Impact of Shape Transformation of Programmable 3D Structures on UV Print Quality
Abstract
1. Introduction
2. Materials and Methods
2.1. Materials and Printing Procedures
2.2. Material Characterization
2.2.1. The Effect of the Printing Parameters on the Shape Transformation
2.2.2. Surface Properties
2.2.3. Ink Adhesion
2.2.4. Colour Differences
2.2.5. Evaluation of the Geometric Print Quality of Graphic Elements
2.2.6. Surface and Structure Morphology
3. Results
3.1. Results of the Effect of Printing Parameters on the Shape Transformation
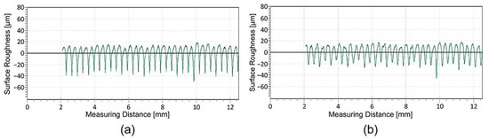
3.2. Surface Roughness Measurements
3.3. Surface Gloss
3.4. Printing Ink Adhesion
3.5. Results of Colour Differences
3.6. Results of Evaluation of the Geometric Print Quality of Graphic Elements
3.7. Visualization of Surface and Structural Morphology
4. Conclusions
Author Contributions
Funding
Institutional Review Board Statement
Data Availability Statement
Conflicts of Interest
References
- Pivar, M.; Gregor-Svetec, D.; Muck, D. Effect of Printing Process Parameters on the Shape Transformation Capability of 3D Printed Structures. Polymers 2022, 14, 117. [Google Scholar] [CrossRef] [PubMed]
- Pivar, M.; Vrabič-Brodnjak, U.; Leskovšek, M.; Gregor-Svetec, D.; Muck, D. Material Compatibility in 4D Printing: Identifying the Optimal Combination for Programmable Multi-Material Structures. Polymers 2024, 16, 2138. [Google Scholar] [CrossRef] [PubMed]
- Joshi, S.; Rawat, K.; Karunakaran, C.; Rajamohan, V.; Mathew, A.T.; Koziol, K.; Thakur, V.K.; Balan, A.S.S. 4D printing of materials for the future: Opportunities and challenges. Appl. Mater. Today 2020, 18, 100490. [Google Scholar] [CrossRef]
- Tibbits, S. 4D Printing: Multi-Material Shape Change. Archit. Des. 2014, 84, 116–121. [Google Scholar] [CrossRef]
- Ge, Q.; Qi, H.J.; Dunn, M.L. Active materials by four-dimension printing. Appl. Phys. Lett. 2013, 103, 131901. [Google Scholar] [CrossRef]
- Wu, J.; Yuan, C.; Ding, Z.; Isakov, M.; Mao, Y.; Wang, T.; Dunn, M.L.; Qi, H.J. Multi-shape active composites by 3D printing of digital shape memory polymers. Sci. Rep. 2016, 6, 24224. [Google Scholar] [CrossRef]
- Wang, Y.; Li, X. An accurate finite element approach for programming 4D-printed self-morphing structures produced by fused deposition modeling. Mech. Mater. 2020, 151, 103628. [Google Scholar] [CrossRef]
- Momeni, F.; Mehdi Hassani, S.M.; Liu, X.; Ni, J. A review of 4D printing. Mater. Des. 2017, 122, 42–79. [Google Scholar] [CrossRef]
- Sharma, A.; Rai, A. Fused deposition modelling (FDM) based 3D & 4D Printing: A state of art review. Mater. Today Proc. 2022, 62, 367–372. [Google Scholar] [CrossRef]
- Samal, B.B.; Jena, A.; Varshney, S.K.; Kumar, C.S. FDM 4D printing: A low-cost approach of shape programming and assessing the shape memory properties using angle measurement methods in hot water actuation testing apparatus. Mater. Today Proc. 2023, 52, 23–32. [Google Scholar] [CrossRef]
- Lee, J.Y.; An, J.; Chua, C.K. Fundamentals and applications of 3D printing for novel materials. Appl. Mater. Today 2017, 7, 120–133. [Google Scholar] [CrossRef]
- Singh, S.; Ramakrishna, S.; Singh, R. Material issues in additive manufacturing: A review. J. Manuf. Process. 2017, 25, 185–200. [Google Scholar] [CrossRef]
- Bellehumeur, C.; Li, L.; Sun, Q.; Gu, P. Modeling of Bond Formation Between Polymer Filaments in the Fused Deposition Modeling Process. J. Manuf. Process. 2004, 6, 170–178. [Google Scholar] [CrossRef]
- Montez, M.; Willis, K.; Rendler, H.; Marshall, C.; Rubio, E.; Rajak, D.K.; Rahman, M.H.; Menezes, P.L. Fused Deposition Modeling (FDM): Processes, Material Properties, and Applications. In Tribology of Additively Manufactured Materials: Fundamentals, Modeling, and Applications; Elsevier: Amsterdam, The Netherlands, 2022; pp. 137–163. [Google Scholar] [CrossRef]
- Turner, N.; Goodwine, B.; Sen, M. A review of origami applications in mechanical engineering. Proc. Inst. Mech. Eng. Part. C J. Mech. Eng. Sci. 2016, 230, 2345–2362. [Google Scholar] [CrossRef]
- Liu, Q.; Ye, H.; Cheng, J.; Li, H.; He, X.; Jian, B.; Ge, Q. Stiffness-Tunable Origami Structures via Multimaterial Three-Dimensional Printing. Acta Mech. Solida Sin. 2023, 36, 582–593. [Google Scholar] [CrossRef]
- Mehrpouya, M.; Huang, W.M. Origami-inspired 4D printing. Smart Mater. Addit. Manuf. 2022, 1, 373–394. [Google Scholar] [CrossRef]
- Shin, D.H.; Jung, J.; Chang, B.H. The psychology behind QR codes: User experience perspective. Comput. Hum. Behav. 2012, 28, 1417–1426. [Google Scholar] [CrossRef]
- Bal, E.; Bicen, H. Computer hardware course application through augmented reality and QR code integration: Achievement levels and views of students. In Proceedings of the 12th International Conference on Application of Fuzzy Systems and Soft Computing, Vienna, Austria, 29–30 August 2016. [Google Scholar] [CrossRef]
- Fino, E.R.; Martín-Gutiérrez, J.; Fernández, M.D.M.; Davara, E.A. Interactive Tourist Guide: Connecting Web 2.0, Augmented Reality and QR Codes. Procedia Comput. Sci. 2013, 25, 338–344. [Google Scholar] [CrossRef]
- Novaković, D.; Kašiković, N.; Vladić, V.; Pál, M. 15—Screen Printing. In Printing on Polymers: Fundamentals and Applications; Izdebska, J., Thomas, S., Eds.; William Andrew Publishing: Norwich, NY, USA, 2016; pp. 247–261. [Google Scholar] [CrossRef]
- Wögerer, C.; Mühlberger, M.; Ikeda, M.; Kastner, J.; Chitturi, N.C.; Pichler, A. Inkjet Printings on FFF printed curved surfaces. In Proceedings of the Fraunhofer Direct Digital Manufacturing Conference, Berlin, Germany, 14–15 March 2018. [Google Scholar]
- Sang, R.; Manley, A.J.; Wu, Z.; Feng, X. Digital 3D wood texture: UV-curable inkjet printing on board surface. Coatings 2020, 10, 1144. [Google Scholar] [CrossRef]
- Roach, D.J.; Roberts, C.; Wong, J.; Kuang, X.; Kovitz, J.; Zhang, Q.; Qi, H.J. Surface modification of fused filament fabrication (FFF) 3D printed substrates by inkjet printing polyimide for printed electronics. Addit. Manuf. 2020, 36, 101544. [Google Scholar] [CrossRef]
- Trček Pečak, T. Kopistika: Univerzitetni E-učbenik Pri Predmetu Kopistika I; Univerza V Ljubljani, Akademija ZA Likovno Umetnost in Oblikovanje: Ljubljana, Ljubljana, 2020; Available online: http://www.dlib.si/?URN=URN:NBN:SI:DOC-LN5W2C6T (accessed on 5 September 2024).
- Scotton, R.S.; Guerrini, L.M.; Oliveira, M.P. Evaluation of solvent-based and UV-curing inkjet inks on the adhesion and printing quality of different aircraft surfaces coating. Prog. Org. Coat. 2021, 158, 106389. [Google Scholar] [CrossRef]
- Yuan, J.; Chen, G.; Li, H.; Prautzsch, H.; Xiao, K. Accurate and Computational: A review of color reproduction in Full-color 3D printing. Mater. Des. 2021, 209, 109943. [Google Scholar] [CrossRef]
- Silapasuphakornwong, P.; Punpongsanon, P.; Panichkriangkrai, C.; Sueeprasan, S.; Uehira, K. Color Reproduction Framework for Inkjet FDM 3D Printers. In Proceedings of the Eurographics’2021, Vienna, Austria, 3–7 May 2021. [Google Scholar] [CrossRef]
- Sang, R.J.; Yang, S.Q.; Fan, Z.X. Effects of MDF Substrate Surface Coating Process on UV Inkjet Print Quality. Coatings 2023, 13, 970. [Google Scholar] [CrossRef]
- Plazonic, I.; Bates, I.; Barbaric-Mikocevic, Z. The Effect of Straw Fibers in Printing Papers on Dot Reproduction Attributes, as Realized by UV Inkjet Technology. BioResources 2016, 11, 5033–5049. [Google Scholar] [CrossRef]
- Taufik, M.; Jain, P.K. Laser assisted finishing process for improved surface finish of fused deposition modelled parts. J. Manuf. Process. 2017, 30, 161–177. [Google Scholar] [CrossRef]
- Adel, M.; Abdelaal, O.; Gad, A.; Nasr, A.B.; Khalil, A. Polishing of fused deposition modeling products by hot air jet: Evaluation of surface roughness. J. Mater. Process. Technol. 2018, 251, 73–82. [Google Scholar] [CrossRef]
- Singh, R.; Singh, S.; Singh, I.P.; Fabbrocino, F.; Fraternali, F. Investigation for surface finish improvement of FDM parts by vapor smoothing process. Compos. Part B Eng. 2017, 111, 228–234. [Google Scholar] [CrossRef]
- Garg, A.; Bhattacharya, A.; Batish, A. Chemical vapor treatment of ABS parts built by FDM: Analysis of surface finish and mechanical strength. Int. J. Adv. Manuf. Technol. 2017, 89, 2175–2191. [Google Scholar] [CrossRef]
- Kuo, C.C.; Chen, C.M.; Chang, S.X. Polishing mechanism for ABS parts fabricated by additive manufacturing. Int. J. Adv. Manuf. Technol. 2017, 91, 1473–1479. [Google Scholar] [CrossRef]
- Chohan, J.S.; Singh, R. Pre and post processing techniques to improve surface characteristics of FDM parts: A state of art review and future applications. Rapid Prototyp. J. 2017, 23, 495–513. [Google Scholar] [CrossRef]
- Izdebska-Podsiadły, J. Effect of Plasma Surface Modification on Print Quality of Biodegradable PLA Films. Appl. Sci. 2021, 11, 8245. [Google Scholar] [CrossRef]
- Cerbe, F.; Mahlstedt, D.; Sinapius, M.; Hühne, C.; Böl, M. Relationship between programming stress and residual strain in FDM 4D printing. Prog. Addit. Manuf. 2024, 9, 123–132. [Google Scholar] [CrossRef]
- Wang, F.; Luo, F.; Huang, Y.; Cao, X.; Yuan, C. 4D printing via multispeed fused deposition modeling. Adv. Mater. Technol. 2023, 8, 2201383. [Google Scholar] [CrossRef]
- Ansaripour, A.; Heidari-Rarani, M.; Mahshid, R.; Bodaghi, M. Influence of extrusion 4D printing parameters on the thermal shape-morphing behaviors of polylactic acid (PLA). Int. J. Adv. Manuf. Technol. 2024, 132, 1827–1842. [Google Scholar] [CrossRef]
- ISO 4287:1997; Geometrical Product Specifications (GPS)—Surface Texture: Profile Method—Terms, Definitions and Surface Texture Parameters. International Organization for Standardization: Geneva, Switzerland, 1997.
- ISO 2813:2014; Paints and Varnishes—Determination of Gloss Value at 20°, 60° and 85°. International Organization for Standardization: Geneva, Switzerland, 2014.
- ISO 2409:2013; Paints and Varnishes—Cross-Cut Test. International Organization for Standardization: Geneva, Switzerland, 2013.
- Wojciech, M.; Maciej, T. Color Difference Delta E—A Survey. Mach. Graph. Vis. 2011, 20, 383–411. [Google Scholar]
- Valdec, D.; Hajdek, K.; Majnarić, I.; Čerepinko, D. Influence of printing substrate on quality of line and text reproduction in flexography. Appl. Sci. 2021, 11, 7827. [Google Scholar] [CrossRef]
- Novaković, D.; Stančić, M.; Karlović, I.; Kašiković, N.; Vukmirović, V.; Milošević, R. Influence of surface roughness on print quality on digitally printed self adhesive foils. Print. Media Technol. 2013, 2, 67–76. [Google Scholar]
- Valdec, D.; Miljković, P.; Čerepinko, D. The Impact of Top Dot Shapes of the Printing Plate on Dot Formation in Flexography. Teh. Vjesn. 2018, 25, 596–602. [Google Scholar] [CrossRef]
- Ferreira, T.; Rasband, W. ImageJ User Guide. IJ 1.46r; National Institutes of Health: Washington, DC, USA, 2012. [Google Scholar]
- Wang, G.; Tao, Y.; Capunaman, O.B.; Yang, H.; Yao, L. A-line: 4D printing morphing linear composite structures. In Proceedings of the 2019 CHI Conference on Human Factors in Computing Systems, Glasgow, UK, 4–9 May 2019; pp. 1–12. [Google Scholar] [CrossRef]
- Wang, Y.; Li, X. 4D-Printed Bi-Material Composite Laminate for Manufacturing Reversible Shape-Change Structures. Compos. B Eng. 2021, 219, 108918. [Google Scholar] [CrossRef]
- Van Manen, T.; Janbaz, S.; Zadpoor, A.A. Programming 2D/3D Shape-Shifting with Hobbyist 3D Printers. Mater. Horiz. 2017, 4, 1064–1069. [Google Scholar] [CrossRef]
- Hu, G.; Bodaghi, M. Direct Fused Deposition Modeling 4D Printing and Programming of Thermoresponsive Shape Memory Polymers with Autonomous 2D-to-3D Shape Transformations. Adv. Eng. Mater. 2023, 25, 2300334. [Google Scholar] [CrossRef]
- Žigon, J.; Kariž, M.; Pavlič, M. Surface Finishing of 3D-Printed Polymers with Selected Coatings. Polymers 2020, 12, 2797. [Google Scholar] [CrossRef] [PubMed]
- Yong, Q.; Chang, J.; Liu, Q.; Jiang, F.; Wei, D.; Li, H. Matt Polyurethane Coating: Correlation of Surface Roughness on Measurement Length and Gloss. Polymers 2020, 12, 326. [Google Scholar] [CrossRef] [PubMed]
- Simon, J.; Langenscheidt, A. Curing Behavior of a UV-Curable Inkjet Ink: Distinction between Surface-Cure and Deep-Cure Performance. J. Appl. Polym. Sci. 2020, 137, 49218. [Google Scholar] [CrossRef]
- Rotar, B.; Elesini, U.S.; Hajdu, P.; Leskovar, B.; Urbas, R. Morphological and Dimensional Properties of Unmodified and Modified Braille Dots Produced with UV Inkjet Printing. Mater. Technol. 2020, 54, 879–887. [Google Scholar] [CrossRef]














| Sample | Printing Temperature [°C] | Build Plate Temperature [°C] | Printing Speed [mm/s] | Fan Speed [%] | Infill Pattern |
|---|---|---|---|---|---|
| HS | 195 | 30 | 50 | 100 | Aligned Rectilinear |
| LS | 225 | 80 | 20 | 0 | Rectilinear |
| Sample | Length [%] | Width [%] | Height [%] |
|---|---|---|---|
| HS | –14.63 (±0.396) | 5.19 (±0.432) | 13.10 (±0.174) |
| LS | –0.29 (±0.059) | 0.16 (±0.302) | 0.53 (±0.447) |
| Sample | Measuring Direction | Ra [µm] | |||
|---|---|---|---|---|---|
| Material before Activation | Material after Activation | UV Ink before Activation | UV Ink after Activation | ||
| HS | Parallel | 0.767 (±0.232) | 1.507 (±0.972) | 1.561 (±0.232) | 5.292 (±0.571) |
| Perpendicular | 10.647 (±0.980) | 12.096 (±1.021) | 11.386 (±1.196) | 11.430 (±0.307) | |
| LS | Parallel | 1.045 (±0.180) | 1.110 (±0.244) | 2.175 (±0.289) | 2.905 (±0.367) |
| Perpendicular | 12.477 (±4.164) | 12.079 (±1.869) | 13.582 (±3.608) | 13.634 (±2.141) | |
| Parameters | Reference Values | Angle of Printed Lines | ||
|---|---|---|---|---|
| 0° | 45° | 90° | ||
| Perimeter [mm] | 10.6 | 16.25 (±0.603) | 18.43 (±0.347) | 19.81 (±0.305) |
| Area [mm2] | 1.5 | 2.01 (±0.067) | 1.96 (±0.015) | 2.00 (±0.028) |
| Sample | Roundness | |
|---|---|---|
| Without Thermal Activation | Thermally Activated | |
| HS | 0.954 (±0.012) | 0.910 (±0.017) |
| LS | 0.957 (±0.016) | 0.951 (±0.019) |
Disclaimer/Publisher’s Note: The statements, opinions and data contained in all publications are solely those of the individual author(s) and contributor(s) and not of MDPI and/or the editor(s). MDPI and/or the editor(s) disclaim responsibility for any injury to people or property resulting from any ideas, methods, instructions or products referred to in the content. |
© 2024 by the authors. Licensee MDPI, Basel, Switzerland. This article is an open access article distributed under the terms and conditions of the Creative Commons Attribution (CC BY) license (https://creativecommons.org/licenses/by/4.0/).
Share and Cite
Pivar, M.; Muck, D. Impact of Shape Transformation of Programmable 3D Structures on UV Print Quality. Polymers 2024, 16, 2685. https://doi.org/10.3390/polym16192685
Pivar M, Muck D. Impact of Shape Transformation of Programmable 3D Structures on UV Print Quality. Polymers. 2024; 16(19):2685. https://doi.org/10.3390/polym16192685
Chicago/Turabian StylePivar, Matej, and Deja Muck. 2024. "Impact of Shape Transformation of Programmable 3D Structures on UV Print Quality" Polymers 16, no. 19: 2685. https://doi.org/10.3390/polym16192685
APA StylePivar, M., & Muck, D. (2024). Impact of Shape Transformation of Programmable 3D Structures on UV Print Quality. Polymers, 16(19), 2685. https://doi.org/10.3390/polym16192685

