Thermally Healable Polyurethane Elastomers Based on Biomass Polyester Polyol from Isosorbide and Dimer Fatty Acid
Abstract
1. Introduction
2. Materials and Methods
2.1. Materials
2.2. Synthesis of ISB and DA Based Polyester Polyol
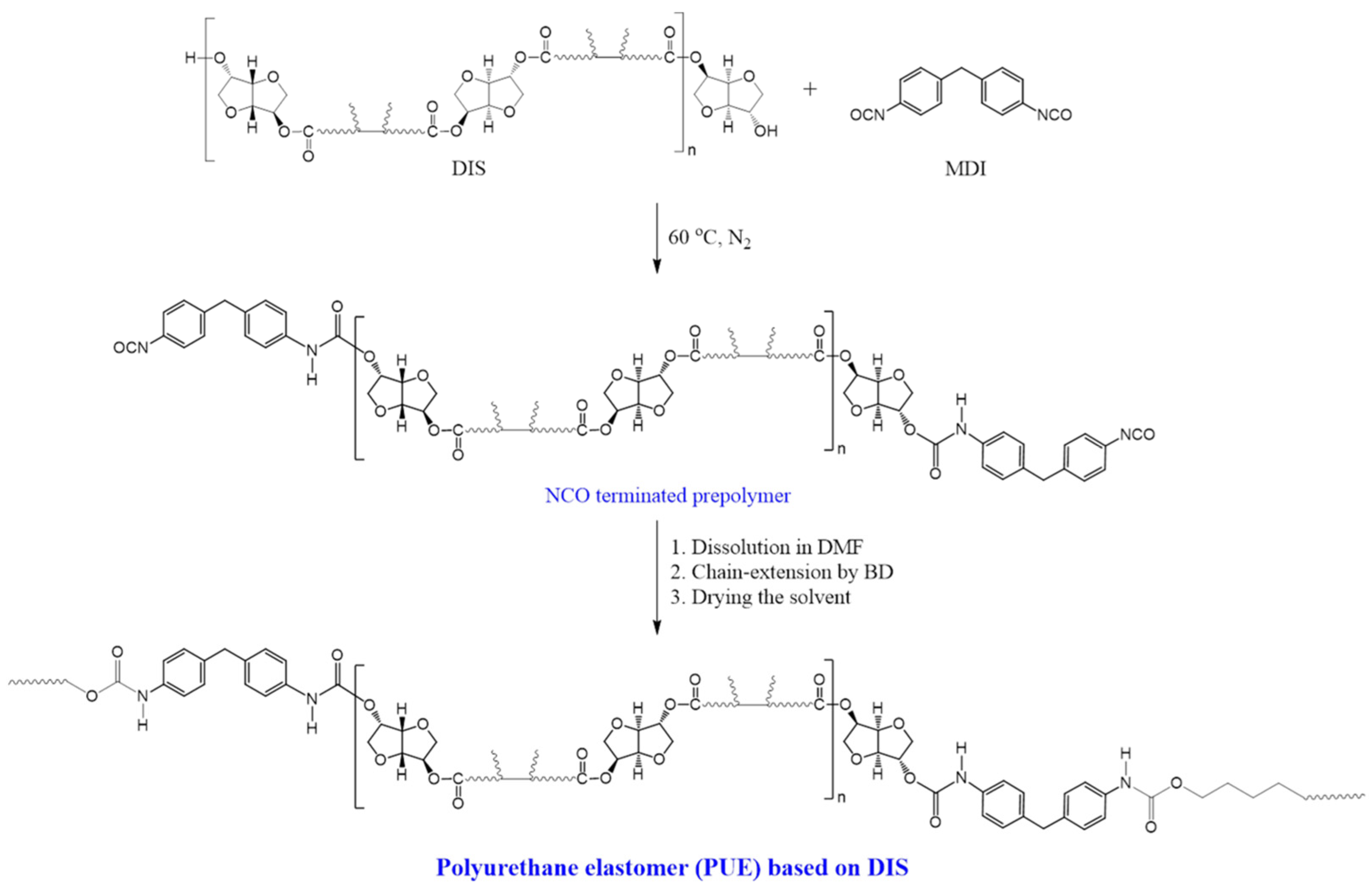
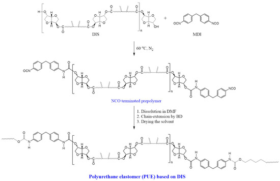
2.3. Preparation of PUE Based on DIS
2.4. Characterization
3. Results and Discussion
3.1. Characteristics of DIS
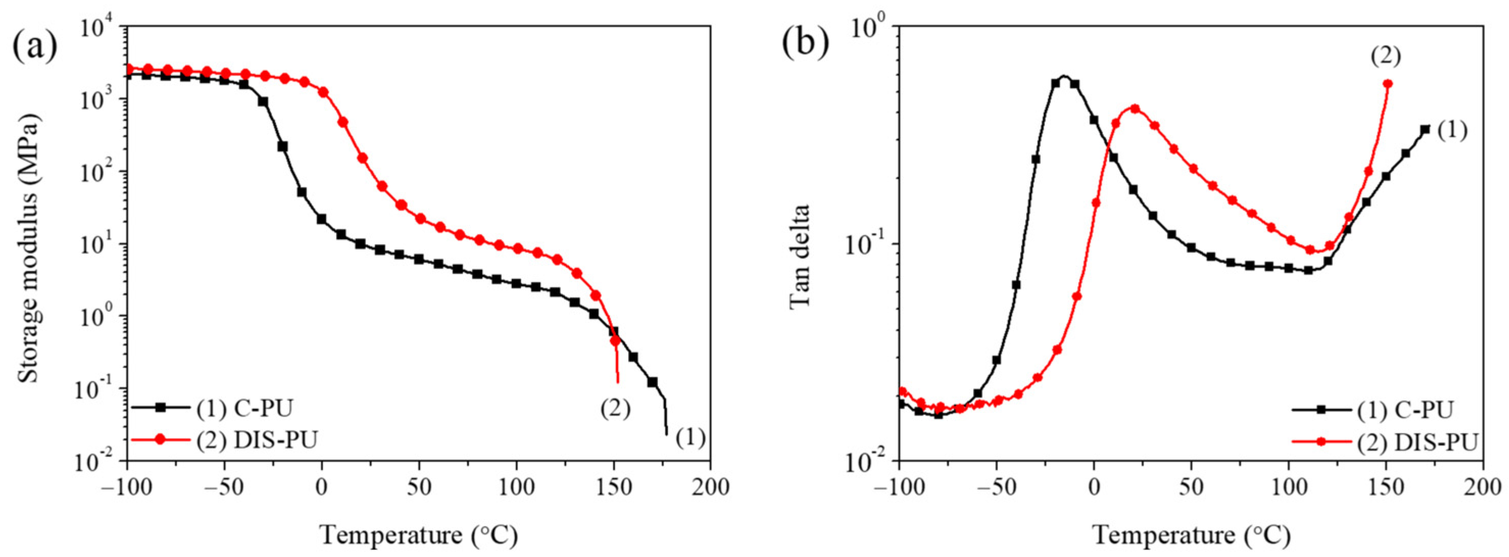
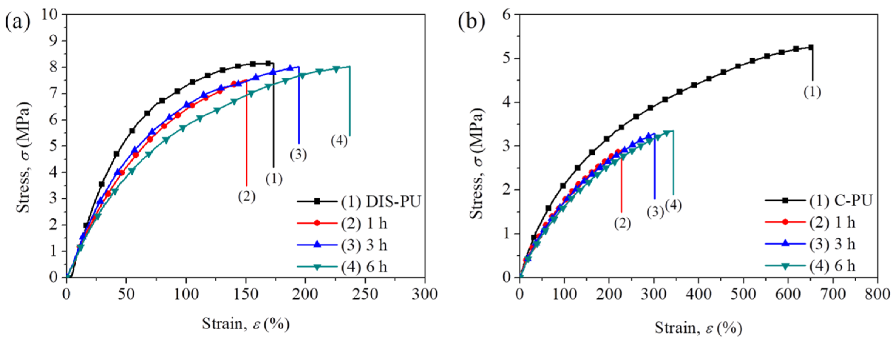
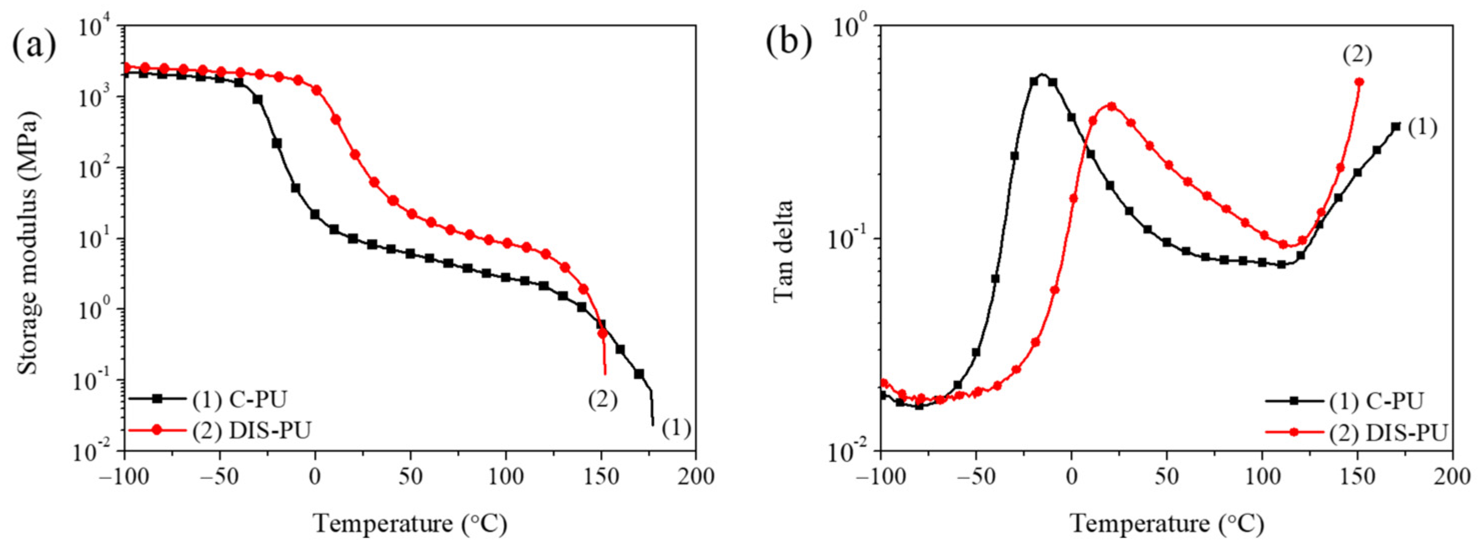
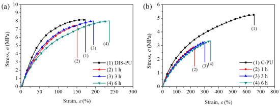
3.2. Characteristics of PUE Based on DIS
4. Conclusions
Supplementary Materials
Author Contributions
Funding
Institutional Review Board Statement
Data Availability Statement
Acknowledgments
Conflicts of Interest
Abbreviations
References
- Ugarte, L.; Saralegi, A.; Fernández, R.; Martín, L.; Corcuera, M.A.; Eceiza, A. Flexible polyurethane foams based on 100% renewably sourced polyols. Ind. Crops Prod. 2014, 62, 545–551. [Google Scholar] [CrossRef]
- Bernardini, J.; Cinelli, P.; Anguillesi, I.; Coltelli, M.-B.; Lazzeri, A. Flexible polyurethane foams green production employing lignin or oxypropylated lignin. Eur. Polym. J. 2015, 64, 147–156. [Google Scholar] [CrossRef]
- Sonnenschein, M.F.; Wendt, B.L. Design and formulation of soybean oil derived flexible polyurethane foams and their underlying polymer structure/property relationships. Polymer 2013, 54, 2511–2520. [Google Scholar] [CrossRef]
- Prociak, A.; Malewska, E.; Kurańska, M.; Bąk, S.; Budny, P. Flexible polyurethane foams synthesized with palm oil-based bio-polyols obtained with the use of different oxirane ring opener. Ind. Crops Prod. 2018, 115, 69–77. [Google Scholar] [CrossRef]
- Pawlik, H.; Prociak, A. Influence of Palm Oil-Based Polyol on the Properties of Flexible Polyurethane Foams. J. Polym. Environ. 2011, 20, 438–445. [Google Scholar] [CrossRef]
- Zhu, L.; Wool, R.P. Nanoclay reinforced bio-based elastomers: Synthesis and characterization. Polymer 2006, 47, 8106–8115. [Google Scholar] [CrossRef]
- Ning, N.; Wang, Z.; Yao, Y.; Zhang, L.; Tian, M. Enhanced electromechanical performance of bio-based gelatin/glycerin dielectric elastomer by cellulose nanocrystals. Carbohydr. Polym. 2015, 130, 262–267. [Google Scholar] [CrossRef] [PubMed]
- Wang, R.; Zhang, J.; Kang, H.; Zhang, L. Design, preparation and properties of bio-based elastomer composites aiming at engineering applications. Compos. Sci. Technol. 2016, 133, 136–156. [Google Scholar] [CrossRef]
- Datta, J.; Głowińska, E. Effect of hydroxylated soybean oil and bio-based propanediol on the structure and thermal properties of synthesized bio-polyurethanes. Ind. Crops Prod. 2014, 61, 84–91. [Google Scholar] [CrossRef]
- Panwiriyarat, W.; Tanrattanakul, V.; Pilard, J.-F.; Pasetto, P.; Khaokong, C. Effect of the diisocyanate structure and the molecular weight of diols on bio-based polyurethanes. J. Appl. Polym. Sci. 2013, 130, 453–462. [Google Scholar] [CrossRef]
- Oh, S.Y.; Kang, M.S.; Knowles, J.C.; Gong, M.S. Synthesis of bio-based thermoplastic polyurethane elastomers containing isosorbide and polycarbonate diol and their biocompatible properties. J. Biomater. Appl. 2015, 30, 327–337. [Google Scholar] [CrossRef] [PubMed]
- Kim, H.J.; Kang, M.S.; Knowles, J.C.; Gong, M.S. Synthesis of highly elastic biocompatible polyurethanes based on bio-based isosorbide and poly(tetramethylene glycol) and their properties. J. Biomater. Appl. 2014, 29, 454–464. [Google Scholar] [CrossRef]
- Bueno-Ferrer, C.; Hablot, E.; Garrigós, M.d.C.; Bocchini, S.; Averous, L.; Jiménez, A. Relationship between morphology, properties and degradation parameters of novative biobased thermoplastic polyurethanes obtained from dimer fatty acids. Polym. Degrad. Stab. 2012, 97, 1964–1969. [Google Scholar] [CrossRef]
- Zhang, C.; Ding, R.; Kessler, M.R. Reduction of epoxidized vegetable oils: A novel method to prepare bio-based polyols for polyurethanes. Macromol. Rapid Commun. 2014, 35, 1068–1074. [Google Scholar] [CrossRef]
- Silva, I.D.S.; Moerbitz, P.; Souza, M.; Bretz, I.; Ries, A.; Wellen, R. Synthesis and Performance of Biobased Polyurethane Adhesives from Epoxidized Soybean Oil and Isosorbide. ACS Appl. Eng. Mater. 2024, 2, 919–934. [Google Scholar] [CrossRef]
- Blache, H.; Méchin, F.; Rousseau, A.; Fleury, E.; Pascault, J.-P.; Alcouffe, P.; Jacquel, N.; Saint-Loup, R. New bio-based thermoplastic polyurethane elastomers from isosorbide and rapeseed oil derivatives. Ind. Crops Prod. 2018, 121, 303–312. [Google Scholar] [CrossRef]
- Fleche, G.; Huchette, M. Isosorbide. Preparation, properties and chemistry. Starch-Stärke 1986, 38, 26–30. [Google Scholar] [CrossRef]
- Smiga-Matuszowicz, M.; Janicki, B.; Jaszcz, K.; Lukaszczyk, J.; Kaczmarek, M.; Lesiak, M.; Sieron, A.L.; Simka, W.; Mierzwinski, M.; Kusz, D. Novel bioactive polyester scaffolds prepared from unsaturated resins based on isosorbide and succinic acid. Mater. Sci. Eng. C Mater. Biol. Appl. 2014, 45, 64–71. [Google Scholar] [CrossRef] [PubMed]
- Oltmanns, J.U.; Palkovits, S.; Palkovits, R. Kinetic investigation of sorbitol and xylitol dehydration catalyzed by silicotungstic acid in water. Appl. Catal. A Gen. 2013, 456, 168–173. [Google Scholar] [CrossRef]
- Zou, J.; Cao, D.; Tao, W.; Zhang, S.; Cui, L.; Zeng, F.; Cai, W. Sorbitol dehydration into isosorbide over a cellulose-derived solid acid catalyst. RSC Adv. 2016, 6, 49528–49536. [Google Scholar] [CrossRef]
- Besse, V.; Auvergne, R.; Carlotti, S.; Boutevin, G.; Otazaghine, B.; Caillol, S.; Pascault, J.-P.; Boutevin, B. Synthesis of isosorbide based polyurethanes: An isocyanate free method. React. Funct. Polym. 2013, 73, 588–594. [Google Scholar] [CrossRef]
- Fenouillot, F.; Rousseau, A.; Colomines, G.; Saint-Loup, R.; Pascault, J.P. Polymers from renewable 1,4:3,6-dianhydrohexitols (isosorbide, isomannide and isoidide): A review. Prog. Polym. Sci. 2010, 35, 578–622. [Google Scholar] [CrossRef]
- Sadler, J.M.; Toulan, F.R.; Nguyen, A.P.; Kayea, R.V., 3rd; Ziaee, S.; Palmese, G.R.; La Scala, J.J. Isosorbide as the structural component of bio-based unsaturated polyesters for use as thermosetting resins. Carbohydr. Polym. 2014, 100, 97–106. [Google Scholar] [CrossRef]
- Noordover, B.A.; van Staalduinen, V.G.; Duchateau, R.; Koning, C.E.; van Benthem, R.A.; Mak, M.; Heise, A.; Frissen, A.E.; van Haveren, J. Co-and terpolyesters based on isosorbide and succinic acid for coating applications: Synthesis and characterization. Biomacromolecules 2006, 7, 3406–3416. [Google Scholar] [CrossRef] [PubMed]
- Park, H.S.; Gong, M.S.; Knowles, J.C. Synthesis and biocompatibility properties of polyester containing various diacid based on isosorbide. J. Biomater. Appl. 2012, 27, 99–109. [Google Scholar] [CrossRef] [PubMed]
- Javni, I.; Bilić, O.; Bilić, N.; Petrović, Z.S.; Eastwood, E.A.; Zhang, F.; Ilavský, J. Thermoplastic polyurethanes with isosorbide chain extender. J. Appl. Polym. Sci. 2015, 132, 42830. [Google Scholar] [CrossRef]
- Liu, W.; Xie, T.; Qiu, R. Biobased Thermosets Prepared from Rigid Isosorbide and Flexible Soybean Oil Derivatives. ACS Sustain. Chem. Eng. 2016, 5, 774–783. [Google Scholar] [CrossRef]
- Park, S.-A.; Choi, J.; Ju, S.; Jegal, J.; Lee, K.M.; Hwang, S.Y.; Oh, D.X.; Park, J. Copolycarbonates of bio-based rigid isosorbide and flexible 1,4-cyclohexanedimethanol: Merits over bisphenol-A based polycarbonates. Polymer 2017, 116, 153–159. [Google Scholar] [CrossRef]
- Nasar, A.S.; Kalaimani, S. Synthesis and studies on forward and reverse reactions of phenol-blocked polyisocyanates: An insight into blocked isocyanates. RSC Adv. 2016, 6, 76802–76812. [Google Scholar] [CrossRef]
- Kalaimani, S.; Nasar, A.S. Catalysis of deblocking and cure reactions of easily cleavable phenol blocked polyisocyanates with poly(polytetrahydrofuran carbonate) diol. Eur. Polym. J. 2017, 91, 221–231. [Google Scholar] [CrossRef]
- Rolph, M.S.; Markowska, A.L.J.; Warriner, C.N.; O’Reilly, R.K. Blocked isocyanates: From analytical and experimental considerations to non-polyurethane applications. Polym. Chem. 2016, 7, 7351–7364. [Google Scholar] [CrossRef]
- Delebecq, E.; Pascault, J.P.; Boutevin, B.; Ganachaud, F. On the versatility of urethane/urea bonds: Reversibility, blocked isocyanate, and non-isocyanate polyurethane. Chem. Rev. 2013, 113, 80–118. [Google Scholar] [CrossRef] [PubMed]
- Cao, S.; Li, S.; Li, M.; Xu, L.; Ding, H.; Xia, J.; Zhang, M.; Huang, K. A thermal self-healing polyurethane thermoset based on phenolic urethane. Polym. J. 2017, 49, 775–781. [Google Scholar] [CrossRef]
- Shin, S.R.; Liang, J.Y.; Ryu, H.; Song, G.S.; Lee, D.S. Effects of Isosorbide Incorporation into Flexible Polyurethane Foams: Reversible Urethane Linkages and Antioxidant Activity. Molecules 2019, 24, 1347. [Google Scholar] [CrossRef] [PubMed]
- Wu, H.; Li, J.; Zhu, Z.; Ma, L.; Gao, N.; Liu, F. Bioinspired ultra-tough, exceptionally stretchable, and self-recoverable bio-based coating for visual damage detection and self-healing. Prog. Org. Coat. 2023, 182, 107663. [Google Scholar] [CrossRef]
- Han, T.; Tian, T.; Jiang, S.; Lu, B. Bio-Based Polyurethane–Urea with Self-Healing and Closed-Loop Recyclability Synthesized from Renewable Carbon Dioxide and Vanillin. Polymers 2024, 16, 2277. [Google Scholar] [CrossRef] [PubMed]
- Xu, X.; Ma, X.; Cui, M.; Zhao, H.; Stott, N.E.; Zhu, J.; Yan, N.; Chen, J. Fully biomass-derived polyurethane based on dynamic imine with self-healing, rapid degradability, and editable shape memory capabilities. Chem. Eng. J. 2024, 479, 147823. [Google Scholar] [CrossRef]
- Li, M.; Ding, H.; Yang, X.; Xu, L.; Xia, J.; Li, S. Preparation and properties of self-healing polyurethane elastomer derived from tung-oil-based polyphenol. ACS Omega 2019, 5, 529–536. [Google Scholar] [CrossRef]
- Song, Z.; Gao, F.; Zhang, W.; Zhong, J.; Wu, Y.; Liu, Y.; Gao, X.; Shen, L. Biobased polyurethane coatings with fast self-healing and tunable mechanical properties derived from curcumin and castor oil. Prog. Org. Coat. 2023, 183, 107816. [Google Scholar] [CrossRef]
- Hablot, E.; Matadi, R.; Ahzi, S.; Avérous, L. Renewable biocomposites of dimer fatty acid-based polyamides with cellulose fibres: Thermal, physical and mechanical properties. Compos. Sci. Technol. 2010, 70, 504–509. [Google Scholar] [CrossRef]
- ASTM D2572-19; Standard Test Method for Isocyanate Groups in Urethane Materials or Prepolymers. ASTM: West Conshohocken, PA, USA, 2019.
- ASTM D4274-23; Standard Test Method for the Determination of the Relative Density of a Material. ASTM: West Conshohocken, PA, USA, 2023.
- ASTM D974-22; Standard Test Method for Acid and Base Number by Color-Indicator Titration. ASTM: West Conshohocken, PA, USA, 2023.
- Koh, E.; Park, S. Self-anticorrosion performance efficiency of renewable dimer-acid-based polyol microcapsules containing corrosion inhibitors with two triazole groups. Prog. Org. Coat. 2017, 109, 61–69. [Google Scholar] [CrossRef]
- Ristić, I.S.; Vukić, N.; Cakić, S.; Simendić, V.; Ristić, O.; Budinski-Simendić, J. Synthesis and Characterisation of Polyester Based on Isosorbide and Butanedioic Acid. J. Polym. Environ. 2012, 20, 519–527. [Google Scholar] [CrossRef]
- Lima, A.M.F.; Castro, V.G.d.; Borges, R.S.; Silva, G.G. Electrical conductivity and thermal properties of functionalized carbon nanotubes/polyurethane composites. Polímeros 2012, 22, 117–124. [Google Scholar] [CrossRef]
- Zhao, P.; Wang, Y.; Zhu, J.; Hua, X.; Wen, Q. Characterization of graded polyurethane elastomer by FTIR. Sci. China Ser. B Chem. 2008, 51, 58–61. [Google Scholar] [CrossRef]
- Ludwick, A.; Aglan, H.; Abdalla, M.O.; Calhoun, M. Degradation behavior of an ultraviolet and hygrothermally aged polyurethane elastomer: Fourier transform infrared and differential scanning calorimetry studies. J. Appl. Polym. Sci. 2008, 110, 712–718. [Google Scholar] [CrossRef]
- Kim, H.N.; Lee, D.W.; Ryu, H.; Song, G.S.; Lee, D.S. Preparation and Characterization of Isosorbide-Based Self-Healable Polyurethane Elastomers with Thermally Reversible Bonds. Molecules 2019, 24, 1061. [Google Scholar] [CrossRef] [PubMed]
- Gao, W.; Bie, M.; Liu, F.; Chang, P.; Quan, Y. Self-Healable and Reprocessable Polysulfide Sealants Prepared from Liquid Polysulfide Oligomer and Epoxy Resin. ACS Appl. Mater. Interfaces 2017, 9, 15798–15808. [Google Scholar] [CrossRef] [PubMed]
- Kim, S.M.; Jeon, H.; Shin, S.H.; Park, S.A.; Jegal, J.; Hwang, S.Y.; Oh, D.X.; Park, J. Superior Toughness and Fast Self-Healing at Room Temperature Engineered by Transparent Elastomers. Adv. Mater. 2018, 30, 1705145. [Google Scholar] [CrossRef]
- Capelot, M.; Unterlass, M.M.; Tournilhac, F.; Leibler, L. Catalytic Control of the Vitrimer Glass Transition. ACS Macro Lett. 2012, 1, 789–792. [Google Scholar] [CrossRef] [PubMed]
- Xia, H.; Song, M.; Zhang, Z.; Richardson, M. Microphase separation, stress relaxation, and creep behavior of polyurethane nanocomposites. J. Appl. Polym. Sci. 2007, 103, 2992–3002. [Google Scholar] [CrossRef]
- Han, C.D. Rheology and Processing of Polymeric Materials: Volume 1: Polymer Rheology; Oxford University Press on Demand: New York, NY, USA, 2007; Volume 1. [Google Scholar]
- Lin, Y.; Yan, R.; Zhang, Y.; Yang, X.; Ding, H.; Xu, L.; Li, S.; Li, M. Synthesis of biobased polyphenols for preparing phenolic polyurethanes with self-healing properties. Polym. Test. 2022, 112, 107644. [Google Scholar] [CrossRef]
- Xu, B.; Yin, Q.; Han, F.; Cheng, J.; Zhao, J.; Zhang, J. A Bio-based healable/renewable polyurethane elastomer derived from L-Tyrosine/Vanillin/Dimer acid. Chem. Eng. Sci. 2022, 258, 117736. [Google Scholar] [CrossRef]
- Lee, U.-J.; Shin, S.-R.; Noh, H.; Song, H.-B.; Kim, J.; Lee, D.-S.; Kim, B.-G. Rationally designed eugenol-based chain extender for self-healing polyurethane elastomers. ACS Omega 2021, 6, 28848–28858. [Google Scholar] [CrossRef] [PubMed]
- Wool, R.P.; O’Connor, K.M. A theory crack healing in polymers. J. Appl. Phys. 1981, 52, 5953–5963. [Google Scholar] [CrossRef]
- Canadell, J.; Goossens, H.; Klumperman, B. Self-Healing Materials Based on Disulfide Links. Macromolecules 2011, 44, 2536–2541. [Google Scholar] [CrossRef]
- Barnes, H.; Hutton, J.; Walters, K. An Introduction to Rheology; Elsevier Science Publisher: Amsterdam, The Netherlands, 1989; pp. 12–14. [Google Scholar]
- Baird, D.G. First normal stress difference measurements for polymer melts at high shear rates in a slit-die using hole and exit pressure data. J. Non-Newton. Fluid. Mech. 2008, 148, 13–23. [Google Scholar] [CrossRef]
- Bair, S. The First Normal Stress Difference in a Shear-Thinning Motor Oil at Elevated Pressure. Tribol. Trans. 2015, 58, 654–659. [Google Scholar] [CrossRef]
- Mall-Gleissle, S.E.; Gleissle, W.; McKinley, G.H.; Buggisch, H. The normal stress behaviour of suspensions with viscoelastic matrix fluids. Rheol. Acta 2002, 41, 61–76. [Google Scholar] [CrossRef]
- Kharchenko, S.B.; Douglas, J.F.; Obrzut, J.; Grulke, E.A.; Migler, K.B. Flow-induced properties of nanotube-filled polymer materials. Nat. Mater. 2004, 3, 564–568. [Google Scholar] [CrossRef]












| Sample | Composition (Mole) | HC a (%) | Bio-Content b (wt.%) | Mn c (g/mol) | PDI d | |||
|---|---|---|---|---|---|---|---|---|
| DIS | C-PES | MDI | BD | |||||
| DIS-PU | 1 | - | 2 | 1 | 22.3 | 77.7 | 13,420 | 3.47 |
| C-PU | - | 1 | 2 | 1 | 22.8 | 77.2 | 17,290 | 2.74 |
| Sample | OHV a (mg KOH/g) | AV b (mg KOH/g) | Viscosity c (Pa∙s) | Tg d (°C) | Td e (°C) | M f (g/mol) | Mn g (g/mol) |
|---|---|---|---|---|---|---|---|
| DIS | 54.5 | 2.80 | 248 | −27.7 | 446 | 2058 | 2273 |
| C-PES | 56.4 | 0.30 | 16 | −60.1 | - | 1989 | 2020 |
| Sample | Healing Efficiency (%) | |||
|---|---|---|---|---|
| 1 h | 3 h | 6 h | ||
| Tensile Strength | DIS-PU | 92.3 | 98.3 | 98.5 |
| C-PU | 55.6 | 62.6 | 63.8 | |
| Elongation at break | DIS-PU | 86.8 | 112.1 | 136.7 |
| C-PU | 34.8 | 45.9 | 54.5 | |
| Sample | Healing Efficiency (%) | |||
|---|---|---|---|---|
| 1st Cycle | 2nd Cycle | 3rd Cycle | ||
| Tensile Strength | DIS-PU | 98.5 | 93.7 | 83.0 |
| C-PU | 63.8 | 65.2 | 62.3 | |
| Elongation at break | DIS-PU | 136.7 | 79.4 | 50.5 |
| C-PU | 52.5 | 52.1 | 47.3 | |
Disclaimer/Publisher’s Note: The statements, opinions and data contained in all publications are solely those of the individual author(s) and contributor(s) and not of MDPI and/or the editor(s). MDPI and/or the editor(s) disclaim responsibility for any injury to people or property resulting from any ideas, methods, instructions or products referred to in the content. |
© 2024 by the authors. Licensee MDPI, Basel, Switzerland. This article is an open access article distributed under the terms and conditions of the Creative Commons Attribution (CC BY) license (https://creativecommons.org/licenses/by/4.0/).
Share and Cite
Shin, S.-R.; Lee, D.-S. Thermally Healable Polyurethane Elastomers Based on Biomass Polyester Polyol from Isosorbide and Dimer Fatty Acid. Polymers 2024, 16, 3571. https://doi.org/10.3390/polym16243571
Shin S-R, Lee D-S. Thermally Healable Polyurethane Elastomers Based on Biomass Polyester Polyol from Isosorbide and Dimer Fatty Acid. Polymers. 2024; 16(24):3571. https://doi.org/10.3390/polym16243571
Chicago/Turabian StyleShin, Se-Ra, and Dai-Soo Lee. 2024. "Thermally Healable Polyurethane Elastomers Based on Biomass Polyester Polyol from Isosorbide and Dimer Fatty Acid" Polymers 16, no. 24: 3571. https://doi.org/10.3390/polym16243571
APA StyleShin, S.-R., & Lee, D.-S. (2024). Thermally Healable Polyurethane Elastomers Based on Biomass Polyester Polyol from Isosorbide and Dimer Fatty Acid. Polymers, 16(24), 3571. https://doi.org/10.3390/polym16243571

