Electrospun Poly L-Lactic Acid Nanofiber Webs Presenting Enhanced Piezoelectric Properties
Abstract
1. Introduction
2. Experimental
2.1. Preparation of the Electrospun PLA/BTNP Nanofiber Webs
2.2. Corona-Poling Process
2.3. Fabrication of the Piezoelectric Sensors
2.4. Piezoelectricity Measurement
2.5. Characterization
3. Results and Discussion
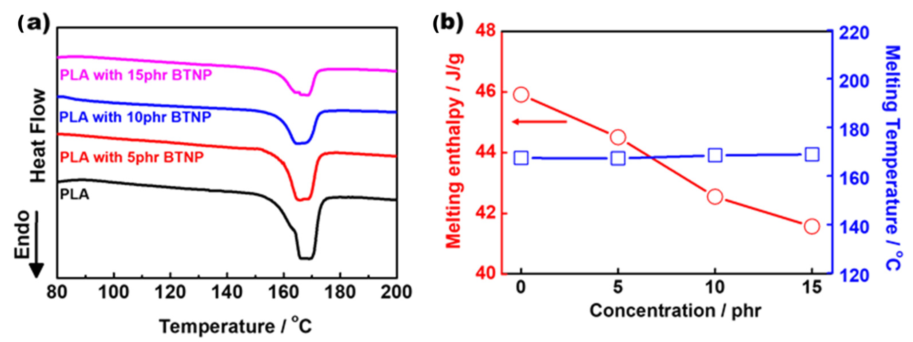
3.1. PLA/BTNP Nanofibers
3.2. Sensor Performances
4. Conclusions
Supplementary Materials
Author Contributions
Funding
Institutional Review Board Statement
Data Availability Statement
Conflicts of Interest
References
- Helgeson, E.M.; Wagner, N.J. A correlation for the diameter of electrospun polymer nanofibers. ALChE J. 2007, 53, 51–55. [Google Scholar] [CrossRef]
- Sodano, H.A.; Inman, D.J. A review of power harvesting from vibration using piezoelectric materials. Shock Vib. Dig. 2004, 36, 197–206. [Google Scholar] [CrossRef]
- Zhang, J.; Sato, H.; Tsuji, H.; Noda, I.; Ozaki, Y. Infrared spectroscopic study of CH3···O=C interaction during poly(l-lactide)/poly(d-lactide) stereocomplex formation. Macromolecules 2005, 38, 1822–1828. [Google Scholar] [CrossRef]
- Ando, M.; Kawamura, H.; Kageyama, K.; Tajitsu, Y. Film sensor device fabricated by a piezoelectric poly(L-lactic acid) film. Jpn. J. Appl. Phys. 2012, 51, 9S1. [Google Scholar] [CrossRef]
- Szewczyk, P.K.; Gradys, A.; Kim, S.K.; Persano, L.; Marzec, M.; Kryshtal, A.; Busolo, T.; Toncelli, A.; Pisignano, D.; Bernasik, A.; et al. Enhanced Piezoelectricity of Electrospun Polyvinylidene Fluoride Fibers for Energy Harvesting. ACS Appl. Mater. Interfaces 2020, 12, 13575–13583. [Google Scholar] [CrossRef] [PubMed]
- Lee, S.J.; Prabu, A.A.; Kim, K.J. Piezoelectric properties of electrospun poly (L-lactic acid) nanofiber web. Mater. Lett. 2015, 148, 58–62. [Google Scholar] [CrossRef]
- Wang, Z.L.; Song, J. Piezoelectric nanogenerators based on zinc oxide nanowire arrays. Science 2006, 312, 242–246. [Google Scholar] [CrossRef] [PubMed]
- Huang, C.-T.; Song, J.; Tsai, C.-M.; Lee, W.-F.; Lien, D.-H.; Gao, Z.; Hao, Y.; Chen, L.-J.; Wang, Z.-L. Single-InN-nanowire nanogenerator with up to 1 V Output Voltage. Adv. Mater. 2010, 22, 4008–4013. [Google Scholar] [CrossRef] [PubMed]
- Huang, C.-T.; Song, J.; Lee, W.-F.; Ding, Y.; Gao, Z.; Hao, Y.; Chen, L.-L.; Wang, Z.L. GaN nanowire arrays for high-output nanogenerators. J. Am. Chem. Soc. 2010, 132, 4766–4771. [Google Scholar] [CrossRef] [PubMed]
- Raque, J.-M.; Hadidi, Y.; Murariu, M.; Dudois, P. Polylactide (PLA)-based nanocomposites. Polym. Sci. 2013, 38, 1504–1542. [Google Scholar]
- Zhao, B.; Su, Y.; Xue, R.; Wang, Y.; Miao, L.; Yao, M.; Yu, H.; Zhao, W.; Hu, D. Degradable flexible piezoelectric nanogenerator based on two-dimensional barium titanate nanosheets and polylactic acid. Mater. Chem. Front. 2023, 7, 3082–3092. [Google Scholar] [CrossRef]
- Oh, H.J.; Kim, D.-K.; Choi, Y.C.; Lim, S.-J.; Jeong, J.B.; Ko, J.H.; Hahm, W.-G.; Kim, S.-W.; Lee, Y.; Kim, H.; et al. Fabrication of piezoelectric poly(l-lactic acid)/BaTiO3 fibre by the melt-spinning process. Sci. Rep. 2020, 10, 16339. [Google Scholar] [CrossRef] [PubMed]
- Mahapatra, S.D.; Mohapatra, P.C.; Aria, A.I.; Christie, G.; Mishra, Y.K.; Hofmann, S.; Thakur, V.K. Piezoelectric Materials for Energy Harvesting and Sensing Applications: Roadmap for Future Smart Materials. Adv. Sci. 2021, 8, 2100864. [Google Scholar] [CrossRef] [PubMed]
- Kim, Y.-J.; Ahn, C.H.; Lee, M.B.; Choi, M.-S. Characteristics of electrospun PVDF/SiO2 composite nanofiber membranes as polymer electrolyte. Mater. Chem. Phys. 2011, 127, 137–142. [Google Scholar] [CrossRef]
- Niederberger, M.; Pinna, N.; Polleux, J.; Antonietti, M. A general soft-chemistry route to perovskites and related materials: Synthesis of BaTiO3, BaZrO3, and LiNbO3 nanoparticles. Angew. Chem. Int. Ed. 2004, 43, 2270–2273. [Google Scholar] [CrossRef] [PubMed]
- Mandal, D.; Yoon, S.; Kim, K.J. Origin of piezoelectricity in an electrospun poly (vinylidene fluoride-trifluoroethylene) nanofiber web-based nanogenerator and nano-pressure sensor. Macromol. Rapid Commun. 2011, 32, 831–837. [Google Scholar] [CrossRef] [PubMed]






Disclaimer/Publisher’s Note: The statements, opinions and data contained in all publications are solely those of the individual author(s) and contributor(s) and not of MDPI and/or the editor(s). MDPI and/or the editor(s) disclaim responsibility for any injury to people or property resulting from any ideas, methods, instructions or products referred to in the content. |
© 2024 by the authors. Licensee MDPI, Basel, Switzerland. This article is an open access article distributed under the terms and conditions of the Creative Commons Attribution (CC BY) license (https://creativecommons.org/licenses/by/4.0/).
Share and Cite
Hong, S.K.; Lee, J.-J.; Kim, K.J.; Choi, S.-W. Electrospun Poly L-Lactic Acid Nanofiber Webs Presenting Enhanced Piezoelectric Properties. Polymers 2024, 16, 347. https://doi.org/10.3390/polym16030347
Hong SK, Lee J-J, Kim KJ, Choi S-W. Electrospun Poly L-Lactic Acid Nanofiber Webs Presenting Enhanced Piezoelectric Properties. Polymers. 2024; 16(3):347. https://doi.org/10.3390/polym16030347
Chicago/Turabian StyleHong, Seung Kwan, Jae-Jin Lee, Kap Jin Kim, and Suk-Won Choi. 2024. "Electrospun Poly L-Lactic Acid Nanofiber Webs Presenting Enhanced Piezoelectric Properties" Polymers 16, no. 3: 347. https://doi.org/10.3390/polym16030347
APA StyleHong, S. K., Lee, J.-J., Kim, K. J., & Choi, S.-W. (2024). Electrospun Poly L-Lactic Acid Nanofiber Webs Presenting Enhanced Piezoelectric Properties. Polymers, 16(3), 347. https://doi.org/10.3390/polym16030347

