2021, 12, 723233. [Google Scholar] [CrossRef]
- Joudeh, N.; Linke, D. Nanoparticle Classification, Physicochemical Properties, Characterization, and Applications: A Comprehensive Review for Biologists. J. Nanobiotechnol. 2022, 20, 262. [Google Scholar] [CrossRef]
- Wang, L.; Hu, C.; Shao, L. The Antimicrobial Activity of Nanoparticles: Present Situation and Prospects for the Future. Int. J. Nanomed. 2017, 12, 1227. [Google Scholar] [CrossRef]
- Alshammari, B.H.; Lashin, M.M.A.; Mahmood, M.A.; Al-Mubaddel, F.S.; Ilyas, N.; Rahman, N.; Sohail, M.; Khan, A.; Abdullaev, S.S.; Khan, R. Organic and Inorganic Nanomaterials: Fabrication, Properties and Applications. RSC Adv. 2023, 13, 13735–13785. [Google Scholar] [CrossRef]
- Mondal, S.K.; Chakraborty, S.; Manna, S.; Mandal, S.M. Antimicrobial Nanoparticles: Current Landscape and Future Challenges. RSC Pharm. 2024, 1, 388–402. [Google Scholar] [CrossRef]
- Popović, S.Z.; Lazić, V.L.; Hromiš, N.M.; Šuput, D.Z.; Bulut, S.N. Biopolymer Packaging Materials for Food Shelf-Life Prolongation. In Handbook of Food Bioengineering, 1st ed.; Grumezescu, A.M., Holban, A.M., Eds.; Academic Press: Cambridge, MA, USA, 2018; Volume 20, pp. 223–277. [Google Scholar] [CrossRef]
- Râpă, M.; Popa, E.E. Biopolymers for Edible Films and Coatings in Food Applications. In Handbook of Biopolymers; Thomas, S., AR, A., Jose Chirayil, C., Thomas, B., Eds.; Springer: Singapore, 2023; pp. 1085–1115. [Google Scholar] [CrossRef]
- Zhen, N.; Wang, X.; Li, X.; Xue, J.; Zhao, Y.; Wu, M.; Zhou, D.; Liu, J.; Guo, J.; Zhang, H. Protein-Based Natural Antibacterial Materials and Their Applications in Food Preservation. Microb. Biotechnol. 2022, 15, 1324–1338. [Google Scholar] [CrossRef]
- Nunes, C.; Silva, M.; Farinha, D.; Sales, H.; Pontes, R.; Nunes, J. Edible Coatings and Future Trends in Active Food Packaging–Fruits’ and Traditional Sausages’ Shelf Life Increasing. Foods 2023, 12, 3308. [Google Scholar] [CrossRef]
- Devi, L.S.; Jaiswal, A.K.; Jaiswal, S. Lipid Incorporated Biopolymer Based Edible Films and Coatings in Food Packaging: A Review. Curr. Res. Food Sci. 2024, 8, 100720. [Google Scholar] [CrossRef] [PubMed]
- Oliveira-Pinto, P.R.; Oliveira-Fernandes, J.; Pereira-Dias, L.; Sousa, R.M.O.F.; Santos, C. Organic Nanoparticles as Delivery Tools for Bio-Based Antimicrobials. In Nanoparticles in Plant Biotic Stress Management; Khan, M., Chen, J.T., Eds.; Springer: Singapore, 2024; pp. 107–179. [Google Scholar] [CrossRef]
- Farzi, G.; Gheysipour, M. Encapsulation with Polymers. In Principles of Biomaterials Encapsulation; Sefat, F., Farzi, G., Mozafari, M., Eds.; Woodhead Publishing: Cambridge, UK, 2023; Volume 2, pp. 3–38. [Google Scholar] [CrossRef]
- Amgoth, C.; Phan, C.; Banavoth, M.; Rompivalasa, S.; Tang, G.; Amgoth, C.; Phan, C.; Banavoth, M.; Rompivalasa, S.; Tang, G. Polymer Properties: Functionalization and Surface Modified Nanoparticles. In Role of Novel Drug Delivery Vehicles in Nanobiomedicine; Tyagi, R.K., Garg, N., Shukla, R., Bisen, P.S., Eds.; IntechOpen: London, UK, 2019. [Google Scholar] [CrossRef]
- Lee, B.K.; Yun, Y.; Park, K. PLA Micro- and Nano-Particles. Adv. Drug Deliv. Rev. 2016, 107, 176. [Google Scholar] [CrossRef] [PubMed]
- Satchanska, G.; Davidova, S.; Petrov, P.D. Natural and Synthetic Polymers for Biomedical and Environmental Applications. Polymers 2024, 16, 1159. [Google Scholar] [CrossRef] [PubMed]
- Bilal, M.; Gul, I.; Basharat, A.; Qamar, S.A. Polysaccharides-Based Bio-Nanostructures and Their Potential Food Applications. Int. J. Biol. Macromol. 2021, 176, 540–557. [Google Scholar] [CrossRef]
- Durán-Lara, E.F.; Marican, A.; Rafael, D.; Vijayakumar, S. Perspectives toward the Development of Advanced Materials Based on Bacterial Polysaccharides. Curr. Med. Chem. 2022, 30, 1963–1970. [Google Scholar] [CrossRef]
- Barclay, T.G.; Day, C.M.; Petrovsky, N.; Garg, S. Review of Polysaccharide Particle-Based Functional Drug Delivery. Carbohydr. Polym. 2019, 221, 94. [Google Scholar] [CrossRef]
- Plucinski, A.; Lyu, Z.; Schmidt, B.V.K.J. Polysaccharide Nanoparticles: From Fabrication to Applications. J. Mater. Chem. B 2021, 9, 7030–7062. [Google Scholar] [CrossRef]
- De Frates, K.; Markiewicz, T.; Gallo, P.; Rack, A.; Weyhmiller, A.; Jarmusik, B.; Hu, X. Protein Polymer-Based Nanoparticles: Fabrication and Medical Applications. Int. J. Mol. Sci. 2018, 19, 1717. [Google Scholar] [CrossRef]
- Wang, X.F.; Chen, X.; Tang, Y.; Wu, J.M.; Qin, D.L.; Yu, L.; Yu, C.L.; Zhou, X.G.; Wu, A.G. The Therapeutic Potential of Plant Polysaccharides in Metabolic Diseases. Pharmaceuticals 2022, 15, 1329. [Google Scholar] [CrossRef]
- Herdiana, Y.; Wathoni, N.; Shamsuddin, S.; Muchtaridi, M. Scale-up Polymeric-Based Nanoparticles Drug Delivery Systems: Development and Challenges. OpenNano 2022, 7, 100048. [Google Scholar] [CrossRef]
- Prasher, P.; Sharma, M.; Mehta, M.; Satija, S.; Aljabali, A.A.; Tambuwala, M.M.; Anand, K.; Sharma, N.; Dureja, H.; Jha, N.K.; et al. Current-Status and Applications of Polysaccharides in Drug Delivery Systems. Colloid. Interface Sci. Commun. 2021, 42, 100418. [Google Scholar] [CrossRef]
- Liu, Z.; Jiao, Y.; Wang, Y.; Zhou, C.; Zhang, Z. Polysaccharides-Based Nanoparticles as Drug Delivery Systems. Adv. Drug Deliv. Rev. 2008, 60, 1650–1662. [Google Scholar] [CrossRef] [PubMed]
- Ahmad, A.; Gulraiz, Y.; Ilyas, S.; Bashir, S. Polysaccharide Based Nano Materials: Health Implications. Food Hydrocoll. Health 2022, 2, 100075. [Google Scholar] [CrossRef]
- Rosales, T.K.O.; Fabi, J.P. Polysaccharide-Based Nanotechnology Approaches to Deliver Bioactive Compounds for Food Applications. In Advances in Chemical Engineering; Mauri, E., Zhang, Z.J., Eds.; Academic Press: Cambridge, MA, USA, 2023; Volume 62, pp. 215–256. [Google Scholar] [CrossRef]
- Młynek, M.; Trzciński, J.W.; Ciach, T. Recent Advances in the Polish Research on Polysaccharide-Based Nanoparticles in the Context of Various Administration Routes. Biomedicines 2023, 11, 1307. [Google Scholar] [CrossRef]
- Shokrani, H.; Shokrani, A.; Sajadi, S.M.; Khodadadi Yazdi, M.; Seidi, F.; Jouyandeh, M.; Zarrintaj, P.; Kar, S.; Kim, S.J.; Kuang, T.; et al. Polysaccharide-Based Nanocomposites for Biomedical Applications: A Critical Review. Nanoscale Horiz. 2022, 7, 1136–1160. [Google Scholar] [CrossRef]
- Fan, X.; Ngo, H.; Wu, C. Natural and Bio-Based Antimicrobials: A Review. ACS Symp. Ser. 2018, 1287, 1–24. [Google Scholar] [CrossRef]
- Orasugh, J.T.; Temane, L.T.; Kesavan Pillai, S.; Ray, S.S. Advancements in Antimicrobial Textiles: Fabrication, Mechanisms of Action, and Applications. ACS Omega 2025, 10, 12772–12816. [Google Scholar] [CrossRef]
- Álvarez-Martínez, F.J.; Barrajón-Catalán, E.; Micol, V. Tackling Antibiotic Resistance with Compounds of Natural Origin: A Comprehensive Review. Biomedicines 2020, 8, 405. [Google Scholar] [CrossRef]
- Bahrami, A.; Delshadi, R.; Assadpour, E.; Jafari, S.M.; Williams, L. Antimicrobial-Loaded Nanocarriers for Food Packaging Applications. Adv. Colloid. Interface Sci. 2020, 278, 102140. [Google Scholar] [CrossRef]
- Singh, V.; Malviya, T.; Shehala; Gupta, S.; Dwivedi, L.M.; Baranwal, K.; Prabha, M.; Aayushee. Polysaccharide-Based Nanoparticles: Nanocarriers for Sustained Delivery of Drugs. In Advanced Biopolymeric Systems for Drug Delivery. Advances in Material Research and Technology; Nayak, A., Hasnain, M., Eds.; Springer: Cham, Switzerland, 2020; pp. 151–181. [Google Scholar] [CrossRef]
- Bushra, R.; Ahmad, M.; Seidi, F.; Qurtulen; Song, J.; Jin, Y.; Xiao, H. Polysaccharide-Based Nanoassemblies: From Synthesis Methodologies and Industrial Applications to Future Prospects. Adv. Colloid. Interface Sci. 2023, 318, 102953. [Google Scholar] [CrossRef]
- Miao, T.; Wang, J.; Zeng, Y.; Liu, G.; Chen, X. Polysaccharide-Based Controlled Release Systems for Therapeutics Delivery and Tissue Engineering: From Bench to Bedside. Adv. Sci. 2018, 5, 1700513. [Google Scholar] [CrossRef]
- Pawar, R.; Jadhav, W.; Bhusare, S.; Borade, R.; Farber, S.; Itzkowitz, D.; Domb, A. Polysaccharides as Carriers of Bioactive Agents for Medical Applications. In Natural-Based Polymers for Biomedical Applications, 1st ed.; Reis, R.L., Neves, N.M., Mano, J.F., Gomes, M.E., Marques, A.P., Azevedo, H.S., Eds.; Woodhead Publishing: Cambridge, UK, 2008; pp. 3–53. [Google Scholar] [CrossRef]
- Fan, Y.; Liu, Y.; Wu, Y.; Dai, F.; Yuan, M.; Wang, F.; Bai, Y.; Deng, H. Natural Polysaccharides Based Self-Assembled Nanoparticles for Biomedical Applications—A Review. Int. J. Biol. Macromol. 2021, 192, 1240–1255. [Google Scholar] [CrossRef] [PubMed]
- Niculescu, A.G.; Grumezescu, A.M. Applications of Chitosan-Alginate-Based Nanoparticles—An Up-to-Date Review. Nanomaterials 2022, 12, 186. [Google Scholar] [CrossRef] [PubMed]
- Trache, D.; Tarchoun, A.F.; Derradji, M.; Hamidon, T.S.; Masruchin, N.; Brosse, N.; Hussin, M.H. Nanocellulose: From Fundamentals to Advanced Applications. Front. Chem. 2020, 8, 535734. [Google Scholar] [CrossRef]
- Visan, A.I.; Cristescu, R. Polysaccharide-Based Coatings as Drug Delivery Systems. Pharmaceutics 2023, 15, 2227. [Google Scholar] [CrossRef]
- Zhang, J.; Zhan, P.; Tian, H. Recent Updates in the Polysaccharides-Based Nano-Biocarriers for Drugs Delivery and Its Application in Diseases Treatment: A Review. Int. J. Biol. Macromol. 2021, 182, 115–128. [Google Scholar] [CrossRef]
- Elieh-Ali-Komi, D.; Hamblin, M.R. Chitin and Chitosan: Production and Application of Versatile Biomedical Nanomaterials. Int. J. Adv. Res. 2016, 4, 411. [Google Scholar]
- Iber, B.T.; Kasan, N.A.; Torsabo, D.; Omuwa, J.W. A Review of Various Sources of Chitin and Chitosan in Nature. J. Renew. Mater. 2021, 10, 1097–1123. [Google Scholar] [CrossRef]
- Peniche Covas, C.A.; Argüelles-Monal, W.; Goycoolea, F.M. Chitin and Chitosan: Major Sources, Properties and Applications. In Monomers, Polymers and Composites from Renewable Resources; Belgacem, M.N., Gandini, A., Eds.; Elsevier: Amsterdam, The Netherlands, 2008; pp. 517–542. [Google Scholar] [CrossRef]
- Younes, I.; Rinaudo, M. Chitin and Chitosan Preparation from Marine Sources. Structure, Properties and Applications. Mar. Drugs 2015, 13, 1133. [Google Scholar] [CrossRef]
- Zannat, A.; Shamshina, J.L. Chitin Isolation from Crustaceans and Mushrooms: The Need for Quantitative Assessment. Carbohydr. Polym. 2025, 348, 122882. [Google Scholar] [CrossRef]
- Mohammed, M.A.; Syeda, J.T.M.; Wasan, K.M.; Wasan, E.K. An Overview of Chitosan Nanoparticles and Its Application in Non-Parenteral Drug Delivery. Pharmaceutics 2017, 9, 53. [Google Scholar] [CrossRef] [PubMed]
- Yadav, M.; Kaushik, B.; Rao, G.K.; Srivastava, C.M.; Vaya, D. Advances and Challenges in the Use of Chitosan and Its Derivatives in Biomedical Fields: A Review. Carbohydr. Polym. Technol. 2023, 5, 100323. [Google Scholar] [CrossRef]
- Namli, S.; Guven, O.; Simsek, F.N.; Gradišek, A.; Sumnu, G.; Yener, M.E.; Oztop, M. Effects of Deacetylation Degree of Chitosan on the Structure of Aerogels. Int. J. Biol. Macromol. 2023, 250, 126123. [Google Scholar] [CrossRef] [PubMed]
- Mania, S.; Banach-Kopeć, A.; Staszczyk, K.; Kulesza, J.; Augustin, E.; Tylingo, R. An Influence of Molecular Weight, Deacetylation Degree of Chitosan Xerogels on Their Antimicrobial Activity and Cytotoxicity. Comparison of Chitosan Materials Obtained Using Lactic Acid and CO2 Saturation. Carbohydr. Res. 2023, 534, 108973. [Google Scholar] [CrossRef]
- Pandit, A.; Indurkar, A.; Deshpande, C.; Jain, R.; Dandekar, P. A Systematic Review of Physical Techniques for Chitosan Degradation. Carbohydr. Polym. Technol. 2021, 2, 100033. [Google Scholar] [CrossRef]
- Jafernik, K.; Ładniak, A.; Blicharska, E.; Czarnek, K.; Ekiert, H.; Wiącek, A.E.; Szopa, A. Chitosan-Based Nanoparticles as Effective Drug Delivery Systems—A Review. Molecules 2023, 28, 1963. [Google Scholar] [CrossRef]
- Yanat, M.; Schroën, K. Preparation Methods and Applications of Chitosan Nanoparticles; with an Outlook toward Reinforcement of Biodegradable Packaging. React. Funct. Polym. 2021, 161, 104849. [Google Scholar] [CrossRef]
- Aranaz, I.; Alcántara, A.R.; Civera, M.C.; Arias, C.; Elorza, B.; Caballero, A.H.; Acosta, N. Chitosan: An Overview of Its Properties and Applications. Polymers 2021, 13, 3256. [Google Scholar] [CrossRef]
- Alemu, D.; Getachew, E.; Mondal, A.K. Study on the Physicochemical Properties of Chitosan and Their Applications in the Biomedical Sector. Int. J. Polym. Sci. 2023, 2023, 5025341. [Google Scholar] [CrossRef]
- Goyal, S.; Thirumal, D.; Rana, J.; Gupta, A.K.; Kumar, A.; Babu, M.A.; Kumar, P.; Sindhu, R.K. Chitosan Based Nanocarriers as a Promising Tool in Treatment and Management of Inflammatory Diseases. Carbohydr. Polym. Technol. 2024, 7, 100442. [Google Scholar] [CrossRef]
- Dodero, A.; Alberti, S.; Gaggero, G.; Ferretti, M.; Botter, R.; Vicini, S.; Castellano, M. An Up-to-Date Review on Alginate Nanoparticles and Nanofibers for Biomedical and Pharmaceutical Applications. Adv. Mater. Interfaces 2021, 8, 2100809. [Google Scholar] [CrossRef]
- Hasnain, M.S.; Jameel, E.; Mohanta, B.; Dhara, A.K.; Alkahtani, S.; Nayak, A.K. Alginates: Sources, Structure, and Properties. In Alginates in Drug Delivery; Nayak, A.K., Hasnain, M.S., Eds.; Academic Press: Cambridge, MA, USA, 2020; pp. 1–17. [Google Scholar] [CrossRef]
- Lee, K.Y.; Mooney, D.J. Alginate: Properties and Biomedical Applications. Prog. Polym. Sci. 2012, 37, 106. [Google Scholar] [CrossRef] [PubMed]
- Qosim, N.; Dai, Y.; Williams, G.R.; Edirisinghe, M. Structure, Properties, Forming, and Applications of Alginate Fibers: A Review. Int. Mater. Rev. 2024, 69, 309–333. [Google Scholar] [CrossRef]
- Abka-khajouei, R.; Tounsi, L.; Shahabi, N.; Patel, A.K.; Abdelkafi, S.; Michaud, P. Structures, Properties and Applications of Alginates. Mar. Drugs 2022, 20, 364. [Google Scholar] [CrossRef]
- Kumar, B.; Singh, N.; Kumar, P. A Review on Sources, Modification Techniques, Properties and Potential Applications of Alginate-Based Modified Polymers. Eur. Polym. J. 2024, 213, 113078. [Google Scholar] [CrossRef]
- Bojorges, H.; López-Rubio, A.; Martínez-Abad, A.; Fabra, M.J. Overview of Alginate Extraction Processes: Impact on Alginate Molecular Structure and Techno-Functional Properties. Trends Food Sci. Technol. 2023, 140, 104142. [Google Scholar] [CrossRef]
- Karim, A.; Rehman, A.; Feng, J.; Noreen, A.; Assadpour, E.; Kharazmi, M.S.; Lianfu, Z.; Jafari, S.M. Alginate-Based Nanocarriers for the Delivery and Controlled-Release of Bioactive Compounds. Adv. Colloid. Interface Sci. 2022, 307, 102744. [Google Scholar] [CrossRef]
- Draget, K.I.; Taylor, C. Chemical, Physical and Biological Properties of Alginates and Their Biomedical Implications. Food Hydrocoll. 2011, 25, 251–256. [Google Scholar] [CrossRef]
- Lai, J.; Azad, A.K.; Sulaiman, W.M.A.W.; Kumarasamy, V.; Subramaniyan, V.; Alshehade, S.A. Alginate-Based Encapsulation Fabrication Technique for Drug Delivery: An Updated Review of Particle Type, Formulation Technique, Pharmaceutical Ingredient, and Targeted Delivery System. Pharmaceutics 2024, 16, 370. [Google Scholar] [CrossRef]
- Lakkakula, J.; Roy, A.; Krishnamoorthy, K.; Alghamdi, S.; Almehmadi, M.; Gujarathi, P.; Pansare, P.; Allahyani, M.; Abdulaziz, O.; Velhal, K.; et al. Alginate-Based Nanosystems for Therapeutic Applications. J. Nanomater. 2022, 2022, 6182815. [Google Scholar] [CrossRef]
- Moon, R.J.; Martini, A.; Nairn, J.; Simonsen, J.; Youngblood, J. Cellulose Nanomaterials Review: Structure, Properties and Nanocomposites. Chem. Soc. Rev. 2011, 40, 3941–3994. [Google Scholar] [CrossRef] [PubMed]
- McNamara, J.T.; Morgan, J.L.W.; Zimmer, J. A Molecular Description of Cellulose Biosynthesis. Annu. Rev. Biochem. 2015, 84, 895. [Google Scholar] [CrossRef] [PubMed]
- Kraemer, E.O. Molecular Weights of Celluloses. Ind. Eng. Chem. 1938, 30, 1200–1203. [Google Scholar] [CrossRef]
- McNeice, P.; ten Brink, G.H.; Gran, U.; Karlson, L.; Edvinsson, R.; Feringa, B.L. Cellulose Modification for Sustainable Polymers: Overcoming Problems of Solubility and Processing. RSC Sustain. 2024, 2, 369–376. [Google Scholar] [CrossRef]
- Abdullah, N.A.; Rani, M.S.A.; Mohammad, M.; Sainorudin, M.H.; Asim, N.; Yaakob, Z.; Razali, H.; Emdadi, Z. Nanocellulose from Agricultural Waste as an Emerging Material for Nanotechnology Applications—An Overview. Polimery 2021, 66, 157–168. [Google Scholar] [CrossRef]
- Chopra, L. Manikanika Extraction of Cellulosic Fibers from the Natural Resources: A Short Review. Mater. Today Proc. 2022, 48, 1265–1270. [Google Scholar] [CrossRef]
- Tang, Y.; Yang, H.; Vignolini, S. Recent Progress in Production Methods for Cellulose Nanocrystals: Leading to More Sustainable Processes. Adv. Sustain. Syst. 2022, 6, 2100100. [Google Scholar] [CrossRef]
- Abdelhamid, H.N.; Mathew, A.P. Cellulose-Based Nanomaterials Advance Biomedicine: A Review. Int. J. Mol. Sci. 2022, 23, 5405. [Google Scholar] [CrossRef]
- Kaur, P.; Sharma, N.; Munagala, M.; Rajkhowa, R.; Aallardyce, B.; Shastri, Y.; Agrawal, R. Nanocellulose: Resources, Physio-Chemical Properties, Current Uses and Future Applications. Front. Nanotechnol. 2021, 3, 747329. [Google Scholar] [CrossRef]
- Carolin, C.F.; Kamalesh, T.; Kumar, P.S.; Hemavathy, R.V.; Rangasamy, G. A Critical Review on Sustainable Cellulose Materials and Its Multifaceted Applications. Ind. Crops Prod. 2023, 203, 117221. [Google Scholar] [CrossRef]
- Pompêu, G.C.S.; Pasquini, D. Extraction of Lignin and Modifications. In Handbook of Biomass; Thomas, S., Hosur, M., Pasquini, D., Jose Chirayil, C., Eds.; Springer: Singapore, 2024; pp. 575–609. [Google Scholar] [CrossRef]
- Jincy, E.M.; Femina, K.S. Heteropolymer in Biomass: Hemicellulose Extraction and Modifications. In Handbook of Biomass; Thomas, S., Hosur, M., Pasquini, D., Jose Chirayil, C., Eds.; Springer: Singapore, 2024; pp. 665–696. [Google Scholar] [CrossRef]
- Spiridon, I.; Popa, V.I. Hemicelluloses: Major Sources, Properties and Applications. In Monomers, Polymers and Composites from Renewable Resources; Belgacem, M.N., Gandini, A., Eds.; Elsevier: Amsterdam, The Netherlands, 2008; pp. 289–304. [Google Scholar] [CrossRef]
- Gandini, A.; Belgacem, M.N. The State of the Art of Polymers from Renewable Resources. In Handbook of Biopolymers and Biodegradable Plastics: Properties, Processing and Applications; Ebnesajjad, S., Ed.; William Andrew: Norwich, NY, USA, 2013; pp. 71–85. [Google Scholar] [CrossRef]
- Kobetičová, K.; Nábělková, J. Effect of Wood Hemicellulose Composition on Binding Interactions with Caffeine. Buildings 2021, 11, 515. [Google Scholar] [CrossRef]
- Rao, J.; Lv, Z.; Chen, G.; Peng, F. Hemicellulose: Structure, Chemical Modification, and Application. Prog. Polym. Sci. 2023, 140, 101675. [Google Scholar] [CrossRef]
- Usmani, Z.; Sharma, M.; Gupta, P.; Karpichev, Y.; Gathergood, N.; Bhat, R.; Gupta, V.K. Ionic Liquid Based Pretreatment of Lignocellulosic Biomass for Enhanced Bioconversion. Bioresour. Technol. 2020, 304, 123003. [Google Scholar] [CrossRef] [PubMed]
- Barhoum, A.; Jeevanandam, J.; Rastogi, A.; Samyn, P.; Boluk, Y.; Dufresne, A.; Danquah, M.K.; Bechelany, M. Plant Celluloses, Hemicelluloses, Lignins, and Volatile Oils for the Synthesis of Nanoparticles and Nanostructured Materials. Nanoscale 2020, 12, 22845–22890. [Google Scholar] [CrossRef] [PubMed]
- Gibson, L.J. The Hierarchical Structure and Mechanics of Plant Materials. J. R. Soc. Interface 2012, 9, 2749–2766. [Google Scholar] [CrossRef]
- Bueno Moron, J.; van Klink, G.P.M.; Gruter, G.J.M. Lignocellulose Saccharification: Historical Insights and Recent Industrial Advancements towards 2nd Generation Sugars. RSC Sustain. 2025, 3, 1170–1211. [Google Scholar] [CrossRef]
- Huang, L.Z.; Ma, M.G.; Ji, X.X.; Choi, S.E.; Si, C. Recent Developments and Applications of Hemicellulose From Wheat Straw: A Review. Front. Bioeng. Biotechnol. 2021, 9, 690773. [Google Scholar] [CrossRef]
- Ma, M.; Ji, X. Extraction, Purification, and Applications of Hemicellulose. Pap. Biomater. 2021, 6, 47–60. [Google Scholar]
- Mathura, S.R.; Landázuri, A.C.; Mathura, F.; Andrade Sosa, A.G.; Orejuela-Escobar, L.M. Hemicelluloses from Bioresidues and Their Applications in the Food Industry—Towards an Advanced Bioeconomy and a Sustainable Global Value Chain of Chemicals and Materials. Sustain. Food Technol. 2024, 2, 1183–1205. [Google Scholar] [CrossRef]
- Gao, Y.; Guo, M.; Wang, D.; Zhao, D.; Wang, M. Advances in Extraction, Purification, Structural Characteristics and Biological Activities of Hemicelluloses: A Review. Int. J. Biol. Macromol. 2023, 225, 467–483. [Google Scholar] [CrossRef]
- Sandhya, P.V. Nano-Hemicellulose. In Handbook of Biomass; Thomas, S., Hosur, M., Pasquini, D., Jose Chirayil, C., Eds.; Springer: Singapore, 2024; pp. 729–772. [Google Scholar] [CrossRef]
- Apriyanto, A.; Compart, J.; Fettke, J. A Review of Starch, a Unique Biopolymer—Structure, Metabolism and in Planta Modifications. Plant Sci. 2022, 318, 111223. [Google Scholar] [CrossRef] [PubMed]
- Tester, R.F.; Karkalas, J.; Qi, X. Starch—Composition, Fine Structure and Architecture. J. Cereal Sci. 2004, 39, 151–165. [Google Scholar] [CrossRef]
- Domene-López, D.; García-Quesada, J.C.; Martin-Gullon, I.; Montalbán, M.G. Influence of Starch Composition and Molecular Weight on Physicochemical Properties of Biodegradable Films. Polymers 2019, 11, 1084. [Google Scholar] [CrossRef]
- Bertoft, E. Understanding Starch Structure: Recent Progress. Agronomy 2017, 7, 56. [Google Scholar] [CrossRef]
- Seung, D. Amylose in Starch: Towards an Understanding of Biosynthesis, Structure and Function. New Phytol. 2020, 228, 1490–1504. [Google Scholar] [CrossRef]
- Fredriksson, H.; Silverio, J.; Andersson, R.; Eliasson, A.C.; Åman, P. The Influence of Amylose and Amylopectin Characteristics on Gelatinization and Retrogradation Properties of Different Starches. Carbohydr. Polym. 1998, 35, 119–134. [Google Scholar] [CrossRef]
- Varghese, S.; Awana, M.; Mondal, D.; Rubiya, M.H.; Melethil, K.; Singh, A.; Krishnan, V.; Thomas, B. Amylose–Amylopectin Ratio. In Handbook of Biopolymers; Thomas, S., AR, A., Jose Chirayil, C., Thomas, B., Eds.; Springer: Singapore, 2022; pp. 1–30. [Google Scholar] [CrossRef]
- Hermiati, E.; Sondari, D.; Sunarti, T.C. Extraction and Classification of Starch from Different Sources: Structure, Properties, and Characterization. In Handbook of Natural Polymers, Volume 1: Sources, Synthesis, and Characterization; Sreekala, M.S., Goda, K., Eds.; Elsevier: Amsterdam, The Netherlands, 2023; pp. 19–60. [Google Scholar] [CrossRef]
- Burrell, M.M. Starch: The Need for Improved Quality or Quantity—An Overview. J. Exp. Bot. 2003, 54, 451–456. [Google Scholar] [CrossRef]
- Dorantes-Fuertes, M.G.; López-Méndez, M.C.; Martínez-Castellanos, G.; Meléndez-Armenta, R.Á.; Jiménez-Martínez, H.E. Starch Extraction Methods in Tubers and Roots: A Systematic Review. Agronomy 2024, 14, 865. [Google Scholar] [CrossRef]
- Zhang, P.; Wang, L.; Qian, Y.; Wang, X.; Zhang, S.; Chang, J.; Ruan, Y.; Ma, B. Influences of Extraction Methods on Physicochemical and Functional Characteristics of Three New Bulbil Starches from Dioscorea opposita Thunb. cv. Tiegun. Molecules 2019, 24, 2232. [Google Scholar] [CrossRef] [PubMed]
- Hameed, M.; Ahmad, S.W.; Ahmad, S.; Qutab, H.G.; Dasih, M.; Imran, M. Enzymatic Extraction of Potato Starch: A Parametric Optimization Study Using Response Surface Methodology. Pol. J. Chem. Technol. 2020, 22, 48–54. [Google Scholar] [CrossRef]
- Li, M.; Tian, Y.; Dhital, S. Starch Extraction: Principles and Techniques. In Starch and Starchy Food Products; Bello-Pérez, L., Alvarez-Ramírez, J., Dhital, S., Eds.; CRC Press: Boca Raton, FL, USA, 2022; pp. 17–40. [Google Scholar] [CrossRef]
- Mgoma, S.T.; Basitere, M.; Mshayisa, V.V.; Jager, D. De A Systematic Review on Sustainable Extraction, Preservation, and Enhancement in Food Processing: The Advancement from Conventional to Green Technology Through Ultrasound. Processes 2025, 13, 965. [Google Scholar] [CrossRef]
- Pasumarthi, P.; Sindhu, S.; Manickavasagan, A. Ultrasound-Assisted Extraction and Modification of Pulse Starches: A Review. Cereal Chem. 2025, 102, 266–289. [Google Scholar] [CrossRef]
- Miranda, C.S.; Ferreira, M.S.; Magalhães, M.T.; Santos, W.J.; Oliveira, J.C.; Silva, J.B.A.; José, N.M. Mechanical, Thermal and Barrier Properties of Starch-Based Films Plasticized with Glycerol and Lignin and Reinforced with Cellulose Nanocrystals. Mater. Today Proc. 2015, 2, 63–69. [Google Scholar] [CrossRef]
- Nazrin, A.; Sapuan, S.M.; Zuhri, M.Y.M. Mechanical, Physical and Thermal Properties of Sugar Palm Nanocellulose Reinforced Thermoplastic Starch (TPS)/Poly (Lactic Acid) (PLA) Blend Bionanocomposites. Polymers 2020, 12, 2216. [Google Scholar] [CrossRef]
- Compart, J.; Singh, A.; Fettke, J.; Apriyanto, A. Customizing Starch Properties: A Review of Starch Modifications and Their Applications. Polymers 2023, 15, 3491. [Google Scholar] [CrossRef]
- Rashwan, A.K.; Younis, H.A.; Abdelshafy, A.M.; Osman, A.I.; Eletmany, M.R.; Hafouda, M.A.; Chen, W. Plant Starch Extraction, Modification, and Green Applications: A Review. Environ. Chem. Lett. 2024, 22, 2483–2530. [Google Scholar] [CrossRef]
- Marta, H.; Rizki, D.I.; Mardawati, E.; Djali, M.; Mohammad, M.; Cahyana, Y. Starch Nanoparticles: Preparation, Properties and Applications. Polymers 2023, 15, 1167. [Google Scholar] [CrossRef]
- Hassan, N.A.; Darwesh, O.M.; Smuda, S.S.; Altemimi, A.B.; Hu, A.; Cacciola, F.; Haoujar, I.; Abedelmaksoud, T.G. Recent Trends in the Preparation of Nano-Starch Particles. Molecules 2022, 27, 5497. [Google Scholar] [CrossRef]
- Campelo, P.H.; Sant’Ana, A.S.; Pedrosa Silva Clerici, M.T. Starch Nanoparticles: Production Methods, Structure, and Properties for Food Applications. Curr. Opin. Food Sci. 2020, 33, 136–140. [Google Scholar] [CrossRef]
- Kim, H.Y.; Park, S.S.; Lim, S.T. Preparation, Characterization and Utilization of Starch Nanoparticles. Colloids Surf. B Biointerfaces 2015, 126, 607–620. [Google Scholar] [CrossRef]
- Sreya, E.S.; Kumar, D.P.; Sreya, P.S.; Baby, A.; Balakrishnan, P.; Gopi, S.; Antony, N. Nano Starch: A Review. In Handbook of Biomass; Thomas, S., Hosur, M., Pasquini, D., Jose Chirayil, C., Eds.; Springer: Singapore, 2024; pp. 855–874. [Google Scholar] [CrossRef]
- Bashir, S.M.; Ahmed Rather, G.; Patrício, A.; Haq, Z.; Sheikh, A.A.; Shah, M.Z.u.H.; Singh, H.; Khan, A.A.; Imtiyaz, S.; Ahmad, S.B.; et al. Chitosan Nanoparticles: A Versatile Platform for Biomedical Applications. Materials 2022, 15, 6521. [Google Scholar] [CrossRef] [PubMed]
- Akdaşçi, E.; Duman, H.; Eker, F.; Bechelany, M.; Karav, S. Chitosan and Its Nanoparticles: A Multifaceted Approach to Antibacterial Applications. Nanomaterials 2025, 15, 126. [Google Scholar] [CrossRef] [PubMed]
- Iravani, S.; Varma, R.S. Alginate-Based Micro- and Nanosystems for Targeted Cancer Therapy. Mar. Drugs 2022, 20, 598. [Google Scholar] [CrossRef] [PubMed]
- Al-Hatamleh, M.A.I.; Alshaer, W.; Hatmal, M.M.; Lambuk, L.; Ahmed, N.; Mustafa, M.Z.; Low, S.C.; Jaafar, J.; Ferji, K.; Six, J.L.; et al. Applications of Alginate-Based Nanomaterials in Enhancing the Therapeutic Effects of Bee Products. Front. Mol. Biosci. 2022, 9, 865833. [Google Scholar] [CrossRef]
- George, J.; Sabapathi, S.N. Cellulose Nanocrystals: Synthesis, Functional Properties, and Applications. Nanotechnol. Sci. Appl. 2015, 8, 45. [Google Scholar] [CrossRef]
- Phuong, H.T.; Thoa, N.K.; Tuyet, P.T.A.; Van, Q.N.; Hai, Y.D. Cellulose Nanomaterials as a Future, Sustainable and Renewable Material. Crystals 2022, 12, 106. [Google Scholar] [CrossRef]
- Hamawand, I.; Seneweera, S.; Kumarasinghe, P.; Bundschuh, J. Nanoparticle Technology for Separation of Cellulose, Hemicellulose and Lignin Nanoparticles from Lignocellulose Biomass: A Short Review. Nano-Struct. Nano-Obj. 2020, 24, 100601. [Google Scholar] [CrossRef]
- Wijaya, C.J.; Ismadji, S.; Gunawan, S. A Review of Lignocellulosic-Derived Nanoparticles for Drug Delivery Applications: Lignin Nanoparticles, Xylan Nanoparticles, and Cellulose Nanocrystals. Molecules 2021, 26, 676. [Google Scholar] [CrossRef]
- Hassan, N.H.; El-Hawary, S.S.; Emam, M.; Rabeh, M.A.; Tantawy, M.A.; Seif, M.; Abd-Elal, R.M.A.; Bringmann, G.; Abdelmohsen, U.R.; Selim, N.M. Pectin Nanoparticle-Loaded Soft Coral Nephthea Sp. Extract as In Situ Gel Enhances Chronic Wound Healing: In Vitro, In Vivo, and In Silico Studies. Pharmaceuticals 2023, 16, 957. [Google Scholar] [CrossRef]
- Zhao, X.J.; Zhou, Z.Q. Synthesis and Applications of Pectin-Based Nanomaterials. Curr. Nanosci. 2015, 12, 103–109. [Google Scholar] [CrossRef]
- Opanasopit, P.; Apirakaramwong, A.; Ngawhirunpat, T.; Rojanarata, T.; Ruktanonchai, U. Development and Characterization of Pectinate Micro/Nanoparticles for Gene Delivery. AAPS PharmSciTech 2008, 9, 67. [Google Scholar] [CrossRef] [PubMed]
- Kaur, M.; Wadhwa, A.; Kumar, V. Pectin-Based Nanomaterials: Synthesis, Toxicity and Applications: A Review. Asian J. Chem. 2021, 33, 2579–2588. [Google Scholar] [CrossRef]
- Zhou, Y.; Wu, W.; Wang, L.; Goksen, G.; Shao, P. Multifunctional Pectin Films Based on Mussel-Inspired Modified 2D Ag Nanosheets for Long-Lasting Antibacterial and Enhanced Barrier Properties. Food Hydrocoll. 2023, 137, 108331. [Google Scholar] [CrossRef]
- Ren, W.; Qiang, T.; Chen, L. Recyclable and Biodegradable Pectin-Based Film with High Mechanical Strength. Food Hydrocoll. 2022, 129, 107643. [Google Scholar] [CrossRef]
- Iravani, S. Plant Gums for Sustainable and Eco-Friendly Synthesis of Nanoparticles: Recent Advances. Inor Nano-Met. Chem. 2020, 50, 469–488. [Google Scholar] [CrossRef]
- Shakya, S.; Tiwari, R.K.; Gupta, A. Gum-Based Nanoparticles Targeting for Colon Rectal Cancer: Latest Research and Patents. Recent. Adv. Drug Deliv. Formul. 2023, 17, 255–263. [Google Scholar] [CrossRef]
- Taheri, A.; Jafari, S.M. Gum-Based Nanocarriers for the Protection and Delivery of Food Bioactive Compounds. Adv. Colloid. Interface Sci. 2019, 269, 277–295. [Google Scholar] [CrossRef]
- Shiam, M.A.H.; Islam, M.S.; Ahmad, I.; Haque, S.S. A Review of Plant-Derived Gums and Mucilages: Structural Chemistry, Film Forming Properties and Application. J. Plast. Film Sheeting 2025, 41, 195–237. [Google Scholar] [CrossRef]
- Manna, S.; Jana, S. Carrageenan-Based Nanomaterials in Drug Delivery Applications. In Biopolymer-Based Nanomaterials in Drug Delivery and Biomedical Applications; Bera, H., Hossain, C.M., Saha, S., Eds.; Academic Press: Cambridge, MA, USA, 2021; pp. 365–382. [Google Scholar] [CrossRef]
- Nogueira, L.F.B.; Cruz, M.A.E.; Tovani, C.B.; Lopes, H.B.; Beloti, M.M.; Ciancaglini, P.; Bottini, M.; Ramos, A.P. Curcumin-Loaded Carrageenan Nanoparticles: Fabrication, Characterization, and Assessment of the Effects on Osteoblasts Mineralization. Colloids Surf. B Biointerfaces 2022, 217, 112622. [Google Scholar] [CrossRef]
- Das, N.; Kumar, A.; Rayavarapu, R.G. The Role of Deep Eutectic Solvents and Carrageenan in Synthesizing Biocompatible Anisotropic Metal Nanoparticles. Beilstein J. Nanotechnol. 2021, 12, 924. [Google Scholar] [CrossRef]
- Khan, A.K.; Saba, A.U.; Nawazish, S.; Akhtar, F.; Rashid, R.; Mir, S.; Nasir, B.; Iqbal, F.; Afzal, S.; Pervaiz, F.; et al. Carrageenan Based Bionanocomposites as Drug Delivery Tool with Special Emphasis on the Influence of Ferromagnetic Nanoparticles. Oxid. Med. Cell Longev. 2017, 2017, 8158315. [Google Scholar] [CrossRef]
- Zia, K.M.; Tabasum, S.; Nasif, M.; Sultan, N.; Aslam, N.; Noreen, A.; Zuber, M. A Review on Synthesis, Properties and Applications of Natural Polymer Based Carrageenan Blends and Composites. Int. J. Biol. Macromol. 2017, 96, 282–301. [Google Scholar] [CrossRef]
- Tobacman, J.K. Review of Harmful Gastrointestinal Effects of Carrageenan in Animal Experiments. Environ. Health Perspect. 2001, 109, 983. [Google Scholar] [CrossRef]
- Pradhan, B.; Ki, J.S. Biological Activity of Algal Derived Carrageenan: A Comprehensive Review in Light of Human Health and Disease. Int. J. Biol. Macromol. 2023, 238, 124085. [Google Scholar] [CrossRef]
- Necas, J.; Bartosikova, L. Carrageenan: A Review. Vet. Med. 2013, 58, 187–205. [Google Scholar] [CrossRef]
- Guan, J.; Li, L.; Mao, S. Applications of Carrageenan in Advanced Drug Delivery. In Seaweed Polysaccharides: Isolation, Biological and Biomedical Applications; Venkatesan, J., Anil, S., Kim, S., Eds.; Elsevier: Amsterdam, The Netherlands, 2017; pp. 283–303. [Google Scholar] [CrossRef]
- Prasher, P.; Sharma, M.; Singh, S.K.; Haghi, M.; MacLoughlin, R.; Chellappan, D.K.; Gupta, G.; Paudel, K.R.; Hansbro, P.M.; George Oliver, B.G.; et al. Advances and Applications of Dextran-Based Nanomaterials Targeting Inflammatory Respiratory Diseases. J. Drug Deliv. Sci. Technol. 2022, 74, 103598. [Google Scholar] [CrossRef]
- Banerjee, A.; Bandopadhyay, R. Use of Dextran Nanoparticle: A Paradigm Shift in Bacterial Exopolysaccharide Based Biomedical Applications. Int. J. Biol. Macromol. 2016, 87, 295–301. [Google Scholar] [CrossRef]
- Ukkund, S.J.; Alke, B.; Taqui, S.N.; Syed, U.T. Dextran Nanoparticles: Preparation and Applications. In Polysaccharide Nanoparticles: Preparation and Biomedical Applications; Venkatesan, J., Kim, S., Anil, S., D, R.P., Eds.; Elsevier: Amsterdam, The Netherlands, 2022; pp. 1–31. [Google Scholar] [CrossRef]
- Petrovici, A.R.; Pinteala, M.; Simionescu, N. Dextran Formulations as Effective Delivery Systems of Therapeutic Agents. Molecules 2023, 28, 1086. [Google Scholar] [CrossRef]
- Chen, F.; Huang, G.; Huang, H. Preparation and Application of Dextran and Its Derivatives as Carriers. Int. J. Biol. Macromol. 2020, 145, 827–834. [Google Scholar] [CrossRef]
- Ahmed, H.B.; Emam, H.E. Pullulan in the Delivery of Therapeutics. In Polysaccharide-Based Biomaterials: Delivery of Therapeutics and Biomedical Applications; Jana, S., Jana, S., Domb, A.J., Eds.; RSC Publishing: Cambridge, UK, 2022; pp. 299–330. [Google Scholar] [CrossRef]
- Bostanudin, M.F.; Barbu, E.; Liew, K. Bin Hydrophobically Grafted Pullulan Nanocarriers for Percutaneous Delivery: Preparation and Preliminary in Vitro Characterisation. Polymers 2021, 13, 2852. [Google Scholar] [CrossRef]
- Ganie, S.A.; Rather, L.J.; Li, Q. A Review on Anticancer Applications of Pullulan and Pullulan Derivative Nanoparticles. Carbohydr. Polym. Technol. 2021, 2, 100115. [Google Scholar] [CrossRef]
- Dionísio, M.; Braz, L.; Corvo, M.; Lourenço, J.P.; Grenha, A.; Rosa da Costa, A.M. Charged Pullulan Derivatives for the Development of Nanocarriers by Polyelectrolyte Complexation. Int. J. Biol. Macromol. 2016, 86, 129–138. [Google Scholar] [CrossRef] [PubMed]
- Tao, X.J.; Xie, Y.C.; Zhang, Q.F.; Qiu, X.M.; Yuan, L.M.; Wen, Y.; Li, M.; Yang, X.P.; Tao, T.; Xie, M.H.; et al. Cholesterol-Modified Amino-Pullulan Nanoparticles as a Drug Carrier: Comparative Study of Cholesterol-Modified Carboxyethyl Pullulan and Pullulan Nanoparticles. Nanomaterials 2016, 6, 165. [Google Scholar] [CrossRef] [PubMed]
- Grenha, A.; Rodrigues, S. Pullulan-Based Nanoparticles: Future Therapeutic Applications in Transmucosal Protein Delivery. Ther. Deliv. 2013, 4, 1339–1341. [Google Scholar] [CrossRef]
- Zhang, L.; Wu, J.; Shen, Z.; Hongtao, Z.; Xiaobei, Z. Arginine-Carboxylated Pullulan, a Potential Antibacterial Material for Food Packaging. Biomater. Adv. 2023, 154, 213584. [Google Scholar] [CrossRef]
- Thakur, A.; Sharma, S.; Naman, S.; Baldi, A. Pullulan Based Polymeric Novel Drug Delivery Systems: A Review on Current State of Art and Prospects. J. Drug Deliv. Sci. Technol. 2023, 90, 105117. [Google Scholar] [CrossRef]
- Castle, L.; Andreassen, M.; Aquilina, G.; Bastos, M.L.; Boon, P.; Fallico, B.; Fitzgerald, R.; Frutos Fernandez, M.J.; Grasl-Kraupp, B.; Gundert-Remy, U.; et al. Re-evaluation of Pullulan (E 1204) as a Food Additive and New Application for Its Extension of Use. EFSA J. 2025, 23, e9267. [Google Scholar] [CrossRef]
- Rao, N.V.; Rho, J.G.; Um, W.; Ek, P.K.; Nguyen, V.Q.; Oh, B.H.; Kim, W.; Park, J.H. Hyaluronic Acid Nanoparticles as Nanomedicine for Treatment of Inflammatory Diseases. Pharmaceutics 2020, 12, 931. [Google Scholar] [CrossRef]
- Lee, W.H.; Rho, J.G.; Yang, Y.; Lee, S.; Kweon, S.; Kim, H.M.; Yoon, J.; Choi, H.; Lee, E.; Kim, S.H.; et al. Hyaluronic Acid Nanoparticles as a Topical Agent for Treating Psoriasis. ACS Nano 2022, 16, 20057–20074. [Google Scholar] [CrossRef]
- Matějková, N.; Korecká, L.; Šálek, P.; Kočková, O.; Pavlova, E.; Kašparová, J.; Obořilová, R.; Farka, Z.; Frolich, K.; Adam, M.; et al. Hyaluronic Acid Nanoparticles with Parameters Required for In Vivo Applications: From Synthesis to Parametrization. Biomacromolecules 2024, 25, 4934–4945. [Google Scholar] [CrossRef]
- Matalqah, S.; Lafi, Z.; Asha, S.Y. Hyaluronic Acid in Nanopharmaceuticals: An Overview. Curr. Issues Mol. Biol. 2024, 46, 10444–10461. [Google Scholar] [CrossRef] [PubMed]
- Negut, I.; Grumezescu, V. Hyaluronic Acid Nanoparticles. In Biopolymeric Nanomaterials: Fundamentals and Applications; Kanwar, S., Kumar, A., Nguyen, T.A., Sharma, S., Slimani, Y., Eds.; Elsevier: Amsterdam, The Netherlands, 2021; pp. 155–171. [Google Scholar] [CrossRef]
- Alipoor, R.; Ayan, M.; Hamblin, M.R.; Ranjbar, R.; Rashki, S. Hyaluronic Acid-Based Nanomaterials as a New Approach to the Treatment and Prevention of Bacterial Infections. Front. Bioeng. Biotechnol. 2022, 10, 913912. [Google Scholar] [CrossRef] [PubMed]
- Elsherif, N.I.; Al-Mahallawi, A.M.; Ahmed, I.S.; Shamma, R.N. Pectin Nanoparticles Loaded with Nitric Oxide Donor Drug: A Potential Approach for Tissue Regeneration. Int. J. Pharm. X 2024, 7, 100244. [Google Scholar] [CrossRef]
- Mohnen, D. Pectin Structure and Biosynthesis. Curr. Opin. Plant Biol. 2008, 11, 266–277. [Google Scholar] [CrossRef]
- Freitas, C.M.P.; Coimbra, J.S.R.; Souza, V.G.L.; Sousa, R.C.S. Structure and Applications of Pectin in Food, Biomedical, and Pharmaceutical Industry: A Review. Coatings 2021, 11, 922. [Google Scholar] [CrossRef]
- Wang, X.; Liu, Y.; Xu, Y.; Gao, S.; Xu, Q.; Gong, H.; Yao, L.; Shi, S.; Wang, S.; Wang, H.; et al. Structural Characterization of a Pectic Polysaccharide from Rubus Chingii Hu. Unripe Fruits and Its Efficacy in Inhibiting Intestinal Lipid Absorption In Vivo. Carbohydr. Polym. 2025, 363, 123728. [Google Scholar] [CrossRef]
- Roman-Benn, A.; Contador, C.A.; Li, M.W.; Lam, H.M.; Ah-Hen, K.; Ulloa, P.E.; Ravanal, M.C. Pectin: An Overview of Sources, Extraction and Applications in Food Products, Biomedical, Pharmaceutical and Environmental Issues. Food Chem. Adv. 2023, 2, 100192. [Google Scholar] [CrossRef]
- Riyamol, N.; Gada Chengaiyan, J.; Rana, S.S.; Ahmad, F.; Haque, S.; Capanoglu, E. Recent Advances in the Extraction of Pectin from Various Sources and Industrial Applications. ACS Omega 2023, 8, 46309–46324. [Google Scholar] [CrossRef]
- Sultana, N. Biological Properties and Biomedical Applications of Pectin and Pectin-Based Composites: A Review. Molecules 2023, 28, 7974. [Google Scholar] [CrossRef]
- Rajabzadeh-Khosroshahi, M.; Khoshfetrat, A.B.; Salami-Kalajahi, M. A Review on Pectin-Based Nanostructures for Drug and Gene Delivery Systems. Int. J. Biol. Macromol. 2025, 304, 140932. [Google Scholar] [CrossRef]
- Mirhosseini, H.; Amid, B.T. A Review Study on Chemical Composition and Molecular Structure of Newly Plant Gum Exudates and Seed Gums. Food Res. Int. 2012, 46, 387–398. [Google Scholar] [CrossRef]
- Chee, B.S.; Nugent, M. Electrospun Natural Polysaccharide for Biomedical Application. In Natural Polysaccharides in Drug Delivery and Biomedical Applications; Hasnain, M.S., Nayak, A.K., Eds.; Academic Press: Cambridge, MA, USA, 2019; pp. 589–615. [Google Scholar] [CrossRef]
- Nandi, G.; Hasnain, M.S.; Nayak, A.K. Polysaccharide-Based Polyelectrolyte Complex Systems in Drug Delivery. In Tailor-Made Polysaccharides in Drug Delivery; Nayak, A.K., Hasnain, M.S., Eds.; Academic Press: Cambridge, MA, USA, 2023; pp. 177–210. [Google Scholar] [CrossRef]
- Borsani, B.; De Santis, R.; Perico, V.; Penagini, F.; Pendezza, E.; Dilillo, D.; Bosetti, A.; Zuccotti, G.V.; D’auria, E. The Role of Carrageenan in Inflammatory Bowel Diseases and Allergic Reactions: Where Do We Stand? Nutrients 2021, 13, 3402. [Google Scholar] [CrossRef] [PubMed]
- Rupert, R.; Rodrigues, K.F.; Thien, V.Y.; Yong, W.T.L. Carrageenan From Kappaphycus Alvarezii (Rhodophyta, Solieriaceae): Metabolism, Structure, Production, and Application. Front. Plant Sci. 2022, 13, 859635. [Google Scholar] [CrossRef] [PubMed]
- Díaz-Montes, E.; Lukova, P.; Pierre, G. Dextran: Sources, Structures, and Properties. Polysaccharides 2021, 2, 554–565. [Google Scholar] [CrossRef]
- Walter, R.H. Classifications. In Polysaccharide Dispersions; Walter, R.H., Ed.; Academic Press: Cambridge, MA, USA, 1998; pp. 157–180. [Google Scholar] [CrossRef]
- Díaz-Montes, E.; Yáñez-Fernández, J.; Castro-Muñoz, R. Microfiltration-Mediated Extraction of Dextran Produced by Leuconostoc mesenteroides SF3. Food Bioprod. Process 2020, 119, 317–328. [Google Scholar] [CrossRef]
- Rahman, S.S.A.; Pasupathi, S.; Karuppiah, S. Influence of Deep-Eutectic and Organic Solvents on the Recovery, Molecular Mass, and Functional Properties of Dextran: Application Using Dextran Film. Int. J. Biol. Macromol. 2025, 293, 139202. [Google Scholar] [CrossRef]
- Strbak, O.; Antal, I.; Khmara, I.; Koneracka, M.; Kubovcikova, M.; Zavisova, V.; Molcan, M.; Jurikova, A.; Hnilicova, P.; Gombos, J.; et al. Influence of Dextran Molecular Weight on the Physical Properties of Magnetic Nanoparticles for Hyperthermia and MRI Applications. Nanomaterials 2020, 10, 2468. [Google Scholar] [CrossRef]
- Yan, C.; Ding, C.; Cheng, C.; Gong, Y.; Han, S.; Xia, Z.; Kang, D. A Functional Analysis of the Effects of the Molecular Weight of Dextran on ε-Polylysine-Dextran Conjugate Created through the Maillard Reaction. Food Chem. 2022, 390, 133212. [Google Scholar] [CrossRef]
- Wasiak, I.; Kulikowska, A.; Janczewska, M.; Michalak, M.; Cymerman, I.A.; Nagalski, A.; Kallinger, P.; Szymanski, W.W.; Ciach, T. Dextran Nanoparticle Synthesis and Properties. PLoS ONE 2016, 11, e0146237. [Google Scholar] [CrossRef]
- Kabil, M.F.; Abo Dena, A.S.; El-Sherbiny, I.M. Pullulan-Based Nanocarriers for Therapeutic Applications. In Polymeric Nanosystems: Theranostic Nanosystems: Volume 1; Hasnain, M.S., Nayak, A.K., Aminabhavi, T.M., Eds.; Academic Press: Cambridge, MA, USA, 2023; pp. 309–331. [Google Scholar] [CrossRef]
- Lochhead, R.Y. The Use of Polymers in Cosmetic Products. In Cosmetic Science and Technology: Theoretical Principles and Applications; Sakamoto, K., Lochhead, R.Y., Maibach, H.I., Yamashita, Y., Eds.; Elsevier: Amsterdam, The Netherlands, 2017; pp. 171–221. [Google Scholar] [CrossRef]
- Jiang, T.; Singh, B.; Choi, Y.J.; Akaike, T.; Cho, C.S. Liver Tissue Engineering Using Functional Marine Biomaterials. In Functional Marine Biomaterials: Properties and Applications; Kim, S., Ed.; Woodhead Publishing: Cambridge, UK, 2015; pp. 91–106. [Google Scholar] [CrossRef]
- Aquinas, N.; Chithra, C.H.; Bhat, M.R. Progress in Bioproduction, Characterization and Applications of Pullulan: A Review. Polym. Bull. 2024, 81, 12347–12382. [Google Scholar] [CrossRef]
- Lazaridou, A.; Biliaderis, C.G.; Kontogiorgos, V. Molecular Weight Effects on Solution Rheology of Pullulan and Mechanical Properties of Its Films. Carbohydr. Polym. 2003, 52, 151–166. [Google Scholar] [CrossRef]
- Singh, R.S.; Kaur, N.; Singh, D.; Bajaj, B.K.; Kennedy, J.F. Downstream Processing and Structural Confirmation of Pullulan—A Comprehensive Review. Int. J. Biol. Macromol. 2022, 208, 553–564. [Google Scholar] [CrossRef] [PubMed]
- Manivannan, M.; Nathan, S.S.; Sasikumar, P.; Ramkumar, L.; Navaneethan, D.; Prabu, P.; Anjalin, F.M.; Dharamarj, N.; Alqahtani, M.S.; Abbas, M. Review on Applications of Pullulan in Bone Tissue Engineering: Blends and Composites with Natural and Synthetic Polymers. Polym. Polym. Compos. 2023, 31, 1–13. [Google Scholar] [CrossRef]
- Rodriguez-marquez, C.D.; Arteaga-marin, S.; Rivas-sánchez, A.; Autrique-hernández, R.; Castro-muñoz, R. A Review on Current Strategies for Extraction and Purification of Hyaluronic Acid. Int. J. Mol. Sci. 2022, 23, 6038. [Google Scholar] [CrossRef]
- Snetkov, P.; Zakharova, K.; Morozkina, S.; Olekhnovich, R.; Uspenskaya, M. Hyaluronic Acid: The Influence of Molecular Weight on Structural, Physical, Physico-Chemical, and Degradable Properties of Biopolymer. Polymers 2020, 12, 1800. [Google Scholar] [CrossRef]
- Mahapatro, A.; Singh, D.K. Biodegradable Nanoparticles Are Excellent Vehicle for Site Directed In-Vivo Delivery of Drugs and Vaccines. J. Nanobiotechnol. 2011, 9, 55. [Google Scholar] [CrossRef]
- Myrick, J.M.; Vendra, V.K.; Krishnan, S. Self-Assembled Polysaccharide Nanostructures for Controlled-Release Applications. Nanotechnol. Rev. 2014, 3, 319–346. [Google Scholar] [CrossRef]
- Tomasik, P. Chemical Modification of Polysaccharides. Int. Sch. Res. Notices 2013, 2013, 417672. [Google Scholar] [CrossRef]
- Elzayat, A.M.; Adam-Cervera, I.; Albus, M.; Cháfer, A.; Badia, J.D.; Pérez-Pla, F.F.; Muñoz-Espí, R. Polysaccharide/Silica Microcapsules Prepared via Ionic Gelation Combined with Spray Drying: Application in the Release of Hydrophilic Substances and Catalysis. Polymers 2023, 15, 4116. [Google Scholar] [CrossRef]
- Venkatesan, J.; Anil, S.; Kim, S.K.; Shim, M.S. Seaweed Polysaccharide-Based Nanoparticles: Preparation and Applications for Drug Delivery. Polymers 2016, 8, 30. [Google Scholar] [CrossRef]
- Wang, H.; Deng, H.; Gao, M.; Zhang, W. Self-Assembled Nanogels Based on Ionic Gelation of Natural Polysaccharides for Drug Delivery. Front. Bioeng. Biotechnol. 2021, 9, 703559. [Google Scholar] [CrossRef] [PubMed]
- Dong, Y.; Ng, W.K.; Shen, S.; Kim, S.; Tan, R.B.H. Scalable Ionic Gelation Synthesis of Chitosan Nanoparticles for Drug Delivery in Static Mixers. Carbohydr. Polym. 2013, 94, 940–945. [Google Scholar] [CrossRef] [PubMed]
- Duarte, D.S.; Nascimento, J.A.d.A.; Britto, D. de Scale-up in the Synthesis of Nanoparticles for Encapsulation of Agroindustrial Active Principles. Ciência e Agrotecnologia 2020, 43, e023819. [Google Scholar] [CrossRef]
- Zheng, J.; Van der Meeren, P.; Sun, W. New Insights into Protein–Polysaccharide Complex Coacervation: Dynamics, Molecular Parameters, and Applications. Aggregate 2024, 5, e449. [Google Scholar] [CrossRef]
- Klemmer, K.J.; Waldner, L.; Stone, A.; Low, N.H.; Nickerson, M.T. Complex Coacervation of Pea Protein Isolate and Alginate Polysaccharides. Food Chem. 2012, 130, 710–715. [Google Scholar] [CrossRef]
- Eghbal, N.; Choudhary, R. Complex Coacervation: Encapsulation and Controlled Release of Active Agents in Food Systems. LWT 2018, 90, 254–264. [Google Scholar] [CrossRef]
- Alavarse, A.C.; Frachini, E.C.G.; da Silva, R.L.C.G.; Lima, V.H.; Shavandi, A.; Petri, D.F.S. Crosslinkers for Polysaccharides and Proteins: Synthesis Conditions, Mechanisms, and Crosslinking Efficiency, a Review. Int. J. Biol. Macromol. 2022, 202, 558–596. [Google Scholar] [CrossRef]
- Maiti, S.; Maji, B.; Yadav, H. Progress on Green Crosslinking of Polysaccharide Hydrogels for Drug Delivery and Tissue Engineering Applications. Carbohydr. Polym. 2024, 326, 121584. [Google Scholar] [CrossRef]
- Taha, A.; Ahmed, E.; Ismaiel, A.; Ashokkumar, M.; Xu, X.; Pan, S.; Hu, H. Ultrasonic Emulsification: An Overview on the Preparation of Different Emulsifiers-Stabilized Emulsions. Trends Food Sci. Technol. 2020, 105, 363–377. [Google Scholar] [CrossRef]
- Cui, R.; Zhu, F. Ultrasound Modified Polysaccharides: A Review of Structure, Physicochemical Properties, Biological Activities and Food Applications. Trends Food Sci. Technol. 2021, 107, 491–508. [Google Scholar] [CrossRef]
- Awuchi, C.G.; Akram, M.; Owuamanam, I.C.; Ogueke, C.C.; Awuchi, C.G.; Twinomhwezi, H. Nanotechnological Application of Peptide- and Protein-Based Therapeutics. In Applications of Nanotechnology in Drug Discovery and Delivery; Egbuna, C., Găman, M.A., Jeevanandam, J., Eds.; Elsevier: Amsterdam, The Netherlands, 2022; pp. 205–238. [Google Scholar] [CrossRef]
- Jiang, L.; Duan, H.; Ji, X.; Wang, T.; Wang, Y.; Qiu, J. Application of a Simple Desolvation Method to Increase the Formation Yield, Physical Stability and Hydrophobic Drug Encapsulation Capacity of Chitosan-Based Nanoparticles. Int. J. Pharm. 2018, 545, 117–127. [Google Scholar] [CrossRef]
- Ammanage, A.S.; Mastiholimath, V.S. Quality by Design Approach Assisted Development and Optimization of Chitosan–Vildagliptin Nanoparticles Using a Simple Desolvation Technique. J. Appl. Pharm. Sci. 2025, 15, 174–182. [Google Scholar] [CrossRef]
- Gavory, C.; Durand, A.; Six, J.L.; Nouvel, C.; Marie, E.; Leonard, M. Polysaccharide-Covered Nanoparticles Prepared by Nanoprecipitation. Carbohydr. Polym. 2011, 84, 133–140. [Google Scholar] [CrossRef]
- Salatin, S.; Barar, J.; Barzegar-Jalali, M.; Adibkia, K.; Kiafar, F.; Jelvehgari, M. Development of a Nanoprecipitation Method for the Entrapment of a Very Water Soluble Drug into Eudragit RL Nanoparticles. Res. Pharm. Sci. 2017, 12, 1. [Google Scholar] [CrossRef]
- Gericke, M.; Schulze, P.; Heinze, T. Nanoparticles Based on Hydrophobic Polysaccharide Derivatives—Formation Principles, Characterization Techniques, and Biomedical Applications. Macromol. Biosci. 2020, 20, 1900415. [Google Scholar] [CrossRef]
- Kuddushi, M.; Kanike, C.; Xu, B.B.; Zhang, X. Recent Advances in Nanoprecipitation: From Mechanistic Insights to Applications in Nanomaterial Synthesis. Soft Matter 2025, 21, 2759–2781. [Google Scholar] [CrossRef]
- Su, W.; Chang, Z.; E, Y.; Feng, Y.; Yao, X.; Wang, M.; Ju, Y.; Wang, K.; Jiang, J.; Li, P.; et al. Electrospinning and Electrospun Polysaccharide-Based Nanofiber Membranes: A Review. Int. J. Biol. Macromol. 2024, 263, 130335. [Google Scholar] [CrossRef]
- Arash, A.; Dehgan, F.; Zamanlui Benisi, S.; Jafari-Nodoushan, M.; Pezeshki-Modaress, M. Polysaccharide Base Electrospun Nanofibrous Scaffolds for Cartilage Tissue Engineering: Challenges and Opportunities. Int. J. Biol. Macromol. 2024, 277, 134054. [Google Scholar] [CrossRef]
- Tan, G.; Wang, L.; Pan, W.; Chen, K. Polysaccharide Electrospun Nanofibers for Wound Healing Applications. Int. J. Nanomed. 2022, 17, 3913. [Google Scholar] [CrossRef]
- Cao, J.; Gao, M.; Wang, J.; Liu, Y.; Zhang, X.; Ping, Y.; Liu, J.; Chen, G.; Xu, D.; Huang, X.; et al. Construction of Nano Slow-Release Systems for Antibacterial Active Substances and Its Applications: A Comprehensive Review. Front. Nutr. 2023, 10, 1109204. [Google Scholar] [CrossRef]
- Petrovic, S.M.; Barbinta-Patrascu, M.E. Organic and Biogenic Nanocarriers as Bio-Friendly Systems for Bioactive Compounds’ Delivery: State-of-the Art and Challenges. Materials 2023, 16, 7550. [Google Scholar] [CrossRef]
- Khameneh, B.; Iranshahy, M.; Soheili, V.; Fazly Bazzaz, B.S. Review on Plant Antimicrobials: A Mechanistic Viewpoint. Antimicrob. Resist. Infect. Control 2019, 8, 118. [Google Scholar] [CrossRef]
- Delshadi, R.; Bahrami, A.; Assadpour, E.; Williams, L.; Jafari, S.M. Nano/Microencapsulated Natural Antimicrobials to Control the Spoilage Microorganisms and Pathogens in Different Food Products. Food Control 2021, 128, 108180. [Google Scholar] [CrossRef]
- Pinilla, C.M.B.; Lopes, N.A.; Brandelli, A. Lipid-Based Nanostructures for the Delivery of Natural Antimicrobials. Molecules 2021, 26, 3587. [Google Scholar] [CrossRef]
- Yilmaz Atay, H. Antibacterial Activity of Chitosan-Based Systems. In Functional Chitosan; Jana, S., Jana, S., Eds.; Springer: Singapore, 2020; p. 457. [Google Scholar] [CrossRef]
- Perinelli, D.R.; Fagioli, L.; Campana, R.; Lam, J.K.W.; Baffone, W.; Palmieri, G.F.; Casettari, L.; Bonacucina, G. Chitosan-Based Nanosystems and Their Exploited Antimicrobial Activity. Eur. J. Pharm. Sci. 2018, 117, 8–20. [Google Scholar] [CrossRef]
- Nieto Marín, V.; Buccini, D.F.; Gomes da Silva, V.; Fernandez Soliz, I.A.; Franco, O.L. Nanoformulations of Bioactive Compounds Derived from Essential Oils with Antimicrobial Activity. Nano Trends 2025, 9, 100070. [Google Scholar] [CrossRef]
- Hadidi, M.; Pouramin, S.; Adinepour, F.; Haghani, S.; Jafari, S.M. Chitosan Nanoparticles Loaded with Clove Essential Oil: Characterization, Antioxidant and Antibacterial Activities. Carbohydr. Polym. 2020, 236, 116075. [Google Scholar] [CrossRef]
- Zhang, F.; Ramachandran, G.; Mothana, R.A.; Noman, O.M.; Alobaid, W.A.; Rajivgandhi, G.; Manoharan, N. Anti-Bacterial Activity of Chitosan Loaded Plant Essential Oil against Multi Drug Resistant K. Pneumoniae. Saudi J. Biol. Sci. 2020, 27, 3449. [Google Scholar] [CrossRef]
- Osanloo, M.; Ranjbar, R.; Zarenezhad, E. Alginate Nanoparticles Containing Cuminum Cyminum and Zataria Multiflora Essential Oils with Promising Anticancer and Antibacterial Effects. Int. J. Biomater. 2024, 2024, 5556838. [Google Scholar] [CrossRef]
- Gholamhossein Tabar Valookolaei, F.S.; Sazegar, H.; Rouhi, L. The Antibacterial Capabilities of Alginate Encapsulated Lemon Essential Oil Nanocapsules against Multi-Drug-Resistant Acinetobacter Baumannii. Sci. Rep. 2025, 15, 1679. [Google Scholar] [CrossRef]
- Sathiyabama, M.; Boomija, R.V.; Muthukumar, S.; Gandhi, M.; Salma, S.; Prinsha, T.K.; Rengasamy, B. Green Synthesis of Chitosan Nanoparticles Using Tea Extract and Its Antimicrobial Activity against Economically Important Phytopathogens of Rice. Sci. Rep. 2024, 14, 7381. [Google Scholar] [CrossRef]
- Costa, J.R.; Xavier, M.; Amado, I.R.; Gonçalves, C.; Castro, P.M.; Tonon, R.V.; Cabral, L.M.C.; Pastrana, L.; Pintado, M.E. Polymeric Nanoparticles as Oral Delivery Systems for a Grape Pomace Extract towards the Improvement of Biological Activities. Mater. Sci. Eng. C 2021, 119, 111551. [Google Scholar] [CrossRef]
- El-Naggar, N.E.A.; Eltarahony, M.; Hafez, E.E.; Bashir, S.I. Green Fabrication of Chitosan Nanoparticles Using Lavendula Angustifolia, Optimization, Characterization and In-vitro Antibiofilm Activity. Sci. Rep. 2023, 13, 11127. [Google Scholar] [CrossRef]
- Duraisamy, N.; Dhayalan, S.; Shaik, M.R.; Shaik, A.H.; Shaik, J.P.; Shaik, B. Green Synthesis of Chitosan Nanoparticles Using of Martynia Annua L. Ethanol Leaf Extract and Their Antibacterial Activity. Crystals 2022, 12, 1550. [Google Scholar] [CrossRef]
- Abedini, E.; Khodadadi, E.; Zeinalzadeh, E.; Moaddab, S.R.; Asgharzadeh, M.; Mehramouz, B.; Dao, S.; Samadi Kafil, H. A Comprehensive Study on the Antimicrobial Properties of Resveratrol as an Alternative Therapy. Evid. Based Complement. Alternat Med. 2021, 2021, 8866311. [Google Scholar] [CrossRef]
- Spósito, L.; Fonseca, D.; Gonçalves Carvalho, S.; Sábio, R.M.; Marena, G.D.; Bauab, T.M.; Bagliotti Meneguin, A.; Parreira, P.; Martins, M.C.L.; Chorilli, M. Engineering Resveratrol-Loaded Chitosan Nanoparticles for Potential Use against Helicobacter pylori Infection. Eur. J. Pharm. Biopharm. 2024, 199, 114280. [Google Scholar] [CrossRef]
- Wathoni, N.; Herdiana, Y.; Suhandi, C.; Mohammed, A.F.A.; El-Rayyes, A.; Narsa, A.C. Chitosan/Alginate-Based Nanoparticles for Antibacterial Agents Delivery. Int. J. Nanomed. 2024, 19, 5021. [Google Scholar] [CrossRef]
- Nalini, T.; Basha, S.K.; Sadiq, A.M.; Kumari, V.S. Pectin/Chitosan Nanoparticle Beads as Potential Carriers for Quercetin Release. Mater. Today Commun. 2022, 33, 104172. [Google Scholar] [CrossRef]
- Zhao, X.; Zhang, X.; Tie, S.; Hou, S.; Wang, H.; Song, Y.; Rai, R.; Tan, M. Facile Synthesis of Nano-Nanocarriers from Chitosan and Pectin with Improved Stability and Biocompatibility for Anthocyanins Delivery: An in Vitro and in Vivo Study. Food Hydrocoll. 2020, 109, 106114. [Google Scholar] [CrossRef]
- Abreu, F.O.M.S.; Oliveira, E.F.; Paula, H.C.B.; De Paula, R.C.M. Chitosan/Cashew Gum Nanogels for Essential Oil Encapsulation. Carbohydr. Polym. 2012, 89, 1277–1282. [Google Scholar] [CrossRef]
- Zaharieva, M.M.; Kaleva, M.; Kroumov, A.; Slavkova, M.; Benbassat, N.; Yoncheva, K.; Najdenski, H. Advantageous Combinations of Nanoencapsulated Oregano Oil with Selected Antibiotics for Skin Treatment. Pharmaceutics 2022, 14, 2773. [Google Scholar] [CrossRef] [PubMed]
- Rajendran, R.; Radhai, R.; Kotresh, T.M.; Csiszar, E. Development of Antimicrobial Cotton Fabrics Using Herb Loaded Nanoparticles. Carbohydr. Polym. 2013, 91, 613–617. [Google Scholar] [CrossRef] [PubMed]
- Luiza Koop, B.; Nascimento da Silva, M.; Diniz da Silva, F.; Thayres dos Santos Lima, K.; Santos Soares, L.; José de Andrade, C.; Ayala Valencia, G.; Rodrigues Monteiro, A. Flavonoids, Anthocyanins, Betalains, Curcumin, and Carotenoids: Sources, Classification and Enhanced Stabilization by Encapsulation and Adsorption. Food Res. Int. 2022, 153, 110929. [Google Scholar] [CrossRef]
- Cisowska, A.; Wojnicz, D.; Hendrich, A.B. Anthocyanins as Antimicrobial Agents of Natural Plant Origin. Nat. Prod. Commun. 2011, 6, 149–156. [Google Scholar] [CrossRef]
- Mirnejad, R.; Mofazzal Jahromi, M.A.; Al-Musawi, S.; Pirestani, M.; Fasihi Ramandi, M.; Ahmadi, K.; Rajayi, H.; Mohammad Hassan, Z.; Kamali, M. Curcumin-Loaded Chitosan Tripolyphosphate Nanoparticles as a Safe, Natural and Effective Antibiotic Inhibits the Infection of Staphylococcus Aureus and Pseudomonas Aeruginosa in Vivo. Iran. J. Biotechnol. 2014, 12, e1012. [Google Scholar] [CrossRef]
- Sarma, A.; Deka, C.; Devi, S.P.; Kakati, D.K. Synthesis of Curcumin-Loaded Complex Coacervate of Chitosan Phosphate and Sodium Alginate and Study of Their Antibacterial Activity. Indian J. Pharm. Educ. Res. 2024, 58, s420–s428. [Google Scholar] [CrossRef]
- Sharma, C.; Bhardwaj, N.K. Fabrication of Natural-Origin Antibacterial Nanocellulose Films Using Bio-Extracts for Potential Use in Biomedical Industry. Int. J. Biol. Macromol. 2020, 145, 914–925. [Google Scholar] [CrossRef]
- Zikmundova, M.; Vereshaka, M.; Kolarova, K.; Pajorova, J.; Svorcik, V.; Bacakova, L. Effects of Bacterial Nanocellulose Loaded with Curcumin and Its Degradation Products on Human Dermal Fibroblasts. Materials 2020, 13, 4759. [Google Scholar] [CrossRef]
- Zielińska, S.; Matkowski, A.; Dydak, K.; Czerwińska, M.E.; Dziągwa-Becker, M.; Kucharski, M.; Wójciak, M.; Sowa, I.; Plińska, S.; Fijałkowski, K.; et al. Bacterial Nanocellulose Fortified with Antimicrobial and Anti-Inflammatory Natural Products from Chelidonium Majus Plant Cell Cultures. Materials 2022, 15, 16. [Google Scholar] [CrossRef]
- Liakos, I.L.; Iordache, F.; Carzino, R.; Scarpellini, A.; Oneto, M.; Bianchini, P.; Grumezescu, A.M.; Holban, A.M. Cellulose Acetate—Essential Oil Nanocapsules with Antimicrobial Activity for Biomedical Applications. Colloids Surf. B Biointerfaces 2018, 172, 471–479. [Google Scholar] [CrossRef]
- Darpentigny, C.; Marcoux, P.R.; Menneteau, M.; Michel, B.; Ricoul, F.; Jean, B.; Bras, J.; Nonglaton, G. Antimicrobial Cellulose Nanofibril Porous Materials Obtained by Supercritical Impregnation of Thymol. ACS Appl. Bio Mater. 2020, 3, 2965–2975. [Google Scholar] [CrossRef] [PubMed]
- Sauraj; Kumar, S.U.; Kumar, V.; Priyadarshi, R.; Gopinath, P.; Negi, Y.S. PH-Responsive Prodrug Nanoparticles Based on Xylan-Curcumin Conjugate for the Efficient Delivery of Curcumin in Cancer Therapy. Carbohydr. Polym. 2018, 188, 252–259. [Google Scholar] [CrossRef] [PubMed]
- Qiu, C.; Chang, R.; Yang, J.; Ge, S.; Xiong, L.; Zhao, M.; Li, M.; Sun, Q. Preparation and Characterization of Essential Oil-Loaded Starch Nanoparticles Formed by Short Glucan Chains. Food Chem. 2017, 221, 1426–1433. [Google Scholar] [CrossRef] [PubMed]
- Nallasamy, P.; Ramalingam, T.; Nooruddin, T.; Shanmuganathan, R.; Arivalagan, P.; Natarajan, S. Polyherbal Drug Loaded Starch Nanoparticles as Promising Drug Delivery System: Antimicrobial, Antibiofilm and Neuroprotective Studies. Process Biochem. 2020, 92, 355–364. [Google Scholar] [CrossRef]
- Gholami, M.; Hosseini, M.; Shahavi, M.H.; Jahanshahi, M. Assessing Therapeutic Effects of Corn Starch Nanoparticles with Lavender Extract on Skin Wound Healing in Wistar Rats. Iranica J. Energy Environ. 2025, 16, 326–338. [Google Scholar] [CrossRef]
- Wang, R.; Qin, X.; Du, Y.; Shan, Z.; Shi, C.; Huang, K.; Wang, J.; Zhi, K. Dual-Modified Starch Nanoparticles Containing Aromatic Systems with Highly Efficient Encapsulation of Curcumin and Their Antibacterial Applications. Food Res. Int. 2022, 162, 111926. [Google Scholar] [CrossRef]
- Farrag, Y.; Ide, W.; Montero, B.; Rico, M.; Rodríguez-Llamazares, S.; Barral, L.; Bouza, R. Preparation of Starch Nanoparticles Loaded with Quercetin Using Nanoprecipitation Technique. Int. J. Biol. Macromol. 2018, 114, 426–433. [Google Scholar] [CrossRef]
- Remanan, M.K.; Zhu, F. Encapsulation of Rutin Using Quinoa and Maize Starch Nanoparticles. Food Chem. 2021, 353, 128534. [Google Scholar] [CrossRef]
- Hu, Y.; Zhang, W.; Ke, Z.; Li, Y.; Zhou, Z. In Vitro Release and Antioxidant Activity of Satsuma Mandarin (Citrus Reticulata Blanco Cv. Unshiu) Peel Flavonoids Encapsulated by Pectin Nanoparticles. Int. J. Food Sci. Technol. 2017, 52, 2362–2373. [Google Scholar] [CrossRef]
- Rajabi, H.; Jafari, S.M.; Rajabzadeh, G.; Sarfarazi, M.; Sedaghati, S. Chitosan-Gum Arabic Complex Nanocarriers for Encapsulation of Saffron Bioactive Components. Colloids Surf. A Physicochem. Eng. Asp. 2019, 578, 123644. [Google Scholar] [CrossRef]
- de Oliveira, E.F.; Paula, H.C.B.; Paula, R.C.M. de Alginate/Cashew Gum Nanoparticles for Essential Oil Encapsulation. Colloids Surf. B Biointerfaces 2014, 113, 146–151. [Google Scholar] [CrossRef] [PubMed]
- Salarbashi, D.; Tafaghodi, M.; Fathi, M.; Aboutorabzade, S.M.; Sabbagh, F. Development of Curcumin-Loaded Prunus Armeniaca Gum Nanoparticles: Synthesis, Characterization, Control Release Behavior, and Evaluation of Anticancer and Antimicrobial Properties. Food Sci. Nutr. 2021, 9, 6109–6119. [Google Scholar] [CrossRef] [PubMed]
- Mazyed, E.A.; Magdy, G.; Elekhnawy, E.; Yammine, M.; Rolando, C.; ElNaggar, M.H. Formulation and Characterization of Quercetin-Loaded Prunus Armeniaca Gum Nanoparticles with Enhanced Anti-Bacterial Effect. J. Drug Deliv. Sci. Technol. 2024, 94, 105485. [Google Scholar] [CrossRef]
- Fani, N.; Enayati, M.H.; Rostamabadi, H.; Falsafi, S.R. Encapsulation of Bioactives within Electrosprayed κ-Carrageenan Nanoparticles. Carbohydr. Polym. 2022, 294, 119761. [Google Scholar] [CrossRef]
- Choi, Y.S.; Lee, J.S.; Lee, H.G. Nanoencapsulation of Grapefruit Seed Extract and Cinnamon Oil for Oral Health: Preparation, In Vitro, and Clinical Antimicrobial Activities. J. Agric. Food Chem. 2023, 71, 5646–5654. [Google Scholar] [CrossRef]
- He, Z.; Liu, Y.; Wang, H.; Li, P.; Chen, Y.; Wang, C.; Zhou, C.; Song, S.; Chen, S.; Huang, G.; et al. Dual-Grafted Dextran Based Nanomicelles: Higher Antioxidant, Anti-Inflammatory and Cellular Uptake Efficiency for Quercetin. Int. J. Biol. Macromol. 2023, 224, 1361–1372. [Google Scholar] [CrossRef]
- Darwish, M.M.; Elneklawi, M.S.; Mohamad, E.A. Aloe Vera Coated Dextran Sulfate/Chitosan Nanoparticles (Aloe Vera @ DS/CS) Encapsulating Eucalyptus Essential Oil with Antibacterial Potent Property. J. Biomater. Sci. Polym. Ed. 2023, 34, 810–827. [Google Scholar] [CrossRef]
- Hong, S.E.; Lee, J.S.; Lee, H.G. α-Tocopherol-Loaded Multi-Layer Nanoemulsion Using Chitosan, and Dextran Sulfate: Cellular Uptake, Antioxidant Activity, and in Vitro Bioaccessibility. Int. J. Biol. Macromol. 2024, 254, 127819. [Google Scholar] [CrossRef]
- Anitha, A.; Deepagan, V.G.; Divya Rani, V.V.; Menon, D.; Nair, S.V.; Jayakumar, R. Preparation, Characterization, in Vitro Drug Release and Biological Studies of Curcumin Loaded Dextran Sulphate–Chitosan Nanoparticles. Carbohydr. Polym. 2011, 84, 1158–1164. [Google Scholar] [CrossRef]
- Muralidharan, S.; Shanmugam, K. Synthesis and Characterization of Naringenin-Loaded Chitosan-Dextran Sulfate Nanocarrier. J. Pharm. Innov. 2021, 16, 269–278. [Google Scholar] [CrossRef]
- Zambak, Ö.; Özkal, A.; Özkal, S.G. Production of Clove Extract Loaded Pullulan and Whey Protein Nanofibers as Antioxidant and Antibacterial Agent. J. Appl. Polym. Sci. 2022, 139, e53141. [Google Scholar] [CrossRef]
- Pawara, Y.; Mahajan, H. Surface-Functionalized Pullulan-Based Polymeric Nanoparticles Containing Resveratrol: A Green Approach for Lung Cancer Targeted Delivery. Part. Sci. Technol. 2025, 43, 416–432. [Google Scholar] [CrossRef]
- Xu, F.; Weng, B.; Gilkerson, R.; Materon, L.A.; Lozano, K. Development of Tannic Acid/Chitosan/Pullulan Composite Nanofibers from Aqueous Solution for Potential Applications as Wound Dressing. Carbohydr. Polym. 2015, 115, 16–24. [Google Scholar] [CrossRef] [PubMed]
- Duan, Y.; Li, K.; Wang, H.; Wu, T.; Zhao, Y.; Li, H.; Tang, H.; Yang, W. Preparation and Evaluation of Curcumin Grafted Hyaluronic Acid Modified Pullulan Polymers as a Functional Wound Dressing Material. Carbohydr. Polym. 2020, 238, 116195. [Google Scholar] [CrossRef]
- Doğan, G.; Başal, G.; Bayraktar, O.; Ozyildiz, F.; Uzel, A.; Erdoğan, I. Bioactive Sheath/Core Nanofibers Containing Olive Leaf Extract. Microsc. Res. Tech. 2016, 79, 38–49. [Google Scholar] [CrossRef][Green Version]
- Ghodke, S.S. Multifunctional Curcumin-Loaded Nanocarriers for Lung Delivery. Ph.D. Thesis, UCL (University College London), London, UK, August 2021. [Google Scholar]
- Hussain, Z.; Pandey, M.; Choudhury, H.; Ying, P.C.; Xian, T.M.; Kaur, T.; Jia, G.W.; Gorain, B. Hyaluronic Acid Functionalized Nanoparticles for Simultaneous Delivery of Curcumin and Resveratrol for Management of Chronic Diabetic Wounds: Fabrication, Characterization, Stability and in Vitro Release Kinetics. J. Drug Deliv. Sci. Technol. 2020, 57, 101747. [Google Scholar] [CrossRef]
- Quagliariello, V.; Iaffaioli, R.V.; Armenia, E.; Clemente, O.; Barbarisi, M.; Nasti, G.; Berretta, M.; Ottaiano, A.; Barbarisi, A. Hyaluronic Acid Nanohydrogel Loaded With Quercetin Alone or in Combination to a Macrolide Derivative of Rapamycin RAD001 (Everolimus) as a New Treatment for Hormone-Responsive Human Breast Cancer. J. Cell Physiol. 2017, 232, 2063–2074. [Google Scholar] [CrossRef]
- Barbarisi, M.; Iaffaioli, R.V.; Armenia, E.; Schiavo, L.; De Sena, G.; Tafuto, S.; Barbarisi, A.; Quagliariello, V. Novel Nanohydrogel of Hyaluronic Acid Loaded with Quercetin Alone and in Combination with Temozolomide as New Therapeutic Tool, CD44 Targeted Based, of Glioblastoma Multiforme. J. Cell Physiol. 2018, 233, 6550–6564. [Google Scholar] [CrossRef]
- Montanari, E.; Gennari, A.; Pelliccia, M.; Gourmel, C.; Lallana, E.; Matricardi, P.; McBain, A.J.; Tirelli, N. Hyaluronan/Tannic Acid Nanoparticles Via Catechol/Boronate Complexation as a Smart Antibacterial System. Macromol. Biosci. 2016, 16, 1815–1823. [Google Scholar] [CrossRef]
- Adamczak, A.; Ożarowski, M.; Karpiński, T.M. Curcumin, a Natural Antimicrobial Agent with Strain-Specific Activity. Pharmaceuticals 2020, 13, 153. [Google Scholar] [CrossRef]
- Frenț, O.D.; Stefan, L.; Morgovan, C.M.; Duteanu, N.; Dejeu, I.L.; Marian, E.; Vicaș, L.; Manole, F. A Systematic Review: Quercetin—Secondary Metabolite of the Flavonol Class, with Multiple Health Benefits and Low Bioavailability. Int. J. Mol. Sci. 2024, 25, 12091. [Google Scholar] [CrossRef] [PubMed]
- Ong, X.R.; Chen, A.X.; Li, N.; Yang, Y.Y.; Luo, H.K. Nanocellulose: Recent Advances Toward Biomedical Applications. Small Sci. 2023, 3, 2200076. [Google Scholar] [CrossRef] [PubMed]
- Zheng, L.; Li, S.; Luo, J.; Wang, X. Latest Advances on Bacterial Cellulose-Based Antibacterial Materials as Wound Dressings. Front. Bioeng. Biotechnol. 2020, 8, 593768. [Google Scholar] [CrossRef] [PubMed]
- Caban, M.; Lewandowska, U. Encapsulation of Polyphenolic Compounds Based on Hemicelluloses to Enhance Treatment of Inflammatory Bowel Diseases and Colorectal Cancer. Molecules 2023, 28, 4189. [Google Scholar] [CrossRef]
- Marchese, A.; Orhan, I.E.; Daglia, M.; Barbieri, R.; Di Lorenzo, A.; Nabavi, S.F.; Gortzi, O.; Izadi, M.; Nabavi, S.M. Antibacterial and Antifungal Activities of Thymol: A Brief Review of the Literature. Food Chem. 2016, 210, 402–414. [Google Scholar] [CrossRef]
- Tuchilus, C.G.; Nichifor, M.; Mocanu, G.; Stanciu, M.C. Antimicrobial Activity of Chemically Modified Dextran Derivatives. Carbohydr. Polym. 2017, 161, 181–186. [Google Scholar] [CrossRef]
- Madkhali, O.A.; Sivagurunathan Moni, S.; Sultan, M.H.; Bukhary, H.A.; Ghazwani, M.; Alhakamy, N.A.; Meraya, A.M.; Alshahrani, S.; Alqahtani, S.S.; Bakkari, M.A.; et al. Formulation and Evaluation of Injectable Dextran Sulfate Sodium Nanoparticles as a Potent Antibacterial Agent. Sci. Rep. 2021, 11, 9914. [Google Scholar] [CrossRef]
- Vestergaard, M.; Ingmer, H. Antibacterial and Antifungal Properties of Resveratrol. Int. J. Antimicrob. Agents 2019, 53, 716–723. [Google Scholar] [CrossRef]
- Kaczmarek, B. Tannic Acid with Antiviral and Antibacterial Activity as A Promising Component of Biomaterials—A Minireview. Materials 2020, 13, 3224. [Google Scholar] [CrossRef]
- Cowan, M.M. Plant Products as Antimicrobial Agents. Clin. Microbiol. Rev. 1999, 12, 564. [Google Scholar] [CrossRef]
- Nair, A.; Mallya, R.; Suvarna, V.; Khan, T.A.; Momin, M.; Omri, A. Nanoparticles—Attractive Carriers of Antimicrobial Essential Oils. Antibiotics 2022, 11, 108. [Google Scholar] [CrossRef] [PubMed]
- Ghosh, S.; Nandi, S.; Basu, T. Nano-Antibacterials Using Medicinal Plant Components: An Overview. Front. Microbiol. 2022, 12, 768739. [Google Scholar] [CrossRef] [PubMed]
- Danquah, C.A.; Minkah, P.A.B.; Junior, I.O.D.; Amankwah, K.B.; Somuah, S.O. Antimicrobial Compounds from Microorganisms. Antibiotics 2022, 11, 285. [Google Scholar] [CrossRef]
- Darbandi, A.; Asadi, A.; Mahdizade Ari, M.; Ohadi, E.; Talebi, M.; Halaj Zadeh, M.; Darb Emamie, A.; Ghanavati, R.; Kakanj, M. Bacteriocins: Properties and Potential Use as Antimicrobials. J. Clin. Lab. Anal. 2021, 36, e24093. [Google Scholar] [CrossRef]
- Zimina, M.; Babich, O.; Prosekov, A.; Sukhikh, S.; Ivanova, S.; Shevchenko, M.; Noskova, S. Overview of Global Trends in Classification, Methods of Preparation and Application of Bacteriocins. Antibiotics 2020, 9, 553. [Google Scholar] [CrossRef]
- Hourigan, D.; Miceli de Farias, F.; O’Connor, P.M.; Hill, C.; Ross, R.P. Discovery and Synthesis of Leaderless Bacteriocins from the Actinomycetota. J. Bacteriol. 2024, 206, e0029824. [Google Scholar] [CrossRef]
- Perez, R.H.; Zendo, T.; Sonomoto, K. Novel Bacteriocins from Lactic Acid Bacteria (LAB): Various Structures and Applications. Microb. Cell Fact. 2014, 13, S3. [Google Scholar] [CrossRef]
- Parada, J.L.; Caron, C.R.; Medeiros, A.B.P.; Soccol, C.R. Bacteriocins from Lactic Acid Bacteria: Purification, Properties and Use as Biopreservatives. Braz. Arch. Biol. Technol. 2007, 50, 512–542. [Google Scholar] [CrossRef]
- Grosu-Tudor, S.S.; Stancu, M.M.; Pelinescu, D.; Zamfir, M. Characterization of Some Bacteriocins Produced by Lactic Acid Bacteria Isolated from Fermented Foods. World J. Microbiol. Biotechnol. 2014, 30, 2459–2469. [Google Scholar] [CrossRef]
- Revutskaya, N.; Polishchuk, E.; Kozyrev, I.; Fedulova, L.; Krylova, V.; Pchelkina, V.; Gustova, T.; Vasilevskaya, E.; Karabanov, S.; Kibitkina, A.; et al. Application of Natural Functional Additives for Improving Bioactivity and Structure of Biopolymer-Based Films for Food Packaging: A Review. Polymers 2024, 16, 1976. [Google Scholar] [CrossRef]
- Yi, Y.; Li, P.; Zhao, F.; Zhang, T.; Shan, Y.; Wang, X.; Liu, B.; Chen, Y.; Zhao, X.; Lü, X. Current Status and Potentiality of Class II Bacteriocins from Lactic Acid Bacteria: Structure, Mode of Action and Applications in the Food Industry. Trends Food Sci. Technol. 2022, 120, 387–401. [Google Scholar] [CrossRef]
- Negash, A.W.; Tsehai, B.A. Current Applications of Bacteriocin. Int. J. Microbiol. 2020, 2020, 4374891. [Google Scholar] [CrossRef] [PubMed]
- Duraisamy, S.; Sathyan, A.; Balakrishnan, S.; Subramani, P.; Prahalathan, C.; Kumarasamy, A. Bactericidal and Non-Cytotoxic Activity of Bacteriocin Produced by Lacticaseibacillus Paracasei F9-02 and Evaluation of Its Tolerance to Various Physico-Chemical Conditions. Environ. Microbiol. 2023, 25, 2882–2896. [Google Scholar] [CrossRef] [PubMed]
- Shelburne, C.E.; An, F.Y.; Dholpe, V.; Ramamoorthy, A.; Lopatin, D.E.; Lantz, M.S. The Spectrum of Antimicrobial Activity of the Bacteriocin Subtilosin A. J. Antimicrob. Chemother. 2007, 59, 297–300. [Google Scholar] [CrossRef]
- Meade, E.; Slattery, M.A.; Garvey, M. Bacteriocins, Potent Antimicrobial Peptides and the Fight against Multi Drug Resistant Species: Resistance Is Futile? Antibiotics 2020, 9, 32. [Google Scholar] [CrossRef]
- Peng, Z.; Xiong, T.; Huang, T.; Xu, X.; Fan, P.; Qiao, B.; Xie, M. Factors Affecting Production and Effectiveness, Performance Improvement and Mechanisms of Action of Bacteriocins as Food Preservative. Crit. Rev. Food Sci. Nutr. 2023, 63, 12294–12307. [Google Scholar] [CrossRef]
- Parada Fabián, J.C.; Álvarez Contreras, A.K.; Natividad Bonifacio, I.; Hernández Robles, M.F.; Vázquez Quiñones, C.R.; Quiñones Ramírez, E.I.; Vázquez Salinas, C. Toward Safer and Sustainable Food Preservation: A Comprehensive Review of Bacteriocins in the Food Industry. Biosci. Rep. 2025, 45, 277–302. [Google Scholar] [CrossRef]
- Radaic, A.; de Jesus, M.B.; Kapila, Y.L. Bacterial Anti-Microbial Peptides and Nano-Sized Drug Delivery Systems: The State of the Art toward Improved Bacteriocins. J. Control. Release 2020, 321, 100–118. [Google Scholar] [CrossRef]
- Kumariya, R.; Garsa, A.K.; Rajput, Y.S.; Sood, S.K.; Akhtar, N.; Patel, S. Bacteriocins: Classification, Synthesis, Mechanism of Action and Resistance Development in Food Spoilage Causing Bacteria. Microb. Pathog. 2019, 128, 171–177. [Google Scholar] [CrossRef]
- Shin, J.M.; Gwak, J.W.; Kamarajan, P.; Fenno, J.C.; Rickard, A.H.; Kapila, Y.L. Biomedical Applications of Nisin. J. Appl. Microbiol. 2016, 120, 1449. [Google Scholar] [CrossRef]
- van de Ven, F.J.M.; van den Hooven, H.W.; Hilbers, C.W.; Konings, R.N.H. NMR Studies of Lantibiotics: The Three-Dimensional Structure of Nisin in Aqueous Solution. In Bacteriocins, Microcins and Lantibiotics; James, R., Lazdunski, C., Pattus, F., Eds.; NATO ASI Series; Springer: Berlin/Heidelberg, Germany, 1992; Volume 65, pp. 435–447. [Google Scholar] [CrossRef]
- Tavares, T.D.; Ribeiro, A.R.M.; Silva, C.; Antunes, J.C.; Felgueiras, H.P. Combinatory Effect of Nisin Antimicrobial Peptide with Bioactive Molecules: A Review. J. Drug Deliv. Sci. Technol. 2024, 91, 105246. [Google Scholar] [CrossRef]
- Lee, E.H.; Khan, I.; Oh, D.H. Evaluation of the Efficacy of Nisin-Loaded Chitosan Nanoparticles against Foodborne Pathogens in Orange Juice. J. Food Sci. Technol. 2018, 55, 1127. [Google Scholar] [CrossRef] [PubMed]
- Alishahi, A. Antibacterial Effect of Chitosan Nanoparticle Loaded with Nisin for the Prolonged Effect. J. Food Saf. 2014, 34, 111–118. [Google Scholar] [CrossRef]
- Zimet, P.; Mombrú, Á.W.; Faccio, R.; Brugnini, G.; Miraballes, I.; Rufo, C.; Pardo, H. Optimization and Characterization of Nisin-Loaded Alginate-Chitosan Nanoparticles with Antimicrobial Activity in Lean Beef. LWT 2018, 91, 107–116. [Google Scholar] [CrossRef]
- Zohri, M.; Shafiee Alavidjeh, M.; Mirdamadi, S.S.; Behmadi, H.; Hossaini Nasr, S.M.; Eshghi Gonbaki, S.; Shafiee Ardestani, M.; Jabbari Arabzadeh, A. Nisin-Loaded Chitosan/Alginate Nanoparticles: A Hopeful Hybrid Biopreservative. J. Food Saf. 2013, 33, 40–49. [Google Scholar] [CrossRef]
- Liu, B.; Xie, Q.; Liu, Y.; Li, S.; Dong, K.; Su, Y.; Jiang, Y.; Yang, X.; Guo, L. Effects of Nisin Loaded Chitosan-Pectin Nanoparticles on Shelf Life and Storage Stability of Room Temperature Stored Processed Cheese. Food Chem. 2025, 473, 143103. [Google Scholar] [CrossRef]
- Chopra, M.; Kaur, P.; Bernela, M.; Thakur, R. Surfactant Assisted Nisin Loaded Chitosan-Carageenan Nanocapsule Synthesis for Controlling Food Pathogens. Food Control 2014, 37, 158–164. [Google Scholar] [CrossRef]
- Gedarawatte, S.T.G.; Ravensdale, J.T.; Al-Salami, H.; Dykes, G.A.; Coorey, R. Antimicrobial Efficacy of Nisin-Loaded Bacterial Cellulose Nanocrystals against Selected Meat Spoilage Lactic Acid Bacteria. Carbohydr. Polym. 2021, 251, 117096. [Google Scholar] [CrossRef]
- Çelen, T.; Anumudu, C.; Miri, T.; Onyeaka, H.; Fernandez-Trillo, P. Nisin:Carboxymethylcellulose Polyion Complex (PIC) Nanoparticles. Preparation and Antimicrobial Activity. Carbohydr. Polym. 2023, 317, 121032. [Google Scholar] [CrossRef]
- Weishaupt, R.; Heuberger, L.; Siqueira, G.; Gutt, B.; Zimmermann, T.; Maniura-Weber, K.; Salentinig, S.; Faccio, G. Enhanced Antimicrobial Activity and Structural Transitions of a Nanofibrillated Cellulose-Nisin Biocomposite Suspension. ACS Appl. Mater. Interfaces 2018, 10, 20170–20181. [Google Scholar] [CrossRef]
- Gao, G.; Fan, H.; Zhang, Y.; Cao, Y.; Li, T.; Qiao, W.; Wu, M.; Ma, T.; Li, G. Production of Nisin-Containing Bacterial Cellulose Nanomaterials with Antimicrobial Properties through Co-Culturing Enterobacter Sp. FY-07 and Lactococcus Lactis N8. Carbohydr. Polym. 2021, 251, 117131. [Google Scholar] [CrossRef] [PubMed]
- Cox, P.; Tchuenbou-Magaia, F.; Maresca, D.; Mauriello, G. Development of Antimicrobial Cellulose Nanofiber-Based Films Activated with Nisin for Food Packaging Applications. Foods 2022, 11, 3051. [Google Scholar] [CrossRef] [PubMed]
- Huang, K.; Zhang, C.; Hu, Y.; Lacroix, M.; Wang, Y. Holocellulose Nanofibrils as Effective Nisin Immobilization Substrates for Antimicrobial Food Packaging. Int. J. Biol. Macromol. 2025, 304, 140741. [Google Scholar] [CrossRef]
- Hosseini, S.M.; Hosseini, H.; Mohammadifar, M.A.; German, J.B.; Mortazavian, A.M.; Mohammadi, A.; Khosravi-Darani, K.; Shojaee-Aliabadi, S.; Khaksar, R. Preparation and Characterization of Alginate and Alginate-Resistant Starch Microparticles Containing Nisin. Carbohydr. Polym. 2014, 103, 573–580. [Google Scholar] [CrossRef]
- Krivorotova, T.; Cirkovas, A.; Maciulyte, S.; Staneviciene, R.; Budriene, S.; Serviene, E.; Sereikaite, J. Nisin-Loaded Pectin Nanoparticles for Food Preservation. Food Hydrocoll. 2016, 54, 49–56. [Google Scholar] [CrossRef]
- Wang, X.; Qian, J.Q.; Yin, J.L.; Gong, F.; Guo, H. Preparation and Antibacterial Properties of High-Methoxy Pectin Oligosaccharide -Nisin Nanoparticles. Eur. Polym. J. 2023, 200, 112472. [Google Scholar] [CrossRef]
- Selvasudha, N.; PushpaSweety, J.; Saranya, T.V.; Ruckmani, K.; Gayathri, L. Development of Alkaline-Stable Nanoformulation of Nisin: Special Insights through Cytotoxic and Antibacterial Studies. Environ. Sci. Pollut. Res. 2024, 31, 46558–46574. [Google Scholar] [CrossRef]
- Muppalla, S.R.; Sonavale, R.; Chawla, S.P.; Sharma, A. Functional Properties of Nisin–Carbohydrate Conjugates Formed by Radiation Induced Maillard Reaction. Radiat. Phys. Chem. 2012, 81, 1917–1922. [Google Scholar] [CrossRef]
- Soto, K.M.; Hernández-Iturriaga, M.; Loarca-Piña, G.; Luna-Bárcenas, G.; Mendoza, S. Antimicrobial Effect of Nisin Electrospun Amaranth: Pullulan Nanofibers in Apple Juice and Fresh Cheese. Int. J. Food Microbiol. 2019, 295, 25–32. [Google Scholar] [CrossRef]
- Çelen, T.; Anumudu, C.; Miri, T.; Onyeaka, H.; Fernandez-Trillo, P. Pathogen-Responsive Delivery of Nisin. Food Hydrocoll. 2024, 154, 110076. [Google Scholar] [CrossRef]
- Lequeux, I.; Ducasse, E.; Jouenne, T.; Thebault, P. Addition of Antimicrobial Properties to Hyaluronic Acid by Grafting of Antimicrobial Peptide. Eur. Polym. J. 2014, 51, 182–190. [Google Scholar] [CrossRef]
- Narsaiah, K.; Jha, S.N.; Wilson, R.A.; Mandge, H.M.; Manikantan, M.R.; Malik, R.K.; Vij, S. Pediocin-Loaded Nanoliposomes and Hybrid Alginate-Nanoliposome Delivery Systems for Slow Release of Pediocin. Bionanoscience 2013, 3, 37–42. [Google Scholar] [CrossRef]
- Wei, L.; Wong, D.; Jeoh, T.; Marco, M.L. Intestinal Delivery of Encapsulated Bacteriocin Peptides in Cross-Linked Alginate Microcapsules. Food Res. Int. 2024, 188, 114473. [Google Scholar] [CrossRef] [PubMed]
- Zgheib, H.; Belguesmia, Y.; Boukherroub, R.; Drider, D. Alginate Nanoparticles Enhance Anti-Clostridium Perfringens Activity of the Leaderless Two-Peptide Enterocin DD14 and Affect Expression of Some Virulence Factors. Probiotics Antimicrob. Proteins 2021, 13, 1213–1227. [Google Scholar] [CrossRef]
- Feng, Y.; Yin, N.; Zhou, Z.; Han, Y. Physical and Antibacterial Properties of Bacterial Cellulose Films Supplemented with Cell-Free Supernatant Enterocin-Producing Enterococcus Faecium TJUQ1. Food Microbiol. 2021, 99, 103828. [Google Scholar] [CrossRef] [PubMed]
- Rollini, M.; Musatti, A.; Cavicchioli, D.; Bussini, D.; Farris, S.; Rovera, C.; Romano, D.; De Benedetti, S.; Barbiroli, A. From Cheese Whey Permeate to Sakacin-A/Bacterial Cellulose Nanocrystal Conjugates for Antimicrobial Food Packaging Applications: A Circular Economy Case Study. Sci. Rep. 2020, 10, 21358. [Google Scholar] [CrossRef]
- Azam, M.; Srivastava, R.; Ahmed, T. Enhanced Antibacterial Efficacy of Levilactobacillus Brevis Bacteriocin with Chitosan Nanoparticle Delivery. J. Pure Appl. Microbiol. 2024, 18, 2748–2757. [Google Scholar] [CrossRef]
- Guirguis, E.A.H. Enhancing the antibacterial effect of bacteriocin from Lactococcus lactis subsp. Lactis using chitosan nanoparticles. J. Microbiol. Biotechnol. Food Sci. 2021, 11, e3777. [Google Scholar] [CrossRef]
- Bagde, P.; Vigneshwaran, N. Improving the Stability of Bacteriocin Extracted from Enterococcus Faecium by Immobilization onto Cellulose Nanocrystals. Carbohydr. Polym. 2019, 209, 172–180. [Google Scholar] [CrossRef]
- Lin, M.; Fang, S.; Zhao, X.; Liang, X.; Wu, D. Natamycin-Loaded Zein Nanoparticles Stabilized by Carboxymethyl Chitosan: Evaluation of Colloidal/Chemical Performance and Application in Postharvest Treatments. Food Hydrocoll. 2020, 106, 105871. [Google Scholar] [CrossRef]
- Bhatta, R.S.; Chandasana, H.; Chhonker, Y.S.; Rathi, C.; Kumar, D.; Mitra, K.; Shukla, P.K. Mucoadhesive Nanoparticles for Prolonged Ocular Delivery of Natamycin: In Vitro and Pharmacokinetics Studies. Int. J. Pharm. 2012, 432, 105–112. [Google Scholar] [CrossRef] [PubMed]
- Ban, Z.; Chen, F.; Liu, L.; Zhang, S.; Wang, L.; Wang, H.; Wang, L.; Zhu, Y. Gliadin Nanoparticles Stabilized by Sodium Carboxymethyl Cellulose as Carriers for Improved Dispersibility, Stability and Bacteriostatic Activity of Natamycin. Food Biosci. 2023, 53, 102575. [Google Scholar] [CrossRef]
- Liu, Y.; Cui, X.; Zhao, L.; Zhang, W.; Zhu, S.; Ma, J. Chitosan Nanoparticles to Enhance the Inhibitory Effect of Natamycin on Candida Albicans. J. Nanomater. 2021, 2021, 6644567. [Google Scholar] [CrossRef]
- Fayed, A.; Elsayed, H.; Ali, T. Packaging Fortified with Natamycin Nanoparticles for Hindering the Growth of Toxigenic Aspergillus Flavus and Aflatoxin Production in Romy Cheese. J. Adv. Vet. Anim. Res. 2021, 8, 58–63. [Google Scholar] [CrossRef] [PubMed]
- Papagianni, M.; Anastasiadou, S. Pediocins: The Bacteriocins of Pediococci. Sources, Production, Properties and Applications. Microb. Cell Fact. 2009, 8, 3. [Google Scholar] [CrossRef]
- Khorshidian, N.; Khanniri, E.; Mohammadi, M.; Mortazavian, A.M.; Yousefi, M. Antibacterial Activity of Pediocin and Pediocin-Producing Bacteria Against Listeria Monocytogenes in Meat Products. Front. Microbiol. 2021, 12, 709959. [Google Scholar] [CrossRef]
- Espitia, P.J.P.; Otoni, C.G.; Soares, N.F.F. Pediocin Applications in Antimicrobial Food Packaging Systems. In Antimicrobial Food Packaging; Barros-Velázquez, J., Ed.; Academic Press: Cambridge, MA, USA, 2016; pp. 445–454. [Google Scholar] [CrossRef]
- Bertuzzi, M.A.; Gamboni, J.E.; Slavutsky, A.M.; Ibarguren, C. Novel Food Packaging Systems with Antimicrobial Agents from Microbial Source. In Food Packaging and Preservation: Antimicrobial Materials and Technologies; Jaiswal, A.K., Shankar, S., Eds.; Academic Press: Cambridge, MA, USA, 2024; pp. 91–111. [Google Scholar] [CrossRef]
- Corsetti, A.; Valmorri, S. Lactic Acid Bacteria|Lactobacillus Spp.: Lactobacillus Plantarum. In Encyclopedia of Dairy Sciences, 2nd ed.; Fuquay, J.W., Ed.; Academic Press: Cambridge, MA, USA, 2011; pp. 111–118. [Google Scholar] [CrossRef]
- Yusuf, M. Natural Antimicrobial Agents for Food Biopreservation. In Food Packaging and Preservation; Grumezescu, A.M., Holban, A.M., Eds.; Academic Press: Cambridge, MA, USA, 2018; pp. 409–438. [Google Scholar] [CrossRef]
- Zdolec, N.; Kiš, M. Antimicrobial Properties of Food Enterococci. In Lactic Acid Bacteria in Food Biotechnology: Innovations and Functional Aspects; Ray, R.C., Paramithiotis, S., de Carvalho Azevedo, V.A., Montet, D., Eds.; Elsevier: Amsterdam, The Netherlands, 2022; pp. 195–203. [Google Scholar] [CrossRef]
- Wu, Y.; Pang, X.; Wu, Y.; Liu, X.; Zhang, X. Enterocins: Classification, Synthesis, Antibacterial Mechanisms and Food Applications. Molecules 2022, 27, 2258. [Google Scholar] [CrossRef]
- Delves-Broughton, J. Natural Antimicrobials as Additives and Ingredients for the Preservation of Foods and Beverages. In Natural Food Additives, Ingredients and Flavourings; Baines, D., Seal, R., Eds.; Woodhead Publishing: Cambridge, UK, 2012; pp. 127–161. [Google Scholar] [CrossRef]
- Delves-Broughton, J. Use of the Natural Food Preservatives, Nisin and Natamycin, to Reduce Detrimental Thermal Impact on Product Quality. In In-Pack Processed Foods: Improving Quality; Richardson, P., Ed.; Woodhead Publishing: Cambridge, UK, 2008; pp. 319–337. [Google Scholar] [CrossRef]
- Lule, V.K.; Garg, S.; Gosewade, S.C.; Khedkar, C.D. Natamycin. In Encyclopedia of Food and Health; Caballero, B., Finglas, P.M., Toldrá, F., Eds.; Academic Press: Cambridge, MA, USA, 2016; pp. 56–62. [Google Scholar] [CrossRef]
- Meena, M.; Prajapati, P.; Ravichandran, C.; Sehrawat, R. Natamycin: A Natural Preservative for Food Applications—A Review. Food Sci. Biotechnol. 2021, 30, 1481. [Google Scholar] [CrossRef]
- Shafique, B.; Ranjha, M.M.A.N.; Murtaza, M.A.; Walayat, N.; Nawaz, A.; Khalid, W.; Mahmood, S.; Nadeem, M.; Manzoor, M.F.; Ameer, K.; et al. Recent Trends and Applications of Nanoencapsulated Bacteriocins against Microbes in Food Quality and Safety. Microorganisms 2022, 11, 85. [Google Scholar] [CrossRef]
- Huan, Y.; Kong, Q.; Mou, H.; Yi, H. Antimicrobial Peptides: Classification, Design, Application and Research Progress in Multiple Fields. Front. Microbiol. 2020, 11, 582779. [Google Scholar] [CrossRef]
- Wang, Y.; Song, M.; Chang, W. Antimicrobial Peptides and Proteins against Drug-Resistant Pathogens. Cell Surf. 2024, 12, 100135. [Google Scholar] [CrossRef] [PubMed]
- Su, Z.; Yu, H.; Lv, T.; Chen, Q.; Luo, H.; Zhang, H. Progress in the Classification, Optimization, Activity, and Application of Antimicrobial Peptides. Front. Microbiol. 2025, 16, 1582863. [Google Scholar] [CrossRef] [PubMed]
- Assoni, L.; Milani, B.; Carvalho, M.R.; Nepomuceno, L.N.; Waz, N.T.; Guerra, M.E.S.; Converso, T.R.; Darrieux, M. Resistance Mechanisms to Antimicrobial Peptides in Gram-Positive Bacteria. Front. Microbiol. 2020, 11, 593215. [Google Scholar] [CrossRef] [PubMed]
- Zheng, S.; Tu, Y.; Li, B.; Qu, G.; Li, A.; Peng, X.; Li, S.; Shao, C. Antimicrobial Peptide Biological Activity, Delivery Systems and Clinical Translation Status and Challenges. J. Transl. Med. 2025, 23, 292. [Google Scholar] [CrossRef]
- Wang, L.; Wang, N.; Zhang, W.; Cheng, X.; Yan, Z.; Shao, G.; Wang, X.; Wang, R.; Fu, C. Therapeutic Peptides: Current Applications and Future Directions. Signal Transduct. Target. Ther. 2022, 7, 48. [Google Scholar] [CrossRef]
- Jalili-Firoozinezhad, S.; Filippi, M.; Mohabatpour, F.; Letourneur, D.; Scherberich, A. Chicken Egg White: Hatching of a New Old Biomaterial. Mater. Today 2020, 40, 193–214. [Google Scholar] [CrossRef]
- Croguennec, T.; Tavares, G.M.; Bouhallab, S. Heteroprotein Complex Coacervation: A Generic Process. Adv. Colloid. Interface Sci. 2017, 239, 115–126. [Google Scholar] [CrossRef]
- Nawaz, N.; Wen, S.; Wang, F.; Nawaz, S.; Raza, J.; Iftikhar, M.; Usman, M. Lysozyme and Its Application as Antibacterial Agent in Food Industry. Molecules 2022, 27, 6305. [Google Scholar] [CrossRef]
- Zhao, M.; Huang, M.; Li, Z. Exploring the Therapeutic Potential of Recombinant Human Lysozyme: A Review on Wound Management System with Antibacterial. Front. Bioeng. Biotechnol. 2023, 11, 1292149. [Google Scholar] [CrossRef]
- Liu, J.; Wang, N.; Liu, Y.; Jin, Y.; Ma, M. The Antimicrobial Spectrum of Lysozyme Broadened by Reductive Modification. Poult. Sci. 2018, 97, 3992–3999. [Google Scholar] [CrossRef]
- Wu, T.; Wu, C.; Fu, S.; Wang, L.; Yuan, C.; Chen, S.; Hu, Y. Integration of Lysozyme into Chitosan Nanoparticles for Improving Antibacterial Activity. Carbohydr. Polym. 2017, 155, 192–200. [Google Scholar] [CrossRef] [PubMed]
- Hernández-Téllez, C.N.; Rodríguez-Córdova, F.J.; Rosas-Burgos, E.C.; Cortez-Rocha, M.O.; Burgos-Hernández, A.; Lizardi-Mendoza, J.; Torres-Arreola, W.; Martínez-Higuera, A.; Plascencia-Jatomea, M. Activity of Chitosan–Lysozyme Nanoparticles on the Growth, Membrane Integrity, and β-1,3-Glucanase Production by Aspergillus Parasiticus. 3 Biotech 2017, 7, 279. [Google Scholar] [CrossRef] [PubMed]
- Wang, Y.; Li, S.; Jin, M.; Han, Q.; Liu, S.; Chen, X.; Han, Y. Enhancing the Thermo-Stability and Anti-Bacterium Activity of Lysozyme by Immobilization on Chitosan Nanoparticles. Int. J. Mol. Sci. 2020, 21, 1635. [Google Scholar] [CrossRef] [PubMed]
- Zhou, J.; Zhou, L.; Chen, Z.Y.; Sun, J.; Guo, X.W.; Wang, H.R.; Zhang, X.Y.; Liu, Z.R.; Liu, J.; Zhang, K.; et al. Remineralization and Bacterial Inhibition of Early Enamel Caries Surfaces by Carboxymethyl Chitosan Lysozyme Nanogels Loaded with Antibacterial Drugs. J. Dent. 2025, 152, 105489. [Google Scholar] [CrossRef]
- Wu, T.; Li, Y.; Shen, N.; Yuan, C.; Hu, Y. Preparation and Characterization of Calcium Alginate-Chitosan Complexes Loaded with Lysozyme. J. Food Eng. 2018, 233, 109–116. [Google Scholar] [CrossRef]
- Zhang, H.; Feng, M.; Chen, S.; Shi, W.; Wang, X. Incorporation of Lysozyme into Cellulose Nanocrystals Stabilized β-Chitosan Nanoparticles with Enhanced Antibacterial Activity. Carbohydr. Polym. 2020, 236, 115974. [Google Scholar] [CrossRef]
- Hadi Esfahani, T.; Azadi, A.; Joodi, N.; Cohan, R.A.; Akbarzadeh, I.; Bakhshandeh, H. Optimized Preparation of Lysozyme Loaded Dextran-Chitosan Nanoparticles Using D-Optimal Design. Health Biotechnol. Biopharma 2019, 2, 56–78. [Google Scholar] [CrossRef]
- Teixeira, M.C.; Lameirinhas, N.S.; Carvalho, J.P.F.; Valente, B.F.A.; Luís, J.; Pires, L.; Oliveira, H.; Oliveira, M.; Silvestre, A.J.D.; Vilela, C.; et al. Alginate-Lysozyme Nanofibers Hydrogels with Improved Rheological Behavior, Printability and Biological Properties for 3D Bioprinting Applications. Nanomaterials 2022, 12, 2190. [Google Scholar] [CrossRef]
- Spagnuolo, L.; Micheli, L.; Dufresne, A.; Beneventi, D.; Operamolla, A. Covalent Lysozyme Immobilization on Enzymatic Cellulose Nanocrystals. Chem. Eur. J. 2024, 30, e202402171. [Google Scholar] [CrossRef]
- Abouhmad, A.; Dishisha, T.; Amin, M.A.; Hatti-Kaul, R. Immobilization to Positively Charged Cellulose Nanocrystals Enhances the Antibacterial Activity and Stability of Hen Egg White and T4 Lysozyme. Biomacromolecules 2017, 18, 1600–1608. [Google Scholar] [CrossRef]
- Zhang, T.; Zhou, P.; Zhan, Y.; Shi, X.; Lin, J.; Du, Y.; Li, X.; Deng, H. Pectin/Lysozyme Bilayers Layer-by-Layer Deposited Cellulose Nanofibrous Mats for Antibacterial Application. Carbohydr. Polym. 2015, 117, 687–693. [Google Scholar] [CrossRef] [PubMed]
- Li, Y.; Kadam, S.; Abee, T.; Slaghek, T.M.; Timmermans, J.W.; Cohen Stuart, M.A.; Norde, W.; Kleijn, M.J. Antimicrobial Lysozyme-Containing Starch Microgel to Target and Inhibit Amylase-Producing Microorganisms. Food Hydrocoll. 2012, 28, 28–35. [Google Scholar] [CrossRef]
- Li, D.; Liu, A.; Liu, M.; Li, X.; Guo, H.; Zuo, C.; Li, Y. The Intestine-Responsive Lysozyme Nanoparticles-in-Oxidized Starch Microgels with Mucoadhesive and Penetrating Properties for Improved Epithelium Absorption of Quercetin. Food Hydrocoll. 2020, 99, 105309. [Google Scholar] [CrossRef]
- Bayarri, M.; Oulahal, N.; Degraeve, P.; Gharsallaoui, A. Properties of Lysozyme/Low Methoxyl (LM) Pectin Complexes for Antimicrobial Edible Food Packaging. J. Food Eng. 2014, 131, 18–25. [Google Scholar] [CrossRef]
- Zhang, Y.; Lin, L.; Cui, H.; Li, B.; Tian, J. Construction and Application of Egcg-Loaded Lysozyme/Pectin Nanoparticles for Enhancing the Resistance of Nematodes to Heat and Oxidation Stresses. Foods 2021, 10, 1127. [Google Scholar] [CrossRef]
- Hashemi, M.M.; Aminlari, M.; Forouzan, M.M.; Moghimi, E.; Tavana, M.; Shekarforoush, S.; Mohammadifar, M.A. Production and Application of Lysozyme-Gum Arabic Conjugate in Mayonnaise as a Natural Preservative and Emulsifier. Pol. J. Food Nutr. Sci. 2018, 68, 33–43. [Google Scholar] [CrossRef]
- Huang, W.; Wang, L.; Wei, Y.; Cao, M.; Xie, H.; Wu, D. Fabrication of Lysozyme/κ-Carrageenan Complex Nanoparticles as a Novel Carrier to Enhance the Stability and in Vitro Release of Curcumin. Int. J. Biol. Macromol. 2020, 146, 444–452. [Google Scholar] [CrossRef]
- Xu, W.; Jin, W.; Li, Z.; Liang, H.; Wang, Y.; Shah, B.R.; Li, Y.; Li, B. Synthesis and Characterization of Nanoparticles Based on Negatively Charged Xanthan Gum and Lysozyme. Food Res. Int. 2015, 71, 83–90. [Google Scholar] [CrossRef]
- Xu, W.; Jin, W.; Huang, K.; Huang, L.; Lou, Y.; Li, J.; Liu, X.; Li, B. Interfacial and Emulsion Stabilized Behavior of Lysozyme/Xanthan Gum Nanoparticles. Int. J. Biol. Macromol. 2018, 117, 280–286. [Google Scholar] [CrossRef]
- Xu, W.; Li, B.; Li, J.; Huang, L.; Liu, H.; Zhu, D.; Liu, M.; Liu, X. Rheological and Spectral Analysis of Xanthan Gum/Lysozyme System during Nanoparticle Fabrication. Int. J. Food Sci. Technol. 2018, 53, 2595–2601. [Google Scholar] [CrossRef]
- Zhu, Y.; Sun, X.; Ding, J.; Fan, F.; Li, P.; Xia, J.; Luo, X.; Fang, Y. Physicochemical and Functional Properties of a Novel Xanthan Gum-Lysozyme Nanoparticle Material Prepared by High Pressure Homogenization. LWT 2021, 143, 111136. [Google Scholar] [CrossRef]
- Li, J.; Yu, S.; Yao, P.; Jiang, M. Lysozyme—Dextran Core—Shell Nanogels Prepared via a Green Process. Langmuir 2008, 24, 3486–3492. [Google Scholar] [CrossRef] [PubMed]
- Nakamura, S.; Kato, A.; Kobayashi, K. New Antimicrobial Characteristics of Lysozyme-Dextran Conjugate. J. Agric. Food Chem. 1991, 39, 647–650. [Google Scholar] [CrossRef]
- Sheng, L.; Su, P.; Han, K.; Chen, J.; Cao, A.; Zhang, Z.; Jin, Y.; Ma, M. Synthesis and Structural Characterization of Lysozyme–Pullulan Conjugates Obtained by the Maillard Reaction. Food Hydrocoll. 2017, 71, 1–7. [Google Scholar] [CrossRef]
- Ma, Y.; Tian, R.; Song, Y.; Yin, C.; Huang, H.; Li, Y. Electrospun Nanofiber Membranes Based on Dialdehyde Pullulan Polysaccharide and Schiff Base Crosslinked Lysozyme for Antibacterial Packaging of Blueberries. Food Biosci. 2025, 67, 106348. [Google Scholar] [CrossRef]
- Water, J.J.; Schack, M.M.; Velazquez-Campoy, A.; Maltesen, M.J.; Van De Weert, M.; Jorgensen, L. Complex Coacervates of Hyaluronic Acid and Lysozyme: Effect on Protein Structure and Physical Stability. Eur. J. Pharm. Biopharm. 2014, 88, 325–331. [Google Scholar] [CrossRef]
- Zhao, X.; Wang, L.; Gao, J.; Chen, X.; Wang, K. Hyaluronic Acid/Lysozyme Self-Assembled Coacervate to Promote Cutaneous Wound Healing. Biomater. Sci. 2020, 8, 1702–1710. [Google Scholar] [CrossRef]
- Abdel-Wahhab, K.G.; Ashry, M.; Hassan, L.K.; Gadelmawla, M.H.A.; Elqattan, G.M.; El-Fakharany, E.M.; Mannaaa, F.A. Nano-Chitosan/Bovine Lactoperoxidase and Lactoferrin Formulation Modulates the Hepatic Deterioration Induced by 7,12-Dimethylbenz[a]Anthracene. Comp. Clin. Path 2023, 32, 981–991. [Google Scholar] [CrossRef]
- El-Fakharany, E.M.; Ashry, M.; Abd-Elaleem, A.E.H.; Romeih, M.H.; Morsy, F.A.; Shaban, R.A.; Abdel-Wahhab, K.G. Therapeutic Efficacy of Nano-Formulation of Lactoperoxidase and Lactoferrin via Promoting Immunomodulatory and Apoptotic Effects. Int. J. Biol. Macromol. 2022, 220, 43–55. [Google Scholar] [CrossRef]
- Abu-Serie, M.M.; El-Fakharany, E.M. Efficiency of Novel Nanocombinations of Bovine Milk Proteins (Lactoperoxidase and Lactoferrin) for Combating Different Human Cancer Cell Lines. Sci. Rep. 2017, 7, 16769. [Google Scholar] [CrossRef]
- Nayeri, H.; Fattahi, A.; Iranpoor-Mobarakeh, M.; Nori, P. Stabilization of Lactoperoxidase by Tragacanth-Chitosan Nano Biopolymer. Int. J. Biosci. 2015, 6, 418–426. [Google Scholar] [CrossRef]
- Duarte, L.G.R.; Ferreira, N.C.A.; Fiocco, A.C.T.R.; Picone, C.S.F. Lactoferrin-Chitosan-TPP Nanoparticles: Antibacterial Action and Extension of Strawberry Shelf-Life. Food Bioproc. Technol. 2023, 16, 135–148. [Google Scholar] [CrossRef]
- Varela-Fernández, R.; García-Otero, X.; Díaz-Tomé, V.; Regueiro, U.; López-López, M.; González-Barcia, M.; Lema, M.I.; Otero-Espinar, F.J. Design, Optimization, and Characterization of Lactoferrin-Loaded Chitosan/TPP and Chitosan/Sulfobutylether-β-Cyclodextrin Nanoparticles as a Pharmacological Alternative for Keratoconus Treatment. ACS Appl. Mater. Interfaces 2021, 13, 3559–3575. [Google Scholar] [CrossRef]
- Duarte, L.G.R.; Picone, C.S.F. Antimicrobial Activity of Lactoferrin-Chitosan-Gellan Nanoparticles and Their Influence on Strawberry Preservation. Food Res. Int. 2022, 159, 111586. [Google Scholar] [CrossRef]
- Raei, M.; Rajabzadeh, G.; Zibaei, S.; Jafari, S.M.; Sani, A.M. Nano-Encapsulation of Isolated Lactoferrin from Camel Milk by Calcium Alginate and Evaluation of Its Release. Int. J. Biol. Macromol. 2015, 79, 669–673. [Google Scholar] [CrossRef]
- Reyhani, V.; Zibaee, S.; Mokaberi, P.; Amiri-Tehranizadeh, Z.; Babayan-Mashhadi, F.; Chamani, J. Encapsulation of Purified Lactoferrin from Camel Milk on Calcium Alginate Nanoparticles and Its Effect on Growth of Osteoblasts Cell Line MG-63. J. Iran. Chem. Soc. 2022, 19, 131–145. [Google Scholar] [CrossRef]
- Padrão, J.; Ribeiro, S.; Lanceros-Méndez, S.; Rodrigues, L.R.; Dourado, F. Effect of Bacterial Nanocellulose Binding on the Bactericidal Activity of Bovine Lactoferrin. Heliyon 2020, 6, e04372. [Google Scholar] [CrossRef]
- Duarte, L.G.R.; Alencar, W.M.P.; Iacuzio, R.; Silva, N.C.C.; Picone, C.S.F. Synthesis, Characterization and Application of Antibacterial Lactoferrin Nanoparticles. Curr. Res. Food Sci. 2022, 5, 642–652. [Google Scholar] [CrossRef]
- Mohamed, S.A.; Mahmoud, H.E.; Embaby, A.M.; Haroun, M.; Sabra, S.A. Lactoferrin/Pectin Nanocomplex Encapsulating Ciprofloxacin and Naringin as a Lung Targeting Antibacterial Nanoplatform with Oxidative Stress Alleviating Effect. Int. J. Biol. Macromol. 2024, 261, 129842. [Google Scholar] [CrossRef]
- Yan, J.K.; Qiu, W.Y.; Wang, Y.Y.; Wu, J.Y. Biocompatible Polyelectrolyte Complex Nanoparticles from Lactoferrin and Pectin as Potential Vehicles for Antioxidative Curcumin. J. Agric. Food Chem. 2017, 65, 5720–5730. [Google Scholar] [CrossRef]
- Li, M.; Li, X.; McClements, D.J.; Shi, M.; Shang, Q.; Liu, X.; Liu, F. Physicochemical and Functional Properties of Lactoferrin-Hyaluronic Acid Complexes: Effect of Non-Covalent and Covalent Interactions. LWT 2021, 151, 112121. [Google Scholar] [CrossRef]
- Wei, Z.; Huang, Q. Edible Pickering Emulsions Stabilized by Ovotransferrin–Gum Arabic Particles. Food Hydrocoll. 2019, 89, 590–601. [Google Scholar] [CrossRef]
- Wei, Z.; Dong, Y.; Si, J. Ovotransferrin Fibril—Gum Arabic Complexes as Stabilizers for Oleogel-in-Water Pickering Emulsions: Formation Mechanism, Physicochemical Properties, and Curcumin Delivery. Foods 2024, 13, 1323. [Google Scholar] [CrossRef] [PubMed]
- Dong, Y.; Wei, Z.; Wang, Y.; Tang, Q.; Xue, C.; Huang, Q. Oleogel-Based Pickering Emulsions Stabilized by Ovotransferrin–Carboxymethyl Chitosan Nanoparticles for Delivery of Curcumin. LWT 2022, 157, 113121. [Google Scholar] [CrossRef]
- Dong, Y.; Wei, Z.; Xue, C. Effect of Interaction between Ovotransferrin Fibrils and Pectin on Properties of Oleogel-Based Pickering Emulsions. Food Hydrocoll. 2023, 140, 108620. [Google Scholar] [CrossRef]
- Wei, Z.; Zhu, P.; Huang, Q. Investigation of Ovotransferrin Conformation and Its Complexation with Sugar Beet Pectin. Food Hydrocoll. 2019, 87, 448–458. [Google Scholar] [CrossRef]
- Rishi, P.; Bhogal, A.; Arora, S.; Pandey, S.K.; Verma, I.; Kaur, I.P. Improved Oral Therapeutic Potential of Nanoencapsulated Cryptdin Formulation against Salmonella Infection. Eur. J. Pharm. Sci. 2015, 72, 27–33. [Google Scholar] [CrossRef]
- Piras, A.M.; Maisetta, G.; Sandreschi, S.; Gazzarri, M.; Bartoli, C.; Grassi, L.; Esin, S.; Chiellini, F.; Batoni, G. Chitosan Nanoparticles Loaded with the Antimicrobial Peptide Temporin B Exert a Long-Term Antibacterial Activity in Vitro against Clinical Isolates of Staphylococcus Epidermidis. Front. Microbiol. 2015, 6, 135235. [Google Scholar] [CrossRef]
- Okasha, H.; Dahroug, H.; Gouda, A.E.; Shemis, M.A. A Novel Antibacterial Approach of Cecropin-B Peptide Loaded on Chitosan Nanoparticles against MDR Klebsiella Pneumoniae Isolates. Amino Acids 2023, 55, 1965–1980. [Google Scholar] [CrossRef]
- Baturin, V.A.; Bolatchiev, A.D.; Zhirov, A.M.; Kovalev, D.A. The antibacterial activity spectrum of defensin HNP-1 included in to the chitosan nanoparticles. Med. News North Cauc. 2021, 16, 413–414. [Google Scholar] [CrossRef]
- Rashki, S.; Safardoust-Hojaghan, H.; Mirzaei, H.; Abdulsahib, W.K.; Mahdi, M.A.; Salavati-Niasari, M.; Khaledi, A.; Khorshidi, A.; Mousavi, S.G.A. Delivery LL37 by Chitosan Nanoparticles for Enhanced Antibacterial and Antibiofilm Efficacy. Carbohydr. Polym. 2022, 291, 119634. [Google Scholar] [CrossRef] [PubMed]
- Turky, N.O.; Abdelmonem, N.A.; Tammam, S.N.; Gad, M.Z.; Breitinger, H.G.; Breitinger, U. Antibacterial and in Vitro Anticancer Activities of the Antimicrobial Peptide NRC-07 Encapsulated in Chitosan Nanoparticles. J. Pept. Sci. 2024, 30, e3550. [Google Scholar] [CrossRef] [PubMed]
- González, I.; Oliver-Ortega, H.; Tarrés, Q.; Delgado-Aguilar, M.; Mutjé, P.; Andreu, D. Immobilization of Antimicrobial Peptides onto Cellulose Nanopaper. Int. J. Biol. Macromol. 2017, 105, 741–748. [Google Scholar] [CrossRef]
- Blasi-Romero, A.; Ångström, M.; Franconetti, A.; Muhammad, T.; Jiménez-Barbero, J.; Göransson, U.; Palo-Nieto, C.; Ferraz, N. KR-12 Derivatives Endow Nanocellulose with Antibacterial and Anti-Inflammatory Properties: Role of Conjugation Chemistry. ACS Appl. Mater. Interfaces 2023, 15, 24186–24196. [Google Scholar] [CrossRef]
- Román, J.T.; Fuenmayor, C.A.; Dominguez, C.M.Z.; Clavijo-Grimaldo, D.; Acosta, M.; García-Castañeda, J.E.; Fierro-Medina, R.; Rivera-Monroy, Z.J. Pullulan Nanofibers Containing the Antimicrobial Palindromic Peptide LfcinB (21–25)Pal Obtained via Electrospinning. RSC Adv. 2019, 9, 20432–20438. [Google Scholar] [CrossRef]
- Yang, X.; Liu, W.; Xi, G.; Wang, M.; Liang, B.; Shi, Y.; Feng, Y.; Ren, X.; Shi, C. Fabricating Antimicrobial Peptide-Immobilized Starch Sponges for Hemorrhage Control and Antibacterial Treatment. Carbohydr. Polym. 2019, 222, 115012. [Google Scholar] [CrossRef]
- van Gent, M.E.; Kłodzińska, S.N.; Severin, M.; Ali, M.; van Doodewaerd, B.R.; Bos, E.; Koning, R.I.; Drijfhout, J.W.; Nielsen, H.M.; Nibbering, P.H. Encapsulation into Hyaluronic Acid-Based Nanogels Improves the Selectivity Index of the Snake Cathelicidin Ab-Cath. Nanomedicine 2023, 52, 102694. [Google Scholar] [CrossRef]
- Deng, X.; Wang, H.B.; Fang, C.; Xu, M.; Chu, Z.; Li, M.; Hou, Z.; Qin, H. Hyaluronic Acid Based Nanoparticles That Mediate Sustained Thanatin Release Protect against NDM-1–Resistant Bacterial Infections in a Murine Model. Nanomedicine 2025, 63, 102796. [Google Scholar] [CrossRef]
- Jugl, A.; Pekař, M. Hyaluronan-Cecropin B Interactions Studied by Ultrasound Velocimetry and Isothermal Titration Calorimetry. Int. J. Biol. Macromol. 2023, 227, 786–794. [Google Scholar] [CrossRef]
- Bafort, F.; Parisi, O.; Perraudin, J.P.; Jijakli, M.H. Mode of Action of Lactoperoxidase as Related to Its Antimicrobial Activity: A Review. Enzyme Res. 2014, 2014, 517164. [Google Scholar] [CrossRef]
- Barberis, S.; Quiroga, H.G.; Barcia, C.; Talia, J.M.; Debattista, N. Natural Food Preservatives Against Microorganisms. In Food Safety and Preservation; Grumezescu, A.M., Holban., A.M., Eds.; Academic Press: Cambridge, MA, USA, 2018; pp. 621–658. [Google Scholar] [CrossRef]
- Kelly, P.; Woonton, B.W.; Smithers, G.W. Improving the Sensory Quality, Shelf-Life and Functionality of Milk. In Functional and Speciality Beverage Technology; Paquin, P., Ed.; Woodhead Publishing: Cambridge, UK, 2009; pp. 170–231. [Google Scholar] [CrossRef]
- Wolfson, L.M.; Sumner, S.S. Antibacterial Activity of the Lactoperoxidase System: A Review. J. Food Prot. 1993, 56, 887–892. [Google Scholar] [CrossRef] [PubMed]
- Kell, D.B.; Heyden, E.L.; Pretorius, E. The Biology of Lactoferrin, an Iron-Binding Protein That Can Help Defend Against Viruses and Bacteria. Front. Immunol. 2020, 11, 550441. [Google Scholar] [CrossRef] [PubMed]
- Jańczuk, A.; Brodziak, A.; Czernecki, T.; Król, J. Lactoferrin—The Health-Promoting Properties and Contemporary Application with Genetic Aspects. Foods 2022, 12, 70. [Google Scholar] [CrossRef] [PubMed]
- Jenssen, H.; Hancock, R.E.W. Antimicrobial Properties of Lactoferrin. Biochimie 2009, 91, 19–29. [Google Scholar] [CrossRef]
- Xu, Y.; Wang, Y.; He, J.; Zhu, W. Antibacterial Properties of Lactoferrin: A Bibliometric Analysis from 2000 to Early 2022. Front. Microbiol. 2022, 13, 947102. [Google Scholar] [CrossRef]
- Zhang, Y.; Guo, Y.; Liu, F.; Luo, Y. Recent Development of Egg Protein Fractions and Individual Proteins as Encapsulant Materials for Delivery of Bioactives. Food Chem. 2023, 403, 134353. [Google Scholar] [CrossRef]
- Rathnapala, E.C.N.; Ahn, D.U.; Abeyrathne, S. Functional Properties of Ovotransferrin from Chicken Egg White and Its Derived Peptides: A Review. Food Sci. Biotechnol. 2021, 30, 619–630. [Google Scholar] [CrossRef]
- Antimicrobial Peptide Database. Available online: https://aps.unmc.edu/ (accessed on 28 April 2025).
- Zhang, Q.Y.; Yan, Z.B.; Meng, Y.M.; Hong, X.Y.; Shao, G.; Ma, J.J.; Cheng, X.R.; Liu, J.; Kang, J.; Fu, C.Y. Antimicrobial Peptides: Mechanism of Action, Activity and Clinical Potential. Mil. Med. Res. 2021, 8, 48. [Google Scholar] [CrossRef]
- Ali, M.; Garg, A.; Srivastava, A.; Arora, P.K. The Role of Antimicrobial Peptides in Overcoming Antibiotic Resistance. Microbe 2025, 7, 100337. [Google Scholar] [CrossRef]
- Li, X.; Zuo, S.; Wang, B.; Zhang, K.; Wang, Y. Antimicrobial Mechanisms and Clinical Application Prospects of Antimicrobial Peptides. Molecules 2022, 27, 2675. [Google Scholar] [CrossRef]
- Dash, R.; Bhattacharjya, S. Thanatin: An Emerging Host Defense Antimicrobial Peptide with Multiple Modes of Action. Int. J. Mol. Sci. 2021, 22, 1522. [Google Scholar] [CrossRef] [PubMed]
- Mwangi, J.; Kamau, P.M.; Thuku, R.C.; Lai, R. Design Methods for Antimicrobial Peptides with Improved Performance. Zool. Res. 2023, 44, 1095. [Google Scholar] [CrossRef] [PubMed]
- Torres, M.D.T.; Sothiselvam, S.; Lu, T.K.; de la Fuente-Nunez, C. Peptide Design Principles for Antimicrobial Applications. J. Mol. Biol. 2019, 431, 3547–3567. [Google Scholar] [CrossRef]
- van der Weide, H.; Cossío, U.; Gracia, R.; te Welscher, Y.M.; ten Kate, M.T.; van der Meijden, A.; Marradi, M.; Ritsema, J.A.S.; Vermeulen-De Jongh, D.M.C.; Storm, G.; et al. Therapeutic Efficacy of Novel Antimicrobial Peptide AA139-Nanomedicines in a Multidrug-Resistant Klebsiella Pneumoniae Pneumonia-Septicemia Model in Rats. Antimicrob. Agents Chemother. 2020, 64, e00517-20. [Google Scholar] [CrossRef]
- Silva, J.P.; Gonçalves, C.; Costa, C.; Sousa, J.; Silva-Gomes, R.; Castro, A.G.; Pedrosa, J.; Appelberg, R.; Gama, F.M. Delivery of LLKKK18 Loaded into Self-Assembling Hyaluronic Acid Nanogel for Tuberculosis Treatment. J. Control. Release 2016, 235, 112–124. [Google Scholar] [CrossRef]
- Osorio-Alvarado, C.E.; Ropero-Vega, J.L.; Farfán-García, A.E.; Flórez-Castillo, J.M. Immobilization Systems of Antimicrobial Peptide Ib−M1 in Polymeric Nanoparticles Based on Alginate and Chitosan. Polymers 2022, 14, 3149. [Google Scholar] [CrossRef]
- Salvati, B.; Flórez-Castillo, J.M.; Santagapita, P.R.; Barja, B.C.; Perullini, M. One-Pot Synthesis of Alginate-Antimicrobial Peptide Nanogel. Photochem. Photobiol. Sci. 2024, 23, 665–679. [Google Scholar] [CrossRef]
- Schibeci, M.; Gaglione, R.; Russo, N.; Velotta, R.; Della Ventura, B.; Arciello, A. Enzymatically Crafted Bacterial Cellulose Nanoparticles Functionalized With Antimicrobial Peptides: Toward Sustainable Antimicrobial Formulations. Biotechnol. J. 2025, 20, e202400573. [Google Scholar] [CrossRef]
- Wu, S.; Yang, Y.; Wang, S.; Dong, C.; Zhang, X.; Zhang, R.; Yang, L. Dextran and Peptide-Based PH-Sensitive Hydrogel Boosts Healing Process in Multidrug-Resistant Bacteria-Infected Wounds. Carbohydr. Polym. 2022, 278, 118994. [Google Scholar] [CrossRef]







| Polysaccharide | Chemical Structure |
|---|---|
| Chitin | ![]() |
| Chitosan | ![]() |
| Alginate | ![]() |
| Cellulose | ![]() |
| Representative hemicelluloses | ![]() |
| Starch | ![]() |
| Homogalacturonan showing examples of methylation, acetylation, and amidation | ![]() |
| Carrageenan | ![]() |
| Dextran showing α-(1→6)-linked glucose backbone with potential α-(1→2), α-(1→3), or α-(1→4) branch points | ![]() |
| Pullulan | ![]() |
| Hyaluronic acid | ![]() |
| Active Component | Nanocarrier | Composition | Formulation Method | Antimicrobial Activity | Ref. and Pub. Year |
|---|---|---|---|---|---|
| Nisin | Chitosan | Chitosan (MW 52 kDa, 0.5%) TPP (0.5%) Nisin (990 IU/mL) Nisin/TPP solution/chitosan ratio (1:10) D-trehalose (3% w/v) | Ionic gelation | Against S. aureus and L. monocytogenes | [316] 2018 |
| Chitosan (DA 90%, MW 10 kDa, 1% w/v) Nisin powder (2.5% w/w pure nisin, approximately 1,000,000 IU/g) TPP (0.5 mg/mL) | Against E. coli and S. aureus | [317] 2014 | |||
| Chitosan Alginate | Chitosan (75–85%, MW 50–190 kDa, 1% v/v) Alginate (5 mg/mL) Nisaplin (commercial form of nisin with 2.5% pure nisin of 1 × 106 IU/g) | Alginate pre-ionic gelation followed by chitosan coacervation | Against L. monocytogenes | [318] 2018 | |
| Chitosan (LMW, 250 mg/mL) Alginate (250 mg/mL) Nisin (450 IU/mL) | Against S. aureus and L. monocytogenes | [319] 2013 | |||
| Chitosan Pectin | Chitosan Pectin Nisin A (900 IU/mg) | Complex coacervation | Against E. coli and S. enterica | [320] 2025 | |
| Chitosan Carrageenan | Chitosan Carageenan Tween 40 Nisin (900 IU/mg) | Against M. luteus, P. aeruginosa, S. enterica, and E. aerogenes | [321] 2014 | ||
| BNC | BCNs (5 mg/mL) Nisin (2.0 and 2.5 mg/mL) | Complexation | Microbial inactivation | [322] 2021 | |
| Co-culturing Enterobacter sp. FY-07 (BNC) and Lactococcus lactis N8 (nisin) | Co-culture fermentation | Exhibits strong inhibitory activity against Gram-positive bacteria | [325] 2021 | ||
| CMC | Sodium CMC (MW 250 kDa, degree of substitution (DS) of 0.7, 0.9 and 1.2) Nisin (≥38,000 IU/mg) | Complexation | Against S. aureus | [323] 2023 | |
| CNF | CNF (1.0—3.0% w/v) Nisin (640 AU/mL and 1280 AU/mL) | Simple mixing | Against B. thermosphacta and L. innocua | [326] 2022 | |
| Nanofibrillated Cellulose | 2,2,6,6-tetramethyl-1-piperidinyloxyl-oxidized nanofibrillated cellulose (TONFC, 0.75 mg/mL) Nisin (0.310 mg/mL) | Electrostatic complexation | Against B. subtilis and S. aureus | [324] 2018 | |
| Nisin | Holocellulose Nanofibrils (HCNF) | HCNF (3.5 g in 650 mL of deionized water) and NaIO4 (14 g) to form dialdehyde HCNF (DAC) 0.1 g of DAC and 25 mL of 0.35 g (0.2 M) hydroxylamine hydrochloride DAC (1 g) and nisin (1.6 g, 2.5%) | Conjugation | Antimicrobial effectiveness, particularly against Gram-positive bacteria such as S. aureus and L. monocytogenes | [327] 2025 |
| Alginate | Nisin Z® (2.5% pure nisin) Sodium alginate (MW 197 kDa, mannuronate/guluronate ratio 0.6, 1% w/v) Sunflower oil with span 80 (1% v/v) and Tween 80 (1% w/v) Nisin/alginate weight ratio (4:1, 2:1 and 1:1) Calcium chloride solution (25% w/w) | Emulsification followed by ionic gelation | Against L. monocytogenes | [328] 2014 | |
| Alginate Starch | Nisin Z® (2.5% pure nisin) Sodium alginate (MW 197 kDa, mannuronate/guluronate ratio = 0.6, 1% w/v) Hi-maize® 260 resistant starch (2 g to 100 mL nisin-alginate solutions) Sunflower oil with span 80 (1% v/v) and Tween 80 (1% w/v) Nisin/alginate weight ratio (4:1, 2:1 and 1:1) Calcium chloride solution (25% w/w) | ||||
| Pectin | High-methoxyl pectin (HMP, MW 30–100 kDa, DE 60%) Low-methoxyl pectin (LMP, DE 26%) Pectin (0.4 mg/mL) Nisin (0.1—1 mg/mL) | Electrostatic complexation | Demonstrated antimicrobial activity against Arthrobacter sp., B. subtilis, E. coli, and Klebsiella sp., with efficacy dependent on biopolymer type | [329] 2016 | |
| High methoxy pectin oligosaccharide (HMPOS, DE 85%) Nisin (4000 IU/mg) Mass ratio (HMPOS/nisin, 4:6) | Electrostatic complexation | Inhibitory effect on S. aureus and E. coli | [330] 2023 | ||
| Gellan Gum | Gellan gum (low acyl grade) Eudragit L100 in acetone Nisin/polymer/Eudragit L100 ratio (1:2:2) | Solvent evaporation | Against S. aureus | [331] 2024 | |
| Dextran | Dextran 70 Eudragit L100 in acetone Nisin:polymer/Eudragit L100 ratio (1:2:2) | ||||
| Dextran (MW 60–90 kDa) Nisin Nisin/dextran powder ratio (1:5 w/w) | Conjugation by irradiation | Against E. coli, P. fluorescence, S. aureus, and B. cereus | [332] 2012 | ||
| Pullulan Amaranth Protein Isolate | Pullulan Amaranth protein isolate Nisin | Electrospinning | Against L. mesenteroides, L. monocytogenes, and S. Typhimurium | [333] 2019 | |
| Hyaluronic Acid (HA) | HA (0.4 mg/mL, 1 mM in anionic residues) Nisin (1.7 mg·mL−1, 3.0 mM in cationic residues 3:1 [N]/[COOH] ratio HEPES | Electrostatic complexation | Demonstrated superior inhibitory activity against hyaluronidase-producing S. aureus compared to B. cereus | [334] 2024 | |
| HA (MW 1000 kDa, 2 mg/mL) NHS and 1-(3-dimethylaminopropyl)-N0 -ethyl-carbodiimide hydrochloride (EDC) EDC/NHS molar ratio of 1/1 for 1 eq of nisin Nisin (0.001 eq—0.01 eq for one carboxylic acid group of HA) | Conjugation | Against S. epidermidis, S. aureus, and P. aeruginosa | [335] 2014 | ||
| Pediocin | Alginate Guar Gum | Alginate–guar gum solution (2% alginate plus 0.4% guar gum) Pediocin (20% to polymer solution) | Complex coacervation | Against L. innocua | [336] 2013 |
| Plantaricin | Alginate | Sodium alginate (2% w/w) Calcium phosphate dibasic salt (0.2% w/w) Succinic acid (1% w/w) Plantaricin (0.0004 g) | Ionic gelation | Against sensitive indicator strain L. plantarum NCIMB 700965 (LP965) | [337] 2024 |
| Enterocin | Alginate | Sodium alginate Enterocin 14 (EntDD14) | Ball milling method | Against C. perfringens | [338] 2021 |
| Bacterial Cellulose | Bacterial cellulose Cell-free supernatant (CFS) of Enterococcus faecium TJUQ1 Soak of BC in 80 AU/mL CFS for 6 h | Soaking | Against L. monocytogenes | [339] 2021 | |
| Sakacin | Bacterial Cellulose | Bacterial cellulose nanocrystals Sakacin-A | Electrostatic conjugation | Against L. innocua | [340] 2020 |
| Bacteriocin of Levilactobacillus brevis | Chitosan | Chitosan (0.2% w/v) TPP Bacteriocin of Levilactobacillus brevis | Ionic gelation | Demonstrated superior antibacterial activity against Gram-positive pathogens, particularly under acidic conditions, compared to Gram-negative bacteria | [341] 2024 |
| Bacteriocin from Lactococcus lactis subsp lactis | Chitosan (0.2% w/v) TPP Bacteriocin of Lactococcus lactis subsp lactis | Against S. typhimurium, E. coli, B. cereus and S. aureus | [342] 2021 | ||
| Bacteriocins from P. acidilactici and E. faecium | Cellulose | Bacteriocin (0.2, 0.4, 0.6, 0.8, and 1.0 mg) Cellulose nanocrystals (8%) | Immobilization | Against S. aureus, L. monocytogenes, E. coli, E. herbicola, B. subtilis, B. cereus, and P. aeruginosa | [343] 2019 |
| Natamycin | Zein Chitosan | Natamycin (5 mg) and zein (60 mg) in 70 v/v% ethanol (20 mL) Carboxymethyl chitosan (CMCS, DA 95%, carboxylation degree of 70%) in water | Nanoprecipitation by anti-solvent method | Completely inhibited spore germination rate, inhibited mycelial growth by 64.4% | [344] 2020 |
| Lecithin Chitosan | Lecithin (2.5% w/v) and natamycin (0.2% w/v) in methanol Chitosan (DA 75–85%, MW 50–190 kDa, 1% w/v) Lecithin/chitosan ratio (20:1, 10:1, and 5:1, w/w) | Ionic gelation | Against C. albicans and A. fumigates | [345] 2012 | |
| Gliadin Cellulose | Gliadin and natamycin in 70% ethanol Sodium CMC in water | Nanoprecipitation by anti-solvent method | Against P. expansum | [346] 2023 | |
| Chitosan | Chitosan (DA 96.1%, MW 12 kDa, 1% w/v) TPP Volume ratio of chitosan to TPP (5:1) Natamycin (1 mg/mL) Volume ratios of natayicin to chitosan and TPP (1:20, 1:12, 2:15, 1:6, 1:4, and 1:3) | Ionic gelation | Strong antifungal effect on C. albicans | [347] 2021 | |
| Alginate | Natamycin solution (20 mg/mL ethanol) Sodium alginate (0.3 mg/mL) Pluronic F-127 (10% w/v) Calcium chloride (0.67 mg/mL) | Emulsification followed by ionic gelation | A. flavus count was reduced by 2 log | [348] 2021 |
| Active Component | Nanocarrier | Composition | Formulation Method | Antimicrobial Activity | Ref. and Pub. Year |
|---|---|---|---|---|---|
| Lysozyme (Ly) | Chitosan | Chitosan (MW 50–100 kDa, 0.5% w/v) TPP (0.25%, w/v) Chitosan-to-TPP ratio (3:1 v/v) Ly (0.5% w/v, 0.25, 0.50, 0.75, 1.00, and 1.25 mg/mL) | Ionic gelation | Against E. coli and B. subtilis | [373] 2017 |
| Chitosan (DA 78%, MW 153 kDa, 0.5 mg/mL w/v) Ly (≥40, 000 U/mg protein, 0.5 mg/mL w/v) Acetone Tween 80 (0.05% v/v) | Nanoprecipitation | Reduced viability of A. parasiticus and strongly inhibited spore germination | [374] 2017 | ||
| Chitosan (DA 93%, 1 mg/mL w/v) TPP (1 mg/mL) Ly (10 mg/mL) EDC and NHS (0.1 M) | Ionic gelation followed by conjugation | Inhibited growth of S. aureus, E. coli, P. aeruginosa, and K. pneumoniae | [375] 2020 | ||
| Carboxymethyl chitosan (CMC) Ly (from chicken egg whites) Amorphous calcium phosphate (ACP) | Polyelectrolyte complexation | Against S. mutans | [376] 2025 | ||
| Chitosan Alginate | Sodium alginate (MW 140 kDa, mannuronate/guluronate ratio 1:1, 0.5 mg/mL) Ly (from eggs, 40,000 U/mg) Chitosan (DA ≥ 80%) Calcium chloride (1.0, 3.0 or 5.0 mM) Chitosan/sodium alginate mass ratio (1:2) Polymer-to-ly mass ratio (10:1) | Alginate pre-ionic gelation followed by chitosan coacervation | No data | [377] 2018 | |
| CNCs | High MW chitosan (DA 88.24%, MW 1400 kDa, 0.25 mg/mL) Low MW chitosan (DA 86.39%, MW 45.25 kDa, 0.25 mg/mL) CNCs (0.5% w/v) Ly (1.00, 1.25, 1.50, 1.75 and 2.00 mg/mL) | Complexation | Against E. coli and L. innocua | [378] 2020 | |
| Chitosan Dextran | Depolymerized chitosan (DA 89%, 0.1% w/v) Dextran sulfate (MW 500 kDa) Ly Zinc sulfate solution (1 M) | Polyelectrolyte complexation | No data | [379] 2019 | |
| Alginate | Sodium alginate (low viscosity, 4% w/v) Ly nanofibers (LNFs) from hen egg white ly (~70,000 U/mg) LNFs (1, 5 and 10 wt.% with respect to the alginate mass) Calcium chloride (0.5% w/v and 2% w/v for finilazing) Alginate-LNFs:calcium chloride volume ratio (4:1) | Ionic gelation | [380] 2022 | ||
| Lysozyme (Ly) | CNCs | Enzymatic neutral CNCs (N_CNCs) Sulfated CNCs (S_CNCs) Ly from chicken egg white (≥40,000 U/mg protein EDC and NHS (1:1 weight ratio) Incubation Ly and nanocrystals (1 : 10 weight ratio) | Covalent and nonspecific immobilization | Against M. deykticus | [381] 2024 |
| CNCs (50 mg) Ly (2 or 4 mg/mL) CNC (1% w/v) EDC and NHS Amino-Functionalized CNC (2 g/mL) Glutaraldehyde (750 μL) | Physical adsorption and covalent immobilization | Against M. lysodeikticus, Corynebacterium sp., E. coli, and Ps. mendocina | [382] 2017 | ||
| CA Nanofibers Pectin | Cellulose acetate (CA, MW 30 kDa) Pectin (from citrus fruits) Ly (25,000 U/mg, 1 mg/mL) | Electrostatic adsorption in layer-by-layer assembly | Against E. coli and S. aureus | [383] 2015 | |
| Starch | Potato starch 2,2,6,6-tetramethyl1-piperidinyloxy (TEMPO) Sodium trimetaphosphate (STMP) Ly (from chicken egg white, 50 mg/mL) Cross-linker to polymer weight ratio (0.10—0.40) | Cross-linking and Ly absorption | Against B. licheniformis 7558, B. licheniformis 6993, B. subtilis 168, L. monocytogenes LR991, and L. monocytogenes 001 | [384] 2012 | |
| Potato starch Ly (from chicken egg white, ≥98%) STMP (≥99%, 0.1 g/mL) Cross-linker to polymer weight ratio (0.1, 0.25 and 0.4) N-hexane Ly (25 mg, 0.625 mg/mL) Bacillus licheniformis protease (13.7 U/mg) Ly and hydrolyzed amphiphilic peptides formed Ly NP (0.15, 0.30, 0.60, 1.0, 1.25, 2.5, 5 and 10 mg/mL) | Water-in-oil emulsification with cross-linking, followed by electrostatic adsorption of self-assembled LNP | No data | [385] 2020 | ||
| Pectin | Low-methoxyl amidated pectin (DE 22–28%, DAc 20–23%, 0.05 g/L) Lysozyme (from hen egg white, 70,000 units/mg, 0.714 g/L) Calcium chloride (0–30 g/L) | Ionic gelation | Against M. lysodeikticus | [386] 2014 | |
| Pectin (galacturonic acid (dry basis) ≥ 74.0%, 0.5 mg/mL or 1 mg/mL) Ly (>20 ku/mg, 0.5 mg/mL) Ly-to-polymer ratio (1:1 or 1:2) | Complex coacervation via electrostatic interactions | No data | [387] 2021 | ||
| Gum Arabic (GA) | Gum arabic (GA) Ly (from chicken egg white) Ly and GA in weight ratio (1:1, 1:2, and 1:4, 200:800 mg) | Complex coacervation via electrostatic interactions, followed by Maillard reaction-mediated conjugation | Against E. coli and S. aureus | [388] 2018 | |
| Carrageenan | κ-carrageenan (CRG) Ly Mass ratio of Ly to CRG (3:1, 2:1, or 1:1) Curcumin (2.5 mg/L, 7.5 mg/L, or 12.5 mg/L) | Complex coacervation | No data | [389] 2020 | |
| Lysozyme (Ly) | Xanthan Gum (XG) | Xanthan gum (XG, 1.0 mg/mL) Ly (from chicken egg white, 1.0 mg/mL) Weight ratios (3:1, 2:1, 1:1, 1:2, and 1:3) | Complex coacervation via electrostatic complexation | [390] 2015 | |
| Xanthan gum (XG, MW 3000–20,000 kDa, 1.0 mg/mL) Ly (from chicken egg white, 1.0 mg/mL) Ly/XG weight ratios (2:1, 1:1, and 1:2) In alkaline conditions | Complex coacervation via electrostatic complexation, followed by gelatinization under alkaline conditions | [391] 2018 | |||
| Xanthan gum (XG) Ly (from chicken egg white) Ly/XG weight ratios (2:1, 1:1, and 1:2) In alkaline conditions | [392] 2018 | ||||
| Xanthan gum (XG) Ly (from chicken egg white) XG/Ly ratios (4:1, 1:1, and 1:4) | High-pressure homogenization (HPH)-assisted electrostatic complexation | [393] 2021 | |||
| Dextran | Dextrans (MW 10, 35, and 62 kDa) Ly (from hen egg white) Molar ratios of dextran to Ly (1:8, 1:4, 1:2, 1:1, 2:1, 4:1, and 8:1) | Conjugation via Maillard dry heating and thermal gelation | No data | [394] 2008 | |
| Dextrans (MW 60–90 kDa) Ly (from fresh egg white) Mass ratio of Ly to dextran (1:5) | Conjugation via Maillard dry heating | Against M. Lysodeikticus, V. parahaemolyticus IFO 13286, E. coli IFO 12713, A. hydrophila IFO 13286, P. mirabilis IFO 12668, K. pneumoniae IFO 14438, B. cereus IFO 13690, and S. aureus IFO 14462. | [395] 1991 | ||
| Pullulan | Pullulan (MW 20 kDa) Ly (from chicken egg white) Ly-to-pullulan molar ratios (1:2, 1:4, 1:6, 1:8, 1:10, and 1:12) | Against E. coli, S. enterica, and S. aureus | [396] 2017 | ||
| Dialdehyde pullulan polysaccharide (MW 200 kDa) Ly | Electrospinning followed by cross-linking with Ly | Against E. coli and S. aureus | [397] 2025 | ||
| Hyaluronic Acid (HA) | HA (MW 870 kDa, 0.768 mg/mL to 0.144 mg/mL) Ly (from hen egg white, 2.6 mg/mL) HA:Ly ratio of 1:5 (v/v) | Complex coacervation | No data | [398] 2014 | |
| HA (MW 1000–1800 kDa, 2%) Ly (from egg white, 6%) Volume ratio (1:1) | Promoting wound healing | [399] 2020 | |||
| Lactoperoxidase (LPO) and lactoferrin (LF) | Chitosan Dextran | Chitosan Dextran sodium sulfate LPO and LF | Complex coacervation | No data | [400,401] 2023 2022 |
| Chitosan (2 mg/mL) Dextran sodium sulfate LPO and/or LF (0.5 mg/mL) | [402] 2017 | ||||
| LPO | Chitosan Gum Tragacanth | Chitosan (0.005%) Gum tragacanth (0.005%) Tragacanth/chitosan ratio (1:8) Lactoperoxidase (LPO, 80 U/mL) | [403] 2015 | ||
| LF | Chitosan | Chitosan (DA 75–85%, MW 150 kDa, 0.045 and 0.055% w/v) LF (96% w/w, 0.035 and 0.045% w/v) TPP (0.01% w/v) LF/chitosan/TPP ratios (3.5:5.5:1 and 4.5:4.5:1) | Ionic gelation | Against S. aureus | [404] 2023 |
| Chitosan (DA 85%, MW 150 kDa, 0.05–0.2% w/v for TPP and 0.025 to 0.1% w/v for SBE-β-CD) TPP (0.05–0.2% w/v) Chitosan/TPP ratio (5:1 v/v) Sulfobutylether-β-cyclodextrin (SBE-β-CD, MW 2160 Da, substitution degree = 3.00–6.50, 0.1 to 0.5% w/v) LF (from 0.1 to 1.0 mg/mL) | No data | [405] 2021 | |||
| Chitosan Gellan Gum | Chitosan (DA 75–85%, MW 150 kDa, 0.045% w/v) Gellan gum (0.01% w/v) LF (0.045% w/v) LF/chitosan/gellan gum ratio (4.5:4.5:1) | Electrostatic complexation | Against S. aureus | [406] 2022 | |
| Alginate | Sodium alginate solution (0.2 and 0.5% w/w) LF (0.1%) Glycerol (27% v/v) and tween 156 80 (4% w/v) Calcium chloride (0.5% w/v) | Oil-in-water emulsification followed by ionic gelation | No data | [407] 2015 | |
| Sodium alginate solution (0.2 and 0.5% w/w) LF Calcium chloride | Ionic gelation | [408] 2022 | |||
| BNC | BNC, oxidized BNC LF (0.25, 0.5, 1 and 2 mg/mL) | Absorption or covalent binding | Against S. aureus and E. coli | [409] 2020 | |
| Gellan Gum | Gellan gum (0.01–0.08% w/v) LF stock solution (0.01–0.09% w/v) LF/gellan gum ratios 2:8, 5:5, 6:4, 7:3, 8:2, 9:1 | Electrostatic complexation | Against S. aureus and E. coli | [410] 2022 | |
| Pectin | Pectin LF Ciprofloxacin and naringin | Complex coacervation | Against P. aeruginosa | [411] 2024 | |
| Pectin (galacturonic acid ≥ 74%, methoxyl groups ≥ 6.7%, MW 1900 kDa) LF (1.0 mg/mL) Ratio 1:1 (w/w) | No data | [412] 2017 | |||
| Hyaluronic Acid (HA) | Hyaluronic acid (HA, MW 9.8 kDa, 0.52 wt% and 0.4 wt% for covalent conjugation) LF (0.5 wt% and 1.0 wt% for covalent conjugation) EDC and NHS EDC:NHS:HA (1:1:1 mole ratio) | Non-covalent and covalent conjugation | No data | [413] 2021 | |
| Ovotransferrin (OVT) | Gum Arabic | Gum arabic (GA, 1 wt%) OVT (purity > 88%, 3 wt%) Sodium citrate buffer | Complexation | No data | [414] 2019 |
| Gum arabic (GA, 1 wt%) OVTFs (purity > 88%, wt%) Sodium chloride Total biopolymer concentration of 50 mg/mL (equal proportions of polymers) | [415] 2024 | ||||
| Chitosan | Carboxymethyl chitosan (CMCS, degree of carboxylation ≥ 80%, 20 mg/mL) Ovotransferrin (OVT, purity > 88%, 60 mg/mL) Equal volumes of OVT and CMCS | Complexation | No data | [416] 2022 | |
| Pectin | Citrus pectin (CP) Ovotransferrin fibrils (OVTFs) OVTF-to-CP mass ratio of 3:1 | Electrostatic attractions | [417] 2023 | ||
| Sugar beet pectin (SBP, DE 55%, MW 65 kDa, 0.1 mg/mL) OVT (purity > 88%, 0.05–0.5 mg/mL) OVT/SBP mass ratios (from 1:2 to 5:1) | Complexation | [418] 2019 | |||
| Cryptdin-2 | Chitosan | Chitosan (DA 75–85%, medium MW, 0.1%, 0.5%, 1%) TPP (0.1%, 0.5%, 1% w/v) Ratio of chitosan to TPP (5:2, 5:1, 1:1) Cryptdin-2 (1 mg/mL) | Ionic gelation | 2 log unit reductions in Salmonella Typhimurium load in mice tissues | [419] 2015 |
| Temporin B | Chitosan (DA 92%, MW 108 kDa, 1 mg/mL) TPP (1 mg/mL) Ratio of chitosan to TPP (5:2) Temporin B (200 μg) | Up to 4-log reduction in number of viable S. epidermidis | [420] 2015 | ||
| Cecropin-B | Chitosan (low MW, 2 mg/mL) TPP (1 mg/mL) Weight ratio TPP to chitosan (1:2) Cecropin-B (50 µg/mL) | Against multidrug-resistant K. pneumoniae | [421] 2023 | ||
| Defensin HNP-1 | Chitosan (low MW, 4 mg/mL) TPP (4 mg/mL) Defensin HNP-1 (0.2/ mL) | Against S. aureus ATCC 25923, E. coli NCTC 9001, P. aeruginosa ATCC 10145, K. aerogenes NCTC 10006, and MRSA | [422] 2021 | ||
| Human cathelicidin peptide (LL-37) | Chitosan (DA 95%, MW 100–300 kDa) TPP LL-37 | Against MRSA | [423] 2022 | ||
| Pleurocidin-like peptide NRC-07 | Chitosan (low MW, 0.5% w/v) TPP (0.125% w/v) NRC-07 (1 mg) Volume ratio of TPP to chitosan (1:1) | Against P. aeruginosa | [424] 2024 | ||
| Cecropin CA(1–7)M(2–9) | CNFs | CNFs (0.1%) CA(1–7)M(2–9) (6.5 and 13 mg/mL) | Immobilization | Against B. subtilis | [425] 2017 |
| Antimicrobial motif of LL-37 (KR-12) | CNFs KR-12 Cross-linkers for carbodiimide chemistry, thiol-ene click chemistry, and Cu(I)-catalyzed azide-alkyne cycloaddition | Conjugation | Against E. coli and S. aureus | [426] 2023 | |
| Minimal motif of bovine lactoferricin (LfcinB) (20–25)Pal | Pullulan | Pullulan (200 kDa, 20% w/w) LfcinB (20–25)Pal peptide (13.2 mg/mL) Pullulan/peptide 74:1 w/w | Electrospinning | Against E. coli | [427] 2019 |
| Antimicrobial motif of LL-37 (KR-12) | Starch | Potato starch (St) TEA (0.6 mL) Norbornene anhydride (1.5 g, 0.3 equivalent to −OH group of one unit, degree of substitution (DS) of St = 30%) DMAP (1.1 g) Dithiol-functionalized poly (ethylene glycol) (HS-PEG-SH)/modified St molar ratios (3:1 and 3:2) Photoinitiator Irgacure 2959 (0.5%) Cys-KR12 (100 μL, 1 mg/mL) | Immobilization | Against S. aureus, S. epidermidis, E. coli, and MRSA | [428] 2019 |
| Snake cathelicidin Ab-Cath | Hyaluronic Acid | Octenyl succinic anhydride-modified hyaluronic acid (OSA-HA, 17–32% degree of substitution, MW 50 kDa, 500 μg/mL) Ab-Cath (1500 μg/mL, 10× final peptide concentration) Cryoprotectant solution | Microfluidic chip design | Against S. aureus, A. baumannii, and E. coli in biological fluids; reduced S. aureus and A. baumannii biofilms | [429] 2023 |
| Thanatin | Hyaluronic acid (HA) PLGA Thanatin HA/PLGA/thanatin ratio of 1:1:0.8 | Complexation | Against sepsis induced by metallo-β-lactamases-1 (NDM-1) producing E. coli | [430] 2025 | |
| Cecropin B | Hyaluronic acid (HA) Cecropin B | Electrostatic interaction in water | No data | [431] 2023 |
Disclaimer/Publisher’s Note: The statements, opinions and data contained in all publications are solely those of the individual author(s) and contributor(s) and not of MDPI and/or the editor(s). MDPI and/or the editor(s) disclaim responsibility for any injury to people or property resulting from any ideas, methods, instructions or products referred to in the content. |
© 2025 by the authors. Licensee MDPI, Basel, Switzerland. This article is an open access article distributed under the terms and conditions of the Creative Commons Attribution (CC BY) license (https://creativecommons.org/licenses/by/4.0/).
Share and Cite
Kotenkova, E.; Kotov, A.; Nikitin, M. Polysaccharide-Based Nanocarriers for Natural Antimicrobials: A Review. Polymers 2025, 17, 1750. https://doi.org/10.3390/polym17131750
Kotenkova E, Kotov A, Nikitin M. Polysaccharide-Based Nanocarriers for Natural Antimicrobials: A Review. Polymers. 2025; 17(13):1750. https://doi.org/10.3390/polym17131750
Chicago/Turabian StyleKotenkova, Elena, Aleksandr Kotov, and Maxim Nikitin. 2025. "Polysaccharide-Based Nanocarriers for Natural Antimicrobials: A Review" Polymers 17, no. 13: 1750. https://doi.org/10.3390/polym17131750
APA StyleKotenkova, E., Kotov, A., & Nikitin, M. (2025). Polysaccharide-Based Nanocarriers for Natural Antimicrobials: A Review. Polymers, 17(13), 1750. https://doi.org/10.3390/polym17131750












