Mechanical, Biological and In Vitro Degradation Investigation of Braided Scaffolds for Tendon and Ligament Tissue Engineering Based on Different Polycaprolactone Materials with Chitosan-Graft-PCL Surface Modification
Abstract
1. Introduction
2. Materials and Methods
2.1. Fiber Fabrication
2.2. Braiding
2.3. Surface Modification
2.4. Mechanical Characterization
2.5. In Vitro Hydrolytic Degradation
2.6. Gel Permeation Chromatography (GPC)
2.7. Confocal Laser Scanning Microscopy (CLSM)
2.8. Cultivation of Bone Marrow-Derived Mesenchymal Stromal Cells
2.9. Vitality Assay
2.10. Phalloidin/DAPI Staining
2.11. Statistics
3. Results
3.1. Fiber Fabrication
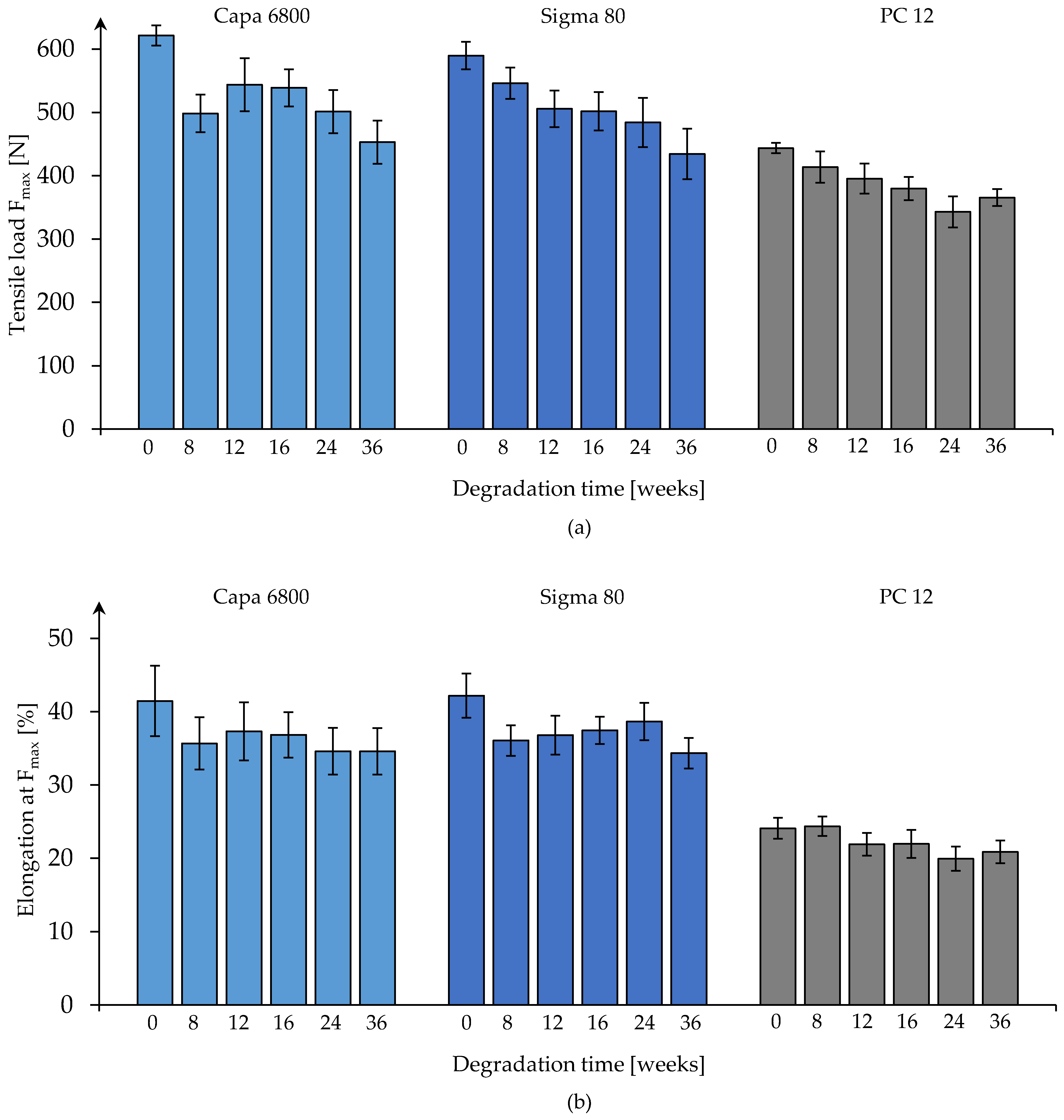
3.2. In Vitro Hydrolytic Degradation of Fibers
3.3. Scaffold Fabrication
3.3.1. One-Layer Braids
3.3.2. Nine-Layer Braids
3.4. Validation of CS-g-PCL Surface Modification
3.5. Cell Viability—PCL Grade Comparison
3.6. Cell Viability—Fiber Morphology and Braiding Angle
4. Discussion
5. Conclusions
Supplementary Materials
Author Contributions
Funding
Institutional Review Board Statement
Data Availability Statement
Conflicts of Interest
References
- Nau, T.; Teuschl, A. Regeneration of the anterior cruciate ligament: Current strategies in tissue engineering. World J. Orthop. 2015, 6, 127–136. [Google Scholar] [CrossRef] [PubMed]
- Yang, G.; Rothrauff, B.B.; Tuan, R.S. Tendon and ligament regeneration and repair: Clinical relevance and developmental paradigm. Birth Defects Res. C Embryo Today 2013, 99, 203–222. [Google Scholar] [CrossRef] [PubMed]
- Lim, W.L.; Liau, L.L.; Ng, M.H.; Chowdhury, S.R.; Law, J.X. Current Progress in Tendon and Ligament Tissue Engineering. Tissue Eng. Regen. Med. 2019, 16, 549–571. [Google Scholar] [CrossRef] [PubMed]
- Guidoin, M.-F.; Marois, Y.; Bejui, J.; Poddevin, N.; King, M.W.; Guidoin, R. Analysis of retrieved polymer fiber based replacements for the ACL. Biomaterials 2000, 21, 2461–2474. [Google Scholar] [CrossRef] [PubMed]
- Ge, Z.; Yang, F.; Goh, J.C.H.; Ramakrishna, S.; Lee, E.H. Biomaterials and scaffolds for ligament tissue engineering. J. Biomed. Mater. Res. A 2006, 77, 639–652. [Google Scholar] [CrossRef] [PubMed]
- Schlenker, H.-J. Tissue Engineering von Bandersatz: Einfluss Mechanischer Reize auf Humane Mesenchymale Progenitorzellen und Humane Kreuzbandzellen. Doctoral Dissertation, Universität Ulm, Ulm, Germany, 2006. [Google Scholar]
- Vunjak-Novakovic, G.; Altman, G.; Horan, R.; Kaplan, D.L. Tissue engineering of ligaments. Annu. Rev. Biomed. Eng. 2004, 6, 131–156. [Google Scholar] [CrossRef] [PubMed]
- Cooper, J.A.; Lu, H.H.; Ko, F.K.; Freeman, J.W.; Laurencin, C.T. Fiber-based tissue-engineered scaffold for ligament replacement: Design considerations and in vitro evaluation. Biomaterials 2005, 26, 1523–1532. [Google Scholar] [CrossRef]
- Leong, N.L.; Petrigliano, F.A.; McAllister, D.R. Current tissue engineering strategies in anterior cruciate ligament reconstruction. J. Biomed. Mater. Res. A 2014, 102, 1614–1624. [Google Scholar] [CrossRef] [PubMed]
- Sahoo, S.; Ouyang, H.; Goh, J.C.-H.; Tay, T.E.; Toh, S.L. Characterization of a Novel Polymeric Scaffold for Potential Application in Tendon/Ligament Tissue Engineering. Tissue Eng. 2006, 12, 91–99. [Google Scholar] [CrossRef]
- Fuoco, T.; Mathisen, T.; Finne-Wistrand, A. Minimizing the time gap between service lifetime and complete resorption of degradable melt-spun multifilament fibers. Polym. Degrad. Stab. 2019, 163, 43–51. [Google Scholar] [CrossRef]
- Zhang, X.; Wu, Y.; Pan, Z.; Sun, H.; Wang, J.; Yu, D.; Zhu, S.; Dai, J.; Chen, Y.; Tian, N.; et al. The effects of lactate and acid on articular chondrocytes function: Implications for polymeric cartilage scaffold design. Acta Biomater. 2016, 42, 329–340. [Google Scholar] [CrossRef]
- Gögele, C.; Hahn, J.; Elschner, C.; Breier, A.; Schröpfer, M.; Prade, I.; Meyer, M.; Schulze-Tanzil, G. Enhanced Growth of Lapine Anterior Cruciate Ligament-Derived Fibroblasts on Scaffolds Embroidered from Poly(l-lactide-co-ε-caprolactone) and Polylactic Acid Threads Functionalized by Fluorination and Hexamethylene Diisocyanate Cross-Linked Collagen Foams. Int. J. Mol. Sci. 2020, 21, 1132. [Google Scholar] [CrossRef] [PubMed]
- Hutmacher, D.W. Scaffolds in tissue engineering bone and cartilage. Biomaterials 2000, 21, 2529–2543. [Google Scholar] [CrossRef]
- Liu, X.; Laurent, C.; Du, Q.; Targa, L.; Cauchois, G.; Chen, Y.; Wang, X.; de Isla, N. Mesenchymal stem cell interacted with PLCL braided scaffold coated with poly-l-lysine/hyaluronic acid for ligament tissue engineering. J. Biomed. Mater. Res. A 2018, 106, 3042–3052. [Google Scholar] [CrossRef]
- Zhang, P.; Han, F.; Chen, T.; Wu, Z.; Chen, S. “Swiss roll”-like bioactive hybrid scaffolds for promoting bone tissue ingrowth and tendon-bone healing after anterior cruciate ligament reconstruction. Biomater. Sci. 2020, 8, 871–883. [Google Scholar] [CrossRef] [PubMed]
- Petrigliano, F.A.; McAllister, D.R.; Wu, B.M. Tissue engineering for anterior cruciate ligament reconstruction: A review of current strategies. Arthroscopy 2006, 22, 441–451. [Google Scholar] [CrossRef] [PubMed]
- Silva, M.; Ferreira, F.N.; Alves, N.M.; Paiva, M.C. Biodegradable polymer nanocomposites for ligament/tendon tissue engineering. J. Nanobiotechnol. 2020, 18, 23. [Google Scholar] [CrossRef] [PubMed]
- Woodruff, M.A.; Hutmacher, D.W. The return of a forgotten polymer—Polycaprolactone in the 21st century. Prog. Polym. Sci. 2010, 35, 1217–1256. [Google Scholar] [CrossRef]
- Pal, J.; Kankariya, N.; Sanwaria, S.; Nandan, B.; Srivastava, R.K. Control on molecular weight reduction of poly(ε-caprolactone) during melt spinning—A way to produce high strength biodegradable fibers. Mater. Sci. Eng. C Mater. Biol. Appl. 2013, 33, 4213–4220. [Google Scholar] [CrossRef]
- Bauer, B.; Emonts, C.; Bonten, L.; Annan, R.; Merkord, F.; Vad, T.; Idrissi, A.; Gries, T.; Blaeser, A. Melt-Spun, Cross-Section Modified Polycaprolactone Fibers for Use in Tendon and Ligament Tissue Engineering. Fibers 2022, 10, 23. [Google Scholar] [CrossRef]
- Laurent, C.P.; Ganghoffer, J.-F.; Babin, J.; Six, J.-L.; Wang, X.; Rahouadj, R. Morphological characterization of a novel scaffold for anterior cruciate ligament tissue engineering. J. Biomech. Eng. 2011, 133, 65001. [Google Scholar] [CrossRef]
- Thayer, P.S.; Goldstein, A.S. Bio-Instructive Scaffolds for Tendon/Ligament Regeneration. In Bio-Instructive Scaffolds for Musculoskeletal Tissue Engineering and Regenerative Medicine; Elsevier: Amsterdam, The Netherlands, 2017; pp. 87–112. ISBN 9780128033944. [Google Scholar]
- Tuzlakoglu, K.; Reis, R.L. Biodegradable polymeric fiber structures in tissue engineering. Tissue Eng. Part B Rev. 2009, 15, 17–27. [Google Scholar] [CrossRef]
- Lam, C.X.F.; Hutmacher, D.W.; Schantz, J.-T.; Woodruff, M.A.; Teoh, S.H. Evaluation of polycaprolactone scaffold degradation for 6 months in vitro and in vivo. J. Biomed. Mater. Res. A 2009, 90, 906–919. [Google Scholar] [CrossRef]
- Leroux, A.; Ngoc Nguyen, T.; Rangel, A.; Cacciapuoti, I.; Duprez, D.; Castner, D.G.; Migonney, V. Long-term hydrolytic degradation study of polycaprolactone films and fibers grafted with poly(sodium styrene sulfonate): Mechanism study and cell response. Biointerphases 2020, 15, 61006. [Google Scholar] [CrossRef] [PubMed]
- de Cassan, D.; Sydow, S.; Schmidt, N.; Behrens, P.; Roger, Y.; Hoffmann, A.; Hoheisel, A.L.; Glasmacher, B.; Hänsch, R.; Menzel, H. Attachment of nanoparticulate drug-release systems on poly(ε-caprolactone) nanofibers via a graftpolymer as interlayer. Colloids Surf. B Biointerfaces 2018, 163, 309–320. [Google Scholar] [CrossRef] [PubMed]
- Jing, X.; Mi, H.-Y.; Wang, X.-C.; Peng, X.-F.; Turng, L.-S. Shish-kebab-structured poly(ε-caprolactone) nanofibers hierarchically decorated with chitosan-poly(ε-caprolactone) copolymers for bone tissue engineering. ACS Appl. Mater. Interfaces 2015, 7, 6955–6965. [Google Scholar] [CrossRef] [PubMed]
- Bauer, B.; Emonts, C.; Pitts, J.; Buhl, E.M.; Eschweiler, J.; Hänsch, R.; Betsch, M.; Gries, T.; Menzel, H. Topographically and Chemically Enhanced Textile Polycaprolactone Scaffolds for Tendon and Ligament Tissue Engineering. Polymers 2024, 16, 488. [Google Scholar] [CrossRef]
- DIN EN 13895; Textiles—Monofilaments—Determination of Tensile Properties. German version EN 13895:2003; Beuth Verlag GmbH: Berlin, Germany, 2003.
- DIN EN ISO 139; Textiles—Standard Atmospheres for Conditioning and Testing (ISO 139:2005 + Amd.1:2011). German version EN ISO 139:2005 + A1:2011; Beuth Verlag GmbH: Berlin, Germany, 2011.
- Vieira, A.C.; Guedes, R.M.; Marques, A.T. Development of ligament tissue biodegradable devices: A review. J. Biomech. 2009, 42, 2421–2430. [Google Scholar] [CrossRef]
- Roger, Y.; Burmeister, L.; Hamm, A.; Elger, K.; Dittrich-Breiholz, O.; Flörkemeier, T.; Hoffmann, A. Heparin Anticoagulant for Human Bone Marrow Does Not Influence In Vitro Performance of Human Mesenchymal Stromal Cells. Cells 2020, 9, 1580. [Google Scholar] [CrossRef]
- Rodrigues, M.T.; Reis, R.L.; Gomes, M.E. Engineering tendon and ligament tissues: Present developments towards successful clinical products. J. Tissue Eng. Regen. Med. 2013, 7, 673–686. [Google Scholar] [CrossRef] [PubMed]
- Hahn, J.; Breier, A.; Brünig, H.; Heinrich, G. Long-term hydrolytic degradation study on polymer-based embroidered scaffolds for ligament tissue engineering. J. Ind. Text. 2018, 47, 1305–1320. [Google Scholar] [CrossRef]
- Hahn, J. Herstellung und Charakterisierung gestickter Trägerstrukturen auf Basis abbaubarer, polymerer Fadenmaterialien für das Tissue Engineering des vorderen Kreuzbandes. Doctoral Dissertation, Technische Universität Dresden, Dresden, Germany, 2020. [Google Scholar]
- Chwalek, K.; Dening, Y.; Hinüber, C.; Brünig, H.; Nitschke, M.; Werner, C. Providing the right cues in nerve guidance conduits: Biofunctionalization versus fiber profile to facilitate oriented neuronal outgrowth. Mater. Sci. Eng. C Mater. Biol. Appl. 2016, 61, 466–472. [Google Scholar] [CrossRef]
- Statistisches Bundesamt. Gesundheit/Fallpauschalenbezogene Krankenhausstatistik (DRG-Statistik)/Operationen und Prozeduren der Vollstationären Patientinnen und Patienten in Krankenhäusern. 2021. Available online: https://www.statistischebibliothek.de/mir/receive/DEHeft_mods_00144855 (accessed on 15 February 2024).
- Noyes, F.; Grood, E. The strength of the anterior cruciate ligament in humans and Rhesus. J. Bone Jt. Surg. Am. 1976, 58, 1074–1082. [Google Scholar] [CrossRef]
- Woo, S.L.; Hollis, J.M.; Adams, D.J.; Lyon, R.M.; Takai, S. Tensile properties of the human femur-anterior cruciate ligament-tibia complex: The effects of specimen age and orientation. Am. J. Sports Med. 1991, 19, 217–225. [Google Scholar] [CrossRef]
- Laurent, C.P.; Durville, D.; Mainard, D.; Ganghoffer, J.-F.; Rahouadj, R. A multilayer braided scaffold for Anterior Cruciate Ligament: Mechanical modeling at the fiber scale. J. Mech. Behav. Biomed. Mater. 2012, 12, 184–196. [Google Scholar] [CrossRef] [PubMed]
- Hahn, J.; Schulze-Tanzil, G.; Schröpfer, M.; Meyer, M.; Gögele, C.; Hoyer, M.; Spickenheuer, A.; Heinrich, G.; Breier, A. Viscoelastic Behavior of Embroidered Scaffolds for ACL Tissue Engineering Made of PLA and P(LA-CL) After In Vitro Degradation. Int. J. Mol. Sci. 2019, 20, 4655. [Google Scholar] [CrossRef]
- Mengsteab, P.Y.; Freeman, J.; Barajaa, M.A.; Nair, L.S.; Laurencin, C.T. Ligament Regenerative Engineering: Braiding Scalable and Tunable Bioengineered Ligaments Using a Bench-Top Braiding Machine. Regen. Eng. Transl. Med. 2021, 7, 524–532. [Google Scholar] [CrossRef]
- de Cassan, D.; Becker, A.; Glasmacher, B.; Roger, Y.; Hoffmann, A.; Gengenbach, T.R.; Easton, C.D.; Hänsch, R.; Menzel, H. Blending chitosan-g-poly(caprolactone) with poly(caprolactone) by electrospinning to produce functional fiber mats for tissue engineering applications. J. Appl. Polym. Sci. 2020, 137, 4981. [Google Scholar] [CrossRef]
- Gurlek, A.C.; Sevinc, B.; Bayrak, E.; Erisken, C. Synthesis and characterization of polycaprolactone for anterior cruciate ligament regeneration. Mater. Sci. Eng. C Mater. Biol. Appl. 2017, 71, 820–826. [Google Scholar] [CrossRef]
- Freeman, J.W.; Woods, M.D.; Cromer, D.A.; Wright, L.D.; Laurencin, C.T. Tissue engineering of the anterior cruciate ligament: The viscoelastic behavior and cell viability of a novel braid-twist scaffold. J. Biomater. Sci. Polym. Ed. 2009, 20, 1709–1728. [Google Scholar] [CrossRef]
- Lu, Q.; Simionescu, A.; Vyavahare, N. Novel capillary channel fiber scaffolds for guided tissue engineering. Acta Biomater. 2005, 1, 607–614. [Google Scholar] [CrossRef] [PubMed]
- Lu, H.H.; Cooper, J.A.; Manuel, S.; Freeman, J.W.; Attawia, M.A.; Ko, F.K.; Laurencin, C.T. Anterior cruciate ligament regeneration using braided biodegradable scaffolds: In vitro optimization studies. Biomaterials 2005, 26, 4805–4816. [Google Scholar] [CrossRef] [PubMed]
- Gögele, C.; Vogt, J.; Hahn, J.; Breier, A.; Bernhardt, R.; Meyer, M.; Schröpfer, M.; Schäfer-Eckart, K.; Schulze-Tanzil, G. Co-Culture of Mesenchymal Stem Cells and Ligamentocytes on Triphasic Embroidered Poly(L-lactide-co-ε-caprolactone) and Polylactic Acid Scaffolds for Anterior Cruciate Ligament Enthesis Tissue Engineering. Int. J. Mol. Sci. 2023, 24, 6714. [Google Scholar] [CrossRef] [PubMed]
- Berten-Schunk, L.; Roger, Y.; Bunjes, H.; Hoffmann, A. Release of TGF-β3 from Surface-Modified PCL Fiber Mats Triggers a Dose-Dependent Chondrogenic Differentiation of Human Mesenchymal Stromal Cells. Pharmaceutics 2023, 15, 1303. [Google Scholar] [CrossRef]











| No. | Material | Abbreviation | Supplier | Grade | Material Properties | Processing Temperature TP |
|---|---|---|---|---|---|---|
| 1 | Capa® 6800 | Capa 6800 | Ingevity Corp. (O’Hear, NC, USA) | Technical | Mn = 80 kDa | 170–222 °C |
| 2 | PCL | Sigma 80 | Merck KGaA, (Darmstadt, Germany) | Research | Mn = 80 kDa | 170–222 °C |
| 3 | PURASORB® PC08 | PC08 | Corbion (Amsterdam, The Netherlands) | Medical | IV = 0.8 dL/g | 75–90 °C |
| 4 | PURASORB® PC12 | PC12 | IV = 1.2 dL/g | 95–125 °C | ||
| 5 | Capromaxx® C100 (IV1.66) | C100IV1.66 | Bezwada Biomedical, LLC (Hillsborough, NJ, USA) | Medical | IV = 1.66 dL/g | 170–222 °C |
| 6 | Capromaxx® C100 (IV2.1) | C100IV2.1 | IV = 2.1 dL/g | 170–222 °C | ||
| 7 | Capromaxx® CG955 | CG955 | Copolymer 95:5 (PCL—PGA), IV = 1.4 dL/g | 135–195 °C |
| Scaffold | Material | Number of Filaments | #Layers |
|---|---|---|---|
| One-layer braids | Capa 6800 | 48 | 1 |
| Sigma 80 | 48 | 1 | |
| PC12 | 48 | 1 | |
| Nine-layer braids | Capa 6800 | 432 | 9 |
| Sigma 80 | 432 | 9 |
Disclaimer/Publisher’s Note: The statements, opinions and data contained in all publications are solely those of the individual author(s) and contributor(s) and not of MDPI and/or the editor(s). MDPI and/or the editor(s) disclaim responsibility for any injury to people or property resulting from any ideas, methods, instructions or products referred to in the content. |
© 2024 by the authors. Licensee MDPI, Basel, Switzerland. This article is an open access article distributed under the terms and conditions of the Creative Commons Attribution (CC BY) license (https://creativecommons.org/licenses/by/4.0/).
Share and Cite
Emonts, C.; Bauer, B.; Pitts, J.; Roger, Y.; Hoffmann, A.; Menzel, H.; Gries, T. Mechanical, Biological and In Vitro Degradation Investigation of Braided Scaffolds for Tendon and Ligament Tissue Engineering Based on Different Polycaprolactone Materials with Chitosan-Graft-PCL Surface Modification. Polymers 2024, 16, 2349. https://doi.org/10.3390/polym16162349
Emonts C, Bauer B, Pitts J, Roger Y, Hoffmann A, Menzel H, Gries T. Mechanical, Biological and In Vitro Degradation Investigation of Braided Scaffolds for Tendon and Ligament Tissue Engineering Based on Different Polycaprolactone Materials with Chitosan-Graft-PCL Surface Modification. Polymers. 2024; 16(16):2349. https://doi.org/10.3390/polym16162349
Chicago/Turabian StyleEmonts, Caroline, Benedict Bauer, Johannes Pitts, Yvonne Roger, Andrea Hoffmann, Henning Menzel, and Thomas Gries. 2024. "Mechanical, Biological and In Vitro Degradation Investigation of Braided Scaffolds for Tendon and Ligament Tissue Engineering Based on Different Polycaprolactone Materials with Chitosan-Graft-PCL Surface Modification" Polymers 16, no. 16: 2349. https://doi.org/10.3390/polym16162349
APA StyleEmonts, C., Bauer, B., Pitts, J., Roger, Y., Hoffmann, A., Menzel, H., & Gries, T. (2024). Mechanical, Biological and In Vitro Degradation Investigation of Braided Scaffolds for Tendon and Ligament Tissue Engineering Based on Different Polycaprolactone Materials with Chitosan-Graft-PCL Surface Modification. Polymers, 16(16), 2349. https://doi.org/10.3390/polym16162349

