Anticorrosion Performance of Waterborne Coatings with Modified Nanoscale Titania under Subtropical Maritime Climate
Abstract
1. Introduction
2. Materials and Experiments
2.1. Materials
2.1.1. Materials for Surface Modification of Nanoscale Titania
2.1.2. Materials for Waterborne Coating Preparation
2.2. Experiments
2.2.1. Surface Modification of Nanoscale Titania
2.2.2. Preparation of Waterborne Anticorrosive Coatings
2.2.3. Characterizations
- (1)
- Field-emission scanning electron microscopy (FE-SEM).
- (2)
- Activation index
- (3)
- Contact angle (CA) tests
- (4)
- Thermogravimetric analysis (TGA)
2.2.4. Corrosion Tests
- (1)
- Neutral salt spray
- (2)
- Coupon corrosion test
2.2.5. Applications under Subtropical Marine Climate
3. Results and Discussion
3.1. Modification Mechanism of Titania Nanoparticles
3.2. Micromorphology of Titania Nanoparticles
3.3. Activation Index of Modified Titania Nanoparticles
3.4. Self-Cleaning Property of Titania Waterborne Coatings
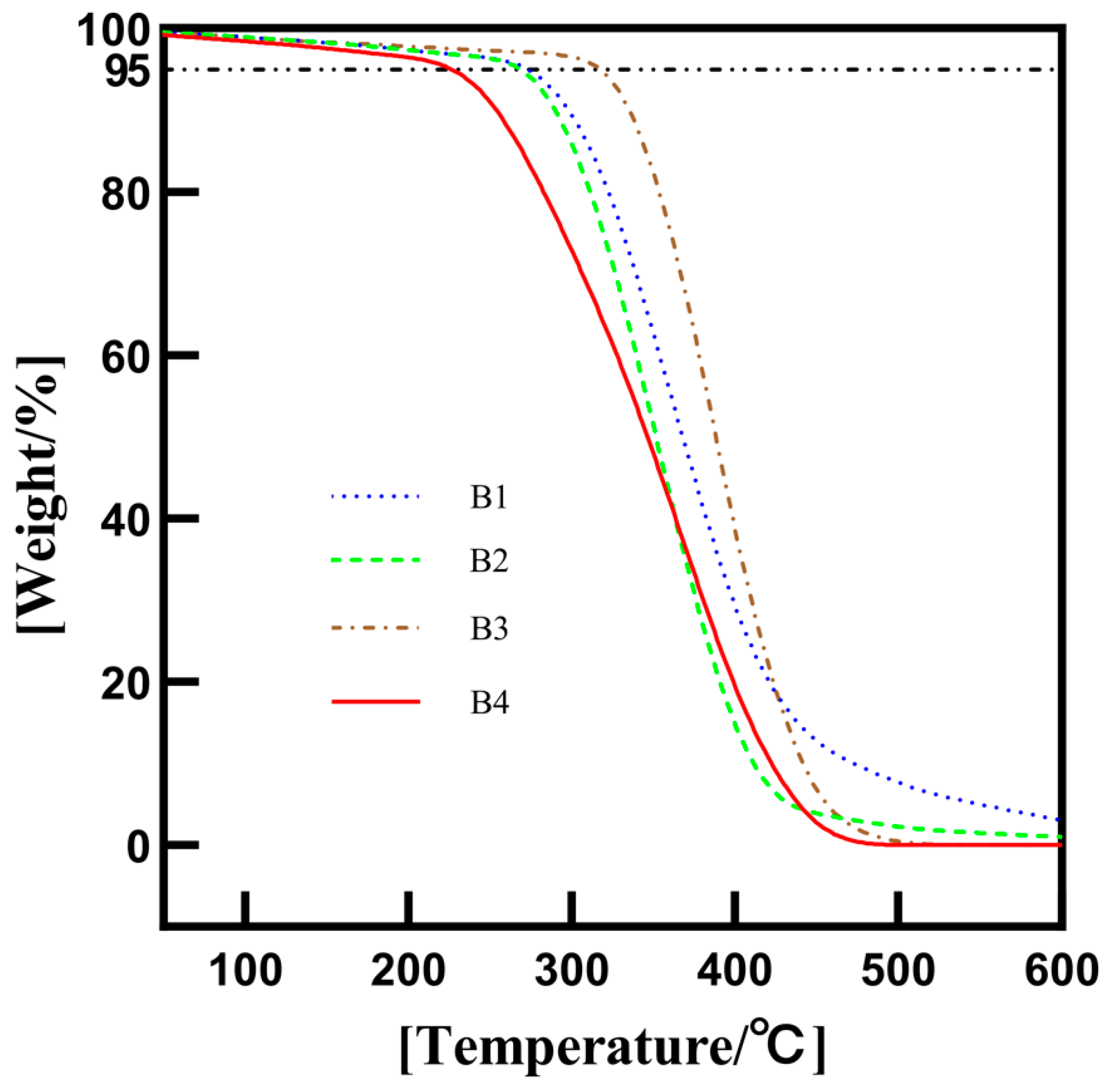
3.5. Thermogravimetric Analysis of Titania Waterborne Coatings
3.6. Corrosion Performance of Methacryloxy Silane-Modified Titania Coating
3.6.1. Neutral Salt Spray
3.6.2. Coupon Corrosion Test
3.7. Strengthening Mechanism of Modified Nanoscale Titania Coatings
3.8. On-Site Application of Modified Titania Coatings under Subtropical Marine Climate
3.8.1. Surface Coatings on Spring Hangers at Boilers
3.8.2. Surface Coatings on Boiler Connecting Bolts
3.8.3. Surface Coatings on Coal Powders’ Feeder Platform Legs
3.9. Economic Analysis
4. Conclusions
- (1)
- A waterborne methacryloxy silane-modified nanoscale titania coating was applied to a coastal power plant under subtropical marine climate. The coatings with 60,000 m2 exhibited no obvious failure after 5 years of field testing under extreme conditions.
- (2)
- This waterborne coating could be coated under low-derusting grade conditions and even high humidity when it was used to repaint the steel structure.
- (3)
- The methacryloxy silane coupling agent exhibited an activation index as high as- 97.5% when it was used to modify titania nanoparticles. The strength of the modified coatings was obviously improved through forming a grafted polymer by fluffy modified titania nanoparticles and resin molecules.
Author Contributions
Funding
Institutional Review Board Statement
Data Availability Statement
Acknowledgments
Conflicts of Interest
References
- Kioka, A.; Nakagawa, M. Theoretical and experimental perspectives in utilizing nanobubbles as inhibitors of corrosion and scale in geothermal power plant. Renew. Sustain. Energy Rev. 2021, 149, 111373. [Google Scholar] [CrossRef]
- Soltanloo, M.; Babaee, M.H.; Yeganeh, S.E.H.; Shafiei, A.; Akbari, A.H. Root cause failure investigation of a boiler waterwall tube employed in a 325 MW thermal power plant: Caustic corrosion phenomenon and its effects. Eng. Fail. Anal. 2022, 133, 105974. [Google Scholar] [CrossRef]
- Pan, P.; Li, T.; Wang, Y.; Zhang, N.; Chen, H. Effect of temperature on hot corrosion of nickel-based alloys for 700 °C A-USC power plants. Corros. Sci. 2022, 203, 110350. [Google Scholar] [CrossRef]
- Miklecic, J.; Zeljko, M.; Blagojevic, S.L.; Rajkovic, V.J. The effect of polyacrylate emulsion coating with unmodified and modified nano-TiO2 on weathering resistance of untreated and heat-treated wood. Polymers 2024, 16, 511. [Google Scholar] [CrossRef] [PubMed]
- Singh, D.; Goyal, A.; Saini, A.; Sonewane, S.; Saxena, K.K. Vibration and noise analysis of acetoxime modified TiO2 coating over steel alloy. Int. J. Interact. Des. Manuf. 2022, 1–9. [Google Scholar] [CrossRef]
- Hou, C.M.; Song, J.Q.; Gui, Q.; Fan, Z. Super hydrophobic coating and oil-water separation based on modified titanium dioxide and glycerol ethers. Colloid Surf. A 2024, 691, 133874. [Google Scholar] [CrossRef]
- Liang, C.; Liu, X.H.; Teng, F.; Li, Y.; Gao, S. TiO2/EP superhydrophobic composite coating with excellent mechanical and chemical stability. Surf. Coat. Technol. 2024, 481, 130641. [Google Scholar] [CrossRef]
- Li, N.; Tariq, N.U.H.; Che, Y.; Liu, S.; Wang, J.; Cui, X.; Xiong, T. Corrosion-resistant thermal spray coatings for low-alloy steel in contact with molten nitrate salts in solar power plants. Sol. Energy Mater. Sol. Cells 2023, 259, 112432. [Google Scholar] [CrossRef]
- Zhang, R.; Wang, H.; Ji, J.; Suo, Z.; Ou, Z. Influences of different modification methods on surface activation of waste tire rubber powder applied in cement-based materials. Constr. Build. Mater. 2022, 314, 125191. [Google Scholar] [CrossRef]
- Manoj, T.; Rasitha, T.; Vanithakumari, S.; Anandkumar, B.; George, R.; Philip, J. A simple, rapid and single step method for fabricating superhydrophobic titanium surfaces with improved water bouncing and self cleaning properties. Appl. Surf. Sci. 2020, 512, 145636. [Google Scholar] [CrossRef]
- Peng, H.; Yang, H.; Ma, X.; Shi, T.; Li, Z.; Xue, S.; Wang, Q. In situ fabrication of flower-like ZnO on aluminum alloy surface with superhydrophobicity. Colloids Surf. A Physicochem. Eng. Asp. 2022, 643, 128800. [Google Scholar] [CrossRef]
- Satheesan, B.; Mohammed, A.S. Tribological characterization of epoxy hybrid nanocomposite coatings reinforced with graphene oxide and titania. Wear 2021, 466–467, 203560. [Google Scholar] [CrossRef]
- Król, P.; Szlachta, M.; Pielichowska, K. Hydrophilic and hydrophobic films based on polyurethane cationomers containing TiO2 nanofiller. Prog. Org. Coat. 2022, 162, 106524. [Google Scholar] [CrossRef]
- Ahangaran, F.; Navarchian, A.H. Recent advances in chemical surface modification of metal oxide nanoparticles with silane coupling agents: A review. Adv. Colloid Interface Sci. 2020, 286, 102298. [Google Scholar] [CrossRef] [PubMed]
- Li, D.; Sun, G.; Ouyang, X.; Zhong, P.; Wang, S. Surface modification of alumina nanoparticles and its application in tape casting of micro-nano green tape. Appl. Surf. Sci. 2023, 622, 156963. [Google Scholar] [CrossRef]
- Wang, X.; Klingan, K.; Klingenhof, M.; Möller, T.; de Araújo, J.F.; Martens, I.; Bagger, A.; Jiang, S.; Rossmeisl, J.; Dau, H.; et al. Morphology and mechanism of highly selective Cu(II) oxide nanosheet catalysts for carbon dioxide electroreduction. Nat. Commun. 2021, 12, 794. [Google Scholar] [CrossRef] [PubMed]
- Zhang, D.; Peng, F.; Liu, X. Protection of magnesium alloys: From physical barrier coating to smart self-healing coating. J. Alloy. Compd. 2021, 853, 157010. [Google Scholar] [CrossRef]
- Wang, X.; Sun, W.; Li, W.; Zuo, C.; Jiang, Y.; Wang, S. Development of waterborne heavy-duty anticorrosive coatings with modified nanoscale titania. Coatings 2022, 12, 1651. [Google Scholar] [CrossRef]
- Wang, X.; Huang, J.; Guo, Z. Overview of the development of slippery surfaces: Lubricants from presence to absence. Adv. Colloid Interface Sci. 2022, 201, 102602. [Google Scholar] [CrossRef] [PubMed]
- Jackson, C.M.; McGuire, J.A.; Losada, M.E.; Maskery, I.; Ashcroft, I.; De Vita, R.; Dillard, D.A. Using cohesive zone models with digital image correlation to obtain a mixed mode I/II fracture envelope of a tough epoxy. Eng. Fract. Mech. 2024, 295, 109732. [Google Scholar] [CrossRef]












| Modified Nanoscale Titania | A1 | A2 | A3 |
|---|---|---|---|
| Modified by | γ-amino propyl triethoxy silane | γ-(2,3-epoxy propoxy) propyl trimethoxy silane | γ-methacryloxy propyl trimethoxy silane |
| Waterborne Anticorrosive Coating | B1 | B2 | B3 | B4 |
|---|---|---|---|---|
| Titania types | A1 | A2 | A3 | Unmodified |
| Number | Coating Type | Price (CNY/kg) | Coating Thickness (μm) | Theoretical Coverage (m2) | Actual Cost per Unit Area |
|---|---|---|---|---|---|
| 1 | US PPG paint | 170 | 230–250 | 5 | 68 |
| 2 | Regular oil-based primer | 50.385 | 40–50 | 6 | 31.24 |
| Regular oil-based intermediate paint | 28.205 | 40–50 | 7 | ||
| Polyurethane topcoat | 41.667 | 40–50 | 8 | ||
| 3 | Waterborne anticorrosive coating | 120.62 | 30–40 | 8 | 32.84 |
| Number | Coating Type | Coating Cost (CNY/m2) | Labor Cost (CNY/m2) | Total Cost (CNY/m2) | Three-Year Anticorrosion Total Cost (Thousand CNY) |
|---|---|---|---|---|---|
| 1 | US PPG coating | 68 × 1.5 | 30 × 1.5 | 147 | 8938 |
| 2 | Regular oil-based coating | 31.24 × 3 | 30 × 3 | 183.72 | 11,171 |
| 3 | Waterborne anticorrosive coating | 32.84 | 30 | 62.84 | 3821 |
Disclaimer/Publisher’s Note: The statements, opinions and data contained in all publications are solely those of the individual author(s) and contributor(s) and not of MDPI and/or the editor(s). MDPI and/or the editor(s) disclaim responsibility for any injury to people or property resulting from any ideas, methods, instructions or products referred to in the content. |
© 2024 by the authors. Licensee MDPI, Basel, Switzerland. This article is an open access article distributed under the terms and conditions of the Creative Commons Attribution (CC BY) license (https://creativecommons.org/licenses/by/4.0/).
Share and Cite
Lyu, Y.; Sun, W.; Feng, T.; Li, W.; Jiang, Y.; Zuo, C.; Wang, S. Anticorrosion Performance of Waterborne Coatings with Modified Nanoscale Titania under Subtropical Maritime Climate. Polymers 2024, 16, 1919. https://doi.org/10.3390/polym16131919
Lyu Y, Sun W, Feng T, Li W, Jiang Y, Zuo C, Wang S. Anticorrosion Performance of Waterborne Coatings with Modified Nanoscale Titania under Subtropical Maritime Climate. Polymers. 2024; 16(13):1919. https://doi.org/10.3390/polym16131919
Chicago/Turabian StyleLyu, Yang, Weipeng Sun, Tingyou Feng, Wenge Li, Yong Jiang, Chenglin Zuo, and Shuangxi Wang. 2024. "Anticorrosion Performance of Waterborne Coatings with Modified Nanoscale Titania under Subtropical Maritime Climate" Polymers 16, no. 13: 1919. https://doi.org/10.3390/polym16131919
APA StyleLyu, Y., Sun, W., Feng, T., Li, W., Jiang, Y., Zuo, C., & Wang, S. (2024). Anticorrosion Performance of Waterborne Coatings with Modified Nanoscale Titania under Subtropical Maritime Climate. Polymers, 16(13), 1919. https://doi.org/10.3390/polym16131919

