Polymer Matrix Nanocomposites Fabricated with Copper Nanoparticles and Photopolymer Resin via Vat Photopolymerization Additive Manufacturing
Abstract
1. Introduction
2. Materials and Methods
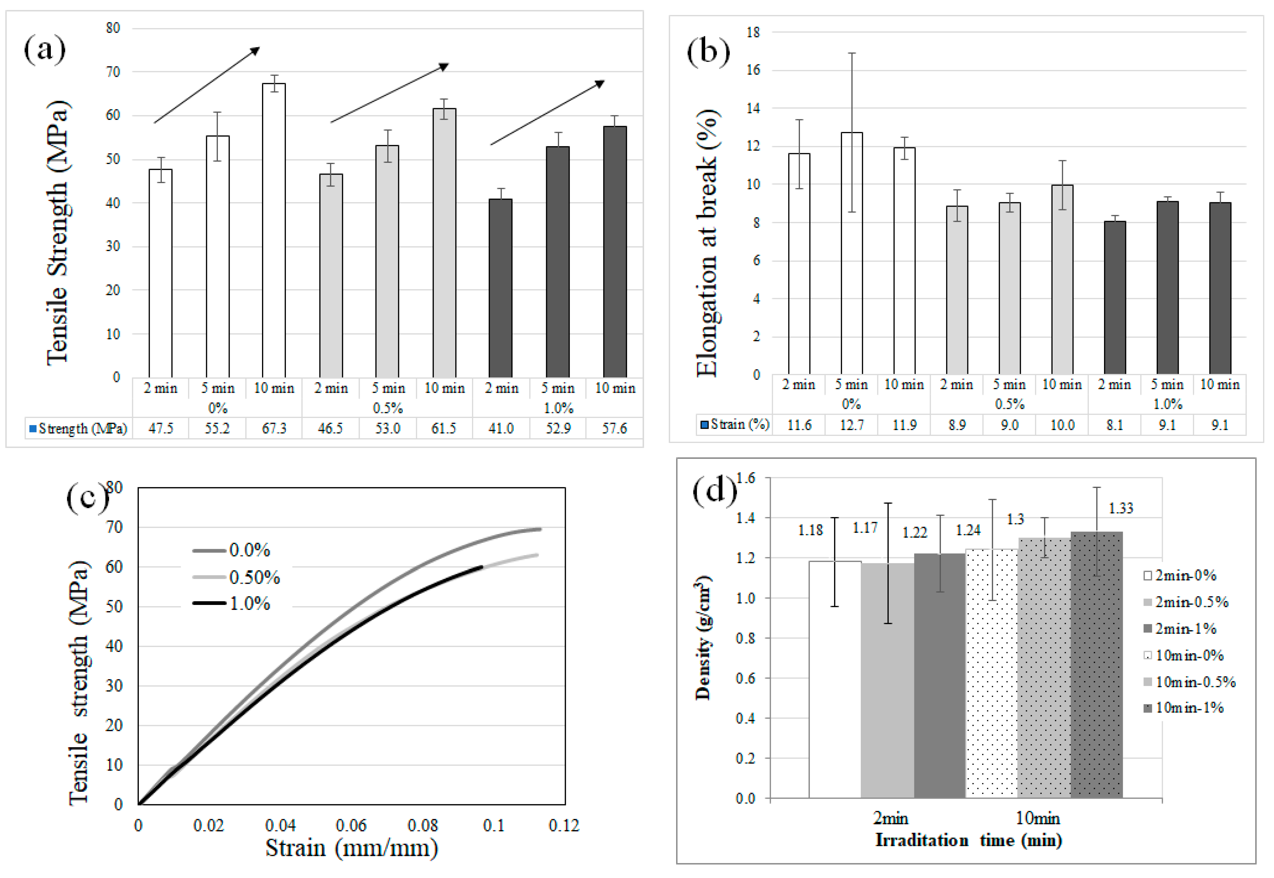
3. Results and Discussion
4. Discussion
5. Conclusions
Author Contributions
Funding
Institutional Review Board Statement
Data Availability Statement
Acknowledgments
Conflicts of Interest
References
- Ian, G.; Rosen, D.W.; Stucker, B.; Khorasani, M.; Rosen, D.; Stucker, B.; Khorasani, M. Additive Manufacturing Technologies; Springer: Cham, Switzerland, 2021; Volume 17. [Google Scholar]
- El-Eskandarany, M.S. Fabrication of and consolidation of hard nanocomposite materials. Mech. Alloy. 2020, 193–228. [Google Scholar] [CrossRef]
- Colorado, H.A.; Mendoza, D.E.; Lin, H.T.; Gutierrez-Velasquez, E. Additive manufacturing against the Covid-19 pandemic: A technological model for the adaptability and networking. J. Mater. Res. Technol. 2022, 16, 1150–1164. [Google Scholar] [CrossRef] [PubMed]
- Divakaran, N.; Das, J.P.; P V, A.K.; Mohanty, S.; Ramadoss, A.; Nayak, S.K. Comprehensive review on various additive manufacturing techniques and its implementation in electronic devices. J. Manuf. Syst. 2022, 62, 477–502. [Google Scholar] [CrossRef]
- Froes, F.H.; Boyer, R. (Eds.) . Additive Manufacturing for the Aerospace Industry; Elsevier: Amsterdam, The Netherlands, 2019. [Google Scholar]
- Clinton, R.G., Jr. Additive Manufacturing and 3D Printing in NASA: An Overview of Current Projects and Future Initiatives for Space Exploration; M15-4218. In Proceedings of the Additive/Aerospace 2014, Los Angeles, CA, USA, 3–6 November 2014. [Google Scholar]
- Vergara, L.A.; Colorado, H.A. Additive manufacturing of Portland cement pastes with additions of kaolin, superplastificant and calcium carbonate. Constr. Build. Mater. 2020, 248, 118669. [Google Scholar] [CrossRef]
- Youssef, M.; Abbas, L. Applying 3d Printing Technology in Constructing Sustainable Houses. Archit. Plan. J. 2023, 29, 4. [Google Scholar] [CrossRef]
- Colorado, H.A.; Velásquez EI, G.; Monteiro, S.N. Sustainability of additive manufacturing: The circular economy of materials and environmental perspectives. J. Mater. Res. Technol. 2020, 9, 8221–8234. [Google Scholar] [CrossRef]
- Vergara, L.A.; Perez, J.F.; Colorado, H.A. 3D printing of ordinary Portland cement with waste wood derived biochar obtained from gasification. Case Stud. Constr. Mater. 2023, 18, e02117. [Google Scholar] [CrossRef]
- Colorado, H.A.; Mendoza, D.E.; Valencia, F.L. A combined strategy of additive manufacturing to support multidisciplinary education in arts, biology, and engineering. J. Sci. Educ. Technol. 2021, 30, 58–73. [Google Scholar] [PubMed]
- Sartal, A.; Carou, D.; Dorado-Vicente, R.; Mandayo, L. Facing the challenges of the food industry: Might additive manufacturing be the answer? Proc. Inst. Mech. Eng. Part B J. Eng. Manuf. 2019, 233, 1902–1906. [Google Scholar] [CrossRef]
- Sun, H.; Jia, Y.; Dong, H.; Dong, D.; Zheng, J. Combining additive manufacturing with microfluidics: An emerging method for developing novel organs-on-chips. Curr. Opin. Chem. Eng. 2020, 28, 1–9. [Google Scholar]
- Solis, D.M.; Czekanski, A. 3D and 4D additive manufacturing techniques for vascular-like structures–A review. Bioprinting 2022, 25, e00182. [Google Scholar] [CrossRef]
- Xue, H.; Wang, T.; Cui, X.; Wang, Y.; Huang, G. Ballistic performance of additive manufacturing 316l stainless steel projectiles based on topology optimization method. Def. Technol. 2024, 35, 1–17. [Google Scholar] [CrossRef]
- Colorado, H.A.; Cardenas, C.A.; Gutierrez-Velazquez, E.I.; Escobedo, J.P.; Monteiro, S.N. Additive manufacturing in armor and military applications: Research, materials, processing technologies, perspectives, and challenges. J. Mater. Res. Technol. 2023, 27, 3900–3913. [Google Scholar] [CrossRef]
- ASTM ISO/ASTM52900-21; Additive Manufacturing—General Principles—Fundamentals and Vocabulary. ASTM: West Conshohocken, PA, USA, 2022.
- Lopes, M.D.M.; de Souza Pádua, M.; de Carvalho, J.P.R.G.; Simonassi, N.T.; Lopez, F.P.D.; Colorado, H.A.; Vieira, C.M.F. Natural based polyurethane matrix composites reinforced with bamboo fiber waste for use as oriented strand board. J. Mater. Res. Technol. 2021, 12, 2317–2324. [Google Scholar] [CrossRef]
- Rafiee, M.; Abidnejad, R.; Ranta, A.; Ojha, K.; Karakoç, A.; Paltakari, J. Exploring the possibilities of FDM filaments comprising natural fiber-reinforced biocomposites for additive manufacturing. AIMS Mater. Sci. 2021, 8, 524–537. [Google Scholar] [CrossRef]
- Barreto, G.; Restrepo, S.; Vieira, C.M.; Monteiro, S.N.; Colorado, H.A. Rice Husk with PLA: 3D Filament Making and Additive Manufacturing of Samples for Potential Structural Applications. Polymers 2024, 16, 245. [Google Scholar] [CrossRef]
- Pagac, M.; Hajnys, J.; Ma, Q.P.; Jancar, L.; Jansa, J.; Stefek, P.; Mesicek, J. A review of vat photopolymerization technology: Materials, applications, challenges, and future trends of 3D printing. Polymers 2021, 13, 598. [Google Scholar] [CrossRef]
- Srivastava, M.; Rathee, S. Additive manufacturing: Recent trends, applications and future outlooks. Prog. Addit. Manuf. 2022, 7, 261–287. [Google Scholar] [CrossRef]
- Wu, X.; Teng, J.; Ji, X.; Xu, C.; Ma, D.; Sui, S.; Zhang, Z. Research progress of the defects and innovations of ceramic vat photopolymerization. Addit. Manuf. 2023, 65, 103441. [Google Scholar] [CrossRef]
- Vollath, D. Nanomaterials: An Introduction to Synthesis, Properties and Applications. John Wiley & Sons: Hoboken, NJ, USA, 2013. [Google Scholar]
- Omanović-Mikličanin, E.; Badnjević, A.; Kazlagić, A.; Hajlovac, M. Nanocomposites: A brief review. Health Technol. 2020, 10, 51–59. [Google Scholar] [CrossRef]
- Koo, J.H. Fundamentals, Properties, and Applications of Polymer Nanocomposites; Cambridge University Press: Cambridge, UK, 2016. [Google Scholar]
- Colorado, H.A.; Gutierrez-Velasquez, E.I.; Gil, L.D.; de Camargo, I.L. Exploring the advantages and applications of nanocomposites produced via VAT photopolymerization in additive manufacturing. Adv. Compos. Hybrid Mater. 2024, 7, 5985. [Google Scholar] [CrossRef]
- Medellin, A.; Du, W.; Miao, G.; Zou, J.; Pei, Z.; Ma, C. Vat photopolymerization 3d printing of nanocomposites: A literature review. J. Micro-Nano-Manuf. 2019, 7, 031006. [Google Scholar] [CrossRef]
- Lee, T.; Kim, J.H.; Ng, C.S.; Andreu, A.; Kim, I.; Lee, W.; Kim, H.; Su, P.C.; Yoon, Y.J. Prediction of curing depth dependence on CNT nanofiller dispersion for vat photopolymerization 3D printing. Chem. Eng. J. 2024, 482, 149110. [Google Scholar] [CrossRef]
- Tilve-Martinez, D.; Neri, W.; Vukadinovic, N.; Berton, B.; Pénicaud, A.; Yuan, J.; Poulin, P. Electrical Anisotropy and its Mitigation in Conductive Polymers Printed by Vat Photopolymerization. Addit. Manuf. 2024, 86, 104221. [Google Scholar] [CrossRef]
- Shebeeb, C.M.; Afif, M.B.; Jacob, L.; Choi, D.; Butt, H. Vat photopolymerisation 3D printing of graphene-based materials. Virtual Phys. Prototyp. 2023, 18, e2276250. [Google Scholar] [CrossRef]
- Ng, C.S.; Subramanian, A.S.; Su, P.C. Zinc oxide nanoparticles as additives for improved dimensional accuracy in vat photopolymerization. Addit. Manuf. 2022, 59, 103118. [Google Scholar] [CrossRef]
- Liang, J.; Francoeur, M.; Williams, C.B.; Raeymaekers, B. Curing characteristics of a photopolymer resin with dispersed glass microspheres in vat polymerization 3D printing. ACS Appl. Polym. Mater. 2023, 5, 9017–9026. [Google Scholar] [CrossRef]
- Niu, S.; Wang, K.; Luo, Y.; Yang, Y.; Zhou, Y.; Si, Y.; Li, X.; Xu, X. Enhanced high-temperature dimensional accuracy by fibers in silica ceramic cores prepared through vat photopolymerization 3D printing. Ceram. Int. 2024, 50, 25886–25894. [Google Scholar] [CrossRef]
- Penelas, M.J.; Schroeder, W.F.; Arenas, G.; Angelomé, P.C.; Soler-Illia, G.J.; Hoppe, C.E. Stable Photopolymerizable Resins Modified with Functionalized Silica-Coated Gold Nanostructures for the Fabrication of Optically Clear 3D Objects with Remote Photothermal Activation. ACS Appl. Polym. Mater. 2024, 6, 1951–1961. [Google Scholar] [CrossRef]
- Vidakis, N.; Petousis, M.; Michailidis, N.; Papadakis, V.; Korlos, A.; Mountakis, N.; Argyros, A. Multi-functional 3D-printed vat photopolymerization biomedical-grade resin reinforced with binary nano inclusions: The effect of cellulose nanofibers and antimicrobial nanoparticle agents. Polymers 2022, 14, 1903. [Google Scholar] [CrossRef]
- Shah, M.; Ullah, A.; Azher, K.; Rehman, A.U.; Juan, W.; Aktürk, N.; Tüfekci, C.S.; Salamci, M.U. Vat photopolymerization-based 3D printing of polymer nanocomposites: Current trends and applications. RSC Adv. 2023, 13, 1456. [Google Scholar] [CrossRef] [PubMed]
- V-Niño, E.D.; Lonne, Q.; Díaz Lantada, A.; Mejía-Ospino, E.; Estupiñán Durán, H.A.; Cabanzo Hernández, R.; Ramírez-Caballero, G.; Endrino, J.L. Physical and chemical properties characterization of 3d-printed substrates loaded with copper-nickel nanowires. Polymers 2020, 12, 2680. [Google Scholar] [CrossRef] [PubMed]
- Taormina, G.; Sciancalepore, C.; Bondioli, F.; Messori, M. Special resins for stereolithography: In situ generation of silver nanoparticles. Polymers 2018, 10, 212. [Google Scholar] [CrossRef]
- Ikram, H.; Al Rashid, A.; Koç, M. Synthesis, Characterization, and 3D Printing of Silver Nanoparticles/Photopolymer Resin Composites. In IOP Conference Series: Materials Science and Engineering; IOP Publishing: Bristol, UK, 2022; Volume 1248, p. 012003. [Google Scholar]
- Zare, Y. Study of nanoparticles aggregation/agglomeration in polymer particulate nanocomposites by mechanical properties. Compos. Part A Appl. Sci. Manuf. 2016, 84, 158–164. [Google Scholar] [CrossRef]
- Gualberto, H.R.; dos Reis, J.M.; de Andrade, M.C.; Costa, H.R.; Amorim, F.D.; Hunt, J.D. Effect of Exposure Time to UV Radiation on Mechanical Properties of Glass/Epoxy Composites. Appl. Compos. Mater. 2024, 31, 447–465. [Google Scholar] [CrossRef]
- Choi, Y.M.; Hwangbo, S.A.; Lee, T.G.; Ham, Y.B. Effect of particle size on the mechanical properties of TiO2–epoxy nanocomposites. Materials 2021, 14, 2866. [Google Scholar] [CrossRef]
- Zare, Y.; Rhee, K.Y.; Park, S.J. Modeling of tensile strength in polymer particulate nanocomposites based on material and interphase properties. J. Appl. Polym. Sci. 2017, 134. [Google Scholar] [CrossRef]
- Islam, M.S.; Masoodi, R.; Rostami, H. The effect of nanoparticles percentage on mechanical behavior of silica-epoxy nanocomposites. J. Nanosci. 2013, 275037. [Google Scholar] [CrossRef]
- Barghamadi, H.; Atai, M.; Imani, M.; Esfandeh, M. Effects of nanoparticle size and content on mechanical properties of dental nanocomposites: Experimental versus modeling. Iran. Polym. J. 2015, 24, 837–848. [Google Scholar] [CrossRef]
- Garcia, M.; Van Vliet, G.; Jain, S.H.; Schrauwen BA, G.; Sarkissov, A.U.; Van Zyl, W.E.; Boukamp, B.A. Polypropylene/SiO2 nanocomposites with improved mechanical properties. Rev. Adv. Mater. Sci. 2005, 6, 169–175. [Google Scholar]
- Hegde, M.N.; Hegde, P.; Bhandary, S.; Deepika, K. An evalution of compressive strength of newer nanocomposite: An: In Vitro: Study. J. Conserv. Dent. 2011, 14, 36–39. [Google Scholar] [PubMed]
- Omar, M.F.; Akil, H.M.; Ahmad, Z.A. Mechanical properties of nanosilica/polypropylene composites under dynamic compression loading. Polym. Compos. 2011, 32, 565–575. [Google Scholar] [CrossRef]
- Rau, D.A.; Forgiarini, M.; Williams, C.B. Hybridizing Direct Ink Write and mask-projection Vat Photopolymerization to enable additive manufacturing of high viscosity photopolymer resins. Addit. Manuf. 2021, 42, 101996. [Google Scholar] [CrossRef]
- Dileep, C.; Jacob, L.; Umer, R.; Butt, H. Review of Vat photopolymerization 3D Printing of Photonic Devices. Addit. Manuf. 2024, 86, 104189. [Google Scholar]
- Karttunen, M.; Ruuskanen, P.; Pitkänen, V.; Albers, W.M. Electrically conductive metal polymer nanocomposites for electronics applications. J. Electron. Mater. 2008, 37, 951–954. [Google Scholar] [CrossRef]
- Wang, P.; Li, J.; Wang, G.; He, L.; Yang, J.; Zhang, C.; Han, Z.; Yan, Y. Hybrid additive manufacturing based on vat photopolymerization and laser-activated selective metallization for three-dimensional conformal electronics. Addit. Manuf. 2023, 63, 103388. [Google Scholar] [CrossRef]
- Mubarak, S.; Dhamodharan, D.; B. Kale, M.; Divakaran, N.; Senthil, T.; P., S.; Wu, L.; Wang, J. A novel approach to enhance mechanical and thermal properties of SLA 3D printed structure by incorporation of metal–metal oxide nanoparticles. Nanomaterials 2020, 10, 217. [Google Scholar] [CrossRef]









| Property | Reported |
|---|---|
| Molecular weight | 63.55 |
| Appearance | Black-Brown |
| Size range | 2–90 nm |
| Particle size | 25 nm |
| Specific surface area | 30–50 m2/g |
| Morphology | Spherical |
| Poisson’s Ratio | 0.34 |
| Vickers Hardness | 369 MPa |
Disclaimer/Publisher’s Note: The statements, opinions and data contained in all publications are solely those of the individual author(s) and contributor(s) and not of MDPI and/or the editor(s). MDPI and/or the editor(s) disclaim responsibility for any injury to people or property resulting from any ideas, methods, instructions or products referred to in the content. |
© 2024 by the authors. Licensee MDPI, Basel, Switzerland. This article is an open access article distributed under the terms and conditions of the Creative Commons Attribution (CC BY) license (https://creativecommons.org/licenses/by/4.0/).
Share and Cite
Gil, L.D.; Monteiro, S.N.; Colorado, H.A. Polymer Matrix Nanocomposites Fabricated with Copper Nanoparticles and Photopolymer Resin via Vat Photopolymerization Additive Manufacturing. Polymers 2024, 16, 2434. https://doi.org/10.3390/polym16172434
Gil LD, Monteiro SN, Colorado HA. Polymer Matrix Nanocomposites Fabricated with Copper Nanoparticles and Photopolymer Resin via Vat Photopolymerization Additive Manufacturing. Polymers. 2024; 16(17):2434. https://doi.org/10.3390/polym16172434
Chicago/Turabian StyleGil, Leon D., Sergio Neves Monteiro, and Henry A. Colorado. 2024. "Polymer Matrix Nanocomposites Fabricated with Copper Nanoparticles and Photopolymer Resin via Vat Photopolymerization Additive Manufacturing" Polymers 16, no. 17: 2434. https://doi.org/10.3390/polym16172434
APA StyleGil, L. D., Monteiro, S. N., & Colorado, H. A. (2024). Polymer Matrix Nanocomposites Fabricated with Copper Nanoparticles and Photopolymer Resin via Vat Photopolymerization Additive Manufacturing. Polymers, 16(17), 2434. https://doi.org/10.3390/polym16172434

