Characterization of Potting Epoxy Resins Performance Parameters Based on a Viscoelastic Constitutive Model
Abstract
1. Introduction
2. Materials and Test
2.1. Sample Preparation
2.2. DSC Testing
3. Viscoelastic Homeostasis Testing Device and Principle
3.1. Experimental Setup
3.2. Experimental Principles
4. Results and Discussion
4.1. Viscoelastic Test
4.2. Bulk Modulus and Shear Modulus
4.3. Relaxation Modulus Principal Curves
4.4. Main Curve Fitting
4.5. Experimental Validation
5. Conclusions
- A simple method for obtaining the bulk and shear moduli of epoxy resin is described. After applying a load to the experimental setup, a stainless steel tube and cylindrical metal blocks conformed to the specimen, creating confining pressure. Measurements were then taken for the circumferential strain on the outer surface of the cylinder and axial stress–strain of the specimen. The initial bulk and shear moduli of the specimen were deduced by theoretical formulas at different temperatures.
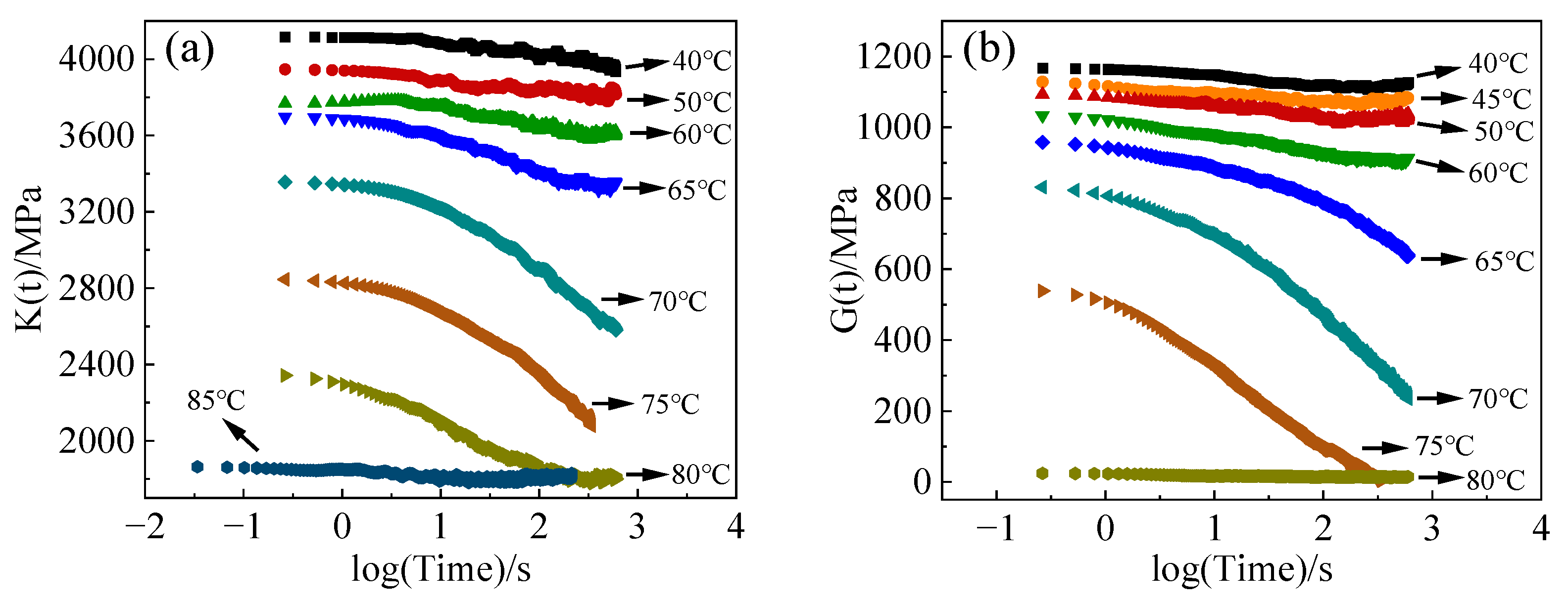
- We characterized the bulk and shear relaxation modulus of the epoxy resin across a range of eight temperatures, spanning both above and below its glass transition temperature. Subsequently, we derived the relaxation modulus master curve by applying translation to the relaxation modulus curves at different temperatures, adhering to the time-temperature superposition principle.
- The relaxation modulus master curve is nonlinearly fitted with a viscoelastic principal model to obtain the parameters , , , and .
- The data reliability of the relaxation curves of bulk and shear modulus obtained from the confining pressure test of the homemade mold in this paper was verified by the uniaxial relaxation test.
Author Contributions
Funding
Institutional Review Board Statement
Data Availability Statement
Conflicts of Interest
References
- Wen, Y.; Chen, C.; Ye, Y.; Xue, Z.; Liu, H.; Zhou, X.; Zhang, Y.; Li, D.; Xie, X.; Mai, Y. Advances on Thermally Conductive Epoxy-Based Composites as Electronic Packaging Underfill Materials—A Review. Adv. Mater. 2022, 34, 2201023. [Google Scholar] [CrossRef]
- Cheah, L.B.; Heng, C.W.; Ng, S.Y.; Teh, P.L.; Poopalan, P. UV Modified Epoxy for LED Encapsulant. J. Phys. Conf. Ser. 2020, 1535, 012057. [Google Scholar] [CrossRef]
- Zhang, C.; Liu, Z.; Zhang, T.; Wang, X.; Yin, C.; Liu, X.; Chi, Q. High-temperature resistance and excellent electrical insulation in epoxy resin blends. J. Appl. Polym. Sci. 2023, 140, e54359. [Google Scholar] [CrossRef]
- Sun, W.; Wang, L.; Zhu, N.; Xin, J.; Luo, Y.; Jiang, X.; Fan, G.; Chen, M. Characterization of Packaging Warpage, Residual Stress and Their Effects on the Mechanical Reliability of IGBT Power Modules. Eng. Fail. Anal. 2023, 152, 107517. [Google Scholar] [CrossRef]
- Huskić, M.; Kusić, D.; Pulko, I.; Nardin, B. Determination of residual stresses in amorphous thermoplastic polymers by DMA. J. Appl. Polym. Sci. 2022, 139, e53210. [Google Scholar] [CrossRef]
- Courtois, A. Viscoelastic behavior of an epoxy resin during cure below the glass transition temperature: Characterization and modeling. J. Compos. Mater. 2019, 53, 155–171. [Google Scholar] [CrossRef]
- Politi, M.; Breuer, O.; Cohen, Y. Simulation and Experimental Validation of the Cure Process of an Epoxy-Based Encapsulant. Exp. Mech. 2023, 63, 1429–1444. [Google Scholar] [CrossRef]
- Qu, C.; Zhang, X.; Wang, D.; Fan, X.; Li, H.; Liu, C.; Feng, H.; Wang, R.; Guo, K.; Tian, Y. Residual stress and thermal properties of rubber-modified epoxy systems for semiconductor package. J. Appl. Polym. Sci. 2022, 139, 51786. [Google Scholar] [CrossRef]
- Namazian, Z.; Yaghoubi, M. Optimization of thermal curing cycle for a large epoxy model. J. Comput. Appl. Mech. 2019, 50, 282–288. [Google Scholar] [CrossRef]
- Nunes, S.G.; Saseendran, S.; Joffe, R.; Amico, S.C.; Fernberg, P.; Varna, J. On temperature-related shift factors and master curves in viscoelastic constitutive models for thermoset polymers. Mech. Compos. Mater. 2020, 56, 573–590. [Google Scholar] [CrossRef]
- Avila Torrado, M.; Constantinescu, A.; Johlitz, M.; Lion, A. Viscoelastic behavior of filled silicone elastomers and influence of aging in inert and hermetic environment. Contin. Mech. Thermodyn. 2022, 1–18. [Google Scholar] [CrossRef]
- Saseendran, S.; Wysocki, M.; Varna, J. Evolution of viscoelastic behaviour of a curing LY5052 epoxy resin in the rubbery state. Adv. Compos. Mater. 2017, 26, 553–567. [Google Scholar] [CrossRef]
- Agha, A.; Abu-Farha, F. Numerical implementation and validation of a viscoelastic-plastic material model for predicting curing induced residual stresses in adhesive bonded joints. Int. J. Adhes. Adhes. 2022, 118, 103195. [Google Scholar] [CrossRef]
- Adrover-Monserrat, B.; García-Vilana, S.; Sánchez-Molina, D.; Llumà, J.; Jerez-Mesa, R.; Travieso-Rodriguez, J.A. Viscoelastic Characterization of a Thermoplastic Elastomer Processed through Material Extrusion. Polymers 2022, 14, 2914. [Google Scholar] [CrossRef] [PubMed]
- Nawab, Y.; Casari, P.; Boyard, N.; Jacquemin, F. Characterization of the cure shrinkage, reaction kinetics, bulk modulus and thermal conductivity of thermoset resin from a single experiment. J. Mater. Science. 2013, 48, 2394–2403. [Google Scholar] [CrossRef][Green Version]
- Sangtabi, M.R.; Kiasat, M.S. Long-term viscoelastic properties of an adhesive and molding compound, characterization and modeling. Polymer 2017, 116, 204–217. [Google Scholar] [CrossRef]
- Müller-Pabel, M.; Agudo, J.A.R.; Gude, M. Measuring and understanding cure-dependent viscoelastic properties of epoxy resin: A review. Polym. Test. 2022, 114, 107701. [Google Scholar] [CrossRef]
- Klimm, W.; Kwok, K. Mechanism of resistance relaxation and hysteresis in viscoelastic piezoresistive polymer nanocomposites. Int. J. Mech. Mater. Des. 2022, 18, 769–783. [Google Scholar] [CrossRef]
- Ikeda, T.; Kanno, T.; Shishido, N.; Miyazaki, N.; Tanaka, H.; Hatao, T. Non-linear analyses of strain in flip chip packages improved by the measurement using the digital image correlation method. Microelectron. Reliab. 2013, 53, 145–153. [Google Scholar] [CrossRef][Green Version]
- Vieira de Mattos, D.F.; Huang, R.; Liechti, K.M. The effect of moisture on the nonlinearly viscoelastic behavior of an epoxy. Mech. Time-Depend. Mater. 2020, 24, 435–461. [Google Scholar] [CrossRef]
- Sfar Zbed, R.; Le Corre, S.; Sobotka, V. Process-induced strains measurements through a multi-axial characterization during the entire curing cycle of an interlayer toughened Carbon/Epoxy prepreg. Compos. Part A Appl. Sci. Manuf. 2022, 153, 106689. [Google Scholar] [CrossRef]
- Qamar, S.Z.; Akhtar, M.; Pervez, T.; Al-Kharusi, M.S.M. Mechanical and structural behavior of a swelling elastomer under compressive loading. Mater. Des. 2013, 45, 487–496. [Google Scholar] [CrossRef]
- Barney, C.W.; Helgeson, M.E.; Valentine, M.T. Network structure influences bulk modulus of nearly incompressible filled silicone elastomers. Extrem. Mech. Lett. 2022, 52, 101616. [Google Scholar] [CrossRef]
- Senol, K.; Shukla, A. Underwater mechanical behavior of closed cell PVC foams under hydrostatic loading through 3D DIC technique. Polymer. Test. 2019, 73, 72–81. [Google Scholar] [CrossRef]
- Lee, H.S.; Sun, Y.; Kim, C.; Han, B. Characterization of linear viscoelastic behavior of epoxy molding compound subjected to uniaxial compression and hydrostatic pressure. IEEE Trans. Compon. Packag. Manuf. Technol. 2018, 8, 1363–1372. [Google Scholar] [CrossRef]
- Ravi-Chandar, K.; Ma, Z. Inelastic Deformation in Polymers under Multiaxial Compression. Mech. Time-Depend. Mater. 2000, 4, 333–357. [Google Scholar] [CrossRef]
- Qvale, D.; Ravi-Chandar, K. Viscoelastic Characterization of Polymers under Multiaxial Compression. Mech. Time-Depend. Mater. 2004, 8, 193–214. [Google Scholar] [CrossRef]
- Li, S.; Sitnikova, E.; Liang, Y.; Kaddour, A.-S. The Tsai-Wu failure criterion rationalised in the context of UD composites. Compos. Part A Appl. Sci. Manuf. 2017, 102, 207–217. [Google Scholar] [CrossRef]
- Kabir, H.; Aghdam, M.M. A robust Bézier based solution for nonlinear vibration and post-buckling of random checkerboard graphene nano-platelets reinforced composite beams. Compos. Struct. 2019, 212, 184–198. [Google Scholar] [CrossRef]
- Henriques, I.R.; Rouleau, L.; Castello, D.A.; Borges, L.; Deü, J.-F. Viscoelastic behavior of polymeric foams: Experiments and modeling. Mech. Mater. 2020, 148, 103506. [Google Scholar] [CrossRef]
- Schalnat, J.; Daelemans, L.; De Baere, I.; De Clerck, K.; Van Paepegem, W. Long-term stiffness prediction of particle filled polymers by dynamic mechanical analysis: Frequency sweep versus creep method. Polym. Test. 2021, 103, 107368. [Google Scholar] [CrossRef]
- Phansalkar, S.P.; Kim, C.; Han, B. Effect of critical properties of epoxy molding compound on warpage prediction: A critical review. Microelectron. Reliab. 2022, 130, 114480. [Google Scholar] [CrossRef]
- Prasatya, P.; McKenna, G.B.; Simon, S.L. A Viscoelastic Model for Predicting Isotropic Residual Stresses in Thermosetting Materials: Effects of Processing Parameters. J. Compos. Mater. 2001, 35, 826–848. [Google Scholar] [CrossRef]
- Tschoegl, N.W.; Knauss, W.G.; Emri, I. Poisson’s Ratio in Linear Viscoelasticity—A Critical Review. J. Mech. Time-Depend. Mater. 2002, 6, 3–51. [Google Scholar] [CrossRef]









| Number | 1 | 2 | 3 | 4 | 5 | 6 | 7 | 8 | 9 |
| Temperature/°C | 40 | 45 | 50 | 60 | 65 | 70 | 75 | 80 | 85 |
| Number | Inside Diameter/mm | Wall Thickness/mm | Amount |
|---|---|---|---|
| 1 | 16.00 | 2 | 3 |
| 2 | 16.02 | 2 | 3 |
| 3 | 16.05 | 2 | 3 |
| 4 | 16.10 | 2 | 3 |
| 5 | 16.12 | 2 | 3 |
| Temperature/°C | Bulk Modulus/MPa | Shear Modulus/MPa |
|---|---|---|
| 40 | 4140 | 1205 |
| 45 | 4101 | 1160 |
| 50 | 4063 | 1133 |
| 60 | 3816 | 1034 |
| 65 | 3769 | 966 |
| 70 | 3474 | 857 |
| 75 | 2882 | 578 |
| 80 | 2387 | 31 |
| 85 | 1862 | 19 |
| Temperature/°C | ||
|---|---|---|
| 40 | 0 | 0 |
| 45 | −1.871 | |
| 50 | −2.9458 | −3.206 |
| 60 | −5.0198 | −5.026 |
| 65 | −6.473 | −6.6975 |
| 70 | −8.992 | −8.155 |
| 75 | −10.4671 | −9.5586 |
| 80 | −11.9096 | −11.2634 |
| 85 | −13.5383 |
| Model Parameter | ||||
| Fitting results/MPa | 1805 | 4122 | 12 | 1168 |
Disclaimer/Publisher’s Note: The statements, opinions and data contained in all publications are solely those of the individual author(s) and contributor(s) and not of MDPI and/or the editor(s). MDPI and/or the editor(s) disclaim responsibility for any injury to people or property resulting from any ideas, methods, instructions or products referred to in the content. |
© 2024 by the authors. Licensee MDPI, Basel, Switzerland. This article is an open access article distributed under the terms and conditions of the Creative Commons Attribution (CC BY) license (https://creativecommons.org/licenses/by/4.0/).
Share and Cite
Yang, L.; Ding, A.; Xu, M.; Li, Y.; Zhao, X.; Peng, J.; Li, X. Characterization of Potting Epoxy Resins Performance Parameters Based on a Viscoelastic Constitutive Model. Polymers 2024, 16, 930. https://doi.org/10.3390/polym16070930
Yang L, Ding A, Xu M, Li Y, Zhao X, Peng J, Li X. Characterization of Potting Epoxy Resins Performance Parameters Based on a Viscoelastic Constitutive Model. Polymers. 2024; 16(7):930. https://doi.org/10.3390/polym16070930
Chicago/Turabian StyleYang, Lin, Anxin Ding, Mi Xu, Yuefang Li, Xianhang Zhao, Jingxuan Peng, and Xiang Li. 2024. "Characterization of Potting Epoxy Resins Performance Parameters Based on a Viscoelastic Constitutive Model" Polymers 16, no. 7: 930. https://doi.org/10.3390/polym16070930
APA StyleYang, L., Ding, A., Xu, M., Li, Y., Zhao, X., Peng, J., & Li, X. (2024). Characterization of Potting Epoxy Resins Performance Parameters Based on a Viscoelastic Constitutive Model. Polymers, 16(7), 930. https://doi.org/10.3390/polym16070930
