A Molecularly Imprinted Electrochemical Sensor for Carbendazim Detection Based on Synergy Amplified Effect of Bioelectrocatalysis and Nanocomposites
Abstract
1. Introduction
2. Materials and Methods
2.1. Chemicals
2.2. Instruments
2.3. Pretreatment of Bare GCE
2.4. Electrodeposition of AuNP-rGO Composites
2.5. Preparation of MIP and Non-Molecularly Imprinted Polymer (NIP) Electrodes
3. Results and Discussion
3.1. Electropolymerization of MIP Films on AuNP-rGO/GCE Electrodes
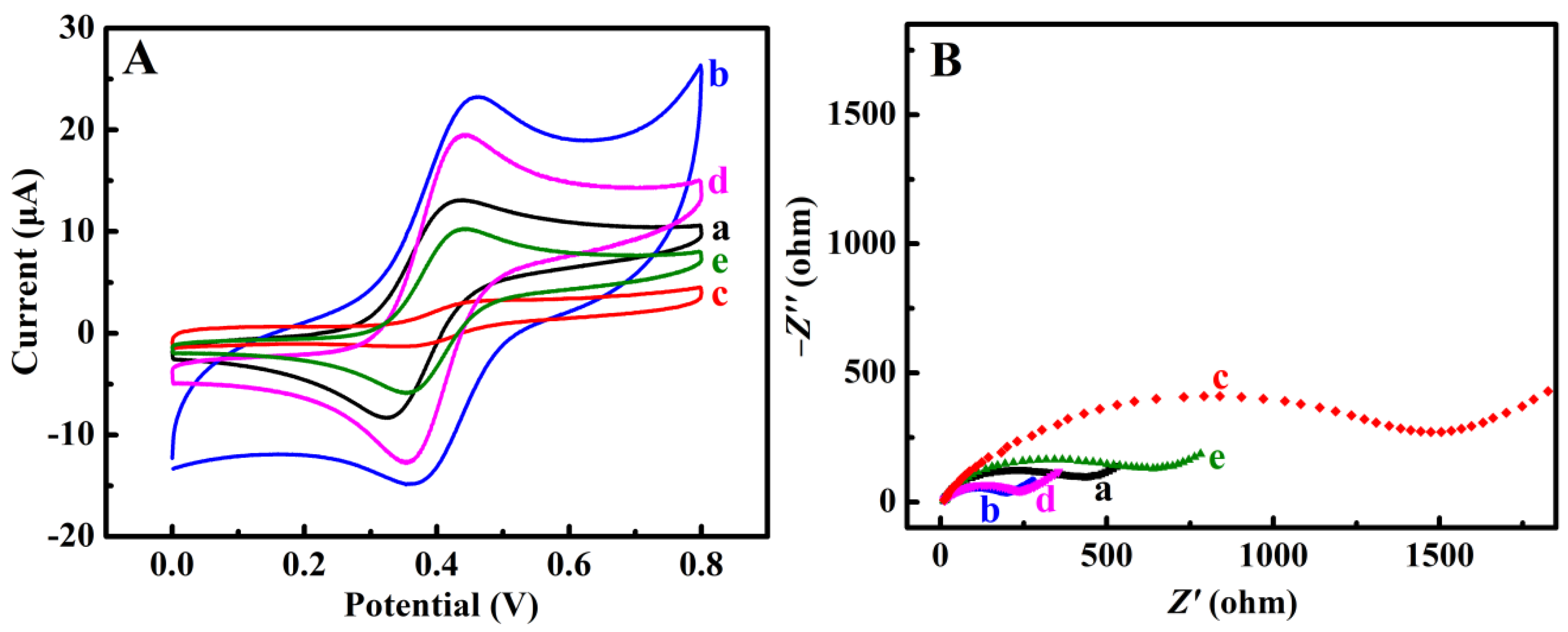
3.2. Characterization of Film Electrodes
3.3. Condition Optimization
3.3.1. Optimization of Electropolymerization Cycles
3.3.2. Optimization of the Ratio of CBD to OPD
3.3.3. Effect of Time for CBD Removal and Rebinding
3.4. Amplification by Bioelectrocatalysis in Determination of CBD
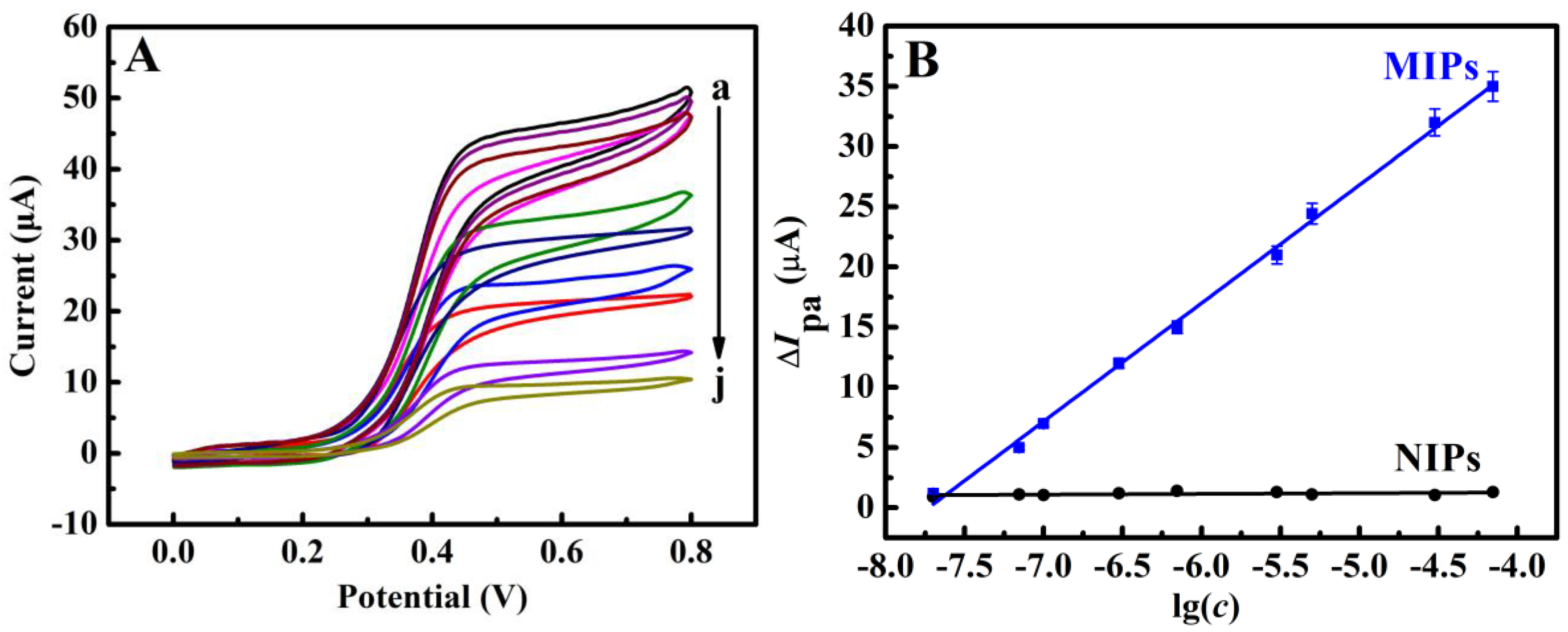
3.5. Calibration Curve
3.6. Selectivity of the Sensor
3.7. Repeatability, Reproducibility, Precision, and Stability of the Sensor
3.8. Determination of CBD in Real Samples
4. Conclusions
Author Contributions
Funding
Institutional Review Board Statement
Data Availability Statement
Acknowledgments
Conflicts of Interest
References
- Li, P.; Liu, Z. Glycan-specific molecularly imprinted polymers towards cancer diagnostics: Merits, applications, and future perspectives. Chem. Soc. Rev. 2024, 53, 1870–1891. [Google Scholar] [CrossRef]
- Pan, J.; Chen, W.; Ma, Y.; Pan, G. Molecularly imprinted polymers as receptor mimics for selective cell recognition. Chem. Soc. Rev. 2018, 47, 5574–5587. [Google Scholar] [CrossRef]
- Liu, Y.; Wang, L.; Li, H.; Zhao, L.; Ma, Y.; Zhang, Y.; Liu, J.; Wei, Y. Rigorous recognition mode analysis of molecularly imprinted polymers–rational design, challenges, and opportunities. Prog. Polym. Sci. 2024, 150, 101790. [Google Scholar] [CrossRef]
- Xiao, C.; Lian, W.; Yao, H.; Yang, B.; Liu, H. Progress of molecularly imprinted polymers-electrochemiluminescence antibiotic sensors based on signal amplification strategies. Chin. J. Anal. Chem. 2022, 50, 173–182. [Google Scholar]
- Jahanban-Esfahlan, A.; Amarowicz, R. Molecularly imprinted polymers for sensing/depleting human serum albumin (HSA): A critical review of recent advances and current challenges. Int. J. Biol. Macromol. 2024, 266, 131132. [Google Scholar] [CrossRef]
- BelBruno, J.J. Molecularly imprinted polymers. Chem. Rev. 2019, 119, 94–119. [Google Scholar] [CrossRef] [PubMed]
- Yoshikawa, M.; Tharpa, K.; Dima, S. Molecularly imprinted membranes: Past, present, and future. Chem. Rev. 2016, 116, 11500–11528. [Google Scholar] [CrossRef] [PubMed]
- Zhou, Y.; Abdurexit, A.; Jamal, R.; Abdiryim, T.; Liu, X.; Liu, F.; Xu, F.; Zhang, Y.; Wang, Z. Highly sensitive electrochemical sensing of norfloxacin by molecularly imprinted composite hollow spheres. Biosens. Bioelectron. 2024, 251, 116119. [Google Scholar] [CrossRef] [PubMed]
- He, Y.; Luo, L.; Li, L.; You, T.; Chen, X. Synergistic signal−amplification effect of silver nanowires and bifunctional monomers on molecularly imprinted electrochemical sensor for diuron analysis. Biosens. Bioelectron. 2024, 262, 116570. [Google Scholar] [CrossRef]
- Chen, Y.; Su, X.; Wu, Z.; Deng, X.; Zhang, Y.; Zhao, Z.; Wei, Z.; Sun, S. Sensitive sensing of GLA and ISL based on highly conductivity nitrogen-doped carbon synergistic dual-template molecularly imprinted ratiometric electrochemical sensor. Biosens. Bioelectron. 2024, 259, 116384. [Google Scholar] [CrossRef] [PubMed]
- Yeasmin, S.; Wu, B.; Liu, Y.; Ullah, A.; Cheng, L. Nano gold-doped molecularly imprinted electrochemical sensor for rapid and ultrasensitive cortisol detection. Biosens. Bioelectron. 2022, 206, 114142. [Google Scholar] [CrossRef]
- Lian, W.; Liu, S.; Wang, L.; Liu, H. A novel strategy to improve the sensitivity of antibiotics determination based on bioelectrocatalysis at molecularly imprinted polymer film electrodes. Biosens. Bioelectron. 2015, 73, 214–220. [Google Scholar] [CrossRef]
- Zhong, C.; Yang, B.; Jiang, X.; Li, J. Current progress of nanomaterials in molecularly imprinted electrochemical sensing. Crit. Rew. Anal. Chem. 2018, 48, 15–32. [Google Scholar] [CrossRef]
- Ann Maria, C.G.; Varghese, A.; Nidhin, M. Recent advances in nanomaterials based molecularly imprinted electrochemical sensors. Crit. Rew. Anal. Chem. 2021, 53, 88–97. [Google Scholar]
- Azevedo Beluomini, M.; da Silva, J.L.; Cardoso de Sá, A.; Buffon, E.; Pereira, T.C.; Stradiotto, N.R. Electrochemical sensors based on molecularly imprinted polymer on nanostructured carbon materials: A review. J. Electroanal. Chem. 2019, 840, 343–366. [Google Scholar] [CrossRef]
- Lahcen, A.A.; Amine, A. Recent advances in electrochemical sensors based on molecularly imprinted polymers and nanomaterials. Electroanalysis 2019, 31, 188–201. [Google Scholar] [CrossRef]
- Liu, L.; Zhu, X.; Zeng, X.; Wang, H.; Lu, Y.; Zhang, J.; Yin, Z.; Chen, Z.; Yang, Y.; Li, L. An electrochemical sensor for diphenylamine detection based on reduced graphene oxide/Fe3O4-molecularly imprinted polymer with 1,4-Butanediyl-3,3′-bis-l-vinylimidazolium dihexafluorophosphate ionic liquid as cross-linker. Polymers 2018, 10, 1329. [Google Scholar] [CrossRef] [PubMed]
- Feng, S.; Li, Y.; Zhang, R.; Li, Y. A novel electrochemical sensor based on molecularly imprinted polymer modified hollow N, S-Mo2C/C spheres for highly sensitive and selective carbendazim determination. Biosens. Bioelectron. 2019, 142, 111491. [Google Scholar] [CrossRef] [PubMed]
- Zhou, B.; Xie, H.; Zhou, S.; Sheng, X.; Chen, L.; Zhong, M. Construction of AuNPs/reduced graphene nanoribbons co-modified molecularly imprinted electrochemical sensor for the detection of zearalenone. Food Chem. 2023, 423, 136294. [Google Scholar] [CrossRef] [PubMed]
- Zhong, Y.; Li, Z.; Zhang, A.; Peng, Y.; Zhou, H.; Wang, B.; Xie, L.; Guo, Y. A molecularly imprinted electrochemical sensor MIP/Cu-MOF/rGO/AuNPs/GCE for highly sensitive detection of electroneutral organophosphorus pesticide residues. Microchim. Acta 2024, 191, 338. [Google Scholar] [CrossRef] [PubMed]
- Lian, L.; Liu, S.; Yu, J.; Xing, X.; Li, J.; Cui, M.; Huang, J. Electrochemical sensor based on gold nanoparticles fabricated molecularly imprinted polymer film at chitosan-platinum nanoparticles/graphene-gold nanoparticles double nanocomposites modified electrode for detection of erythromycin. Biosens. Bioelectron. 2012, 38, 163–169. [Google Scholar] [CrossRef] [PubMed]
- Huang, Z.; Song, H.; Feng, L.; Qin, J.; Wang, Q.; Guo, B.; Wei, L.; Lu, Y.; Guo, H.; Zhu, D.; et al. A novel ultrasensitive electrochemical sensor based on a hybrid of rGO/MWCNT/AuNP for the determination of lead (II) in tea drinks. Microchem. J. 2023, 186, 108346. [Google Scholar] [CrossRef]
- Si, Y.; Liu, J.; Chen, Y.; Miao, X.; Ye, F.; Liu, Z.; Li, J. rGO/AuNPs/tetraphenylporphyrin nanoconjugate-based electrochemical sensor for highly sensitive detection of cadmium ions. Anal. Methods 2018, 10, 3631–3636. [Google Scholar] [CrossRef]
- Bi, H.; Wu, Y.; Wang, Y.; Liu, G.; Ning, G.; Xu, Z. A molecularly imprinted polymer combined with dual functional Au@Fe3O4 nanocomposites for sensitive detection of kanamycin. J. Electroanal. Chem. 2020, 870, 114216. [Google Scholar] [CrossRef]
- Shen, M.; Kan, X. Aptamer and molecularly imprinted polymer: Synergistic recognition and sensing of dopamine. Microchim. Acta 2021, 367, 137433. [Google Scholar] [CrossRef]
- Shams, N.; Lim, H.N.; Hajian, R.; Yusof, N.A.; Abdullah, J.; Sulaiman, Y.; Ibrahim, I.; Huang, N.; Pandikumar, A. A promising electrochemical sensor based on Au nanoparticles decorated reduced graphene oxide for selective detection of herbicide diuron in natural waters. J. Appl. Electrochem. 2016, 46, 655–666. [Google Scholar] [CrossRef]
- Li, J.; Li, Y.; Zhang, Y.; Wei, G. Highly Sensitive Molecularly Imprinted Electrochemical sensor based on the double amplification by an inorganic prussian blue catalytic polymer and the enzymatic effect of glucose oxidase. Anal. Chem. 2012, 84, 1888–1893. [Google Scholar] [CrossRef]
- Li, J.; Jiang, F.; Wei, X. Molecularly imprinted sensor based on an enzyme amplifier for ultratrace oxytetracycline determination. Anal. Chem. 2010, 82, 6074–6078. [Google Scholar] [CrossRef] [PubMed]
- Xu, X.; Yan, K.; Xiao, J.; Guo, J.; Lu, X.; Wang, L.; Lan, Y.; Zhang, Y. Fluorescence spectroscopy detection of carbendazim residue in cucumber juice based on BC. J. Food. Compos. Anal. 2024, 130, 106157. [Google Scholar] [CrossRef]
- Suresh, I.; Selvaraj, S.; Nesakumar, N.; Rayappan, J.B.B.; Kulandaiswamy, A.J. Nanomaterials based non-enzymatic electrochemical and optical sensors for the detection of carbendazim: A review. Trends Environ. Anal. 2021, 31, e00137. [Google Scholar] [CrossRef]
- Lian, W.; Yu, X.; Wang, L.; Liu, H. Biomacromolecular logic devices based on simultaneous electrocatalytic and electrochemiluminescence responses of Ru(bpy)32+ at molecularly imprinted polymer film electrodes. J. Phys. Chem. C 2015, 119, 20003–20010. [Google Scholar] [CrossRef]
- Prună, A.; Brânzoi, F. Electrochemical activity and microscopy of electrosynthesised poly(o-phenylenediamine) nanotubes. J. Polym. Res. 2012, 19, 9879–9886. [Google Scholar] [CrossRef]
- Lian, W.; Liu, S.; Yu, J.; Li, J.; Cui, M.; Xu, W.; Huang, J. Electrochemical sensor using neomycin-imprinted film as recognition element based on chitosan-silver nanoparticles/graphene-multiwalled carbon nanotubes composites modified electrode. Biosens. Bioelectron. 2013, 44, 70–76. [Google Scholar] [CrossRef] [PubMed]
- Lian, W.; Huang, J.; Yu, J.; Zhang, X.; Lin, Q.; He, X.; Xing, X.; Liu, S. A molecularly imprinted sensor based on β-cyclodextrin incorporated multiwalled carbon nanotube and gold nanoparticles-polyamide amine dendrimer nanocomposites combining with water-soluble chitosan derivative for the detection of chlortetracyclin. Food Control 2012, 26, 620–627. [Google Scholar] [CrossRef]
- Zhang, K.; Liang, Y.; Liu, D.; Liu, H. An on–off biosensor based on multistimuli-responsive polymer films with a binary architecture and bioelectrocatalysis. Sens. Actuators B Chem. 2012, 173, 367–376. [Google Scholar] [CrossRef]
- Zhang, K.; Lian, W.; Liu, S.; Liu, H. Multi-switchable bioelectrocatalysis based on semi-interpenetrating polymer network films prepared by enzyme-induced polymerization. J. Electrochem. Soc. 2014, 161, H493–H500. [Google Scholar] [CrossRef]
- Wei, M.; Wei, Z.; Zhang, R.; Wang, W. A free-metal single covalent organic framework electrochemical detective platform for sensitive sensing of carbendazim. Food Chem. 2025, 467, 142306. [Google Scholar] [CrossRef]
- Li, Y.; Feng, Y.; Chen, S.; Li, R.; Yang, Y.; Guan, J.; Ye, B. Signal on–off ratiometric electrochemical sensor coupled with a molecularly imprinted polymer for the detection of carbendazim. Microchim. Acta 2022, 189, 250. [Google Scholar] [CrossRef] [PubMed]
- Beigmoradi, F.; Moghadam, M.R.; Garkani-Nejad, F.B.Z.; Bazmandegan-Shamili, A.; Masoodi, H.R. Electrochemical sensor based on molecularly imprinted polymer coating on metal-organic frameworks for the selective and sensitive determination of carbendazim. Microchem. J. 2022, 179, 107633. [Google Scholar] [CrossRef]
- Beigmoradi, F.; Moghadam, M.R.; Bazmandegan-Shamili, A.; Masoodi, H.R. Dual-template imprinted polymer electrochemical sensor for simultaneous determination of malathion and carbendazim using graphene quantum dots. Anal. Methods 2023, 15, 5027–5037. [Google Scholar] [CrossRef]
- Hu, Y.; Wang, W.; Li, H.; Li, Q.; Niu, K. Preparation of a Cu-MOF as an electrode modifier for the determination of carbendazim in water. Int. J. Electrochem. Sci. 2018, 13, 5031–5040. [Google Scholar] [CrossRef]
- Li, W.; Wang, P.; Chu, B.; Chen, X.; Peng, Z.; Chu, J.; Lin, R.; Gu, Q.; Lu, J.; Wu, D. A highly-sensitive sensor based on carbon nanohorns@reduced graphene oxide coated by gold platinum core–shell nanoparticles for electrochemical detection of carbendazim in fruit and vegetable juice. Food Chem. 2023, 402, 134197. [Google Scholar] [CrossRef] [PubMed]








| Sensor Type a | Electrode b | Method c | Linear Range (M) | LOD (M) | Ref. |
|---|---|---|---|---|---|
| MIES | N,S-Mo2C/GCE | CV | 1.0 × 10−12~8.0 × 10−9 | 6.7 × 10−13 | [18] |
| ES | TT-COF/GCE | DPV | 5.0 × 10−9~5.0 × 10−6 | 2.21 × 10−9 | [37] |
| ES | Co@Mo2C/GCE | SWV | 1.0 × 10−8~1.0 × 10−3 | 3.4 × 10−9 | [38] |
| MIES | HKUST-1/GE | DPV | 1.0 × 10−8~5.0 × 10−5 | 2.0 × 10−9 | [39] |
| MIES | GQDs/GECE | DPV | 2.0 × 10−7~4.5 × 10−5 | 1.0 × 10−9 | [40] |
| ES | [Cu(adp)(BIB)(H2O)]n/GCE | DPV | 1.0 × 10−7~1.0 × 10−5 | 5.0 × 10−8 | [41] |
| ES | Au@Pt/CNHs@RGO/GCE | DPV | 5.0 × 10−8~5.0 × 10−5 | 1.64 × 10−9 | [42] |
| MIES | AuNP-rGO/GCE | CV | 9.0 × 10−8~1.0 × 10−5 | 7.70 × 10−8 | Sensor A in this work |
| MIES | GCE | CV | 5.0 × 10−8~5.0 × 10−6 | 2.90 × 10−8 | Sensor B in this work |
| MIES | AuNP-rGO/GCE | CV | 2.0 × 10−9~7.0 × 10−5 | 6.80 × 10−10 | Proposed sensor in this work |
| Samples | Found (M) | Added (M) | Total Found (M) | Recovery (%) |
|---|---|---|---|---|
| Grape juice | Not detected | 5.00 × 10−6 | 5.18 × 10−6 | 103.6 |
| Not detected | 5.00 × 10−7 | 4.92 × 10−7 | 98.4 | |
| Not detected | 5.00 × 10−8 | 5.17 × 10−8 | 103.4 | |
| Apple juice | Not detected | 5.00 × 10−6 | 4.89 × 10−6 | 97.8 |
| Not detected | 5.00 × 10−7 | 5.14 × 10−7 | 102.8 | |
| Not detected | 5.00 × 10−8 | 4.96 × 10−8 | 99.2 |
Disclaimer/Publisher’s Note: The statements, opinions and data contained in all publications are solely those of the individual author(s) and contributor(s) and not of MDPI and/or the editor(s). MDPI and/or the editor(s) disclaim responsibility for any injury to people or property resulting from any ideas, methods, instructions or products referred to in the content. |
© 2025 by the authors. Licensee MDPI, Basel, Switzerland. This article is an open access article distributed under the terms and conditions of the Creative Commons Attribution (CC BY) license (https://creativecommons.org/licenses/by/4.0/).
Share and Cite
Lian, W.; Zhang, X.; Han, Y.; Li, X.; Liu, H. A Molecularly Imprinted Electrochemical Sensor for Carbendazim Detection Based on Synergy Amplified Effect of Bioelectrocatalysis and Nanocomposites. Polymers 2025, 17, 92. https://doi.org/10.3390/polym17010092
Lian W, Zhang X, Han Y, Li X, Liu H. A Molecularly Imprinted Electrochemical Sensor for Carbendazim Detection Based on Synergy Amplified Effect of Bioelectrocatalysis and Nanocomposites. Polymers. 2025; 17(1):92. https://doi.org/10.3390/polym17010092
Chicago/Turabian StyleLian, Wenjing, Xinyu Zhang, Yongbin Han, Xintong Li, and Hongyun Liu. 2025. "A Molecularly Imprinted Electrochemical Sensor for Carbendazim Detection Based on Synergy Amplified Effect of Bioelectrocatalysis and Nanocomposites" Polymers 17, no. 1: 92. https://doi.org/10.3390/polym17010092
APA StyleLian, W., Zhang, X., Han, Y., Li, X., & Liu, H. (2025). A Molecularly Imprinted Electrochemical Sensor for Carbendazim Detection Based on Synergy Amplified Effect of Bioelectrocatalysis and Nanocomposites. Polymers, 17(1), 92. https://doi.org/10.3390/polym17010092
