Enhancement of the Elastocaloric Performance of Natural Rubber by Forced Air Convection
Abstract
1. Introduction
2. Materials and Methods
2.1. Sample
2.2. Experimental Setup
2.3. Elastocaloric Cycling Protocol
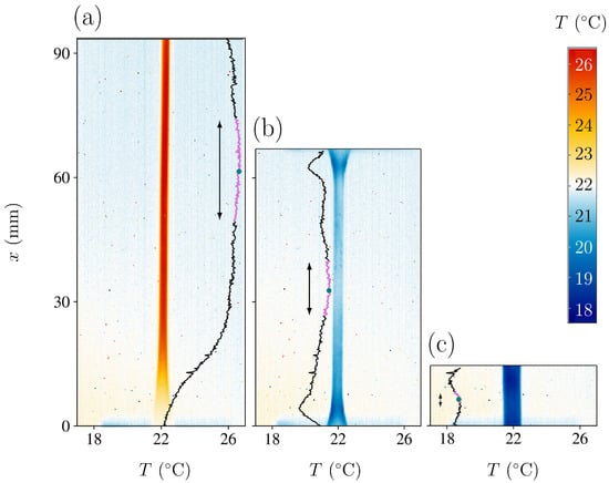
2.4. Sample Temperature Determination
3. Results and Discussion
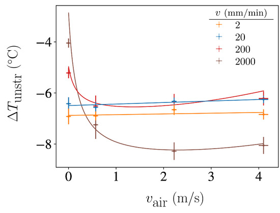
3.1. Elastocaloric Adiabatic Undercooling
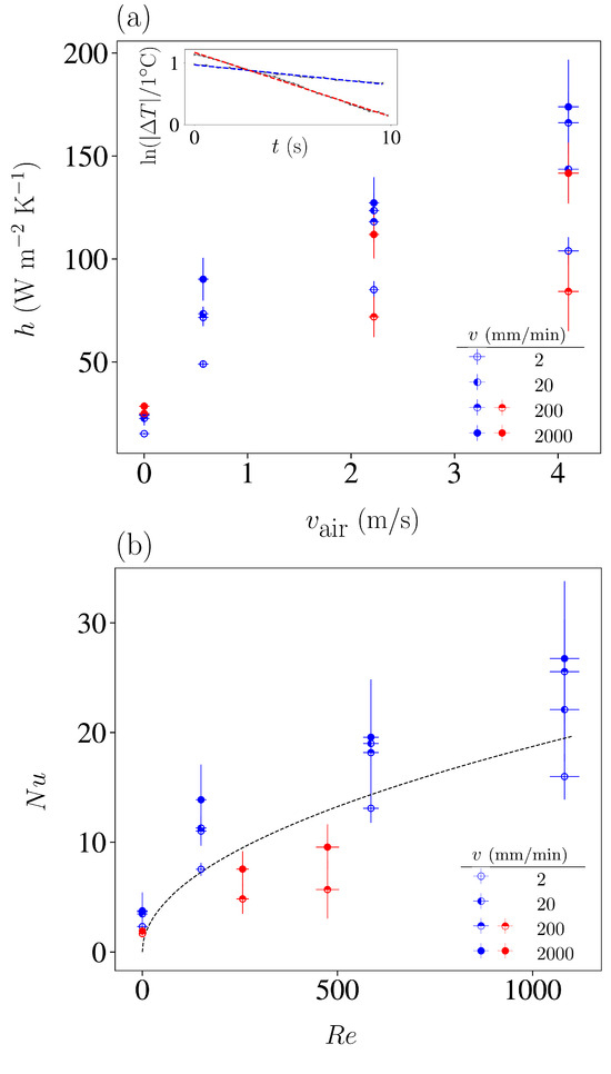
3.2. Newton Heat Transfer Coefficient
4. Conclusions
Author Contributions
Funding
Data Availability Statement
Acknowledgments
Conflicts of Interest
Nomenclature
| difference between sample surface temperature and room temperature | |
| minimum difference between sample surface temperature and room temperature after fast unstretching | |
| sample elongation | |
| thermal conductivity | |
| local stretching ratio in the neck center | |
| total stretching ratio | |
| density | |
| characteristic time constant for thermal relaxation | |
| A | sample neck surface |
| a | sample neck length |
| initial sample neck surface | |
| b | sample neck width |
| c | sample neck thickness |
| specific heat capacity of natural rubber | |
| d | fan-sample distance |
| F | force |
| h | heat transfer coefficient |
| initial grip-to-grip length | |
| characteristic length measuring the neck volume-to-surface ratio | |
| Nusselt number | |
| Prandtl number | |
| Q | heat |
| Reynolds number | |
| T | average surface temperature of the sample |
| t | time |
| room temperature | |
| initial temperature | |
| V | sample neck volume |
| v | stretching velocity |
| initial sample neck volume | |
| average air velocity | |
| w | forced convection characteristic length |
References
- Mañosa, L.; Planes, A. Materials with Giant Mechanocaloric Effects: Cooling by Strength. Adv. Mater. 2017, 29, 1603607. [Google Scholar] [CrossRef] [PubMed]
- Ahcin, Z.; Dall’Olio, S.; Zerovnik, A.; Baskovic, U.Z.; Porenta, L.; Kabirifar, P.; Cerar, J.; Zupan, S.; Brojan, M.; Klemenc, J.; et al. High-performance cooling and heat pumping based on fatigue-resistant elastocaloric effect in compression. Joule 2023, 6, 2338–2357. [Google Scholar] [CrossRef] [PubMed]
- Qian, S.; Catalini, D.; Muehlbauer, J.; Liu, B.; Mevada, H.; Hou, H.; Hwang, Y.; Radermacher, R.; Takeuchi, I. High-performance multimode elastocaloric cooling system. Science 2023, 380, 722–727. [Google Scholar] [CrossRef] [PubMed]
- Zhou, G.; Zhu, Y.; Yao, S.; Sun, Q. Giant temperature span and cooling power in elastocaloric regenerator. Joule 2023, 7, 2003–2015. [Google Scholar] [CrossRef]
- Guyomar, D.; Li, Y.; Sebald, G.; Cottinet, P.J.; Ducharne, B.; Capsal, J.F. Elastocaloric modeling of natural rubber. Appl. Therm. Eng. 2013, 57, 33–38. [Google Scholar] [CrossRef]
- Xie, Z.; Sebald, G.; Guyomar, D. Comparison of direct and indirect measurement of the elastocaloric efect in natural rubber. Appl. Phys. Lett. 2016, 108, 041901. [Google Scholar] [CrossRef]
- Candau, N.; Vives, E.; Fernández-Renna, A.I.; Maspoch, M. Elastocaloric effect in vulcanized natural rubber and natural/wastes rubber blends. Polymer 2021, 236, 124309. [Google Scholar] [CrossRef]
- James, H.M.; Guth, E. Theory of Elastic Properties of Rubber. J. Chem. Phys. 1943, 11, 455. [Google Scholar] [CrossRef]
- Gu, Q.; Zaïri, F.; Guo, X. Thermodynamics and mechanics of stretch-induced crystallization in rubbers. Phys. Rev. E 2018, 97, 052501. [Google Scholar] [CrossRef]
- Dart, S.L.; Anthony, R.L.; Guth, E. Rise of Temperature on Fast Stretching of Synthetics and Natural Rubbers. Ind. Eng. Chem. 1942, 34, 1340–1342. [Google Scholar] [CrossRef]
- Mei, G.; Li, J.; Feng, D.; Qian, D.; Liu, Z. Twistocaloric modeling of elastomer fibers and experimental validation. Macromol. Rapid Commun. 2023, 44, 2300275. [Google Scholar] [CrossRef] [PubMed]
- Liu, B.; Wang, Y.; Zhu, S.; Theodorakis, P.; Song, F.; Rachid, B.; Chen, K. A Lower Temperature Difference of The Elastocaloric Effect by Natural Rubber. Res. Sq. 2023, 155, 163–172. [Google Scholar] [CrossRef]
- Sebald, G.; Komiya, A.; Jay, J.; Coativy, G.; Lebrun, L. Regenerative cooling using elastocaloric rubber: Analytical model and experiments. J. Appl. Phys. 2020, 127, 094903. [Google Scholar] [CrossRef]
- Zhang, S.; Yang, Q.; Li, C.; Fu, Y.; Zhang, H.; Ye, Z.; Zhou, X.; Li, Q.; Wang, T.; Wang, S.; et al. Solid-state cooling by elastocaloric polymer with uniform chain-lengths. Nat. Commun. 2022, 13, 9. [Google Scholar] [CrossRef]
- Sebald, G.; Lombardi, G.; Coativy, G.; Jay, J.; Lebrun, L. High performance polymer-based regenerative elastocaloric cooler. Appl. Therm. Eng. 2023, 223, 120016. [Google Scholar] [CrossRef]
- Haissoune, H.; Chenal, J.M.; Chazeau, L.; Sebald, G.; Morfin, I.; Lebrun, L.; Dalmas, F.; Coativy, G. Elastocaloric effect: Impact of heat transfer on strain-induced crystallization kinetics of natural rubber. Polymer 2022, 263, 125506. [Google Scholar] [CrossRef]
- Shchegolkov, A.V.; Shchegolkov, A.V.; Zemtsova, N.V.; Stanishevskiy, Y.M.; Vetcher, A.A. Changes in the Electrophysical Parameters of Nanomodified Elastomers Caused by Electric Current’s Passage. Polymers 2023, 15, 249. [Google Scholar] [CrossRef]
- Sae-oui, P.; Freakley, P.K.; Oubridge, P.S. Determination of heat transfer coefficient of rubber to air. Plast. Rubber Compos. 1999, 28, 65–68. [Google Scholar] [CrossRef]
- Sae-oui, P. Effect of specimen geometry on heat transfer coefficient of rubber to air. Songklanakarin J. Sci. Technol. 2000, 22, 120764. [Google Scholar]
- Kruželák, J.; Sýkora, R.; Hudec, I. Peroxide vulcanization of natural rubber. Part I: Effect of temperature and peroxide concentration. J. Polym. Eng. 2014, 34, 617–624. [Google Scholar] [CrossRef]
- Pérez-Junyent, C.; Porta, M.; Valdés, E.; Mañosa, L.; Planes, A.; Saxena, A.; Vives, E. Flexocaloric effect in superelastic materials. APL Mater. 2022, 10, 121103. [Google Scholar] [CrossRef]
- Rousseau, B.; Chabin, M.; Echegut, P.; Sin, A.; Weiss, F.; Odier, P. High emissivity of a rough Pr2NiO4 coating. Appl. Phys. Lett. 2001, 79, 3633–3635. [Google Scholar] [CrossRef]
- Wen, C.D.; Mudawar, I. Modelling the effects of surface roughness on the emissivity of aluminium alloys. Int. J. Heat Mass Transf. 2006, 49, 4279–4289. [Google Scholar] [CrossRef]
- Sion, M.; Jay, J.; Coativy, G.; Komiya, A.; Sebald, G. Natural rubber based elastocaloric solid-state refrigeration device: Design and performances of a single stage system. J. Phys. Energy 2024, 6, 025003. [Google Scholar] [CrossRef]
- Incropera, F.P.; DeWitt, D.P.; Bergman, T.L.; Lavine, A.S. Fundamentals of Heat and Mass Transfer; John Wiley & Sons: Hoboken, NJ, USA, 2006; Chapter 7; p. 410. [Google Scholar]






| Property | Magnitude | Unit | Reference |
|---|---|---|---|
| a | 15 | mm | This work. |
| b | 4 | mm | This work. |
| c | 1 | mm | This work. |
| 950 | kg/m3 | This work. | |
| 1880 | J/kg K | [7] | |
| 0.15 | W/K m | [7] |
Disclaimer/Publisher’s Note: The statements, opinions and data contained in all publications are solely those of the individual author(s) and contributor(s) and not of MDPI and/or the editor(s). MDPI and/or the editor(s) disclaim responsibility for any injury to people or property resulting from any ideas, methods, instructions or products referred to in the content. |
© 2024 by the authors. Licensee MDPI, Basel, Switzerland. This article is an open access article distributed under the terms and conditions of the Creative Commons Attribution (CC BY) license (https://creativecommons.org/licenses/by/4.0/).
Share and Cite
Valdés, E.; Stern-Taulats, E.; Candau, N.; Mañosa, L.; Vives, E. Enhancement of the Elastocaloric Performance of Natural Rubber by Forced Air Convection. Polymers 2024, 16, 3078. https://doi.org/10.3390/polym16213078
Valdés E, Stern-Taulats E, Candau N, Mañosa L, Vives E. Enhancement of the Elastocaloric Performance of Natural Rubber by Forced Air Convection. Polymers. 2024; 16(21):3078. https://doi.org/10.3390/polym16213078
Chicago/Turabian StyleValdés, Emma, Enric Stern-Taulats, Nicolas Candau, Lluís Mañosa, and Eduard Vives. 2024. "Enhancement of the Elastocaloric Performance of Natural Rubber by Forced Air Convection" Polymers 16, no. 21: 3078. https://doi.org/10.3390/polym16213078
APA StyleValdés, E., Stern-Taulats, E., Candau, N., Mañosa, L., & Vives, E. (2024). Enhancement of the Elastocaloric Performance of Natural Rubber by Forced Air Convection. Polymers, 16(21), 3078. https://doi.org/10.3390/polym16213078

