The Structural, Thermal and Morphological Characterization of Polylactic Acid/Β-Tricalcium Phosphate (PLA/Β-TCP) Composites upon Immersion in SBF: A Comprehensive Analysis
Abstract
1. Introduction
2. Materials and Methods
2.1. Materials
2.2. Methods
2.2.1. Fabrication of PLA/nβ-TCP Biocomposites
2.2.2. Simulated Body Fluid (SBF) Preparation
2.2.3. In Vitro Degradation Experiment in Static SBF
2.2.4. Material Characterization
3. Results
3.1. Morphological Changes and Ca/P Ratio Evolution
3.2. Structural Analysis
3.3. Fourier Transform Infrared Spectroscopy (FTIR)
3.4. Evolution of pH, Calcium and Phosphorous Ions in SBF, and Weight Loss in Composites
3.5. Water Uptake of PLA and PLA/nβ-TCP with Immersion Time
3.6. Effect of β-TCP and Immersion Time on the Molecular Weight of PLA
3.7. Effect of β-TCP and SBF Solution on the Thermal Degradation of PLA
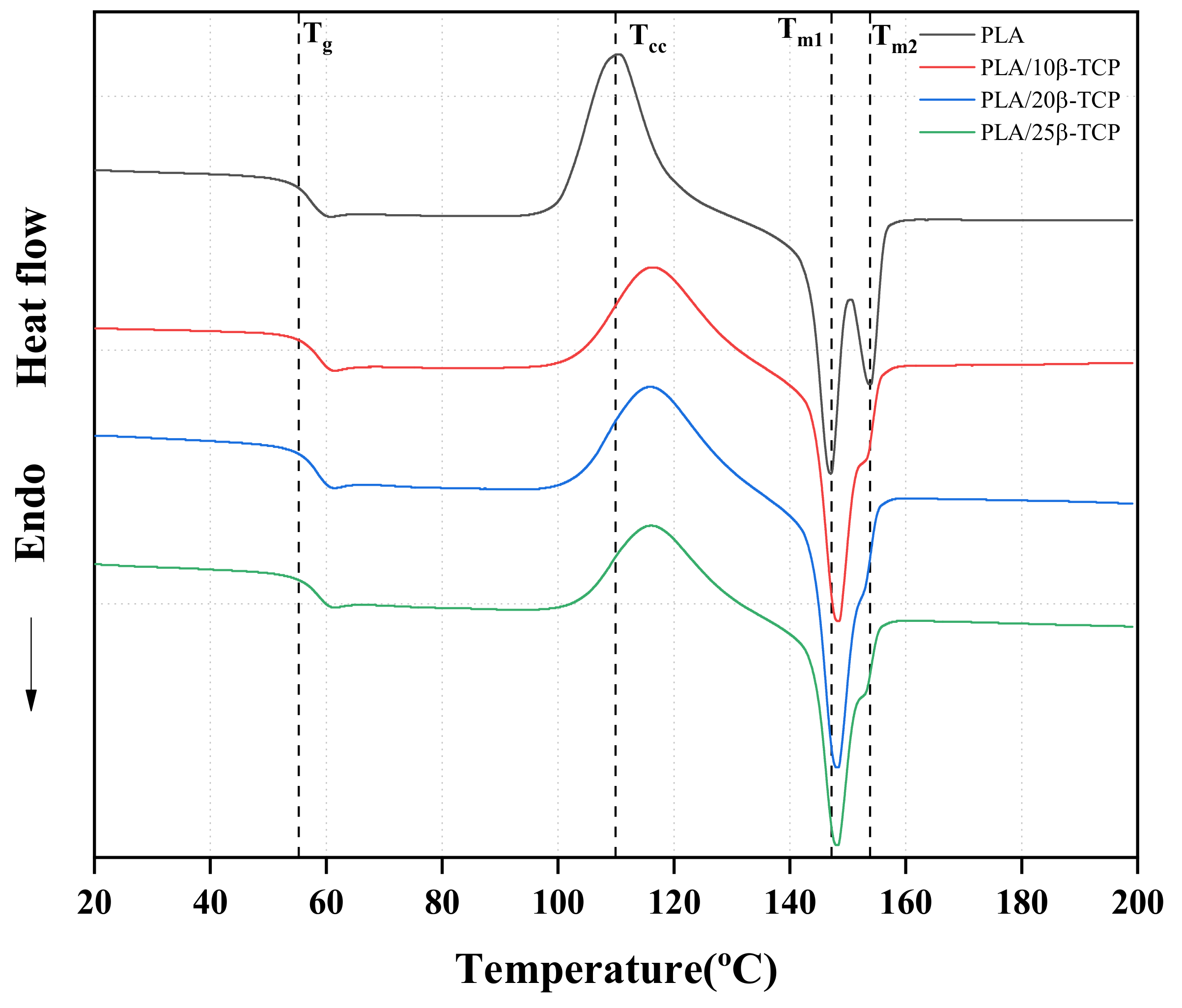
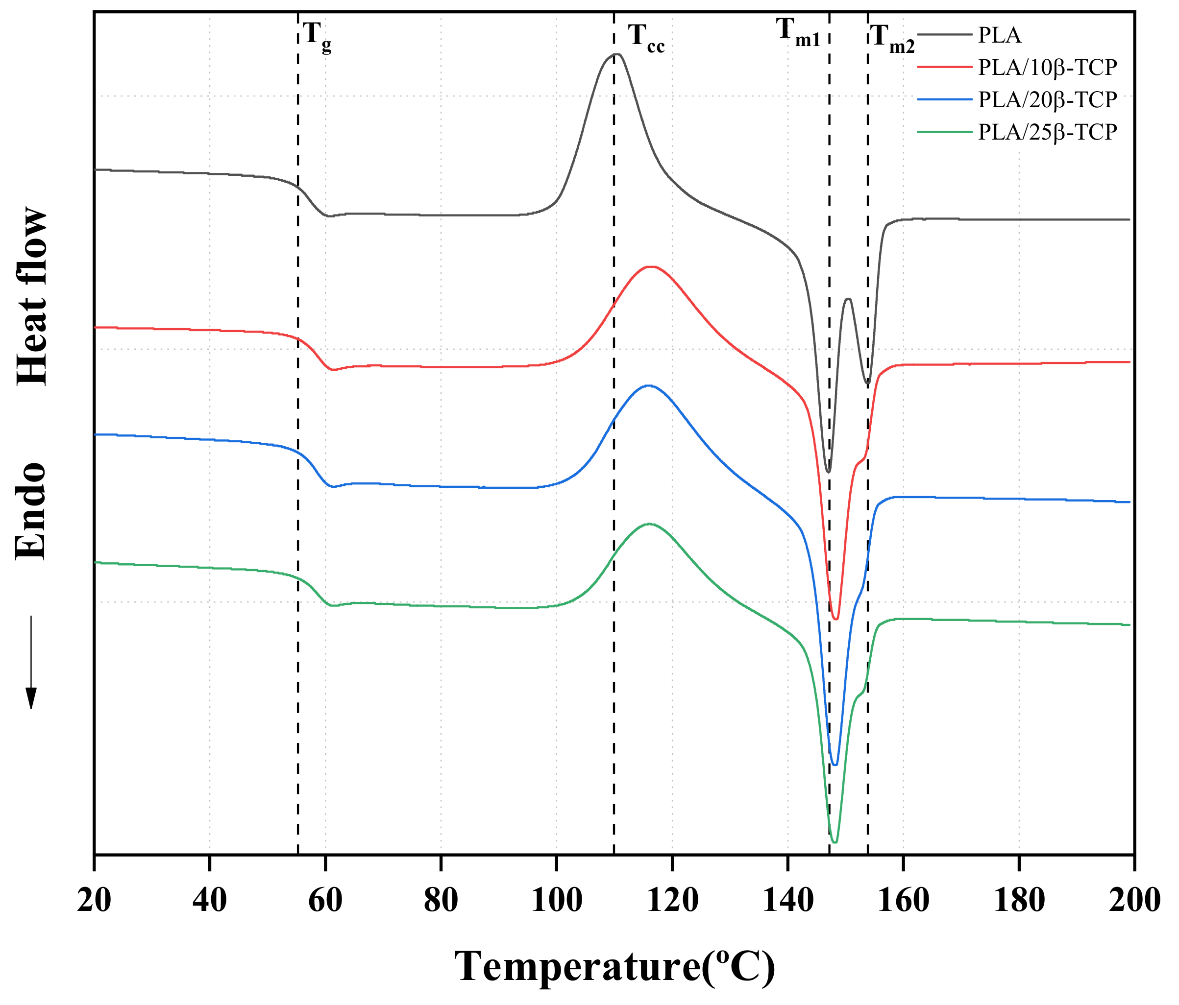
3.8. Influence of β-TCP and Immersion Time on the Thermal Behavior of PLA
4. Discussion
5. Conclusions
Supplementary Materials
Author Contributions
Funding
Data Availability Statement
Acknowledgments
Conflicts of Interest
References
- Ranakoti, L.; Gangil, B.; Bhandari, P.; Singh, T.; Sharma, S.; Singh, J.; Singh, S. Promising Role of Polylactic Acid as an Ingenious Biomaterial in Scaffolds, Drug Delivery, Tissue Engineering, and Medical Implants: Research Developments, and Prospective Applications. Molecules 2023, 28, 485. [Google Scholar] [CrossRef]
- Taib, N.-A.A.B.; Rahman, M.R.; Huda, D.; Kuok, K.K.; Hamdan, S.; Bakri, M.K.B.; Julaihi, M.R.M.B.; Khan, A. A Review on Poly Lactic Acid (PLA) as a Biodegradable Polymer. Polym. Bull. 2023, 80, 1179–1213. [Google Scholar] [CrossRef]
- DeStefano, V.; Khan, S.; Tabada, A. Applications of PLA in Modern Medicine. Eng. Regen. 2020, 1, 76–87. [Google Scholar] [CrossRef]
- Capuana, E.; Lopresti, F.; Ceraulo, M.; La Carrubba, V. Poly-l-Lactic Acid (PLLA)-Based Biomaterials for Regenerative Medicine: A Review on Processing and Applications. Polymers 2022, 14, 1153. [Google Scholar] [CrossRef]
- Ko, H.-S.; Lee, S.; Lee, D.; Jho, J.Y. Mechanical Properties and Bioactivity of Poly(Lactic Acid) Composites Containing Poly(Glycolic Acid) Fiber and Hydroxyapatite Particles. Nanomaterials 2021, 11, 249. [Google Scholar] [CrossRef]
- Kumar Mishra, S.; Dahiya, S.; Gangil, B.; Ranakoti, L.; Agrawal, N. Mechanical Properties of Fibre/Filler Based Poly(Lactic Acid) (Pla) Composites: A Brief Review. Acta Innov. 2021, 5–18. [Google Scholar] [CrossRef]
- Ivorra-Martinez, J.; Quiles-Carrillo, L.; Boronat, T.; Torres-Giner, S.; Covas, J.A. Assessment of the Mechanical and Thermal Properties of Injection-Molded Poly(3-Hydroxybutyrate-Co-3-Hydroxyhexanoate)/Hydroxyapatite Nanoparticles Parts for Use in Bone Tissue Engineering. Polymers 2020, 12, 1389. [Google Scholar] [CrossRef]
- Backes, E.H.; De Nóbile Pires, L.; Selistre-de-Araujo, H.S.; Costa, L.C.; Passador, F.R.; Pessan, L.A. Development and Characterization of Printable PLA/β-TCP Bioactive Composites for Bone Tissue Applications. J. Appl. Polym. Sci. 2021, 138, 49759. [Google Scholar] [CrossRef]
- Bauer, L.; Rogina, A.; Ivanković, M.; Ivanković, H. Medical-Grade Poly(Lactic Acid)/Hydroxyapatite Composite Films: Thermal and In Vitro Degradation Properties. Polymers 2023, 15, 1512. [Google Scholar] [CrossRef] [PubMed]
- Murariu, M.; Dubois, P. PLA Composites: From Production to Properties. Adv. Drug Deliv. Rev. 2016, 107, 17–46. [Google Scholar] [CrossRef] [PubMed]
- Trivedi, A.K.; Gupta, M.K.; Singh, H. PLA Based Biocomposites for Sustainable Products: A Review. Adv. Ind. Eng. Polym. Res. 2023, 6, 382–395. [Google Scholar] [CrossRef]
- Redondo, F.L.; Giaroli, M.C.; Ciolino, A.E.; Ninago, M.D. Preparation of Porous Poly(Lactic Acid)/Tricalcium Phosphate Composite Scaffolds for Tissue Engineering. Biointerface Res. Appl. Chem. 2021, 12, 5610–5624. [Google Scholar] [CrossRef]
- Elhattab, K.; Bhaduri, S.B.; Sikder, P. Influence of Fused Deposition Modelling Nozzle Temperature on the Rheology and Mechanical Properties of 3D Printed β-Tricalcium Phosphate (TCP)/Polylactic Acid (PLA) Composite. Polymers 2022, 14, 1222. [Google Scholar] [CrossRef] [PubMed]
- Park, H.C.; Jin, H.H.; Hyun, Y.T.; Lee, W.K.; Yoon, S.Y. Degradation Behaviors of β-TCP/PLGA Composites Prepared with Microwave Energy. Key Eng. Mater. 2007, 342–343, 205–208. [Google Scholar] [CrossRef]
- Qin, D.; Sang, L.; Zhang, Z.; Lai, S.; Zhao, Y. Compression Performance and Deformation Behavior of 3D-Printed PLA-Based Lattice Structures. Polymers 2022, 14, 1062. [Google Scholar] [CrossRef] [PubMed]
- Zhou, H.; Lawrence, J.G.; Bhaduri, S.B. Fabrication Aspects of PLA-CaP/PLGA-CaP Composites for Orthopedic Applications: A Review. Acta Biomater. 2012, 8, 1999–2016. [Google Scholar] [CrossRef]
- Sánchez-Arévalo, F.M.; Muñoz-Ramírez, L.D.; Álvarez-Camacho, M.; Rivera-Torres, F.; Maciel-Cerda, A.; Montiel-Campos, R.; Vera-Graziano, R. Macro- and Micromechanical Behaviors of Poly(Lactic Acid)–Hydroxyapatite Electrospun Composite Scaffolds. J. Mater. Sci. 2017, 52, 3353–3367. [Google Scholar] [CrossRef]
- Tümer, E.H.; Erbil, H.Y. Extrusion-Based 3D Printing Applications of PLA Composites: A Review. Coatings 2021, 11, 390. [Google Scholar] [CrossRef]
- Liu, Z.; Wang, Y.; Wu, B.; Cui, C.; Guo, Y.; Yan, C. A Critical Review of Fused Deposition Modeling 3D Printing Technology in Manufacturing Polylactic Acid Parts. Int. J. Adv. Manuf. Technol. 2019, 102, 2877–2889. [Google Scholar] [CrossRef]
- Kokubo, T.; Ito, S.; Huang, Z.T.; Hayashi, T.; Sakka, S.; Kitsugi, T.; Yamamuro, T. Ca, P-rich Layer Formed on High-strength Bioactive Glass-ceramic A-W. J. Biomed. Mater. Res. 1990, 24, 331–343. [Google Scholar] [CrossRef]
- Kang, Y.Q.; Yin, G.F.; Wang, K.F.; Luo, L.; Liao, L.; Yao, Y.D. A Study of Bone-Like Apatite Formation on β-TCP/PLLA Scaffold in Static and Dynamic Simulated Body Fluid. Key Eng. Mater. 2007, 330–332, 483–486. [Google Scholar] [CrossRef]
- Kang, Y.; Xu, X.; Yin, G.; Chen, A.; Liao, L.; Yao, Y.; Huang, Z.; Liao, X. A Comparative Study of the in Vitro Degradation of Poly(l-Lactic Acid)/β-Tricalcium Phosphate Scaffold in Static and Dynamic Simulated Body Fluid. Eur. Polym. J. 2007, 43, 1768–1778. [Google Scholar] [CrossRef]
- Kang, Y.; Yao, Y.; Yin, G.; Huang, Z.; Liao, X.; Xu, X.; Zhao, G. A Study on the in Vitro Degradation Properties of Poly(l-Lactic Acid)/β-Tricalcuim Phosphate(PLLA/β-TCP) Scaffold under Dynamic Loading. Med. Eng. Phys. 2009, 31, 589–594. [Google Scholar] [CrossRef]
- Zhang, W.; Liang, C.; He, Q.; Cao, X.; Yuan, F.; Ye, J. Surface Bioactive Modification of Alumina Ceramic by Mineralization in Modified SBF. J. Bionic Eng. 2022, 19, 1637–1644. [Google Scholar] [CrossRef]
- Kokubo, T.; Takadama, H. How Useful Is SBF in Predicting in Vivo Bone Bioactivity? Biomaterials 2006, 27, 2907–2915. [Google Scholar] [CrossRef] [PubMed]
- Jia, S.; Yu, D.; Zhu, Y.; Wang, Z.; Chen, L.; Fu, L. Morphology, Crystallization and Thermal Behaviors of PLA-Based Composites: Wonderful Effects of Hybrid GO/PEG via Dynamic Impregnating. Polymers 2017, 9, 528. [Google Scholar] [CrossRef] [PubMed]
- Davachi, S.M.; Kaffashi, B. Preparation and Characterization of Poly L-Lactide/Triclosan Nanoparticles for Specific Antibacterial and Medical Applications. Int. J. Polym. Mater. Polym. Biomater. 2015, 64, 497–508. [Google Scholar] [CrossRef]
- El-Kady, A.M.; Saad, E.A.; El-Hady, B.M.A.; Farag, M.M. Synthesis of Silicate Glass/Poly(l-Lactide) Composite Scaffolds by Freeze-Extraction Technique: Characterization and in Vitro Bioactivity Evaluation. Ceram. Int. 2010, 36, 995–1009. [Google Scholar] [CrossRef]
- Karageorgiou, V.; Kaplan, D. Porosity of 3D Biomaterial Scaffolds and Osteogenesis. Biomaterials 2005, 26, 5474–5491. [Google Scholar] [CrossRef]
- Liu, C.; Chan, K.W.; Shen, J.; Wong, H.M.; Kwok Yeung, K.W.; Tjong, S.C. Melt-Compounded Polylactic Acid Composite Hybrids with Hydroxyapatite Nanorods and Silver Nanoparticles: Biodegradation, Antibacterial Ability, Bioactivity and Cytotoxicity. RSC Adv. 2015, 5, 72288–72299. [Google Scholar] [CrossRef]
- Liu, S.; Wu, X.; Hu, J.; Wu, Z.; Zheng, Y. Preparation and Characterisation of a Novel Polylactic Acid/Hydroxyapatite/Graphene Oxide/Aspirin Drug-Loaded Biomimetic Composite Scaffold. New J. Chem. 2021, 45, 10788–10797. [Google Scholar] [CrossRef]
- Liu, S.; Zheng, Y.; Liu, R.; Tian, C. Preparation and Characterization of a Novel Polylactic Acid/Hydroxyapatite Composite Scaffold with Biomimetic Micro-Nanofibrous Porous Structure. J. Mater. Sci. Mater. Med. 2020, 31, 74. [Google Scholar] [CrossRef]
- Zhu, Z.; Bian, Y.; Zhang, X.; Zeng, R.; Yang, B. Study of Crystallinity and Conformation of Poly(Lactic Acid) by Terahertz Spectroscopy. Anal. Chem. 2022, 94, 11104–11111. [Google Scholar] [CrossRef]
- Sroka-Bartnicka, A.; Borkowski, L.; Ginalska, G.; Ślósarczyk, A.; Kazarian, S.G. Structural Transformation of Synthetic Hydroxyapatite under Simulated in Vivo Conditions Studied with ATR-FTIR Spectroscopic Imaging. Spectrochim. Acta Part A Mol. Biomol. Spectrosc. 2017, 171, 155–161. [Google Scholar] [CrossRef] [PubMed]
- Institute of Solid State Physics, Bulgarian Academy of Sciences, Sofia, Bulgaria; Pramatarova, L.; Pecheva, E.; Presker, R.; Pham, M.; Maitz, M.; Stutzmann, M. Hydroxyapatite Growth Induced by Native Extracellular Matrix Deposition on Solid Surfaces. eCM 2005, 9, 9–12. [Google Scholar] [CrossRef] [PubMed]
- Jin, H.-H.; Min, S.-H.; Song, Y.-K.; Park, H.-C.; Yoon, S.-Y. Degradation Behavior of Poly(Lactide-Co-Glycolide)/β-TCP Composites Prepared Using Microwave Energy. Polym. Degrad. Stab. 2010, 95, 1856–1861. [Google Scholar] [CrossRef]
- Ereiba, K.M.T.; Mostafa, A.G.; Gamal, G.A.; Said, A.H. In Vitro Study of Iron Doped Hydroxyapatite. JBPC 2013, 04, 122–130. [Google Scholar] [CrossRef]
- Wang, J.; Qu, L.; Meng, X.; Gao, J.; Li, H.; Wen, G. Preparation and Biological Properties of PLLA/β-TCP Composites Reinforced by Chitosan Fibers. Biomed. Mater. 2008, 3, 025004. [Google Scholar] [CrossRef]
- Zheng, M.; Wu, P.; Li, L.; Yu, F.; Ma, J. Adsorption/Desorption Behavior of Ciprofloxacin on Aged Biodegradable Plastic PLA under Different Exposure Conditions. J. Environ. Chem. Eng. 2023, 11, 109256. [Google Scholar] [CrossRef]
- Wu, H.; Wei, X.; Liu, Y.; Dong, H.; Tang, Z.; Wang, N.; Bao, S.; Wu, Z.; Shi, L.; Zheng, X.; et al. Dynamic Degradation Patterns of Porous Polycaprolactone/β-Tricalcium Phosphate Composites Orchestrate Macrophage Responses and Immunoregulatory Bone Regeneration. Bioact. Mater. 2023, 21, 595–611. [Google Scholar] [CrossRef]
- Al-Itry, R.; Lamnawar, K.; Maazouz, A. Improvement of Thermal Stability, Rheological and Mechanical Properties of PLA, PBAT and Their Blends by Reactive Extrusion with Functionalized Epoxy. Polym. Degrad. Stab. 2012, 97, 1898–1914. [Google Scholar] [CrossRef]
- Luo, S.; Grubb, D.T.; Netravali, A.N. The Effect of Molecular Weight on the Lamellar Structure, Thermal and Mechanical Properties of Poly(Hydroxybutyrate-Co-Hydroxyvalerates). Polymer 2002, 43, 4159–4166. [Google Scholar] [CrossRef]
- Androsch, R.; Zhuravlev, E.; Schick, C. Solid-State Reorganization, Melting and Melt-Recrystallization of Conformationally Disordered Crystals (A′-Phase) of Poly (l-Lactic Acid). Polymer 2014, 55, 4932–4941. [Google Scholar] [CrossRef]
- Androsch, R.; Zhang, R.; Schick, C. Melt-Recrystallization of Poly (l-Lactic Acid) Initially Containing A′-Crystals. Polymer 2019, 176, 227–235. [Google Scholar] [CrossRef]
- Huang, S.-H.; Hsu, T.-T.; Huang, T.-H.; Lin, C.-Y.; Shie, M.-Y. Fabrication and Characterization of Polycaprolactone and Tricalcium Phosphate Composites for Tissue Engineering Applications. J. Dent. Sci. 2017, 12, 33–43. [Google Scholar] [CrossRef] [PubMed]
- Ben Rjeb, S.; Sakka, S.; Ben Ayed, F. Mechanical and Biological Properties of Tricalcium Phosphate–Magnesium Oxide Composites. JOM 2022, 74, 3634–3645. [Google Scholar] [CrossRef]
- Kang, H.-J.; Makkar, P.; Padalhin, A.R.; Lee, G.-H.; Im, S.-B.; Lee, B.-T. Comparative Study on Biodegradation and Biocompatibility of Multichannel Calcium Phosphate Based Bone Substitutes. Mater. Sci. Eng. C 2020, 110, 110694. [Google Scholar] [CrossRef] [PubMed]
- Witek, L.; Shi, Y.; Smay, J. Controlling Calcium and Phosphate Ion Release of 3D Printed Bioactive Ceramic Scaffolds: An in Vitro Study. J. Adv. Ceram. 2017, 6, 157–164. [Google Scholar] [CrossRef]
- Kwon, S.-H.; Jun, Y.-K.; Hong, S.-H.; Kim, H.-E. Synthesis and Dissolution Behavior of B-TCP and HA/b-TCP Composite Powders. J. Eur. Ceram. Soc. 2003, 23, 1039–1045. [Google Scholar] [CrossRef]
- Taktak, R.; Elghazel, A.; Bouaziz, J.; Charfi, S.; Keskes, H. Tricalcium Phosphate-Fluorapatite as Bone Tissue Engineering: Evaluation of Bioactivity and Biocompatibility. Mater. Sci. Eng. C 2018, 86, 121–128. [Google Scholar] [CrossRef]
- Sánchez-Salcedo, S.; Balas, F.; Izquierdo-Barba, I.; Vallet-Regí, M. In Vitro Structural Changes in Porous HA/β-TCP Scaffolds in Simulated Body Fluid. Acta Biomater. 2009, 5, 2738–2751. [Google Scholar] [CrossRef]
- Vasilescu, E.; Moreno, J.M.C.; Vasilescu, C.; Grigore, F.; Drob, S.I. Interactions of Some New Scaffolds with Simulated Body Fluids. Rev. Chim. 2011, 62, 212–215. [Google Scholar]
- Juhasz, J.A.; Best, S.M.; Auffret, A.D.; Bonfield, W. Biological Control of Apatite Growth in Simulated Body Fluid and Human Blood Serum. J. Mater. Sci. Mater. Med. 2008, 19, 1823–1829. [Google Scholar] [CrossRef]
- Ślósarczyk, A.; Paszkiewicz, Z.; Paluszkiewicz, C. FTIR and XRD Evaluation of Carbonated Hydroxyapatite Powders Synthesized by Wet Methods. J. Mol. Struct. 2005, 744–747, 657–661. [Google Scholar] [CrossRef]
- Prokopowicz, M.; Szewczyk, A.; Sawicki, W. The Bioactivity Studies of Drug-Loaded Mesoporous Silica-Polydimethylsiloxane Xerogels Using FTIR and SEM/XEDS. J. Mol. Struct. 2014, 1056–1057, 262–266. [Google Scholar] [CrossRef]
- Kareem, M.M.; Tanner, K.E. Optimising Micro-Hydroxyapatite Reinforced Poly(Lactide Acid) Electrospun Scaffolds for Bone Tissue Engineering. J. Mater. Sci. Mater. Med. 2020, 31, 38. [Google Scholar] [CrossRef] [PubMed]
- Ferri, J.M.; Motoc, D.L.; Bou, S.F.; Balart, R. Thermal Expansivity and Degradation Properties of PLA/HA and PLA/βTCP in Vitro Conditioned Composites. J. Therm. Anal. Calorim. 2019, 138, 2691–2702. [Google Scholar] [CrossRef]
- Rakmae, S.; Lorprayoon, C.; Ekgasit, S.; Suppakarn, N. Influence of Heat-Treated Bovine Bone-Derived Hydroxyapatite on Physical Properties and In Vitro Degradation Behavior of Poly (Lactic Acid) Composites. Polym. Plast. Technol. Eng. 2013, 52, 1043–1053. [Google Scholar] [CrossRef]
- Chor, A.; Gonçalves, R.P.; Costa, A.M.; Farina, M.; Ponche, A.; Sirelli, L.; Schrodj, G.; Gree, S.; Andrade, L.R.D.; Anselme, K.; et al. In Vitro Degradation of Electrospun Poly(Lactic-Co-Glycolic Acid) (PLGA) for Oral Mucosa Regeneration. Polymers 2020, 12, 1853. [Google Scholar] [CrossRef] [PubMed]













| Samples | Ca/P Ratio | ||
|---|---|---|---|
| 0 Day | 14 Days | 21 Days | |
| PLA/10βTCP | 1.502 ± 0.061 | 1.565 ± 0.075 | 1.621 ± 0.130 |
| PLA/20βTCP | 1.506 ± 0.065 | 1.570 ± 0.011 | 1.641 ± 0.058 |
| PLA/25βTCP | 1.500 ± 0.011 | 1.574 ± 0.069 | 1.651± 0.036 |
| Samples | Mw (kDa) | Mn (kDa) | PDI (Mw/Mn) |
|---|---|---|---|
| PLA-0d | 47.168 | 35.162 | 1.341 |
| PLA-21d | 36.027 | 22.650 | 1.590 |
| PLA/25β-TCP-0d | 56.368 | 42.622 | 1.322 |
| PLA/25β-TCP-21d | 55.782 | 38.917 | 1.433 |
| Biocomposites | * Tonset (°C) | Mass Change (%) | Residual Mass (%) | ** Td (°C) |
|---|---|---|---|---|
| PLA-0d | 345.12 | 97.46 | 0.19 | 368.00 |
| PLA-21d | 338.17 | 96.85 | 0.13 | 353.47 |
| PLA/10β-TCP-0d | 339.41 | 88.34 | 9.06 | 355.84 |
| PLA/10β-TCP-21d | 335.00 | 87.63 | 9.51 | 357.20 |
| PLA/20β-TCP-0d | 332.43 | 78.39 | 19.24 | 345.21 |
| PLA/20β-TCP-21d | 330.37 | 77.97 | 19.52 | 345.21 |
| PLA/25β-TCP-0d | 328.10 | 72.53 | 25.58 | 351.60 |
| PLA/25β-TCP-21d | 325.93 | 72.90 | 25.68 | 348.93 |
| Samples | Tg (°C) | Tcc (°C) | Tm1 (°C) | Tm2 (°C) | χc (%) |
|---|---|---|---|---|---|
| PLA-0d | 56.8 | 110.1 | 147.0 | 153.7 | 29.5 |
| PLA-21d | 56.0 | 109.1 | 147.3 | 154.5 | 34.7 |
| PLA/10βTCP-0d | 56.2 | 116.5 | 148.4 | 153.8 | 27.3 |
| PLA/10βTCP-21d | 56.9 | 111.4 | 147.5 | 153.8 | 29.1 |
| PLA/20βTCP-0d | 57.7 | 116.0 | 148.1 | 154.0 | 23.0 |
| PLA/20βTCP-21d | 56.7 | 109.5 | 147.3 | 154.0 | 27.5 |
| PLA/25βTCP-0d | 57.4 | 116.1 | 148.1 | 153.1 | 23.9 |
| PLA/25βTCP-21d | 56.0 | 109.4 | 147.2 | 153.3 | 24.4 |
Disclaimer/Publisher’s Note: The statements, opinions and data contained in all publications are solely those of the individual author(s) and contributor(s) and not of MDPI and/or the editor(s). MDPI and/or the editor(s) disclaim responsibility for any injury to people or property resulting from any ideas, methods, instructions or products referred to in the content. |
© 2024 by the authors. Licensee MDPI, Basel, Switzerland. This article is an open access article distributed under the terms and conditions of the Creative Commons Attribution (CC BY) license (https://creativecommons.org/licenses/by/4.0/).
Share and Cite
Ftiti, S.; Cifuentes, S.C.; Guidara, A.; Rams, J.; Tounsi, H.; Fernández-Blázquez, J.P. The Structural, Thermal and Morphological Characterization of Polylactic Acid/Β-Tricalcium Phosphate (PLA/Β-TCP) Composites upon Immersion in SBF: A Comprehensive Analysis. Polymers 2024, 16, 719. https://doi.org/10.3390/polym16050719
Ftiti S, Cifuentes SC, Guidara A, Rams J, Tounsi H, Fernández-Blázquez JP. The Structural, Thermal and Morphological Characterization of Polylactic Acid/Β-Tricalcium Phosphate (PLA/Β-TCP) Composites upon Immersion in SBF: A Comprehensive Analysis. Polymers. 2024; 16(5):719. https://doi.org/10.3390/polym16050719
Chicago/Turabian StyleFtiti, Sondes, Sandra C. Cifuentes, Awatef Guidara, Joaquín Rams, Hassib Tounsi, and Juan P. Fernández-Blázquez. 2024. "The Structural, Thermal and Morphological Characterization of Polylactic Acid/Β-Tricalcium Phosphate (PLA/Β-TCP) Composites upon Immersion in SBF: A Comprehensive Analysis" Polymers 16, no. 5: 719. https://doi.org/10.3390/polym16050719
APA StyleFtiti, S., Cifuentes, S. C., Guidara, A., Rams, J., Tounsi, H., & Fernández-Blázquez, J. P. (2024). The Structural, Thermal and Morphological Characterization of Polylactic Acid/Β-Tricalcium Phosphate (PLA/Β-TCP) Composites upon Immersion in SBF: A Comprehensive Analysis. Polymers, 16(5), 719. https://doi.org/10.3390/polym16050719

