Reinforcement of Cement Nanocomposites through Optimization of Mixing Ratio between Carbon Nanotube and Polymer Dispersing Agent
Abstract
1. Introduction
2. Experimental Section
2.1. Materials
2.2. Preparation of CNTs Dispersion and Optimization of Dispersing Agents Content
2.3. Re-Dispersion and Dispersibility Evaluation
2.4. Contact Angle Measurement
2.5. Fabrication and Characterization of Cement Nanocomposites
2.6. Microstructure Analysis
3. Results and Discussion
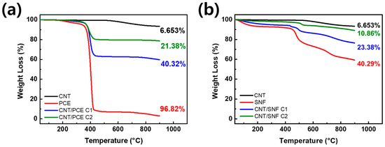
3.1. Determine the Mixing Ratio of Polymer Dispersing Agents to CNTs Using TGA Analysis
3.2. OM Image Analysis
3.3. Particle Size Distribution Analysis
3.4. FE-TEM Analysis of CNT Dispersions
3.5. Contact Angle Analysis
3.6. Compressive Strength Test
3.7. XRD Analysis of Cement Composites
3.8. FE-SEM Analysis of Cement Nanocomposites
4. Conclusions
Supplementary Materials
Author Contributions
Funding
Data Availability Statement
Conflicts of Interest
References
- Song, J.S.; Kwac, L.K.; Kim, H.G.; Ryu, S.K. Enhanced mechanical properties of anti-corrosive concrete coated by milled carbon nanofiber-reinforced composite paint. Carbon Lett. 2023, 33, 1095–1104. [Google Scholar] [CrossRef]
- Zhang, P.; Su, J.; Guo, J.; Hu, S. Influence of carbon nanotube on properties of concrete: A review. Constr. Build. Mater. 2023, 369, 130388. [Google Scholar] [CrossRef]
- Fan, J.; Li, G.; Deng, S.; Deng, C.; Wang, Z.; Zhang, Z. Effect of Carbon Nanotube and Styrene-Acrylic Emulsion Additives on Microstructure and Mechanical Characteristics of Cement Paste. Materials 2020, 13, 2807. [Google Scholar] [CrossRef]
- Park, B.; Choi, Y.C. Investigating the Effect of CNTs on Early Age Hydration and Autogenous Shrinkage of Cement Composite. Appl. Sci. 2021, 11, 5545. [Google Scholar] [CrossRef]
- Kumar, S.R.; Vignesh, R.V.; Mashinini, P.M.; Ramanathan, S. Tribological behavior of friction stir process surface hybrid composite AA5083/MWCNT/Al2SiO5 using multi-quadratic RBF algorithm. Carbon Lett. 2023, 33, 2363–2377. [Google Scholar] [CrossRef]
- Kim, J.H.; Park, S.H.; Chung, C.W. The Properties of Cement Paste Incorporating Multi Wall Carbon Nanotube Solution Prepared through Bead Mill and High-Pressure Homogenizer Process with Polycarboxylate Ester. Constr. Build. Mater. 2022, 337, 127598. [Google Scholar] [CrossRef]
- Zou, B.; Chen, S.J.; Korayem, A.H.; Collins, F.; Wang, C.M.; Duan, W.H. Effect of ultrasonication energy on engineering properties of carbon nanotube reinforced cement pastes. Carbon 2015, 85, 212–220. [Google Scholar] [CrossRef]
- Tugelbayev, A.; Kim, J.-H.; Lee, J.U.; Chung, C.W. The effect of acid treated multi-walled carbon nanotubes on the properties of cement paste prepared by ultrasonication with polycarboxylate ester. J. Build. Eng. 2023, 64, 105638. [Google Scholar] [CrossRef]
- Zhu, W.; Feng, Q.; Luo, Q.; Bai, X.; Chen, K.; Lin, X. Effect of a specific PCE superplasticizer on the initial dissolution and early hydration of Portland cement. J. Buid. Eng. 2022, 46, 103786. [Google Scholar] [CrossRef]
- Shtein, M.; Pri-bar, I.; Regev, O. A simple solution for the determination of pristine carbon nanotube concentration. Analyst 2013, 138, 1490. [Google Scholar] [CrossRef] [PubMed]
- Alatawna, A.; Birenboim, M.; Nadiv, R.; Buzaglo, M.; Peretz-Damari, S.; Peled, A.; Regev, O.; Sripada, R. The effect of compatibility and dimensionality of carbon nanofillers on cement composites. Constr. Build. Mater. 2020, 232, 117141. [Google Scholar] [CrossRef]
- Carísio, P.A.; Carísio, Y.G.S.; Soares, C.F.T.; Reales, O.A.M.; Fairbairn, E.M.; Filho, R.D.T. Dispersion of Carbon Nanotubes with Different Types of Superplasticizer as a Dispersing Agent for Self-Sensing Cementitious Materials. Appl. Sci. 2021, 11, 8452. [Google Scholar] [CrossRef]
- Qian, Y.; Schutter, G.D. Different Effects of NSF and PCE Superplasticizer on Adsorption, Dynamic Yield Stress and Thixotropy of Cement Pastes. Materials 2018, 11, 695. [Google Scholar] [CrossRef] [PubMed]
- Sun, J.; Shi, H.; Qian, B.; Xu, Z.; Li, W.; Shen, X. Effects of synthetic C-S-H/PCE nanocomposites on early cement hydration. Constr. Build. Mater. 2017, 140, 282–292. [Google Scholar] [CrossRef]
- Kim, Y.; Hong, J.S.; Moon, S.Y.; Hong, J.Y.; Lee, J.U. Evaluation of carbon nanotubes dispersion in aqueous solution with various dispersing agents. Carbon Lett. 2021, 31, 1327–1337. [Google Scholar] [CrossRef]
- Zhang, W.; Xu, X.; Yang, J.; Zhang, N.; Wang, Y.; Zhou, Z. High thermal conductivity of poly(vinylidene fluoride)/carbon nanotubes nanocomposites achieved by adding polyvinylpyrrolidone. Compos. Sci. Technol. 2015, 106, 1–8. [Google Scholar] [CrossRef]
- Zingg, A.; Winnefeld, F.; Holzer, L.; Pakusch, J.; Becker, S.; Gauckler, L. Adsorption of polyelectrolytes and its influence on the rheology, zeta potential, and microstructure of various cement and hydrate phases. J. Colloid Interface Sci. 2008, 323, 301–312. [Google Scholar] [CrossRef]
- Hsu, K.C.; Chiu, J.J.; Chen, S.D.; Tseng, Y.C. Effect of addition time of a superplasticizer on cement adsorption and on concrete workability. Cem. Concr. Compos. 1999, 21, 425–430. [Google Scholar] [CrossRef]
- An, S.H.; Kim, K.Y.; Chung, C.W.; Lee, J.U. Development of cement nanocomposites reinforced by carbon nanotube dispersion using superplasticizers. Carbon Lett. 2023. submitted. [Google Scholar]
- Wang, F.; Kong, X.; Jiang, L.; Wang, D. The acceleration mechanism of nano-C-S-H particles on OPC hydration. Constr. Build. Mater. 2020, 249, 118734. [Google Scholar] [CrossRef]
- Tafesse, M.; Kim, H.K. The role of carbon nanotube on hydration kinetics and shrinkage of cement composite. Compos. B Eng. 2019, 169, 55–64. [Google Scholar] [CrossRef]
- Carriço, A.; Bogas, J.A.; Hawreen, A.; Guedes, M. Durability of multi-walled carbon nanotube reinforced concrete. Constr. Build. Mater. 2018, 164, 121–133. [Google Scholar] [CrossRef]
- Saeed, M.; Haq, R.S.U.; Ahmed, S.; Siddiqui, F.; Yi, J. Recent advances in carbon nanotubes, graphene and carbon fibers-based microwave absorbers. J. Alloys Compd. 2023, 970, 172625. [Google Scholar] [CrossRef]
- Wang, Y.; Luo, Z.; Zhang, D.; Yang, Y.; Hu, J.; Chewaka, M.D.; Ao, S.; Li, Y. Joining of carbon nanotube fiber by nickel–copper double-layer metal via two-step meniscus-confined localized electrochemical deposition. Carbon Lett. 2023, 33, 125–137. [Google Scholar] [CrossRef]









| Specific Surface Area (m2/kg) | D [3,2] (µm) | Dv[50] (µm) | |
|---|---|---|---|
| CNT:PCE 1:2 | 823.6 | 7.28 | 53.6 |
| CNT/PCE C1 | 455.0 | 13.2 | 51.3 |
| CNT/PCE C2 | 193.5 | 31.0 | 70.5 |
| CNT:SNF 1:2 | 17,620 | 0.341 | 6.28 |
| CNT/SNF C1 | 969.9 | 6.19 | 63.0 |
| CNT/SNF C2 | 126.7 | 47.4 | 65.9 |
Disclaimer/Publisher’s Note: The statements, opinions and data contained in all publications are solely those of the individual author(s) and contributor(s) and not of MDPI and/or the editor(s). MDPI and/or the editor(s) disclaim responsibility for any injury to people or property resulting from any ideas, methods, instructions or products referred to in the content. |
© 2024 by the authors. Licensee MDPI, Basel, Switzerland. This article is an open access article distributed under the terms and conditions of the Creative Commons Attribution (CC BY) license (https://creativecommons.org/licenses/by/4.0/).
Share and Cite
An, S.H.; Kim, K.Y.; Lee, J.U. Reinforcement of Cement Nanocomposites through Optimization of Mixing Ratio between Carbon Nanotube and Polymer Dispersing Agent. Polymers 2024, 16, 428. https://doi.org/10.3390/polym16030428
An SH, Kim KY, Lee JU. Reinforcement of Cement Nanocomposites through Optimization of Mixing Ratio between Carbon Nanotube and Polymer Dispersing Agent. Polymers. 2024; 16(3):428. https://doi.org/10.3390/polym16030428
Chicago/Turabian StyleAn, Seok Hwan, Ki Yun Kim, and Jea Uk Lee. 2024. "Reinforcement of Cement Nanocomposites through Optimization of Mixing Ratio between Carbon Nanotube and Polymer Dispersing Agent" Polymers 16, no. 3: 428. https://doi.org/10.3390/polym16030428
APA StyleAn, S. H., Kim, K. Y., & Lee, J. U. (2024). Reinforcement of Cement Nanocomposites through Optimization of Mixing Ratio between Carbon Nanotube and Polymer Dispersing Agent. Polymers, 16(3), 428. https://doi.org/10.3390/polym16030428

