Radiopaque Polyurethanes Containing Barium Sulfate: A Survey on Thermal, Rheological, Physical, and Structural Properties
Abstract
1. Introduction
2. Materials and Methods
2.1. Materials
2.2. Methods
2.2.1. Particle Characteristics
2.2.2. Fourier Transform Infrared (FTIR) Spectroscopy
2.2.3. Thermal Behavior
2.2.4. Rheological Tests
2.2.5. X-Radiography
2.2.6. X-Ray Microtomography
3. Results and Discussion
3.1. Fourier Transformed Infrared (FTIR) Spectroscopy
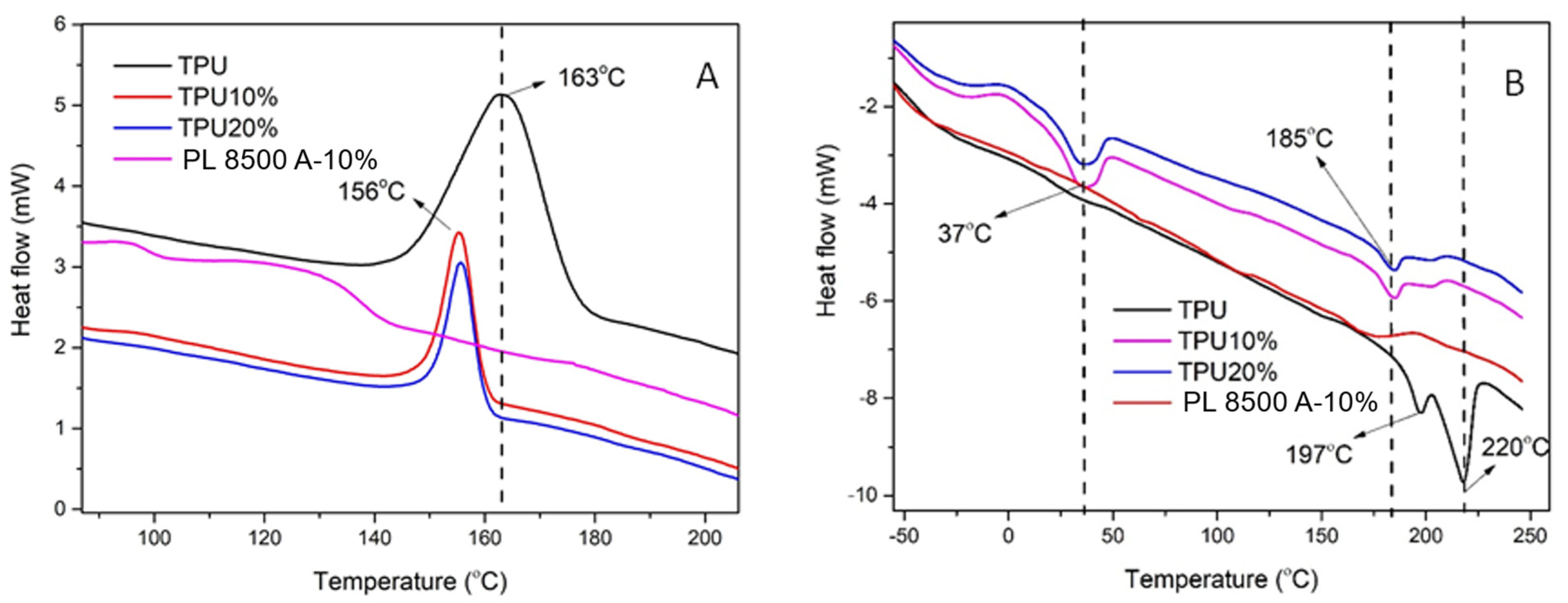
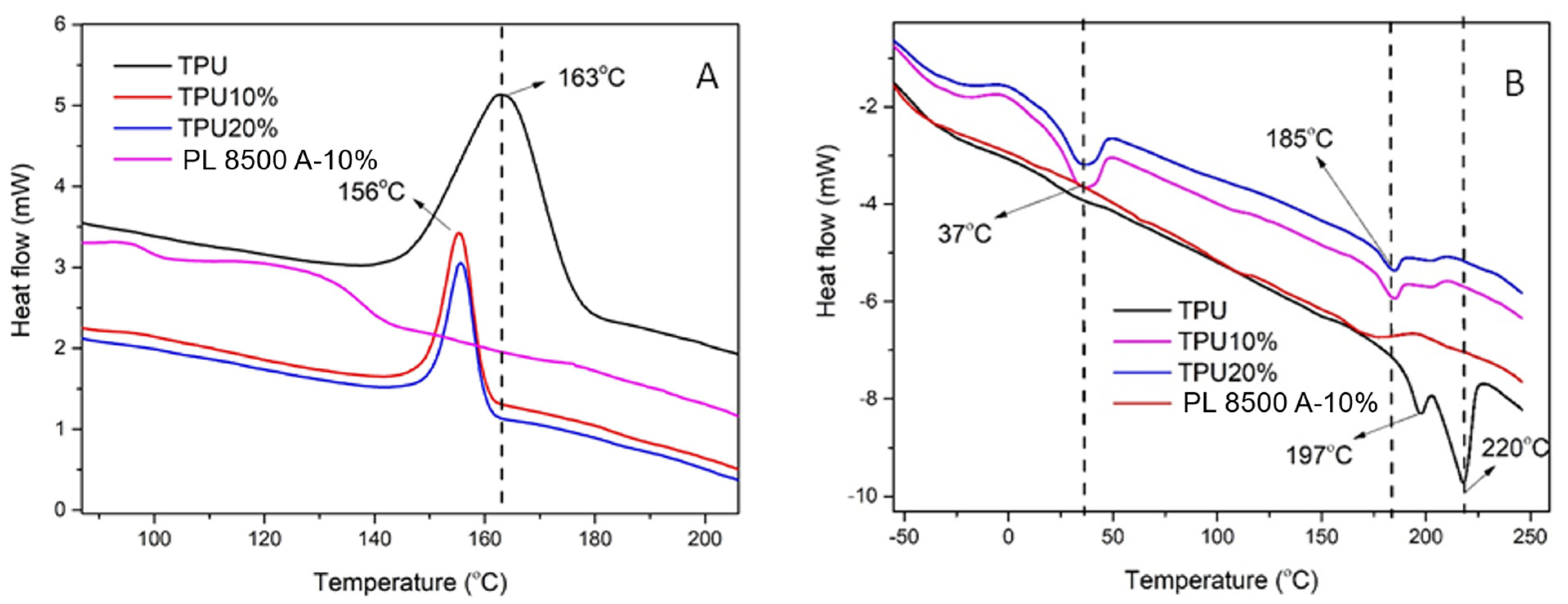
3.2. Thermal Behavior
3.3. Rheology
3.4. X-Radiography
3.5. X-Ray Microtomography
4. Conclusions
Supplementary Materials
Author Contributions
Funding
Institutional Review Board Statement
Informed Consent Statement
Data Availability Statement
Acknowledgments
Conflicts of Interest
References
- Farag, M.M. Recent trends on biomaterials for tissue regeneration applications: Review. J. Mater. Sci. 2023, 58, 527–558. [Google Scholar] [CrossRef]
- Hu, X.; Wang, T.; Li, F.; Mao, X. Surface modifications of biomaterials in different applied fields. RSC Adv. 2023, 13, 20495–20511. [Google Scholar] [CrossRef]
- Li, D.; Ma, Y.; Liu, S.; Liu, Y.; Ding, J. Biomaterials That Induce Immunogenic Cell Death. Small Methods 2023, 7, 2300204. [Google Scholar] [CrossRef]
- Al-Shalawi, F.D.; Ariff, A.H.M.; Jung, D.-W.; Ariffin, M.K.A.; Kim, C.L.S.; Brabazon, D.; Al-Osaimi, M.O. Biomaterials as Implants in the Orthopedic Field for Regenerative Medicine: Metal versus Synthetic Polymers. Polymers 2023, 15, 2601. [Google Scholar] [CrossRef]
- Can, A.; Zengın, B.; Gokceoglu, C. Comparison of Plaxis-2D and 3D Models of Improved Ground with Deep Mixing Columns. In Engineering Geology for a Habitable Earth: IAEG XIV Congress 2023 Proceedings, Chengdu, China; Wang, S., Huang, R., Azzam, R., Marinos, V.P., Eds.; IAEG 2023; Environmental Science and Engineering: Singapore, 2024. [Google Scholar]
- Gautam, S.; Bhatnagar, D.; Bansal, D.; Batra, H.; Goyal, N. Recent advancements in nanomaterials for biomedical implants. Biomed. Eng. Adv. 2022, 3, 100029. [Google Scholar] [CrossRef]
- Habibzadeh, F.; Sadraei, S.M.; Mansoori, R.; Chauhan, N.P.S.; Sargazi, G. Nanomaterials supported by polymers for tissue engineering applications: A review. Heliyon 2022, 8, e12193. [Google Scholar] [CrossRef]
- Constantino, V.R.L.; Figueiredo, M.P.; Magri, V.R.; Eulálio, D.; Cunha, V.R.R.; Alcântara, A.C.S.; Perotti, G.F. Biomaterials Based on Organic Polymers and Layered Double Hydroxides Nanocomposites: Drug Delivery and Tissue Engineering. Pharmaceutics 2023, 15, 413. [Google Scholar] [CrossRef]
- Salthouse, D.; Novalovic, K.; Hilkens, C.M.U.; Ferreira, A.M. Interplay between biomaterials and the immune system: Challenges and opportunities in regenerative medicine. Acta Biomater. 2023, 155, 1–18. [Google Scholar] [CrossRef]
- Dall Agnol, L.; Dias, F.T.G.; Ornaghi, H.L., Jr.; Sangermano, M.; Bianchi, O. UV-curable waterborne polyurethane coatings: A state-of-the-art and recent advances review. Prog. Org. Coat. 2021, 154, 106156. [Google Scholar] [CrossRef]
- Pires, P.C.; Mascarenhas-Melo, F.; Pedrosa, K.; Lopes, D.; Lopes, J.; Macário-Soares, A.; Peixoto, D.; Giram, P.S.; Veiga, F.; Paiva-Santos, A.C. Polymer-based biomaterials for pharmaceutical and biomedical applications: A focus on topical drug administration. Eur. Polym. J. 2023, 187, 111868. [Google Scholar] [CrossRef]
- Singer, A.; Markoutsa, E.; Limayem, A.; Mohapatra, S.; Mohapatra, S.S. Nanobiotechnology medical applications: Overcoming challenges through innovation. EuroBiotech J. 2018, 2, 146–160. [Google Scholar] [CrossRef]
- James, N.R.; Philip, J.; Jayakrishnan, A. Polyurethanes with radiopaque properties. Biomaterials 2006, 27, 160–166. [Google Scholar] [CrossRef]
- Jäkle, F. Advances in the Synthesis of Organoborane Polymers for Optical, Electronic, and Sensory Applications. Chem. Rev. 2010, 110, 3985–4022. [Google Scholar] [CrossRef]
- Sang, L.; Luo, D.; Wei, Z.; Qi, M. X-ray visible and doxorubicin-loaded beads based on inherently radiopaque poly(lactic acid)-polyurethane for chemoembolization therapy. Mater. Sci. Eng. C 2017, 75, 1389–1398. [Google Scholar] [CrossRef]
- Dawlee, S.; Jayabalan, M. Intrinsically radiopaque polyurethanes with chain extender 4,4-isopropylidenebis [2-(2,6-diiodophenoxy)ethanol] for biomedical applications. J. Biomater. Appl. 2014, 29, 1329–1342. [Google Scholar] [CrossRef]
- Kiran, S.; James, N.R.; Joseph, R.; Jayakrishnan, A. Synthesis and characterization of iodinated polyurethane with inherent radiopacity. Biomaterials 2009, 30, 5552–5559. [Google Scholar] [CrossRef]
- Kashyap, D.; Kumar, P.K.; Kanagaraj, S. 4D printed porous radiopaque shape memory polyurethane for endovascular embolization. Addit. Manuf. 2018, 24, 687–695. [Google Scholar] [CrossRef]
- Lu, G.; Kalyon, D.M.; Yilgör, I.; Yilgör, E. Rheology and processing of BaSO4-filled medical-grade thermoplastic polyurethane. Polym. Eng. Sci. 2004, 44, 1941–1948. [Google Scholar] [CrossRef]
- Koga, N.; Vyazivkin, S.; Burnham, A.K.; Favergeon, L.; Muravyev, N.V.; Pérez-Maqueda, L.A.; Saggese, C.; Sánchez-Jiménez, P.E. ICTAC Kinetics Committee recommendations for analysis of thermal decomposition kinetics. Thermochim. Acta 2023, 719, 179384. [Google Scholar] [CrossRef]
- Thinks Free Open-Source Thermokinetic Software. Available online: http://thinks.chemphys.ru/#1 (accessed on 4 October 2024).
- Dall Agnol, L.; Ornaghi, H.L., Jr.; Ernzen, J.R.; Faccio, M.; Bianchi, O. Production of a thermoplastic polyurethane/silver nanoparticles 3D filament with antiviral properties to combat SARS-CoV-2. Polym. Eng. Sci. 2024, 64, 130–141. [Google Scholar]
- Qu, L.; Tian, M.; Zhang, X.; Guo, X.; Zhu, S.; Han, G.; Li, C. Barium sulfate/regenerated cellulose composite fiber with X-ray radiation resistance. J. Ind. Text 2015, 45, 352–367. [Google Scholar] [CrossRef]
- Ourique, P.A.; Ornaghi, F.G.; Ornaghi, H.L., Jr.; Wanke, C.H.; Bianchi, O. Thermo-oxidative degradation kinetics of renewable hybrid polyurethane–urea obtained from air-oxidized soybean oil. J. Therm. Anal. Calorim. 2019, 137, 1969–1979. [Google Scholar] [CrossRef]
- Chen, X.; Cai, D.; Yang, Y.; Sun, Y.; Wang, B.; Yao, Z.; Jin, M.; Liu, J.; Reinmöller, M.; Badshah, S.L.; et al. Pyrolysis kinetics of bio-based polyurethane: Evaluating the kinetic parameters, thermodynamic parameters, and complementary product gas analysis using TG/FTIR and TG/GC-MS. Renew Energy 2023, 205, 490–498. [Google Scholar] [CrossRef]
- Piorkowska, E.; Rutledge, G.C. Handbook of Polymer Crystallization; Wiley & Sons: Hoboken, NJ, USA, 2013. [Google Scholar]
- Jin, Y. From ‘glass basins’ to ‘glass barriers’. Nat. Sci. Rev. 2024, 11, nwae157. [Google Scholar] [CrossRef]
- Ghosh, S.K. Isotropic-Nematic Transition in Liquid Crystals. In Recent Developments in Condensed Matter Physics; Devreese, J.T., Lemmens, L.F., Van Doren, V.E., Van Royen, J., Eds.; Springer: Boston, MA, USA, 1981. [Google Scholar]
- Somdee, P.; Lassú-Kuknyó, T.; Kónya, C.; Szabó, T.; Marossy, K. Thermal analysis of polyurethane elastomers matrix with different chain extender contents for thermal conductive application. J. Therm. Anal. Calorim. 2019, 138, 1003–1010. [Google Scholar] [CrossRef]
- Kultys, A.; Puszka, A. Transparent poly(thiourethane-urethane)s based on dithiol chain extender. J. Therm. Anal. Calorim. 2014, 117, 1427–1439. [Google Scholar] [CrossRef]
- Ornaghi, H.L., Jr.; Nohales, A.; Asensio, M.; Gómez, C.M.; Bianchi, O. Effect of chain extenders on the thermal and thermodegradation behavior of carbonatodiol thermoplastic polyurethane. Polym. Bull. 2024, 81, 2267–2286. [Google Scholar] [CrossRef]
- Criado, J.M.; Málek, J.; Gotor, F.J. The applicability of the Šesták-Berggren kinetic equation in constant rate thermal analysis (CRTA). Thermochim. Acta 1990, 158, 205–213. [Google Scholar] [CrossRef]
- Torres-García, E.; Ramírez-Verduzco, L.F.; Aburto, J. Pyrolytic degradation of peanut shell: Activation energy dependence on the conversion. Waste Manag. 2020, 106, 203–212. [Google Scholar] [CrossRef]
- Blaine, R.L.; Kissinger, H.E. Homer Kissinger and the Kissinger equation. Thermochim. Acta 2012, 540, 1–6. [Google Scholar] [CrossRef]
- Vyazovkin, S. Kissinger Method in Kinetics of Materials: Things to Beware and Be Aware of. Molecules 2020, 25, 2813. [Google Scholar] [CrossRef]
- Vyazovkin, S. Determining Preexponential Factor in Model-Free Kinetic Methods: How and Why? Molecules 2021, 26, 3077. [Google Scholar] [CrossRef]
- Pérez-Maqueda, L.A.; Sácnhez-Jiménez, P.E. Combined Kinetic Analysis of Solid-State Reactions: A Powerful Tool for the Simultaneous Determination of Kinetic Parameters and the Kinetic Model without Previous Assumptions on the Reaction Mechanism. J. Phys. Chem. A 2006, 45, 12456–12462. [Google Scholar] [CrossRef]
- Galwey, A.K.; Brown, M.E. Arrhenius parameters and compensation behaviour in solid-state decompositions. Thermochim. Acta 1997, 300, 107–115. [Google Scholar] [CrossRef]
- Koga, N.; Malek, J.; Sestak, J.; Tanaka, H. Data Treatment in Non-isothermal Kinetics and Diagnostic Limits of Phenomenological Models. Netsu Sokutei 1993, 20, 210–223. [Google Scholar]
- Munteanu, G.; Segal, E. Sestak–Berggren function in temperature-programmed reduction. J. Therm. Anal. Calor. 2010, 101, 89–95. [Google Scholar] [CrossRef]
- Šimon, P. Fourty years of the Šesták–Berggren equation. Thermochim. Acta 2011, 520, 156–157. [Google Scholar] [CrossRef]
- Mansfield, E. Recent advances in thermal analysis of nanoparticles: Methods, models and kinetics. In Modeling, Characterization, and Production of Nanomaterials; Electronics, Photonics and energy Applications, Woodhead Publishing Series in Electronic and optical Materials; Elsevier: Amsterdam, The Netherlands, 2015; pp. 167–178. [Google Scholar]
- Chrissafis, K.; Bikiaris, D. Can nanoparticles really enhance thermal stability of polymers? Part I: An overview on thermal decomposition of addition polymers. Thermochim. Acta 2011, 523, 1–24. [Google Scholar] [CrossRef]
- Karami, M.H.; Kalaee, M.; Khajavi, R.; Moradi, O.; Zaarei, D. Thermal degradation kinetics of epoxy resin modified with elastomeric nanoparticles. Adv. Compos. Hybrid Mater. 2022, 5, 390–401. [Google Scholar] [CrossRef]
- Qiao, J. Elastomeric nano-particle and its applications in polymer modifications. Adv. Ind. Eng. Polym. Res. 2020, 3, 47–59. [Google Scholar] [CrossRef]
- Pistor, V.; Ornaghi, F.G.; Ornaghi Jr, H.L.; Zattera, A.J. Degradation kinetic of epoxy nanocomposites containing different percentage of epoxycyclohexyl—POSS. Polym. Compos. 2012, 33, 1224–1232. [Google Scholar] [CrossRef]
- Vyazovkin, S.; Burnham, A.K.; Favergeon, L.; Koga, N.; Moukhina, E.; Pérez-Maqueda, L.A.; Sbirrazzuoli, N. ICTAC Kinetics Committee recommendations for analysis of multi-step kinetics. Thermochim. Acta 2020, 689, 178597. [Google Scholar] [CrossRef]
- Jóźwiak, B.; Boncel, S. Rheology of ionanofluids—A review. J. Mol. Liq. 2020, 302, 112568. [Google Scholar] [CrossRef]
- Beris, A.N.; Horner, J.S.; Jariwala, S.; Armstrong, M.J.; Wagner, N.J. Recent advances in blood rheology: A review. Soft. Matter. 2021, 17, 10591–10613. [Google Scholar] [CrossRef]
- Yu, L.-M.; Huang, H.-X. Temperature and shear dependence of rheological behavior for thermoplastic polyurethane nanocomposites with carbon nanofillers. Polymer 2022, 247, 124791. [Google Scholar] [CrossRef]













Disclaimer/Publisher’s Note: The statements, opinions and data contained in all publications are solely those of the individual author(s) and contributor(s) and not of MDPI and/or the editor(s). MDPI and/or the editor(s) disclaim responsibility for any injury to people or property resulting from any ideas, methods, instructions or products referred to in the content. |
© 2024 by the authors. Licensee MDPI, Basel, Switzerland. This article is an open access article distributed under the terms and conditions of the Creative Commons Attribution (CC BY) license (https://creativecommons.org/licenses/by/4.0/).
Share and Cite
Júnior, H.L.O.; Duchemin, B.; Azzaye, S.; Soares, M.R.F.; Schneider, B.; Romoaldo, C.H. Radiopaque Polyurethanes Containing Barium Sulfate: A Survey on Thermal, Rheological, Physical, and Structural Properties. Polymers 2024, 16, 3086. https://doi.org/10.3390/polym16213086
Júnior HLO, Duchemin B, Azzaye S, Soares MRF, Schneider B, Romoaldo CH. Radiopaque Polyurethanes Containing Barium Sulfate: A Survey on Thermal, Rheological, Physical, and Structural Properties. Polymers. 2024; 16(21):3086. https://doi.org/10.3390/polym16213086
Chicago/Turabian StyleJúnior, Heitor Luiz Ornaghi, Benoit Duchemin, Sanae Azzaye, Márcio Ronaldo Farias Soares, Bárbara Schneider, and Carlos Henrique Romoaldo. 2024. "Radiopaque Polyurethanes Containing Barium Sulfate: A Survey on Thermal, Rheological, Physical, and Structural Properties" Polymers 16, no. 21: 3086. https://doi.org/10.3390/polym16213086
APA StyleJúnior, H. L. O., Duchemin, B., Azzaye, S., Soares, M. R. F., Schneider, B., & Romoaldo, C. H. (2024). Radiopaque Polyurethanes Containing Barium Sulfate: A Survey on Thermal, Rheological, Physical, and Structural Properties. Polymers, 16(21), 3086. https://doi.org/10.3390/polym16213086

