Strengthening Reinforced Concrete Members Using FRP—Evaluating Fire Performance, Challenges, and Future Research Directions: A State-of-the-Art Review
Abstract
1. Introduction
2. Fiber Reinforced Polymer (FRP) Materials Properties at Elevated Temperature
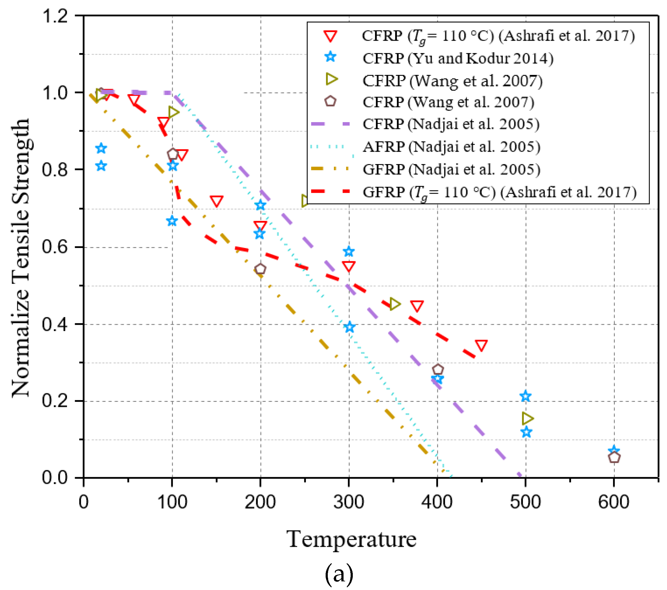
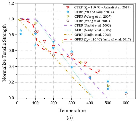
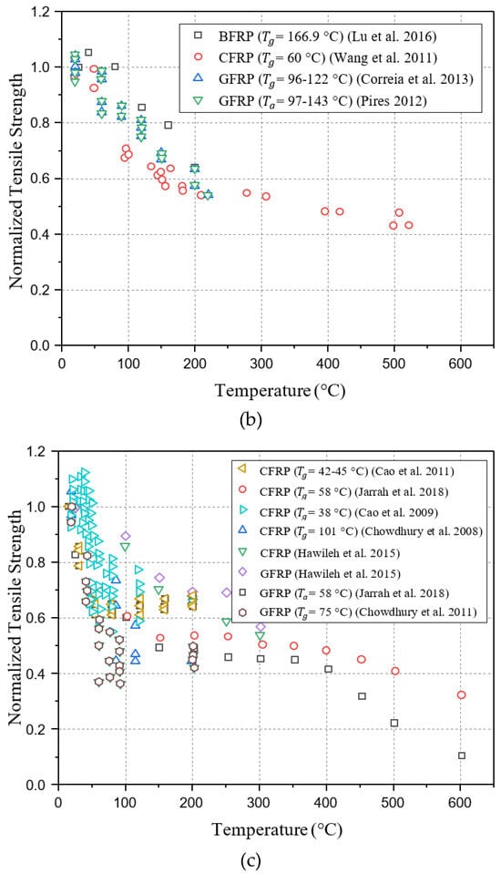
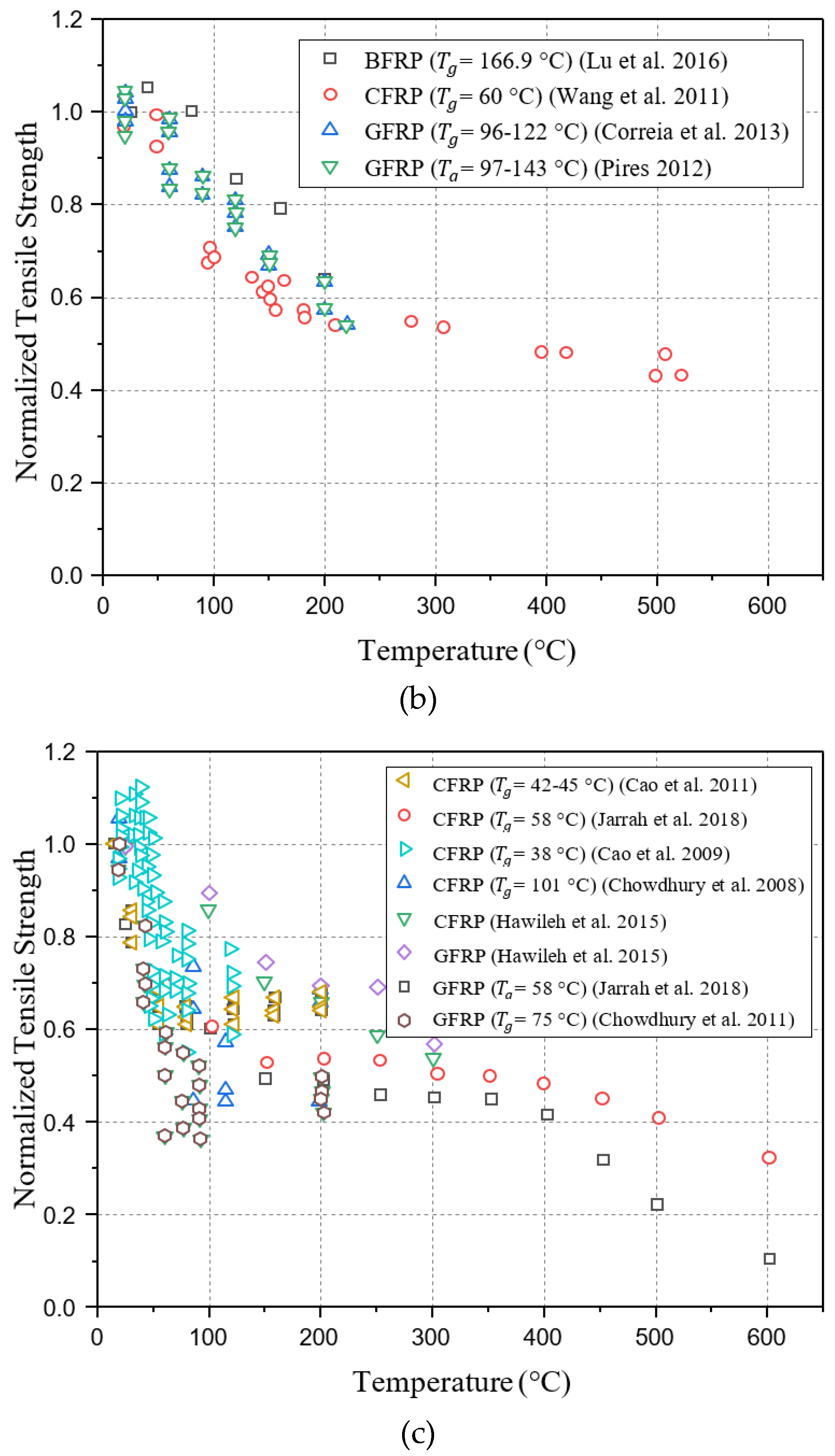
2.1. Summary of Existing Mechanical Properties
| References | Material | FRP Shape | Glass Transition | Tensile Strength | Elastic Modulus | ||||
|---|---|---|---|---|---|---|---|---|---|
| [°C] | Methods | ||||||||
| Wong et al. (2004) [13] | E-glass FRP | Plates | — | — | 20 | 250 | — | 20 | 250 1 |
| Nadjai et al. (2005) [28] | CFRP | Bars | — | — | 20 | 475 | — | 20 | 500 2 |
| GFRP | Bars | — | — | 0 | 400 | — | 20 | 400 2 | |
| AFRP | Bars | — | — | 20 | 400 | — | 20 | 500 2 | |
| Wang et al. (2007) [27] | CFRP | Bars | — | — | 20 | 600 | 100 | 20 | 200 |
| GFRP | Bars | — | — | 20 | 500 | 150 | 20 | 350 | |
| Chowdhury et al. (2008) [9] | CFRP | Sheets | 101 | DSC | 20 | 200 | — | 20 | 200 |
| Bai (2009), Bai et al. (2007), Bai et al. (2008), Bai and Keller (2009) [15,16,17,19] | GFRP | Plates | 110 | DMA | 20 | 220 | — | 20 | 220 |
| Cao and Wu (2008) [14] | CFRP | Plates | 38 | DMA | 16 | 200 | — | 16 | 200 |
| GFRP | |||||||||
| BFRP | |||||||||
| Cao et al. (2009) [8] | CFRP | Sheets | 38 | DMA | 16 | 200 | — | — | — |
| Cao et al. (2011) [2] | CFRP | Sheets | 42–45 | DMA | 20 | 120 | — | — | — |
| Wang et al. (2011) [31] | CFRP | Strips | — | — | 20 | 700 | — | 20 | 700 1 |
| CFRP | Plates | 60 | — | 20 | 700 | — | 20 | 700 1 | |
| Chowdhury et al. (2011) [11] | GFRP | Sheets | 75 | DSC | 20 | 200 | — | 20 | 200 |
| Pires (2012) [33] | GFRP | Plates | 97–143 | DMA /DSC | 20 | 250 | — | 20 | 250 1 |
| Correia et al. (2013) [32] | GFRP | Plates | 96–122 | DMA | 20 | 250 | — | — | — |
| Yu and Kodur (2014) [18] | CFRP | Bars | — | — | 20 | 600 | — | 20 | 600 2 |
| Hawileh et al. (2015) [12] | CFRP | Sheets | — | — | 25 | 300 | — | 25 | 300 1 |
| Sun et al. (2015) [20] | GFRP | Plates | 93 | DMA | 25 | 125 | — | — | — |
| Lu et al. (2016) [30] | BFRP | Plates | 166.9 | DMA | 25 | 200 | 25 | 200 | |
| Ashrafi et al. (2017) [29] | CFRP | Bars | 110 | — | 25 | 450 | — | — | — |
| GFRP | Bars | 110 | — | 25 | 450 | — | — | — | |
| Jarrah et al. (2018) [10] | GFRP | Sheets | 58 | — | 25 | 600 | — | — | — |
| CFRP | Sheets | 58 | — | 25 | 600 | — | — | — | |
| Rosa et al. (2018) [3] | GFRP | Plates | 104 | DMA | 20 | 180 | — | — | — |
| Hu et al. (2018) [21] | BFRP | Plates | 92 | DMA | 20 | 250 | — | 20 | 250 1 |
| Yang et al. (2019) [22] | CFRP | Plates | — | — | 10 | 90 | — | 10 | 90 |
| Rosa et al. (2022) [23] | GFRP | Bars | 157 | DMA | 20 | 300 | — | 20 | 300 2 |
| Mazzuca et al. (2022) [24] | GFRP | Plates | 94 | DMA | 20 | 250 | — | 20 | 200 |
| Wu et al. (2023) [25] | CFRP | Bars | — | — | 25 | 300 | — | 25 | 300 2 |
| Lu et al. (2023) [26] | GFRP | Bars | 112 | DSC | 20 | 420 | — | 20 | 270 2 |
2.2. Summary of Existing Thermal Properties
3. Bond Behavior of FRP-to-Concrete Interface at Elevated Temperatures
3.1. Externally-Bonded Reinforcement FRP Strengthening
| References | FRP Material | FRP Types | Bond Test | Glass Transition | Temperature [°C] | ||
|---|---|---|---|---|---|---|---|
| [°C] | Method | Min | Max | ||||
| Blontrock (2003) [39] | CFRP | strips | Double lap | 62 | — | 20 | 70 |
| Wu et al. (2005) [40] | CFRP | sheets | Double lap | 34–36 | — | 26 | 50 |
| Klamer (2006, 2009) [41,42] | CFRP | strips | Double lap | 62 | — | −20 | 100 |
| Leone et al. (2009) [48] | CFRP /GFRP | sheets /strips | Double lap | 55 | DSC | 20 | 80 |
| Burke et al. (2013) [53] | CFRP | sheets /strips | Beam tests | 59 and 69 | DMA | 21 | 200 |
| Firmo et al. (2015) [46] | CFRP | strips | Double lap | 47 | DMA | 20 | 120 |
| Ferrier and Agbossou (2017) [50] | CFRP | strips | Double lap | 58 and 76 | — | −40 | 120 |
| KrzywoĔ (2017) [49] | CFRP | strips | Bending test | 65 | — | 20 | 80 |
| Carlos and Rodrigues (2018) [51] | CFRP | strips | Single lap | 75 | DMA | 15 | 165 |
| Correia et al. (2019) [47] | CFRP | strips | Direct shear | 47 | DMA | 20 | 80 |
| Tajmir-Riahi et al. (2019) [52] | CFRP | sheets | Single lap | — | — | 25 | 500 1 |
| Wang et al. (2021) [56] | CFRP | sheets | Bending test | 60 and 52 | DSC | 20 | 600 1 |
| Jia et al. (2021) [57] | CFRP | sheets | Single lap | 68.5 | — | 20 | 120 |
| Seo et al. (2021) [58] | CFRP | Strips | Double lap | 54.5 | DSC | 22 | 411 |
| Haris et al. (2021) [59] | CFRP | sheets | Bending test | — | — | 20 | 350 1 |
| Khorasani et al. (2023) [55] | CFRP | sheets | Pull out | 58 | — | 20 | 455 1 |
3.2. Near Surface Mounted FRP Strengthening
| References | FRP Material | FRP Types | Bond Test | Glass Transition | Temperature [°C] | ||
|---|---|---|---|---|---|---|---|
| [°C] | Method | Min | Max | ||||
| Palmieiri et al. (2011) [66] | CFRP | Strips and bars | Double lap | Epoxy ( = 65) | — | 20 | 100 |
| Burke et al. (2013) [53] | CFRP | Sheets and strips | Beam tests | Epoxy ( = 59 and 69) | DMA | 21 | 200 |
| Palmieri (2013) [68] | CFRP | Strips | Double lap | Epoxy ( = 66) | DSC | 20 | 100 |
| Yu and Kodur (2014) [65] | CFRP | Strips and bars | Pull-out | Epoxy ( = 82 and 120) | — | 20 | 400 1 |
| Cassaert (2014) [69] | GFRP | Bars | Double lap | Grout ( = 220) | DSC | 20 | 285 |
| Firmo et al. (2015) [46] | CFRP | Strips | Double lap | Epoxy ( = 44 and 47) | DMA | 20 | 150 |
| Proia et al. (2015) [67] | CFRP /GFRP | Strips and bars | Double lap | Epoxy ( = 66)/Grout ( = 220) | — | 20 | 285 |
| Lee et al. (2017) [62] | CFRP | Bars | Pull-out | Epoxy ( = 50)/Grout ( = 65) | DSC | −15 | 55 |
| Obaidat et al. (2020) [63] | CFRP | Strips | Pull-out | — | — | 23 | 600 1 |
| Fernandes et al. (2020) [64] | CFRP | laminate | Pull-out | Epoxy ( = 73.1) | — | 50 | 250 |
| Seo et al. (2021) [58] | CFRP | Strips | Double lap | Epoxy ( = 54.5) | DSC | 22 | 633 1 |
| Rosa et al. (2021) [71] | GFRP | Bars | Pull-out | Epoxy ( = 104 and 157) | DMA | 20 | 300 2 |
3.3. Discussion
- NSM FRP-strengthened RC beams show significant retention in ultimate strength due to the degradation of their interfacial bonds after being exposed to elevated temperatures (for instance, a 53% reduction when subjected to 70 °C). Such reductions may also occur depending on the influence of FRP bar type and diameter, concrete cover, and the heat conductivity of the elements.
- Several studies above demonstrate that after temperatures exceed , resin mechanical properties almost completely lose bond strength, leading to bond failure at elevated temperatures (for instance, 90% bond strength reduction occurs between 100 °C and 200 °C).
- Ultimate load reduction occurs after the temperature rises above , caused by degradations in the interfacial bond during modeling. Therefore, it becomes necessary to isolate and exclude the effects of thermal stresses when interpreting bonded joint test results for such degraded interfaces at elevated temperatures.
- To enhance the ultimate strength of NSM FRP-strengthened RC members, the bond stress (shear stress) within concrete, adhesive, and FRP interfaces needs to be reduced by incorporating FRP with wider and longer measurements to increase the interface surface area between the concrete, adhesive, and FRP interfaces.
4. Fire Tests of FRP-Strengthened RC Members Exposed to Fire
4.1. Columns
| References | Column Size h × b (mm) | FRP Material | Insulation (mm) | Exposure Condition | Strength Increase [%] | Ultimate Capacity [%] |
|---|---|---|---|---|---|---|
| Bisby et al. (2005) [74] | 400 × 400 | CFRP | Vermiculite/gypsum mortar, intumescent coating (32–57) | ASTM E119 | 26 | 73 |
| Kodur et al. (2006) [76] | 406 × 406 | GFRP | Vermiculite/gypsum mortar (38) | ASTM E119 | 10 | 75 |
| Chowdhury et al. (2007) [75] | 400 × 400 | CFRP | — | ASTM E119 or CAN/ULC S101 | 63 | 56 |
| Chowdhury et al. (2007) [75] | 400 × 400 | CFRP | Cement-based mortar (53) | ASTM E119 or CAN/ULC S101 | 63 | 56 |
| Benichou et al. (2011) [78] | 305 × 305 | CFRP | Cement base mortar (40–51) | ASTM E119 or ULC S101 | — | — |
| Cree et al. (2012) [77] | 305 × 305 | CFRP | Sikacretes-213F (40–44) | ASTM E119 and CAN/ULC S101 | 16 | 75 |
| Al-Salloum et al. (2016) [81] | 242 × 242 | CFRP | Cement base mortar (40) | 100 °C to 800 °C for 3 h | 31.5 | 40 |
| Sobia et al. (2022) [80] | 200 × 200 | CFRP | Fiber-reinforced cement composite (UHPFRCC) (25) | ASTM E119 | 1.50 | 40 |
| Altunişik et al. (2023) [79] | 20 | CFRP /GFRP | DYMAT/Dymatherm (15–60) | 20 °C, 200 °C, 400 °C | 24 | — |
4.2. Beams
| References | Beam Size L × h × b (mm) | FRP Material | Insulation (mm) | Exposure Condition | Strength Increase [%] | Ultimate Capacity [%] |
|---|---|---|---|---|---|---|
| Deuring (1994) [99] | 5000 × 400 × 300 | Carbon | Calcium silicate boards (40–60) | ISO 834 | — | 55 |
| Blontrock et al. (2000) [100] | 2850 × 300 × 200 | Carbon | Gypsum boards/rock wool (25–60) | ISO 834 | — | 38 |
| Kexu et al. (2007) [101] | 5500 × 450 × 200 | Glass | Cement-based mortar (20–50) | ISO 834 | — | — |
| Williams et al. (2008) [85] | 3900 × 400 × 300 | Carbon | Vermiculite/gypsum mortar (25–38) | ASTM E119 | 15 | 48 |
| Gao et al. (2010) [86] | 5500 × 450 × 200 | Carbon | Calcium silicate board, fire retardant coatings (40–50) | ISO 834 | — | — |
| Ahmed and Kodur (2011) [88] | 3960 × 406 × 254 | Carbon | Vermiculite/gypsum mortar (25) | ASTM E119 | 50 | 50 |
| Firma et al. (2011) [89] | 2100 × 120 × 100 | Carbon | Calcium silicate boards, vermiculite/perlite mortar (25–40) | ISO 834 | 94 | 47 |
| Adelzadeh (2013) [102] | 3900 × 400 × 300 | Carbon | Cement base mortar (40) | ASTM E119 | 63 | 56 |
| Firmo and Correia (2015) [91] | 1500 × 120 × 100 | Carbon | Calcium silicate boards (25–75) | ISO 834 | 74 | 36 |
| Dong et al. (2016) [87] | 4700 × 200 × 450 | Carbon | Ultra-thin coating, calcium silicate board, cement base mortar (1.5–40–50) | ISO 834 | — | — |
| Zhang et al. (2018) [90] | 5300 × 400 × 250 | Carbon/Boron | Primer layer (10) | ISO 834 | — | — |
| Carlos et al. (2018) [92] | 3400 × 300 × 150 | Carbon | Vermiculite-perlite mortar, clay aggregates, cement-based mortars (20–35–50) | ISO 834 | 60 | 48 |
| Bhatt et al. (2021) [94] | 3960 × 406 × 254 | Carbon | V-Wrap FPS (19–32) | ASTM E119 | 33 | 55 |
| Haris et al. (2021) [59] | 2885 × 400 × 200 | Carbon | Cement-based mortar (20) | ISO 834 | 24 | 30 |
| Dong et al. (2023) [93] | 6000 × 450 × 250 | Carbon | Cement-based mortar, intumescent fire-retardant coating (20) | ISO 834 | 09 | 29 |
4.3. Slabs
| References | Slab Size L × h × b (mm) | Technique | FRP Material | Insulation (mm) | Exposure Condition | Strength Increase [%] |
|---|---|---|---|---|---|---|
| Williams et al. (2006) [104] | 950 × 150 | EBR | CFRP | Vermiculite/gypsum mortar, Cement base mortar (15–40) | ASTM E119 | — |
| Stratford et al. (2009) [105] | 150 | NSM and EBR | CFRP | Intumescent coating, Gypsum boards (24) | ASTM E119 | — |
| Bakhtiyari et al. (2017) [107] | 1460 × 50 × 980 | EBR | CFRP | Vermiculite/gypsum mortar (15–25) | BS EN 1363-1:2012 | 228–247 |
| López et al. (2018) [106] | 2100 × 120 × 250 | EBR | CFRP | Vermiculite/perlite mortar, Calcium silicate boards (25–40) | ISO 834 | 94 |
| Rosa et al. (2020) [109] | 1500 × 110 × 250 | NSM | GFRP | Ceramic wool | ISO 834 | 60 |
| Bhatt et al. (2021) [94] | 3960 × 152 × 400 | EBR | CFRP | V-Wrap FPS (19–25) | ASTM E119 | 40 |
| Azevedo et al. (2022) [110] | 1500 × 110 × 250 | NSM and EBR | CFRP | Calcium silicate boards (25–50) | ISO 834 | 81 and 18 |
4.4. Discussion and Future Recommendations
- All the columns insulated with fire insulation successfully maintained their full-service load-bearing capacity for more than four hours, although the glass transition temperature of FRP being surpassed early in the test.
- The above research studies demonstrated that FRP laminates significantly degrade tensile and bonding properties when exposed to fire. Due to this degradation, the stiffness and strength of FRP-strengthened RC beams were significantly reduced. Moreover, these studies indicate that FRP-strengthened RC beams can achieve the required fire performance criteria by using appropriate fire insulation systems. Yet, it remains unclear how to design insulation systems appropriate for FRP-strengthened RC beams based on the number of fire tests that have been conducted.
- With the application of 20-mm thick fire-retardant coating (i.e., SJ-2 layer), CFRP shear-strengthened RC beams can effectively delay the cross-sectional temperature responses of the test specimens, leading to the enhancement in the fire resistance period.
- According to this review of literature, it has been observed that there has been a lack of studies on FRP-strengthened RC members subjected to cyclic and impact loading at elevated temperatures to determine their dynamic behavior. The majority of experiments have been performed under static loading conditions.
- Using real fire for experimental studies has rarely been reported since most studies have relied on electric furnaces. During real fires, structural elements will behave differently than what has been observed during artificial fire experiments.
- To conduct experimental fire testing outdoors on FRP-strengthened RC members to examine a real case scenario considering wind and air environmental conditions.
- Fire performance tests are required for RC structural members externally strengthened with CFRP strips of zigzag shape at the bottom and side anchorages.
- To conduct experimental fire testing on insulated FRP-strengthened RC members using mineral fibers.
- To conduct experimental fire testing on the fire performance of RC beams strengthened in shear with CFRP at elevated temperatures.
- Fire performance investigations are required for CFRP-strengthened RC structural beams reinforced by a combined mechanically anchored 3NSM system.
- To conduct experimental fire testing on U-shaped steel anchorage plates applied in the mid-section of CFRP-strengthened RC beams to determine the second proposed design approach.
- An experimental fire test is required to be conducted on a pre-stressed CFRP strengthening device.
- Fire performance tests are required to mechanically anchor RC beams strengthened with CFRP laminates by combining π-anchor and FRP anchor devices.
5. Numerical Modelling of FRP-Strengthened RC Members Exposed to Fire
5.1. Columns
5.2. Beams
5.3. Slabs
5.4. Discussion and Future Recommendations
- Heat transfer analysis on FRP-strengthened RC elements at varying temperature conditions, including both cold and hot temperature conditions within the cross-section of the members.
- Finite element analysis (FEA) will investigate the creep-rupture behavior of FRP-strengthened RC members under sustained loads. A viscoelastic model can incorporate concrete creep under sustained loading, whereas a viscoelasticity or viscoplasticity model can be used to model FRP degradation over time (i.e., polymer matrix creep).
- Time-dependent analysis to investigate the long-term deflection response of flexural strengthened RC elements with various kinds of FRP components under sustained loads. As part of this analysis, time-varying material properties (i.e., concrete creep, shrinkage, and stress relaxation in FRP) can be incorporated to predict deflections under sustained loads.
- Numerical analysis to evaluate the impact of lightweight concrete on the shear and flexural behavior of FRP-strengthened RC members.
- Simulating high-strength concrete to study its influences on shear and flexural behavior of FRP-strengthened RC members.
- Simulating RC beams and slabs externally strengthened with FRP splay anchors to investigate the static, cyclic, and thermal loading conditions.
- Heat transfer analysis to predict fire performance of FRP shear-strengthened RC beam at elevated temperature.
6. Design Methods for Temperature Predictions
6.1. Existing Fire Resistance Design Methods
6.1.1. Prescriptive Design Guidelines
6.1.2. Performance-Based Fire-Resistance Design
6.2. Proposed Simple Design Methods for Temperature Predictions
6.2.1. Bare RC Members
6.2.2. Insulated FRP-Strengthened RC Members
6.3. Results and Discussion
7. Conclusions and Future Research
- Although fiber plays an important role among FRP composites to sustain the applied load, the mechanical properties of the polymer matrix (i.e., , ultimate strain, tensile strength, elasticity modulus strength, and bond strength between the matrix and fiber) are also essential in influencing the mechanical behavior of FRP composites. In addition, some other significant factors that affect the bond and tensile properties of FRP strengthening systems and materials include thermal cycling, the effect of curing conditions, absorption of moisture, aging and creep, and sustained loading.
- Based on the experimental studies performed on the mechanical properties of FRP materials used for strengthening at elevated temperatures, it can be concluded that bond strength reduction is considered an important factor in not obtaining the required response of FRP-strengthened RC members at elevated temperatures. However, the degradation in bond strength is mainly due to FRP having lower fire performance itself. Therefore, several researchers have concluded that by applying a certain level of insulation, FRP-strengthened RC members can achieve the required fire endurance rating.
- Experimental studies conducted at elevated temperatures play a significant role in the bond behavior of FRP-to-concrete interfaces. The increase in the ultimate load is observed for the bonded joint subjected to a warm temperature close to , due to the influence of initial thermal stresses occurring at the FRP-to-concrete interface. Eventually, the degradation has been observed for the ultimate loads of the bonded joints tested at elevated temperatures owing to the degradations of the bonding adhesive, which can be accurately explained by a temperature-dependent bond-slip model.
- Fire tests and numerical simulations on insulated FRP-strengthened RC members have indicated that the test specimens can achieve satisfactory fire endurance ratings once appropriate fire insulation layers are utilized.
- The current design guidelines for FRP-strengthened RC members usually provide some prescriptive provisions for fire endurance design, which cannot be easily implemented in practical strengthening applications. Therefore, a simple design method has been reviewed and proposed for more rational fire endurance design approaches for FRP-strengthened RC members under fire conditions.
- The above review reveals that almost no research work in the literature has been conducted on the fire performance of FRP shear-strengthened RC beams, and therefore, it is an urgent need to carry out some fire tests and related numerical modeling of FRP shear-strengthened RC beams under fire conditions.
- Further research is necessary to produce adhesives with higher thermal resistance and stronger bonding at high temperatures to prevent adhesive degradation and ensure stronger, better bond strength at FRP-to-concrete interfaces under fire conditions.
- Considering the limitations of current FRP materials, to improve the fire performance of FRP-strengthened RC structures, further research on hybrid FRP systems that combine carbon, glass, and aramid fibers may offer better fire performance.
- For the fire safety of FRP-strengthened RC members during high temperatures, further investigation is required on innovative fire protection strategies, including intumescent coatings, insulating layers designed to resist fire, and passive fire protection systems.
Author Contributions
Funding
Institutional Review Board Statement
Data Availability Statement
Acknowledgments
Conflicts of Interest
References
- Kodur, V.; Bisby, L.; Green, M. FRP Retrofitted Concrete under Fire Conditions. Concr. Int. 2006, 28, 37–44. [Google Scholar]
- Cao, S.; Wang, X.; Wu, Z. Evaluation and Prediction of Temperature-Dependent Tensile Strength of Unidirectional Carbon Fiber-Reinforced Polymer Composites. J. Reinf. Plast. Compos. 2011, 30, 799–807. [Google Scholar] [CrossRef]
- Rosa, I.C.; Morgado, T.; Correia, J.R.; Firmo, J.P.; Silvestre, N. Shear Behavior of GFRP Composite Materials at Elevated Temperature. J. Compos. Constr. 2018, 22, 4018010. [Google Scholar] [CrossRef]
- Naser, M.Z.; Hawileh, R.A.; Abdalla, J.A. Fiber-Reinforced Polymer Composites in Strengthening Reinforced Concrete Structures: A Critical Review. Eng. Struct. 2019, 198, 109542. [Google Scholar] [CrossRef]
- Bisby, L.A.; Williams, B.K.; Kodur, V.R.K.; Green, M.F.; Chowdhury, E. Fire Performance of FRP Systems for Infrastructure: A State-of-the-Art Report; Transportation Association of Canada (TAC): Ottawa, ON, Canada, 2005. [Google Scholar] [CrossRef]
- Maraveas, C.; Miamis, K.; Vrakas, A.A. Fiber-Reinforced Polymer-Strengthened/Reinforced Concrete Structures Exposed to Fire: A Review. Struct. Eng. Int. J. Int. Assoc. Bridg. Struct. Eng. 2012, 22, 500–513. [Google Scholar] [CrossRef]
- Firmo, P.; Correia, R.; Bisby, L.A.; Firmo, J.P.; Correia, J.R.; Bisby, L.A.; Firmo, P.; Correia, R.; Bisby, L.A. Fire Behaviour of FRP-Strengthened Reinforced Concrete Structural Elements: A State-of-the-Art Review. Compos. Part B Eng. 2015, 80, 198–216. [Google Scholar] [CrossRef]
- Cao, S.; Wu, Z.; Wang, X. Tensile Properties of CFRP and Hybrid FRP Composites at Elevated Temperatures. J. Compos. Mater. 2009, 43, 315–330. [Google Scholar] [CrossRef]
- Chowdhury, E.U.; Eedson, R.; Bisby, L.A.; Green, M.F.; Benichou, N.; Kodur, V.K.R.; Fyfe, E. Mechanical Characterization of Fibre Reinforced Polymers for Numerical Fire Endurance Modelling. In Proceedings of the 5th International Conference: Structures in Fire, Singapore, 28–30 May 2008; pp. 28–30. [Google Scholar]
- Jarrah, M.; Najafabadi, E.P.; Khaneghahi, M.H.; Oskouei, A.V. The Effect of Elevated Temperatures on the Tensile Performance of GFRP and CFRP Sheets. Constr. Build. Mater. 2018, 190, 38–52. [Google Scholar] [CrossRef]
- Chowdhury, E.U.; Eedson, R.; Bisby, L.A.; Green, M.F.; Benichou, N. Mechanical Characterization of Fibre Reinforced Polymers Materials at High Temperature. Fire Technol. 2011, 47, 1063–1080. [Google Scholar] [CrossRef]
- Hawileh, R.A.; Abu-Obeidah, A.; Abdalla, J.A.; Al-Tamimi, A. Temperature Effect on the Mechanical Properties of Carbon, Glass and Carbon-Glass FRP Laminates. Constr. Build. Mater. 2015, 75, 342–348. [Google Scholar] [CrossRef]
- Wong, P.M.H.; Davies, J.M.; Wang, Y.C. An Experimental and Numerical Study of the Behaviour of Glass Fibre Reinforced Plastics (GRP) Short Columns at Elevated Temperatures. Compos. Struct. 2004, 63, 33–43. [Google Scholar] [CrossRef]
- Cao, S.; Wu, Z. Tensile Properties of FRP Composites at Elevated and High Temperatures. J. Appl. Mech. 2008, 11, 963–970. [Google Scholar] [CrossRef]
- Bai, Y. Material and Structural Performance of Fiber-Reinforced Polymer Composites at Elevated and High Temperatures. Ph.D. Thesis, EPFL—Swiss Federal Technology Institute of Lausanne, Lausanne, Switzerland, 2009. [Google Scholar] [CrossRef]
- Yu, B.; Till, V.; Thomas, K. Modeling of Thermo-Physical Properties for FRP Composites under Elevated and High Temperature. Compos. Sci. Technol. 2007, 67, 3098–3109. [Google Scholar] [CrossRef]
- Bai, Y.; Post, N.L.; Lesko, J.J.; Keller, T. Experimental Investigations on Temperature-Dependent Thermo-Physical and Mechanical Properties of Pultruded GFRP Composites. Thermochim. Acta 2008, 469, 28–35. [Google Scholar] [CrossRef]
- Yu, B.; Kodur, V. Effect of Temperature on Strength and Stiffness Properties of Near-Surface Mounted FRP Reinforcement. Compos. Part B Eng. 2014, 58, 510–517. [Google Scholar] [CrossRef]
- Bai, Y.; Keller, T. Modeling of Strength Degradation for Fiber-Reinforced Polymer Composites in Fire. J. Compos. Mater. 2009, 43, 2371–2385. [Google Scholar] [CrossRef]
- Sun, W.; Vassilopoulos, A.P.; Keller, T. Effect of Temperature on Kinking Failure Mode of Non-Slender Glass Fiber-Reinforced Polymer Specimens. Compos. Struct. 2015, 133, 178–190. [Google Scholar] [CrossRef]
- Hu, Y.-J.; Jiang, C.; Liu, W.; Yu, Q.-Q.; Zhou, Y.-L. Degradation of the In-Plane Shear Modulus of Structural BFRP Laminates Due to High Temperature. Sensors 2018, 18, 3361. [Google Scholar] [CrossRef]
- Yang, Y.; Jiang, Y.; Liang, H.; Yin, X.; Huang, Y. Study on Tensile Properties of CFRP Plates under Elevated Temperature Exposure. Materials 2019, 12, 1995. [Google Scholar] [CrossRef] [PubMed]
- Rosa, I.C.; Firmo, J.P.; Correia, J.R. Experimental Study of the Tensile Behaviour of GFRP Reinforcing Bars at Elevated Temperatures. Constr. Build. Mater. 2022, 324, 126676. [Google Scholar] [CrossRef]
- Mazzuca, P.; Firmo, J.P.; Correia, J.R.; Castilho, E. Influence of Elevated Temperatures on the Mechanical Properties of Glass Fibre Reinforced Polymer Laminates Produced by Vacuum Infusion. Constr. Build. Mater. 2022, 345, 128340. [Google Scholar] [CrossRef]
- Wu, H.; Xu, G.; Ma, M.; Yang, Y.; Xiong, H. Mechanical Properties of CFRP Bar with Different Elevated-Temperature Experiences. Constr. Build. Mater. 2023, 384, 131394. [Google Scholar] [CrossRef]
- Lu, C.; Qi, Z.; Ge, H.; Zheng, Y. Predicting the Mechanical Properties of E-Glass Fiber-Reinforced Polymer Bars after Exposure to Elevated Temperature. Constr. Build. Mater. 2023, 379, 131238. [Google Scholar] [CrossRef]
- Wang, Y.C.; Wong, P.M.H.; Kodur, V. An Experimental Study of the Mechanical Properties of Fibre Reinforced Polymer (FRP) and Steel Reinforcing Bars at Elevated Temperatures. Compos. Struct. 2007, 80, 131–140. [Google Scholar] [CrossRef]
- Nadjai, A.; Talamona, D.; Ali, F. Fire Performance of Concrete Beams Reinforced with FRP Bars. Fire Technol. 2006, 42, 211–231. [Google Scholar] [CrossRef]
- Ashrafi, H.; Bazli, M.; Najafabadi, E.P.; Vatani Oskouei, A. The Effect of Mechanical and Thermal Properties of FRP Bars on Their Tensile Performance under Elevated Temperatures. Constr. Build. Mater. 2017, 157, 1001–1010. [Google Scholar] [CrossRef]
- Lu, Z.; Xian, G.; Li, H. Effects of Elevated Temperatures on the Mechanical Properties of Basalt Fibers and BFRP Plates. Constr. Build. Mater. 2016, 127, 1029–1036. [Google Scholar] [CrossRef]
- Wang, K.; Young, B.; Smith, S.T. Mechanical Properties of Pultruded Carbon Fibre-Reinforced Polymer (CFRP) Plates at Elevated Temperatures. Eng. Struct. 2011, 33, 2154–2161. [Google Scholar] [CrossRef]
- Correia, J.R.; Gomes, M.M.; Pires, J.M.; Branco, F.A. Mechanical Behaviour of Pultruded Glass Fibre Reinforced Polymer Composites at Elevated Temperature: Experiments and Model Assessment. Compos. Struct. 2013, 98, 303–313. [Google Scholar] [CrossRef]
- da Costa Pires, J.M. Mechanical Behaviour at Elevated Temperatures of Pultruded GFRP Composite Profiles. Master’s Thesis, Universidade de Lisboa, Lisboa, Portugal, 2012. [Google Scholar]
- Triantafillou, T.; Matthys, S.; Audenaert, K.; Balázs, G.; Blaschko, M.; Blontrock, H.; Czaderski, C.; David, E.; Di Tomasso, A.; Duckett, W.; et al. Externally Bonded FRP Reinforcement for RC Structures; Bulletin FIB; International Federation for Structural Concrete (FIB): Lausanne, Switzerland, 2001; Volume 14. [Google Scholar] [CrossRef]
- Soudki, K.; Alkhrdaji, T. Guide for the Design and Construction of Externally Bonded FRP Systems for Strengthening Existing Structures. In Structures Congress 2005: Metropolis and Beyond; American Society of Civil Engineers (ASCE): New York, NY, USA, 2005. [Google Scholar] [CrossRef]
- Mallick, P.K. Fiber-Reinforced Composites: Materials, Manufacturing, and Design; CRC Press: Boca Raton FL, USA, 2008. [Google Scholar] [CrossRef]
- Griffic, C.A.; Masumura, R.A.; Chang, C.I. Thermal Response of Graphite Epoxy Composite Subjected to Rapid Heating. J. Compos. Mater. 1981, 15, 427–442. [Google Scholar] [CrossRef]
- Sen, T.; Reddy, H.N.J.; Shubhalakshmi, B.S. Shear Strength Study of RC Beams Retrofitted Using Vinyl Ester Bonded GFRP and Epoxy Bonded GFRP. Civ. Environ. Res 2012, 2, 23–33. [Google Scholar]
- Blontrock, H. Analysis and Modeling of the Fire Resistance of Concrete Elements with Externally Bonded FRP Reinforcement; Ghent University: Ghent, Belgium, 2003. [Google Scholar]
- Wu, Z.S.; Iwashita, K.; Yagashiro, S.; Ishikawa, T.; Hamaguchi, Y. Temperature Effect on Bonding and Debonding Behavior between FRP Sheets and Concrete. J. Soc. Mater. Sci. 2005, 54, 474–480. [Google Scholar] [CrossRef]
- Klamer, E.L.; Hordijk, D.A.; Hermes, M.C. The influence of temperature on RC beams strengthened with externally bonded CFRP reinforcement. Heron 2008, 53, 157–186. [Google Scholar]
- Klamer, E.-L. Influence of Temperature on Concrete Beams Strengthened in Flexure with CFRP; Eindhoven University of Technology: Eindhoven, The Netherlands, 2009. [Google Scholar] [CrossRef]
- Klamer, E.L.; Hordijk, D.A.; Janssen, H.J.M. The Influence of Temperature on the Debonding of Externally Bonded CFRP. Spec. Issue ACI 2005, 230, 1551–1570. [Google Scholar]
- Gao, W.Y.; Teng, J.G.; Dai, J.-G. Effect of Temperature Variation on the Full-Range Behavior of FRP-to-Concrete Bonded Joints. J. Compos. Constr. 2012, 16, 671–683. [Google Scholar] [CrossRef]
- Yuan, H.; Teng, J.G.; Seracino, R.; Wu, Z.S.; Yao, J. Full-Range Behavior of FRP-to-Concrete Bonded Joints. Eng. Struct. 2004, 26, 553–565. [Google Scholar] [CrossRef]
- Firmo, J.P.; Correia, J.R.; Pitta, D.; Tiago, C.; Arruda, M.R.T.T. Experimental Characterization of the Bond between Externally Bonded Reinforcement (EBR) CFRP Strips and Concrete at Elevated Temperatures. Cem. Concr. Compos. 2015, 60, 44–54. [Google Scholar] [CrossRef]
- Correia, L.; Barris, C.; França, P.; Sena-Cruz, J. Effect of Temperature on Bond Behavior of Externally Bonded FRP Laminates with Mechanical End Anchorage. J. Compos. Constr. 2019, 23, 1–12. [Google Scholar] [CrossRef]
- Leone, M.; Matthys, S.; Aiello, M.A. Effect of Elevated Service Temperature on Bond between FRP EBR Systems and Concrete. Compos. Part B Eng. 2009, 40, 85–93. [Google Scholar] [CrossRef]
- Krzywoń, R. Behavior of EBR FRP Strengthened Beams Exposed to Elevated Temperature. Procedia Eng. 2017, 193, 297–304. [Google Scholar] [CrossRef]
- Ferrier, E.; Agbossou, A. Temperature Effects on the Shear Capacity of External Bonded Fiber Reinforced Polymer on Concrete. Constr. Build. Mater. 2017, 152, 333–344. [Google Scholar] [CrossRef]
- Carlos, T.B.; Rodrigues, J.P.C. Experimental Bond Behaviour of a CFRP Strengthening System for Concrete Elements at Elevated Temperatures. Constr. Build. Mater. 2018, 193, 395–404. [Google Scholar] [CrossRef]
- Tajmir-Riahi, A.; Moshiri, N.; Mostofinejad, D. Inquiry into Bond Behavior of CFRP Sheets to Concrete Exposed to Elevated Temperatures—Experimental & Analytical Evaluation. Compos. Part B Eng. 2019, 173, 106897. [Google Scholar] [CrossRef]
- Burke, P.J.; Bisby, L.A.; Green, M.F. Effects of Elevated Temperature on near Surface Mounted and Externally Bonded FRP Strengthening Systems for Concrete. Cem. Concr. Compos. 2013, 35, 190–199. [Google Scholar] [CrossRef]
- Cai, Z.H. Research on Bond Property of FRP-to-Concrete Interface under Elevated Temperatures. Master’s Thesis, Tongji University, Shanghai, China, 2008. [Google Scholar]
- Khorasani, M.; Muciaccia, G.; Consiglio, A.N.; Mostofinejad, D. Evaluating the Behavior and Bond Properties of FRP Spike Anchors under Confined Conditions and Elevated Temperature. Compos. Struct. 2023, 322, 117407. [Google Scholar] [CrossRef]
- Wang, Z.; Dai, J.-G.; Wang, M.; Chen, L.; Zhang, F.; Xu, Q. Residual Bond Strengths of Epoxy and Cement-Bonded CFRP Reinforcements to Concrete Interfaces after Elevated Temperature Exposure. Fire Saf. J. 2021, 124, 103393. [Google Scholar] [CrossRef]
- Jia, D.-G.; Gao, W.-Y.; Duan, D.-X.; Yang, J.; Dai, J.-G. Full-Range Behavior of FRP-to-Concrete Bonded Joints Subjected to Combined Effects of Loading and Temperature Variation. Eng. Fract. Mech. 2021, 254, 107928. [Google Scholar] [CrossRef]
- Seo, S.; Lim, J.; Jeong, S. Evaluation on the Bond Capacity of the Fire-Protected FRP Bonded to Concrete under High Temperature. Int. J. Concr. Struct. Mater. 2021, 15, 1–24. [Google Scholar] [CrossRef]
- Haris, M.; Gao, W.Y.; Hu, K.X. Fire Performance of Insulated RC Beams Shear-Strengthened with CFRP Sheets. IOP Conf. Ser. Earth Environ. Sci. 2021, 719, 022044. [Google Scholar] [CrossRef]
- Wang, H.-T.; Bian, Z.-N.; Wu, Q.; Hu, L.; Chen, M.-S.; Tang, C. Development of a Novel Anchorage and Tensioning System for Strengthening Steel Beams with Unbonded Prestressed CFRP Plates. Eng. Struct. 2024, 312, 118234. [Google Scholar] [CrossRef]
- Jadooe, A.; Al-Mahaidi, R.; Abdouka, K. Bond Behavior between NSM CFRP Strips and Concrete Exposed to Elevated Temperature Using Cement-Based and Epoxy Adhesives. J. Compos. Constr. 2017, 21, 04017033. [Google Scholar] [CrossRef]
- Lee, H.; Jung, W.T.; Chung, W. Bond Behavior of near Surface Mounted CFRP Rods under Temperature Cycling. Eng. Struct. 2017, 137, 67–75. [Google Scholar] [CrossRef]
- Obaidat, Y.T.; Barham, W.S.; Abdelrahman, B.N. Effect of Elevated Temperature on the Bond Behavior between near Surface Mounted-Carbon Fiber Reinforced Polymers Strips and Recycled Aggregate Concrete. Constr. Build. Mater. 2020, 251, 118970. [Google Scholar] [CrossRef]
- Fernandes, B.; Junior, A.; Costa, C. Residual Bond Behavior between NSM CFRP and Concrete at Elevated Temperatures. Constr. Build. Mater. 2020, 257, 119467. [Google Scholar] [CrossRef]
- Yu, B.; Kodur, V.K.R. Effect of High Temperature on Bond Strength of Near-Surface Mounted FRP Reinforcement. Compos. Struct. 2014, 110, 88–97. [Google Scholar] [CrossRef]
- Palmieri, A.; Matthys, S.; Taerwe, L. Bond Behavior of NSM FRP Bars at Elevated Temperatures. In Proceedings of the First Middle East Conference on Smart Monitoring, Assessment and Rehabilitation Civil Structures, Dubai, United Arab Emirates, 8–10 February 2011. 8p. [Google Scholar]
- Proia, A.; Matthys, S.; Palmieri, A.; Cassaert, C. Double Bond Shear Tests at Elevated Temperature on NSM FRP System with Epoxy and Grout Adhesive. In Proceedings of the 2th International Symposium on Fiber Reinforced Polymers for Reinforced Concrete Structures (FRPRCS-12) & the 5th Asia-Pacific Conference on Fiber Reinforced Polymers in Structures (APFIS-2015) Joint Conference, Nanjing, China, 14–16 December 2015. [Google Scholar]
- Palmieri, A. Evaluation and Optimization of the Fire Safety of Concrete Elements Strengthened with NSM Reinforcement; Ghent University: Ghent, Belgium, 2013; Available online: http://hdl.handle.net/1854/LU-4126289 (accessed on 13 November 2024).
- Cassaert, C. Bond between Concrete and NSM FRP Reinforcement Embedded with Grout: Study at Ambient and Elevated Temperature. Master’s Thesis, Ghent University, Ghent, Belgium, 2014. [Google Scholar]
- Karter, M.J. Fire Loss in the United States 2008; National Fire Protection Association: Quincy, MA, USA, 2009. [Google Scholar]
- Rosa, I.C.; Firmo, J.P.; Correia, J.R.; Mazzuca, P. Influence of Elevated Temperatures on the Bond Behaviour of Ribbed GFRP Bars in Concrete. Cem. Concr. Compos. 2021, 122, 104119. [Google Scholar] [CrossRef]
- Mugahed Amran, Y.H.; Alyousef, R.; Rashid, R.S.M.; Alabduljabbar, H.; Hung, C.C. Properties and Applications of FRP in Strengthening RC Structures: A Review. Structures 2018, 16, 208–238. [Google Scholar] [CrossRef]
- Tao, Z.; Wang, Z.B.; Han, L.H.; Uy, B. Fire Performance of Concrete-Filled Steel Tubular Columns Strengthened by CFRP. Steel Compos. Struct. 2011, 11, 307–324. [Google Scholar] [CrossRef]
- Bisby, L.A.; Kodur, V.K.R.R.; Green, M.F. Fire Endurance of Fiber-Reinforced Polymer-Confined Concrete Columns. ACI Struct. J. 2005, 102, 883–891. [Google Scholar] [CrossRef]
- Chowdhury, E.U.; Bisby, L.A.; Green, M.F.; Kodur, V.K.R. Investigation of Insulated FRP-Wrapped Reinforced Concrete Columns in Fire. Fire Saf. J. 2007, 42, 452–460. [Google Scholar] [CrossRef]
- Kodur, V.K.R.; Bisby, L.A.; Green, M.F. Experimental Evaluation of the Fire Behaviour of Insulated Fibre-Reinforced-Polymer-Strengthened Reinforced Concrete Columns. Fire Saf. J. 2006, 41, 547–557. [Google Scholar] [CrossRef]
- Cree, D.; Chowdhury, E.U.; Green, M.F.; Bisby, L.A.; Bénichou, N. Performance in Fire of FRP-Strengthened and Insulated Reinforced Concrete Columns. Fire Saf. J. 2012, 54, 86–95. [Google Scholar] [CrossRef]
- Benichou, N.; Cree, D.; Chowdhury, E.U.; Green, M.F.; Bisby, L.A. Fire Testing of FRP Strengthened Reinforced Concrete Columns. In Proceedings of the International Conference on Durability and Sustainability of FRP Composites for Construction and Rehabilitation (CDCC 2011), Quebec City, QC, Canada, 20–22 July 2011; pp. 20–22. [Google Scholar]
- Altunişik, A.C.; Akbulut, Y.E.; Adanur, S.; Kaya, A.; Günaydin, M.; Mostofi, S.; Mosallam, A. Evaluating the High-Temperature Endurance of FRP-Strengthened Concrete Using an Innovative Insulation System: Experimental Investigation. J. Build. Eng. 2023, 73, 106444. [Google Scholar] [CrossRef]
- Sobia, A.Q.; Afifudin, H.; Hamidah, M.S.; Azmi, I. Thermo-Mechanical Behavior of Fire Insulated Fiber-Reinforced Polymer (FRP) Strengthened Reinforced Concrete Square Column. Asian J. Civ. Eng. 2022, 23, 573–583. [Google Scholar] [CrossRef]
- Al-Salloum, Y.A.; Almusallam, T.H.; Elsanadedy, H.M.; Iqbal, R.A. Effect of Elevated Temperature Environments on the Residual Axial Capacity of RC Columns Strengthened with Different Techniques. Constr. Build. Mater. 2016, 115, 345–361. [Google Scholar] [CrossRef]
- Liang, X.; Wang, W.; Hu, L.; Feng, P. Experimental and Numerical Study on High-Temperature Performance of Prestressed CFRP-Reinforced Steel Columns. Eng. Struct. 2024, 301, 117347. [Google Scholar] [CrossRef]
- ASTM E119-16A; Standard Test Methods for Fire Tests of Building Construction and Materials. American Society for Testing Material: Conshohocken, PA, USA, 2016. [CrossRef]
- CAN/ULC S101; Standard Methods of Fire Endurance Tests of Building Construction and Materials. Fifth Edition. Underwriters Laboratories of Canada: Ottawa, ON, Canada, 2019.
- Williams, B.; Kodur, V.; Green, M.F.; Bisby, L. Fire Endurance of Fiber-Reinforced Polymer Strengthened Concrete T-Beams. ACI Struct. J. 2008, 105, 60–67. [Google Scholar] [CrossRef]
- Gao, W.Y.; Hu, K.X.; Lu, Z.D. Fire Resistance Experiments of Insulated CFRP Strengthened Reinforced Concrete Beams. China Civ. Eng. J. 2010, 3, 8. [Google Scholar]
- Dong, K.; Hu, K.X.; Gao, W.Y. Fire Behavior of Full-Scale CFRP-Strengthened RC Beams Protected with Different Insulation Systems. J. Asian Archit. Build. Eng. 2016, 15, 581–588. [Google Scholar] [CrossRef]
- Ahmed, A.; Kodur, V. The Experimental Behavior of FRP-Strengthened RC Beams Subjected to Design Fire Exposure. Eng. Struct. 2011, 33, 2201–2211. [Google Scholar] [CrossRef]
- Firmo, J.P.; Correia, J.R.; França, P. Fire Behaviour of Reinforced Concrete Beams Strengthened with CFRP Laminates: Protection Systems with Insulation of the Anchorage Zones. Compos. Part B Eng. 2012, 43, 1545–1556. [Google Scholar] [CrossRef]
- Zhang, H.Y.; Lv, H.R.; Kodur, V.; Qi, S.L. Comparative Fire Behavior of Geopolymer and Epoxy Resin Bonded Fiber Sheet Strengthened RC Beams. Eng. Struct. 2018, 155, 222–234. [Google Scholar] [CrossRef]
- Firmo, J.P.; Correia, J.R. Fire Behaviour of Thermally Insulated RC Beams Strengthened with NSM-CFRP Strips: Experimental Study. Compos. Part B Eng. 2015, 76, 112–121. [Google Scholar] [CrossRef]
- Carlos, T.B.; Rodrigues, J.P.C.; de Lima, R.C.A.; Dhima, D. Experimental Analysis on Flexural Behaviour of RC Beams Strengthened with CFRP Laminates and under Fire Conditions. Compos. Struct. 2018, 189, 516–528. [Google Scholar] [CrossRef]
- Dong, K.; Hu, K.X.; Gao, W.Y.; Yang, S.T. Fire Endurance Tests of CFRP-Strengthened RC Beams with Different Insulation Schemes. Structures 2023, 56, 104887. [Google Scholar] [CrossRef]
- Bhatt, P.P.; Kodur, V.K.R.; Shakya, A.M.; Alkhrdaji, T. Performance of Insulated FRP-Strengthened Concrete Flexural Members under Fire Conditions. Front. Struct. Civ. Eng. 2021, 15, 177–193. [Google Scholar] [CrossRef]
- Grace, N.F.; Soliman, A.K.; Abdel-Sayed, G.; Saleh, K.R. Behavior and Ductility of Simple and Continuous FRP Reinforced Beams. J. Compos. Constr. 1998, 2, 186–194. [Google Scholar] [CrossRef]
- Ross, C.A.; Jerome, D.M.; Tedesco, J.W.; Hughes, M.L. Strengthening of Reinforced Concrete Beams with Externally Bonded Composite Laminates. Struct. J. 1999, 96, 212–220. [Google Scholar] [CrossRef]
- Esfahani, M.R.; Kianoush, M.R.; Tajari, A.R. Flexural Behaviour of Reinforced Concrete Beams Strengthened by CFRP Sheets. Eng. Struct. 2007, 29, 2428–2444. [Google Scholar] [CrossRef]
- Teng, J.G.; Chen, J.F. Mechanics of Debonding in FRP-Plated RC Beams. Proc. Inst. Civ. Eng. Struct. Build. 2009, 162, 335–345. [Google Scholar] [CrossRef]
- Deuring, M. Brandversuche an Nachträglich Verstärkten Trägern Aus Beton; EMPA: Dübendorf, Switzerland, 1994. [Google Scholar]
- Blontrock, H.; Taerwe, L.; Vandevelde, P. Fire Tests on Concrete Beams Strengthened with Fibre Composite Laminates. In Proceedings of the International PhD Symposium in Civil Engineering, Vienna, Austria, 5–7 October 2000; Available online: https://biblio.ugent.be/publication/130382 (accessed on 13 November 2024).
- Hu, K.X.; He, G.S.; Lu, F. Experimental Study on Fire Protection Methods of Reinforced Concrete Beams Strengthened with Carbon Fiber Reinforced Polymer. Front. Archit. Civ. Eng. China 2007, 1, 399–404. [Google Scholar] [CrossRef]
- Adelzadeh, M. Structural and Thermal Behaviour of Insulated FRP-Strengthened Reinforced Concrete Beams and Slabs in Fire. 2013. Available online: https://www.proquest.com/openview/036fd8122807cda9775694b374f256e6/1?pq-origsite=gscholar&cbl=18750 (accessed on 1 September 2013).
- Yu, B.; Kodur, V.K.R. Fire Behavior of Concrete T-Beams Strengthened with near-Surface Mounted FRP Reinforcement. Eng. Struct. 2014, 80, 350–361. [Google Scholar] [CrossRef]
- Williams, B.; Bisby, L.; Kodur, V.; Green, M.; Chowdhury, E. Fire Insulation Schemes for FRP-Strengthened Concrete Slabs. Compos. Part A Appl. Sci. Manuf. 2006, 37, 1151–1160. [Google Scholar] [CrossRef]
- Stratford, T.J.; Gillie, M.; Chen, J.F.; Usmani, A.S. Bonded Fibre Reinforced Polymer Strengthening in a Real Fire. Adv. Struct. Eng. 2009, 12, 867–878. [Google Scholar] [CrossRef]
- López, C.; Firmo, J.P.; Correia, J.R.; Tiago, C. Fire Protection Systems for Reinforced Concrete Slabs Strengthened with CFRP Laminates. Constr. Build. Mater. 2013, 47, 324–333. [Google Scholar] [CrossRef]
- Bakhtiyari, S.; Kalali, A.; Taghi Akbari, L.; Farahbod, F. The Experimental Behavior of CFRP-Strengthened Reinforced Concrete Slabs with Fire Protection Systems Subjected to Standard Fire Exposure. Int. J. Disaster Resil. Built Environ. 2017, 8, 238–250. [Google Scholar] [CrossRef]
- BS EN 1363-1.2012; Fire Resistance Tests–General Requirements. BSI (British Standards Institution): London, UK, 2012.
- Rosa, I.C.; Santos, P.; Firmo, J.P.; Correia, J.R. Fire Behaviour of Concrete Slab Strips Reinforced with Sand-Coated GFRP Bars. Compos. Struct. 2020, 244, 112270. [Google Scholar] [CrossRef]
- Azevedo, A.S.; Firmo, J.P.; Correia, J.R.; Chastre, C.; Biscaia, H.; Franco, N. Fire Behaviour of CFRP-Strengthened RC Slabs Using Different Techniques—EBR, NSM and CREatE. Compos. Part B Eng. 2022, 230, 109471. [Google Scholar] [CrossRef]
- Lie, T.T. Structural Fire Protection, American Society of Civil Engineers Structural Fire Protection; American Society of Civil Engineers (ASCE): Reston, VA, USA, 1992. [Google Scholar] [CrossRef]
- Lie, T.T.; Irwin, R.J. Method to Calculate the Fire Resistance of Reinforced Concrete Columns with Rectangular Cross Section. ACI Struct. J. 1993, 90, 52–60. [Google Scholar]
- Lie, T.T.; Celikkol, B. Method to Calculate the Fire Resistance of Circular Reinforced Concrete Columns. Mater. J. 1991, 88, 8491. [Google Scholar] [CrossRef][Green Version]
- Lie, T.T.; Stringer, D.C. Calculation of the Fire Resistance of Steel Hollow Structural Section Columns Filled with Plain Concrete. Can. J. Civ. Eng. 1994, 21, 382–385. [Google Scholar] [CrossRef]
- Bisby, L.A.; Green, M.F.; Kodur, V.K.R. Modeling the Behavior of Fiber Reinforced Polymer-Confined Concrete Columns Exposed to Fire. J. Compos. Constr. 2005, 9, 15–24. [Google Scholar] [CrossRef]
- Chowdhury, E.; Bisby, L.; Green, M.; Bénichou, N.; Kodur, V. Heat Transfer and Structural Response Modelling of FRP Confined Rectangular Concrete Columns in Fire. Constr. Build. Mater. 2012, 32, 77–89. [Google Scholar] [CrossRef]
- Chen, W.-F.; Atsuta, T. Theory of Beam Columns; McGraw-Hill: New York, NY, USA, 1976. [Google Scholar]
- El-Mahdy, O.; Hamdy, G.; Hisham, M. Nonlinear Finite Element Analysis of Insulated Frp Strengthened Reinforced Concrete Columns Subjected To Fire. Stavební Obz.—Civ. Eng. J. 2018, 27, 195–210. [Google Scholar] [CrossRef]
- Kodur, V.K.R.; Dwaikat, M. Performance-Based Fire Safety Design of Reinforced Concrete Beams. J. Fire Prot. Eng. 2007, 17, 293–320. [Google Scholar] [CrossRef]
- Dotreppe, J.C.; Franssen, J.M. The Use of Numerical Models for the Fire Analysis of Reinforced Concrete and Composite Structures. Eng. Anal. 1985, 2, 67–74. [Google Scholar] [CrossRef]
- Gao, W.Y.; Dai, J.G.; Teng, J.G.; Chen, G.M. Finite Element Modeling of Reinforced Concrete Beams Exposed to Fire. Eng. Struct. 2013, 52, 488–501. [Google Scholar] [CrossRef]
- Ellingwood, B.; Lin, T.D. Flexure and Shear Behavior of Concrete Beams during Fires. J. Struct. Eng. 1991, 117, 440–458. [Google Scholar] [CrossRef]
- Bratina, S.; Planinc, I.; Saje, M.; Turk, G. Non-Linear Fire-Resistance Analysis of Reinforced Concrete Beams. Struct. Eng. Mech. 2003, 16, 695–712. [Google Scholar] [CrossRef]
- Bratina, S.; Saje, M.; Planinc, I. The Effects of Different Strain Contributions on the Response of RC Beams in Fire. Eng. Struct. 2007, 29, 418–430. [Google Scholar] [CrossRef]
- Capua, D.D.; Mari, A.R. Nonlinear Analysis of Reinforced Concrete Cross-Sections Exposed to Fire. Fire Saf. J. 2007, 42, 139–149. [Google Scholar] [CrossRef]
- Kodur, V.K.R.; Dwaikat, M. A Numerical Model for Predicting the Fire Resistance of Reinforced Concrete Beams. Cem. Concr. Compos. 2008, 30, 431–443. [Google Scholar] [CrossRef]
- El-Fitiany, S.F.; Youssef, M.A. Assessing the Flexural and Axial Behaviour of Reinforced Concrete Members at Elevated Temperatures Using Sectional Analysis. Fire Saf. J. 2009, 44, 691–703. [Google Scholar] [CrossRef]
- Kodur, V.; Dwaikat, M.; Raut, N. Macroscopic FE Model for Tracing the Fire Response of Reinforced Concrete Structures. Eng. Struct. 2009, 31, 2368–2379. [Google Scholar] [CrossRef]
- Wu, B.; Lu, J.Z. A Numerical Study of the Behaviour of Restrained RC Beams at Elevated Temperatures. Fire Saf. J. 2009, 44, 522–531. [Google Scholar] [CrossRef]
- Purkiss, J.A.; Claridge, S.L.; Durkin, P.S. Calibration of Simple Methods of Calculating the Fire Safety of Flexural Reinforced Concrete Members. Fire Saf. J. 1989, 15, 245–263. [Google Scholar] [CrossRef]
- Desai, S.B. Design of Reinforced Concrete Beams under Fire Exposure Conditions. Mag. Concr. Res. 1998, 50, 75–83. [Google Scholar] [CrossRef]
- Hawileh, R.A.; Musto, H.A.; Abdalla, J.A.; Naser, M.Z. Finite Element Modeling of Reinforced Concrete Beams Externally Strengthened in Flexure with Side-Bonded FRP Laminates. Compos. Part B Eng. 2019, 173, 106952. [Google Scholar] [CrossRef]
- Kodur, V.K.R.; Ahmed, A. Numerical Model for Tracing the Response of FRP-Strengthened RC Beams Exposed to Fire. J. Compos. Constr. 2010, 14, 730–742. [Google Scholar] [CrossRef]
- Teng, J.G.; Chen, J.F.; Smith, S.T.; Lam, L. FRP: Strengthened RC Structures; John Wiley & Sons, Ltd.: Chichester, UK, 2001. [Google Scholar] [CrossRef]
- Chen, G.M.; Teng, J.G.; Chen, J.F. Process of Debonding in RC Beams Shear-Strengthened with FRP U-Strips or Side Strips. Int. J. Solids Struct. 2012, 49, 1266–1282. [Google Scholar] [CrossRef]
- Dai, J.-G.G.; Gao, W.Y.; Teng, J.G. Bond-Slip Model for FRP Laminates Externally Bonded to Concrete at Elevated Temperature. J. Compos. Constr. 2013, 17, 217–228. [Google Scholar] [CrossRef]
- Dai, J.-G.G.; Gao, W.-Y.Y.; Teng, J.G. Finite Element Modeling of Insulated FRP-Strengthened RC Beams Exposed to Fire. J. Compos. Constr. 2015, 19, 4014046. [Google Scholar] [CrossRef]
- Blontrock, H.; Taerwe, L.; Vandevelde, P. Fire Testing of Concrete Slabs Strengthened with Fibre Composite Laminates. In FRPRCS-5: Fibre-Reinforced Plastics for Reinforced Concrete Structures Volume 1, Proceedings of the Fifth International Conference on Fibre-reinforced Plastics for Reinforced Concrete Structures, Cambridge, UK, 16–18 July 2001; Thomas Telford Publishing: London, UK, 2001. [Google Scholar]
- Adelzadeh, M.; Hajiloo, H.; Green, M.F. Numerical Study of FRP Reinforced Concrete Slabs at Elevated Temperature. Polymers 2014, 6, 408–422. [Google Scholar] [CrossRef]
- Kodur, V.K.R.; Bisby, L.A. Evaluation of Fire Endurance of Concrete Slabs Reinforced with Fiber-Reinforced Polymer Bars. J. Struct. Eng. 2005, 131, 34–43. [Google Scholar] [CrossRef]
- Hajiloo, H.; Green, M.F.; Noël, M.; Bénichou, N.; Sultan, M. Fire Tests on Full-Scale FRP Reinforced Concrete Slabs. Compos. Struct. 2017, 179, 705–719. [Google Scholar] [CrossRef]
- ACI Committee 440.1R-06. Guide for the Design and Construction of Concrete Reinforced with FRP Bars. Am. Concr. Inst. 2007. Available online: https://www.academia.edu/32994654/Aci_4401r_06_guide_for_the_design_and_construction_with_frp_bars (accessed on 10 February 2006).
- Kodur, V.K.R.; Bhatt, P.P. A Numerical Approach for Modeling Response of Fiber Reinforced Polymer Strengthened Concrete Slabs Exposed to Fire. Compos. Struct. 2018, 187, 226–240. [Google Scholar] [CrossRef]
- FIB Bulletin 14. Externally Bonded FRP Reinforcement for RC Structures; CEB FIB Bulletin 14: Lausanne, Switzerland, 2001; Available online: http://www.iranfrp.ir/wp-content/uploads/2019/03/4.pdf (accessed on 1 July 2001).
- S806-02; Design and Construction of Building Components with Fibre-Reinforced Polymers. Canadial Standards Association: Toronto, ON, Canada, 2002.
- ACI (American Concrete Institute). Report on Fiber-Reinforced Polymer (FRP) Reinforcement for Concrete Structures. ACI 440R-07. 2007. Available online: https://www.concrete.org/Portals/0/Files/PDF/Previews/44007_bkstore_view.pdf (accessed on 1 September 2007).
- Darby, A.; Clarke, J.; Shave, J.D.; Ibell, T. Design Guidance for Strengthening Concrete Structures Using Fibre Composite Materials: Report of a Concrete Society Working Party; Concrete Society, 2012; p. 187. Available online: https://www.scribd.com/document/332516024/Design-Guidance-for-Strengthening-Concrete-Structures-using-Fiber-Composite-Materials-2000-pdf (accessed on 1 May 2012).
- CAN/CSA S806-12; Design and Construction of Building Structures with Fibre-Reinforced Polymers. CSA (Canadian Standards Association): Mississauga ON, Canada, 2012. Available online: https://giacoketcau.com/download/CSA-S806-02_Design-and-Construction-of-Building-Components-with-Fibre-Reinforced-Polymers.pdf (accessed on 1 May 2002).
- ACI 216.1-97/TMS 0216.1-97; Standard Method for Determining Fire Resistance of Concrete and Masonry Construction Assemblies. National Concrete Masonry Association: Herndon, VA, USA, 1997; pp. 1–26.
- National Research Council Canada. National Building Code of Canada—2015. National Research Council Canada. Canadian Commission on Building and Fire Codes 2015. Available online: https://nrc.canada.ca/en/certifications-evaluations-standards/codes-canada/codes-canada-publications/national-building-code-canada-2015 (accessed on 28 September 2018).
- Harmathy, T.Z. Fire Safety Design and Concrete; Longman Scientific & Technical: Harlow, UK; Wiley: New York, NY, USA, 1993. [Google Scholar]
- Kodur, V.K.R.; Yu, B.; Dwaikat, M.M.S. A Simplified Approach for Predicting Temperature in Reinforced Concrete Members Exposed to Standard Fire. Fire Saf. J. 2013. [Google Scholar] [CrossRef]
- Wickstrom, U. A Very Simple Method for Estimating Temperaturein Fire Exposed Concrete Structures; Elsevier Applied Science Publishing: Amsterdam, The Netherlands, 1986; pp. 186–194. [Google Scholar]
- Dezfouli, A.A. Behaviour of GFRP Rebars Reinforced Concrete Elements Under Elevated Temperature and Fire. Ph.D. Thesis, Queen Mary University of London, London, UK, 2003. [Google Scholar]
- Abbasi, A.; Hogg, P.J. A Model for Predicting the Properties of the Constituents of a Glass Fibre Rebar Reinforced Concrete Beam at Elevated Temperatures Simulating a Fire Test. Compos. Part B Eng. 2005. [Google Scholar] [CrossRef]
- Eamon, C.D.; Jensen, E. Reliability Analysis of Prestressed Concrete Beams Exposed to Fire. Eng. Struct. 2012, 43, 69–77. [Google Scholar] [CrossRef]
- ISO 834-1; Fire Resistance Tests—Elements of Building Construction—Part 1: General Requirement. International Organization for Standardization: Geneva, Switzerland, 1999; pp. 1–11.
- Gao, W.; Dai, J.; Teng, J. Simple Method for Predicting Temperatures in Reinforced Concrete Beams Exposed to a Standard Fire. Adv. Struct. Eng. 2014, 17, 573–589. [Google Scholar] [CrossRef]
- Wong, M.B.; Ghojel, J.I. Sensitivity Analysis of Heat Transfer Formulations for Insulated Structural Steel Components. Fire Saf. J. 2003, 38, 187–201. [Google Scholar] [CrossRef]
- Zhang, C.; Li, G.Q.; Wang, Y.C. Sensitivity Study on Using Different Formulae for Calculating the Temperature of Insulated Steel Members in Natural Fires. Fire Technol. 2012, 48, 343–366. [Google Scholar] [CrossRef]
- Banerjee, D.K. Uncertainties in Steel Temperatures during Fire. Fire Saf. J. 2013, 61, 65–71. [Google Scholar] [CrossRef]
- Carslaw, H.S.; Jaeger, J.C. Conduction of Heat in Solids, 2nd ed.; Oxford Clarendon Press: Oxford, UK, 1959. [Google Scholar]
- Gao, W.Y.; Dai, J.G.; Teng, J.G. Simple Method for Predicting Temperatures in Insulated, FRP-Strengthened RC Members Exposed to a Standard Fire. J. Compos. Constr. 2015, 19, 573–589. [Google Scholar] [CrossRef]
- EN 1991-1-2; Eurocode 1: Actions on Structures—Part 1-2: General Actions—Actions on Structures Exposed to Fire. BSI (British Standards Institution): London, UK, 2002.
- Kodur, V.K.R.; Yu, B.; Solhmirzaei, R. A Simplified Approach for Predicting Temperatures in Insulated RC Members Exposed to Standard Fire. Fire Saf. J. 2017, 92, 80–90. [Google Scholar] [CrossRef]
- Wickström, U.; Hadziselimovic, E. Equivalent Concrete Layer Thickness of a Fire Protection Insulation Layer. Fire Saf. J. 1996, 26, 295–302. [Google Scholar] [CrossRef]















Disclaimer/Publisher’s Note: The statements, opinions and data contained in all publications are solely those of the individual author(s) and contributor(s) and not of MDPI and/or the editor(s). MDPI and/or the editor(s) disclaim responsibility for any injury to people or property resulting from any ideas, methods, instructions or products referred to in the content. |
© 2024 by the authors. Licensee MDPI, Basel, Switzerland. This article is an open access article distributed under the terms and conditions of the Creative Commons Attribution (CC BY) license (https://creativecommons.org/licenses/by/4.0/).
Share and Cite
Haris, M.; Xiong, E.; Gao, W.; Samuel, M.A.; Sahar, N.U.; Saleem, A. Strengthening Reinforced Concrete Members Using FRP—Evaluating Fire Performance, Challenges, and Future Research Directions: A State-of-the-Art Review. Polymers 2025, 17, 13. https://doi.org/10.3390/polym17010013
Haris M, Xiong E, Gao W, Samuel MA, Sahar NU, Saleem A. Strengthening Reinforced Concrete Members Using FRP—Evaluating Fire Performance, Challenges, and Future Research Directions: A State-of-the-Art Review. Polymers. 2025; 17(1):13. https://doi.org/10.3390/polym17010013
Chicago/Turabian StyleHaris, Mahmood, Ergang Xiong, Wanyang Gao, Mabor Achol Samuel, Najam Us Sahar, and Anwar Saleem. 2025. "Strengthening Reinforced Concrete Members Using FRP—Evaluating Fire Performance, Challenges, and Future Research Directions: A State-of-the-Art Review" Polymers 17, no. 1: 13. https://doi.org/10.3390/polym17010013
APA StyleHaris, M., Xiong, E., Gao, W., Samuel, M. A., Sahar, N. U., & Saleem, A. (2025). Strengthening Reinforced Concrete Members Using FRP—Evaluating Fire Performance, Challenges, and Future Research Directions: A State-of-the-Art Review. Polymers, 17(1), 13. https://doi.org/10.3390/polym17010013

