Microscopic Mechanism of Asphalt Mixture Reinforced by Polyurethane and Silane Coupling Agent: A Molecular Dynamics Simulation-Based Study
Abstract
1. Introduction
2. Materials and Methods
2.1. Materials
2.2. Molecular Dynamics Simulation
2.3. Micro Model Establishment
2.3.1. Asphalt Molecular Model
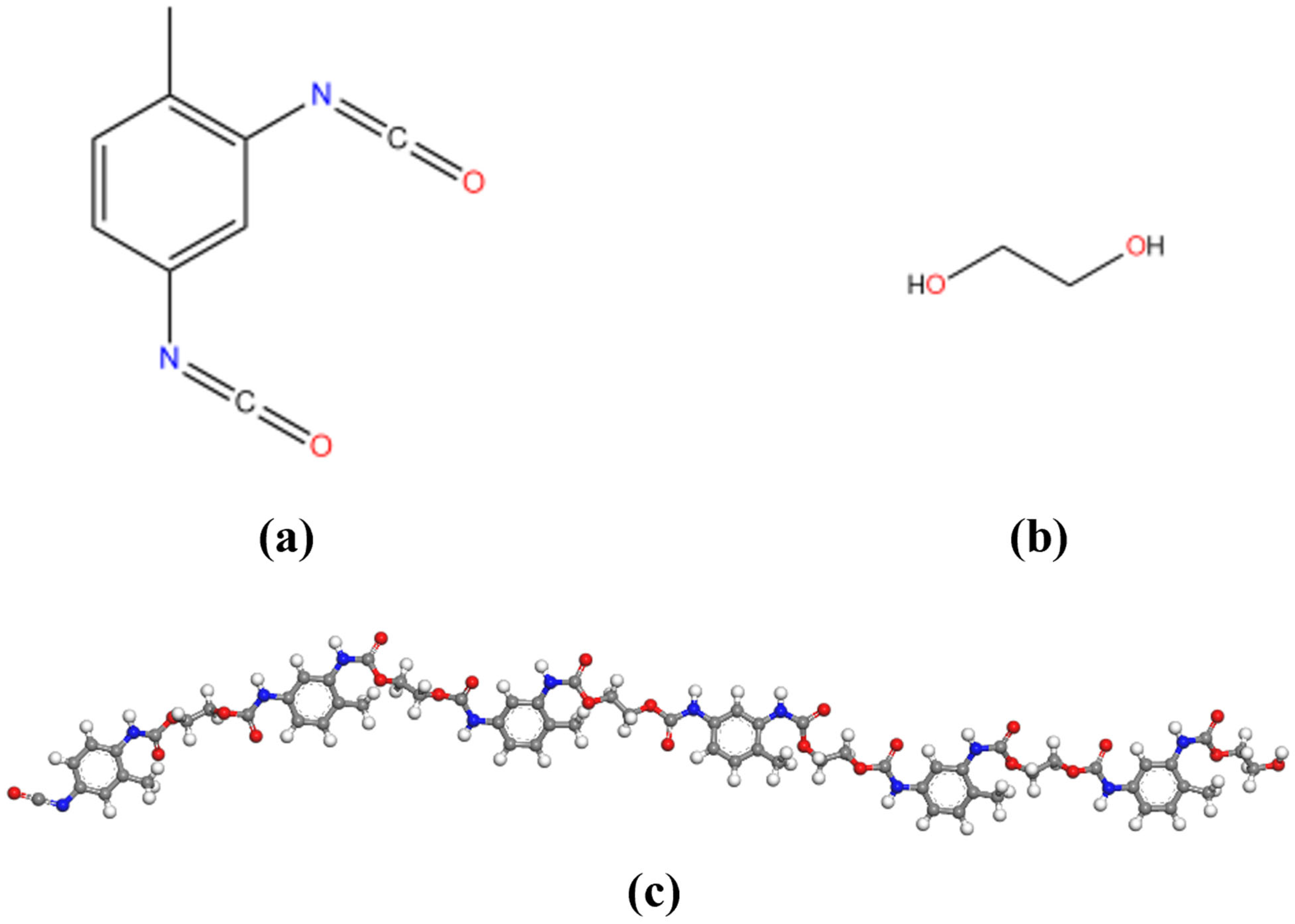
2.3.2. PU Molecular Model
2.3.3. Establishment and Verification of Asphalt and the PU-Modified Asphalt Model
2.3.4. SCA Molecular Model
2.3.5. Establishment of an Aggregate Model with Grafting SCAs and a Layer Model
2.4. Molecular Dynamics Calculation
2.4.1. Micro-Viscosity
2.4.2. Radial Distribution Function
2.4.3. Adhesion Works at the Interface
2.4.4. Depth of Interaction at the Interface
2.4.5. Mean Square Displacement
3. Experiment
4. Results and Discussion
4.1. Selection of PU Content
4.2. Analysis of the Interface Properties
4.2.1. Adhesion Work
4.2.2. Adhesion Depth
4.3. Thermal Stability of the Interface
4.4. Basic Test Performance Analysis
5. Conclusions
- (1)
- At the microscopic level, the micro-viscosity of PU-modified asphalt with different contents and the RDF of PU are analyzed, and it can be seen that when the PU content is 20.8%, the compatibility between PU and asphalt and the micro-viscosity of PU-modified asphalt are the best.
- (2)
- The adhesion work, adhesion depth, and thermal stability between PU-modified asphalt and SiO2 grafted with different SCAs were investigated by molecular simulation. It can be seen that the chain length and shape of the SCA, and whether the functional group can react with PU, are important influencing factors. The enhancement effect of KH-570 on the interface is greater than that of KH-550, but due to the reactivity of the amino at the end of KH-550, it is predicted that the interface enhancement effect of KH-550 is the best in the actual application.
- (3)
- Taking the hot mix SBS-modified asphalt mixture as the control group, the properties of the warm mix PU-modified asphalt mixture with or without the SCA were analyzed. The high-temperature and strength performance of the warm mix PU-modified asphalt mixture are better than those of the hot mix SBS-modified asphalt mixture, but the low-temperature performance is slightly lacking, and the water damage resistance cannot meet the requirements of the specification. The two performances of the PU-modified asphalt mixture after adding SCAs on the aggregate are enhanced, and both meet the requirements of the specification.
- (4)
- Comparing the basic performance of PU-modified asphalt with and without SCAs by the macro test, it can be seen that the improvement effect of KH-550 is stronger than that of KH-570. Combined with the conclusion of the molecular simulation, it is concluded that KH-550 chemically reacts with molecules with the isocyanate in PU-modified asphalt, which effectively prolongs the chain length of SCAs and forms a larger cross-linked network between asphalt and aggregate to provide better performance for the mixture. So, KH-550 has better performance in practical applications.
Author Contributions
Funding
Institutional Review Board Statement
Data Availability Statement
Conflicts of Interest
Abbreviations
| EG | Ethylene glycol |
| PU | Polyurethane |
| RDFs | Radial distribution functions |
| SCAs | Silane coupling agents |
References
- Chen, Q.; Wang, C.; Qiao, Z.; Guo, T. Graphene/tourmaline composites as a filler of hot mix asphalt mixture: Preparation and properties. Constr. Build. Mater. 2020, 239, 117859. [Google Scholar] [CrossRef]
- Li, J.; Liu, F.; Hu, M.; Zhou, C.; Su, L.; Cao, P. Investigation on the performance of fire and smoke suppressing asphalt materials for tunnels. Processes 2023, 11, 3038. [Google Scholar] [CrossRef]
- Yang, W.; Zhang, Z.; Yang, X.; Jia, X.; Jiang, Y. Characteristics and microscopic mechanisms of smoke emissions of ommt/sbs-modified asphalt. Environ. Int. 2024, 195, 109192. [Google Scholar] [CrossRef] [PubMed]
- Wang, C.; Wang, M.; Chen, Q.; Zhang, L. Basic performance and asphalt smoke absorption effect of environment-friendly asphalt to improve pavement construction environment. J. Clean. Prod. 2022, 333, 130142. [Google Scholar] [CrossRef]
- Zhang, J.P.; Pei, J.Z.; Xu, S.C.; Bi, Y.F. Study on aging characteristics of warm mix asphalt: Using softening point as a parameter of the aging kinetics model. Appl. Mech. Mater. 2010, 34–35, 227–231. [Google Scholar] [CrossRef]
- Akisetty, C.K.; Gandhi, T.; Lee, S.-J.; Amirkhanian, S.N. Analysis of rheological properties of rubberized binders containing warm asphalt additives. Can. J. Civ. Eng. 2010, 37, 763–771. [Google Scholar] [CrossRef]
- Takamura, K. Characterization of emulsion based warm mix binder. Road Mater. Pavement Des. 2008, 9, 87–102. [Google Scholar] [CrossRef]
- Dong, F.; Zhao, W.; Zhang, Y.; Wei, J.; Fan, W.; Yu, Y.; Wang, Z. Influence of sbs and asphalt on sbs dispersion and the performance of modified asphalt. Constr. Build. Mater. 2014, 62, 1–7. [Google Scholar] [CrossRef]
- Rezaei, S.; Khordehbinan, M.; Fakhrefatemi, S.-M.; Ghanbari, S.; Ghanbari, M. The effect of nano-SiO2 and the styrene butadiene styrene polymer on the high-temperature performance of hot mix asphalt. Pet. Sci. Technol. 2017, 35, 553–560. [Google Scholar] [CrossRef]
- Li, Z.; Yang, F.; Yuan, J.; Cong, L.; Yu, M. Study on preparation and pavement performance of polyurethane modified asphalt based on in-situ synthesis method. Constr. Build. Mater. 2021, 309, 125196. [Google Scholar] [CrossRef]
- Jia, M.; Zhang, Z.; Yang, N.; Qi, B.; Wang, W.; Huang, Z.; Sun, J.; Luo, F.; Huang, T. Performance evaluation of thermosetting and thermoplastic polyurethane asphalt mixtures. J. Mater. Civ. Eng. 2022, 34, 04022097. [Google Scholar] [CrossRef]
- Tian, Z.; Zhang, Z.; Zhang, K.; Huang, S.; Luo, Y. Preparation and properties of high viscosity and elasticity asphalt by styrene–butadiene–styrene/polyurethane prepolymer composite modification. J. Appl. Polym. Sci. 2020, 137, 49123. [Google Scholar] [CrossRef]
- Jia, M.; Sha, A.; Lin, J.; Zhang, Z.; Qi, B.; Yuan, D. Polyurethane asphalt binder: A promising candidate for steel bridge deck-paving material. Int. J. Pavement Eng. 2022, 23, 3920–3929. [Google Scholar] [CrossRef]
- Ding, G.; Yu, X.; Dong, F.; Ji, Z.; Wang, J. Using silane coupling agent coating on acidic aggregate surfaces to enhance the adhesion between asphalt and aggregate: A molecular dynamics simulation. Materials 2020, 13, 5580. [Google Scholar] [CrossRef] [PubMed]
- Peng, C.; Lu, L.; You, Z.; Xu, F.; You, L.; Miljković, M.; Guo, C.; Huang, S.; Ma, H.; Hu, Y.; et al. Influence of silane-hydrolysate coupling agents on bitumen–aggregate interfacial adhesion: An exploration from molecular dynamics simulation. Int. J. Adhes. Adhes. 2022, 112, 102993. [Google Scholar] [CrossRef]
- Joseph, E.; Swaminathan, N.; Kannan, K. Material identification for improving the strength of silica/sbr interface using md simulations. J. Mol. Model. 2020, 26, 234. [Google Scholar] [CrossRef]
- Xiang, Y.; Fan, H.; Liu, Z. Structural characteristics of silane-modified ground tyre rubber and high-temperature creep property of asphalt rubber. Constr. Build. Mater. 2020, 236, 117600. [Google Scholar] [CrossRef]
- Yu, J.; Zheng, H.; Hou, D.; Zhang, J.; Xu, W. Silane coupling agent modification treatment to improve the properties of rubber–cement composites. ACS Sustain. Chem. Eng. 2021, 9, 12899–12911. [Google Scholar] [CrossRef]
- Wu, M.; Xu, G.; Luan, Y.; Zhu, Y.; Ma, T.; Zhang, W. Molecular dynamics simulation on cohesion and adhesion properties of the emulsified cold recycled mixtures. Constr. Build. Mater. 2022, 333, 127403. [Google Scholar] [CrossRef]
- Wang, H.; Lin, E.; Xu, G. Molecular dynamics simulation of asphalt-aggregate interface adhesion strength with moisture effect. Int. J. Pavement Eng. 2017, 18, 414–423. [Google Scholar] [CrossRef]
- Qu, X.; Wang, D.; Hou, Y.; Liu, Q.; Oeser, M.; Wang, L. Investigation on self-healing behavior of asphalt binder using a six-fraction molecular model. J. Mater. Civ. Eng. 2019, 31, 04019046. [Google Scholar] [CrossRef]
- Li, D.D.; Greenfield, M.L. Chemical compositions of improved model asphalt systems for molecular simulations. Fuel 2014, 115, 347–356. [Google Scholar] [CrossRef]
- Luo, H.; Zheng, C.; Yang, X.; Bao, C.; Liu, W.; Lin, Z. Development of technology to accelerate sbs-modified asphalts swelling in dry modification mode. Constr. Build. Mater. 2022, 314, 125703. [Google Scholar] [CrossRef]
- Lu, P.; Huang, S.; Shen, Y.; Zhou, C.; Shao, L. Mechanical performance analysis of polyurethane-modified asphalt using molecular dynamics method. Polym. Eng. Sci. 2021, 61, 2323–2338. [Google Scholar] [CrossRef]
- Cui, B.; Wang, H. Molecular interaction of asphalt-aggregate interface modified by silane coupling agents at dry and wet conditions. Appl. Surf. Sci. 2022, 572, 151365. [Google Scholar] [CrossRef]













| Asphalt | 25 °C Penetration/0.1 mm | 15 °C Ductility/cm | Softening Point/°C |
|---|---|---|---|
| CNOOC 90# | 92.8 | 107 | 46.9 |
| 25 °C Physical State | Viscosity/(25 °C, MPa·s) | NCO Mass Fraction/% | Density/(25 °C, g·cm−3) |
|---|---|---|---|
| Brown liquid | 150~250 | 30.2~32.0 | 1.22~1.25 |
| 25 °C Physical State | Viscosity/(25 °C, MPa·s) | Density/(25 °C, g·cm−3) | Content/% |
|---|---|---|---|
| Colorless oily liquid | 72 | 1.02 | ≥99 |
| Full Chemical Name | Abbreviated Name | 25 °C Physical State | Density/(25 °C, g·cm−3) |
|---|---|---|---|
| (3-Aminopropyl) triethoxysilane | KH-550 | colorless liquid | 0.95 |
| (Trimethoxysilyl) propyl methacrylate | KH-570 | light yellow liquid | 1.05 |
| Physical State | Proportion | Tensile Strength/0.1 mm | Hardness | Elongation at Break/% |
|---|---|---|---|---|
| White particles | 0.93 | 120 | 83 | 345 |
| Asphalt Component | Number of Molecules | Mass Fraction/% | |
|---|---|---|---|
| Asphaltene | Asphaltene-phenol | 3 | 13.3 |
| Asphaltene-pyrrole | 3 | ||
| Asphaltene-thiophene | 2 | ||
| Polar Aromatics | Pyridinohopane | 4 | 31.1 |
| Thin-isorenieratane | 7 | ||
| Benzobisbenzothiophene | 6 | ||
| Quinolinohopane | 4 | ||
| Trimethylbenzene-oxane | 7 | ||
| Naphthene Aromatics | PHPN | 17 | 37.6 |
| DOCHN | 18 | ||
| Saturates | Squalene | 7 | 18.0 |
| Hopane | 8 | ||
| Asphalt Component | Cohesive Energy Density/(×108 J/m3) | Solubility Parameter /(J/cm3)1/2 | |
|---|---|---|---|
| Asphaltene | Asphaltene-phenol | 2.78 | 16.685 |
| Asphaltene-pyrrole | 2.73 | 16.524 | |
| Asphaltene-thiophene | 2.64 | 16.265 | |
| Polar Aromatics | Pyridinohopane | 2.66 | 16.323 |
| Thin-isorenieratane | 2.79 | 16.724 | |
| Benzobisbenzothiophene | 2.86 | 16.934 | |
| Quinolinohopane | 2.71 | 16.47 | |
| Trimethylbenzene-oxane | 2.73 | 16.55 | |
| Naphthene Aromatics | PHPN | 2.80 | 16.761 |
| DOCHN | 2.76 | 16.624 | |
| Saturates | Squalene | 2.60 | 16.142 |
| Hopane | 2.60 | 16.126 | |
| Maximum Difference Value | 0.16 | 0.808 | |
| Number of PU Molecules | PU Content/% | Model Density/(g/cm3) | Measured Density/(g/cm3) | Error /% |
|---|---|---|---|---|
| 0 | 0 | 0.994 | 1.02 | 2.6 |
| 3 | 10.3 | 1.007 | 1.03 | 2.3 |
| 4 | 13.3 | 1.014 | 1.04 | 2.6 |
| 5 | 16 | 1.016 | 1.04 | 2.3 |
| 6 | 18.7 | 1.017 | 1.04 | 2.3 |
| 7 | 21.1 | 1.02 | 1.05 | 2.9 |
| 8 | 23.5 | 1.022 | 1.08 | 5.6 |
| 9 | 2 | 1.03 | 1.09 | 5.8 |
| No. | Full Chemical Name | Abbreviated Name | Chemical Structure | Relative Molecular Mass | Length After Grafting/Å |
|---|---|---|---|---|---|
| 1 | (3-Aminopropyl) triethoxysilane | KH-550 | ![]() | 221 | 7.353 |
| 2 | Vinyltris (b-methoxyethoxy) silane | KH-172 | ![]() | 280 | 7.090 |
| 3 | (Trimethoxysilyl) propyl methacrylate | KH-570 | ![]() | 248 | 10.71 |
| 4 | Aniline methyl triethoxy silane | ND-42 | ![]() | 269 | 11.37 |
| Mass Percentage Through Mesh (mm)/% | |||||||||||
|---|---|---|---|---|---|---|---|---|---|---|---|
| Sieve size/mm | 19 | 16 | 13.2 | 9.5 | 4.75 | 2.36 | 1.18 | 0.6 | 0.3 | 0.15 | 0.075 |
| Passing rate/% | 100 | 93.6 | 86.3 | 74.1 | 52.7 | 32.4 | 24.1 | 15.6 | 9.4 | 6.1 | 5.4 |
| PU Content /% | 25 °C Penetration/0.1 mm | 15 °C Ductility/cm | Softening Point/°C | 60 °C Dynamic Viscosity/(Pa.s) |
|---|---|---|---|---|
| 5 | 92.8 | 108 | 46.9 | 162 |
| 10 | 70.5 | 116 | 60.3 | 175 |
| 15 | 62.3 | 125 | 78.9 | 268 |
| 20 | 50.2 | 138 | 85.6 | 345 |
| 25 | 45.3 | 138 | 86.1 | 351 |
| No. | Modifier | Modifier Content/% | Aggregate Surface Treatment |
|---|---|---|---|
| D | SBS | 5% | / |
| E | PU | 20% | |
| F | KH-550 (1%) | ||
| G | KH-570 (1.12%) |
| Performance Indexes of Asphalt Mixtures | Unit | Modified Asphalt Mixtures | Specification Requirements | |||||
|---|---|---|---|---|---|---|---|---|
| D | E | F | G | Maximum Error/% | ||||
| High-temperature performance | Stability of the rut | times/mm | 4526 | 6172 | 6285 | 6192 | 4.5 | ≥2400 |
| Low-temperature performance | Flexural tensile strength | MPa | 9.2 | 8.29 | 8.65 | 8.46 | 3.6 | / |
| Flexural tensile strain | με | 3216 | 3165 | 3379 | 3212 | 6.3 | ≥3000 | |
| Strength performance | Marshall stability | kN | 10.3 | 11.5 | 12.8 | 12.3 | 2.1 | ≥8 |
| Flow value | mm | 2.68 | 2.26 | 2.16 | 2.19 | 4.5 | ≤4 | |
| Water stability | Residual stability of the immersion Marshall test | % | 90.3 | 86.9 | 89.4 | 87.8 | 6.4 | ≥85 |
| Residual strength ratio of the freeze–thaw splitting test | % | 85.3 | 78.6 | 84.7 | 82.5 | 5.7 | ≥80 | |
Disclaimer/Publisher’s Note: The statements, opinions and data contained in all publications are solely those of the individual author(s) and contributor(s) and not of MDPI and/or the editor(s). MDPI and/or the editor(s) disclaim responsibility for any injury to people or property resulting from any ideas, methods, instructions or products referred to in the content. |
© 2025 by the authors. Licensee MDPI, Basel, Switzerland. This article is an open access article distributed under the terms and conditions of the Creative Commons Attribution (CC BY) license (https://creativecommons.org/licenses/by/4.0/).
Share and Cite
Lin, Z.; Sima, W.; Gao, X.; Liu, Y.; Li, J. Microscopic Mechanism of Asphalt Mixture Reinforced by Polyurethane and Silane Coupling Agent: A Molecular Dynamics Simulation-Based Study. Polymers 2025, 17, 1602. https://doi.org/10.3390/polym17121602
Lin Z, Sima W, Gao X, Liu Y, Li J. Microscopic Mechanism of Asphalt Mixture Reinforced by Polyurethane and Silane Coupling Agent: A Molecular Dynamics Simulation-Based Study. Polymers. 2025; 17(12):1602. https://doi.org/10.3390/polym17121602
Chicago/Turabian StyleLin, Zhi, Weiping Sima, Xi’an Gao, Yu Liu, and Jin Li. 2025. "Microscopic Mechanism of Asphalt Mixture Reinforced by Polyurethane and Silane Coupling Agent: A Molecular Dynamics Simulation-Based Study" Polymers 17, no. 12: 1602. https://doi.org/10.3390/polym17121602
APA StyleLin, Z., Sima, W., Gao, X., Liu, Y., & Li, J. (2025). Microscopic Mechanism of Asphalt Mixture Reinforced by Polyurethane and Silane Coupling Agent: A Molecular Dynamics Simulation-Based Study. Polymers, 17(12), 1602. https://doi.org/10.3390/polym17121602





