Sustainable Lignin-Reinforced Chitosan Membranes for Efficient Cr(VI) Water Remediation
Abstract
1. Introduction
2. Experimental
2.1. Materials
2.2. Preparation of CS/KL Membranes
2.3. Characterization of CS/KL Membranes
2.4. Adsorption Experiments of Cr(VI)
3. Results and Discussion
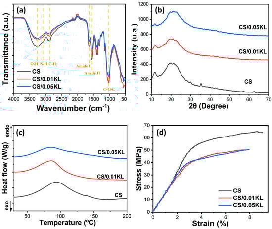
Characterization of CS/KL Membranes
4. Adsorption of CS/KL Membranes
4.1. Effect of pH
4.2. Effect Contact Time
4.3. Adsorption Mechanism
5. Conclusions
Author Contributions
Funding
Institutional Review Board Statement
Data Availability Statement
Acknowledgments
Conflicts of Interest
References
- Hinrichsen, D.; Tacio, H. The coming freshwater crisis is already here. In The Linkages between Population and Water; Woodrow Wilson International Center for Scholars: Washington, DC, USA, 2002; pp. 1–26. [Google Scholar]
- World Health Organization. Guidelines for Drinking-Water Quality: Incorporating the First and Second Addenda; World Health Organization: Geneva, Switzerland, 2022. [Google Scholar]
- Gavrilescu, M.; Demnerová, K.; Aamand, J.; Agathos, S.; Fava, F. Emerging pollutants in the environment: Present and future challenges in biomonitoring, ecological risks and bioremediation. New Biotechnol. 2015, 32, 147–156. [Google Scholar] [CrossRef]
- Filote, C.; Roșca, M.; Hlihor, R.M.; Cozma, P.; Simion, I.M.; Apostol, M.; Gavrilescu, M. Sustainable application of biosorption and bioaccumulation of persistent pollutants in wastewater treatment: Current practice. Processes 2021, 9, 1696. [Google Scholar] [CrossRef]
- Vasilachi, I.C.; Asiminicesei, D.M.; Fertu, D.I.; Gavrilescu, M. Occurrence and fate of emerging pollutants in water environment and options for their removal. Water 2021, 13, 181. [Google Scholar] [CrossRef]
- Reddi, M.G.; Gomathi, T.; Saranya, M.; Sudha, P. Adsorption and kinetic studies on the removal of chromium and copper onto Chitosan-g-maliec anhydride-g-ethylene dimethacrylate. Int. J. Biol. Macromol. 2017, 104, 1578–1585. [Google Scholar] [CrossRef] [PubMed]
- Verma, P.; Ratan, J.K. Assessment of the negative effects of various inorganic water pollutants on the biosphere—An overview. Inorg. Pollut. Water 2020, 73–96. [Google Scholar] [CrossRef]
- Hare, L. Aquatic insects and trace metals: Bioavailability, bioaccumulation, and toxicity. Crit. Rev. Toxicol. 1992, 22, 327–369. [Google Scholar] [CrossRef]
- Mason, R.; Laporte, J.-M.; Andres, S. Factors controlling the bioaccumulation of mercury, methylmercury, arsenic, selenium, and cadmium by freshwater invertebrates and fish. Arch. Environ. Contam. Toxicol. 2000, 38, 283–297. [Google Scholar] [CrossRef] [PubMed]
- Bolaños-Benítez, V.; van Hullebusch, E.D.; Garnier, J.; Quantin, C.; Tharaud, M.; Lens, P.N.L.; Sivry, Y. Assessing chromium mobility in natural surface waters: Colloidal contribution to the isotopically exchangeable pool of chromium (EwCr value). Appl. Geochem. 2018, 92, 19–29. [Google Scholar] [CrossRef]
- Almeida, J.C.; Cardoso, C.E.D.; Tavares, D.S.; Freitas, R.; Trindade, T.; Vale, C.; Pereira, E. Chromium removal from contaminated waters using nanomaterials—A review. TrAC Trends Anal. Chem. 2019, 118, 277–291. [Google Scholar] [CrossRef]
- Guo, D.-M.; An, Q.-D.; Xiao, Z.-Y.; Zhai, S.-R.; Yang, D.-J. Efficient removal of Pb (II), Cr (VI) and organic dyes by polydopamine modified chitosan aerogels. Carbohydr. Polym. 2018, 202, 306–314. [Google Scholar] [CrossRef]
- Pushkar, B.; Sevak, P.; Parab, S.; Nilkanth, N. Chromium pollution and its bioremediation mechanisms in bacteria: A review. J. Environ. Manag. 2021, 287, 112279. [Google Scholar] [CrossRef] [PubMed]
- Tumolo, M.; Ancona, V.; De Paola, D.; Losacco, D.; Campanale, C.; Massarelli, C.; Uricchio, V.F. Chromium pollution in European water, sources, health risk, and remediation strategies: An overview. Int. J. Environ. Res. Public Health 2020, 17, 5438. [Google Scholar] [CrossRef] [PubMed]
- Sharma, S.K.; Petrusevski, B.; Amy, G. Chromium removal from water: A review. J. Water Supply Res. Technol. —AQUA 2008, 57, 541–553. [Google Scholar] [CrossRef]
- Mohan, D.; Rajput, S.; Singh, V.K.; Steele, P.H.; Pittman, C.U., Jr. Modeling and evaluation of chromium remediation from water using low cost bio-char, a green adsorbent. J. Hazard. Mater. 2011, 188, 319–333. [Google Scholar] [CrossRef] [PubMed]
- Edition, F. Guidelines for drinking-water quality. WHO Chron. 2011, 38, 104–108. [Google Scholar]
- Paustenbach, D.; Finley, B.; Mowat, F.; Kerger, B. Human health risk and exposure assessment of chromium (VI) in tap water. J. Toxicol. Environ. Health Part A 2003, 66, 1295–1339. [Google Scholar] [CrossRef]
- Kurniawan, T.A.; Chan, G.Y.; Lo, W.-H.; Babel, S. Physico–chemical treatment techniques for wastewater laden with heavy metals. Chem. Eng. J. 2006, 118, 83–98. [Google Scholar] [CrossRef]
- Rengaraj, S.; Yeon, K.-H.; Moon, S.-H. Removal of chromium from water and wastewater by ion exchange resins. J. Hazard. Mater. 2001, 87, 273–287. [Google Scholar] [CrossRef]
- Juang, R.-S.; Shiau, R.-C. Metal removal from aqueous solutions using chitosan-enhanced membrane filtration. J. Membr. Sci. 2000, 165, 159–167. [Google Scholar] [CrossRef]
- Ayoub, G.; Semerjian, L.; Acra, A.; Fadel, M.E.; Koopman, B. Heavy metal removal by coagulation with seawater liquid bittern. J. Environ. Eng. 2001, 127, 196–207. [Google Scholar] [CrossRef]
- Li, Y.; Zeng, X.; Liu, Y.; Yan, S.; Hu, Z.; Ni, Y. Study on the treatment of copper-electroplating wastewater by chemical trapping and flocculation. Sep. Purif. Technol. 2003, 31, 91–95. [Google Scholar] [CrossRef]
- Bohdziewicz, J.; Bodzek, M.; Wąsik, E. The application of reverse osmosis and nanofiltration to the removal of nitrates from groundwater. Desalination 1999, 121, 139–147. [Google Scholar] [CrossRef]
- Srivastava, S.; Thakur, I.S. Biosorption potency of Aspergillus niger for removal of chromium (VI). Curr. Microbiol. 2006, 53, 232–237. [Google Scholar] [CrossRef] [PubMed]
- Peralta, M.E.; Nisticò, R.; Franzoso, F.; Magnacca, G.; Fernandez, L.; Parolo, M.E.; León, E.G.; Carlos, L. Highly efficient removal of heavy metals from waters by magnetic chitosan-based composite. Adsorption 2019, 25, 1337–1347. [Google Scholar] [CrossRef]
- Crini, G.; Lichtfouse, E. Advantages and disadvantages of techniques used for wastewater treatment. Environ. Chem. Letters 2019, 17, 145–155. [Google Scholar] [CrossRef]
- Chai, W.S.; Cheun, J.Y.; Kumar, P.S.; Mubashir, M.; Majeed, Z.; Banat, F.; Ho, S.-H.; Show, P.L. A review on conventional and novel materials towards heavy metal adsorption in wastewater treatment application. J. Clean. Prod. 2021, 296, 126589. [Google Scholar] [CrossRef]
- Chakraborty, R.; Asthana, A.; Singh, A.K.; Jain, B.; Susan, A.B.H. Adsorption of heavy metal ions by various low-cost adsorbents: A review. Int. J. Environ. Anal. Chem. 2022, 102, 342–379. [Google Scholar] [CrossRef]
- Kumar, K.Y.; Muralidhara, H.; Nayaka, Y.A.; Balasubramanyam, J.; Hanumanthappa, H. Low-cost synthesis of metal oxide nanoparticles and their application in adsorption of commercial dye and heavy metal ion in aqueous solution. Powder Technol. 2013, 246, 125–136. [Google Scholar] [CrossRef]
- Algamal, Y.M. Removal of chromium (VI) from aqueous solution by natural clay. Arch. Bus. Res. 2018, 6, 357–364. [Google Scholar]
- Gokila, S.; Gomathi, T.; Sudha, P.; Anil, S. Removal of the heavy metal ion chromiuim (VI) using Chitosan and Alginate nanocomposites. Int. J. Biol. Macromol. 2017, 104, 1459–1468. [Google Scholar] [CrossRef]
- Mohan, D.; Singh, K.P.; Singh, V.K. Removal of hexavalent chromium from aqueous solution using low-cost activated carbons derived from agricultural waste materials and activated carbon fabric cloth. Ind. Eng. Chem. Res. 2005, 44, 1027–1042. [Google Scholar] [CrossRef]
- Abbas, M.; Nadeem, R.; Zafar, M.N.; Arshad, M. Biosorption of chromium (III) and chromium (VI) by untreated and pretreated Cassia fistula biomass from aqueous solutions. Water Air Soil Pollut. 2008, 191, 139–148. [Google Scholar] [CrossRef]
- Mansoori, S.; Davarnejad, R.; Matsuura, T.; Ismail, A.F. Membranes based on non-synthetic (natural) polymers for wastewater treatment. Polym. Test. 2020, 84, 106381. [Google Scholar] [CrossRef]
- Pakade, V.E.; Tavengwa, N.T.; Madikizela, L.M. Recent advances in hexavalent chromium removal from aqueous solutions by adsorptive methods. RSC Adv. 2019, 9, 26142–26164. [Google Scholar] [CrossRef]
- Balaji, A.B.; Pakalapati, H.; Khalid, M.; Walvekar, R.; Siddiqui, H. Natural and synthetic biocompatible and biodegradable polymers. Biodegrad. Biocompatible Polym. Compos. 2018, 286, 3–32. [Google Scholar]
- Taka, A.L.; Klink, M.J.; Mbianda, X.Y.; Naidoo, E.B. Chitosan nanocomposites for water treatment by fixed-bed continuous flow column adsorption: A review. Carbohydr. Polym. 2021, 255, 117398. [Google Scholar] [CrossRef] [PubMed]
- Pal, P.; Pal, A.; Nakashima, K.; Yadav, B.K. Applications of chitosan in environmental remediation: A review. Chemosphere 2021, 266, 128934. [Google Scholar] [CrossRef] [PubMed]
- Lizardi-mendoza, J.; Monal, W.M.A.; Valencia, F.M.G. Chemical Characteristics and Functional Properties of Chitosan. In Chitosan in the Preservation of Agricultural Commodities; Elsevier Inc.: Amsterdam, The Netherlands, 2016. [Google Scholar] [CrossRef]
- Alzagameem, A.; Klein, S.E.; Bergs, M.; Do, X.T.; Korte, I.; Dohlen, S.; Hüwe, C.; Kreyenschmidt, J.; Kamm, B.; Larkins, M. Antimicrobial activity of lignin and lignin-derived cellulose and chitosan composites against selected pathogenic and spoilage microorganisms. Polymers 2019, 11, 670. [Google Scholar] [CrossRef] [PubMed]
- Nthunya, L.N.; Masheane, M.L.; Malinga, S.P.; Nxumalo, E.N.; Mhlanga, S.D. Environmentally benign chitosan-based nanofibres for potential use in water treatment. Cogent Chem. 2017, 3, 1357865. [Google Scholar] [CrossRef]
- Rimu, S.H.; Rahman, M.M. Insight of chitosan-based nanocomposite for removal of hexavalent chromium from wastewater-a review. Int. J. Environ. Anal. Chem. 2022, 102, 6801–6818. [Google Scholar] [CrossRef]
- Guibal, E. Interactions of metal ions with chitosan-based sorbents: A review. Sep. Purif. Technol. 2004, 38, 43–74. [Google Scholar] [CrossRef]
- Anandhavelu, S.; Thambidurai, S. Preparation of an ecofriendly chitosan–ZnO composite for chromium complex dye adsorption. Color. Technol. 2013, 129, 187–192. [Google Scholar] [CrossRef]
- Samuel, M.S.; Bhattacharya, J.; Raj, S.; Santhanam, N.; Singh, H.; Singh, N.P. Efficient removal of Chromium (VI) from aqueous solution using chitosan grafted graphene oxide (CS-GO) nanocomposite. Int. J. Biol. Macromol. 2019, 121, 285–292. [Google Scholar] [CrossRef] [PubMed]
- Beheshti, H.; Irani, M.; Hosseini, L.; Rahimi, A.; Aliabadi, M. Removal of Cr (VI) from aqueous solutions using chitosan/MWCNT/Fe3O4 composite nanofibers-batch and column studies. Chem. Eng. J. 2016, 284, 557–564. [Google Scholar] [CrossRef]
- Mahmoud, M.E.; Amira, M.F.; Azab, M.M.; Abdelfattah, A.M. Effective removal of levofloxacin drug and Cr (VI) from water by a composed nanobiosorbent of vanadium pentoxide@ chitosan@ MOFs. Int. J. Biol. Macromol. 2021, 188, 879–891. [Google Scholar] [CrossRef] [PubMed]
- Eliodorio, K.P.; Pereira, G.J.; de Araújo Morandim-Giannetti, A. Functionalized chitosan with butylammonium ionic liquids for removal of Cr (VI) from aqueous solution. J. Appl. Polym. Sci. 2021, 138, 49912. [Google Scholar] [CrossRef]
- Salehi, E.; Daraei, P.; Shamsabadi, A.A. A review on chitosan-based adsorptive membranes. Carbohydr. Polym. 2016, 152, 419–432. [Google Scholar] [CrossRef]
- Ma, B.; Qin, A.; Li, X.; Zhao, X.; He, C. Structure and properties of chitin whisker reinforced chitosan membranes. Int. J. Biol. Macromol. 2014, 64, 341–346. [Google Scholar] [CrossRef]
- Pishnamazi, M.; Koushkbaghi, S.; Hosseini, S.S.; Darabi, M.; Yousefi, A.; Irani, M. Metal organic framework nanoparticles loaded-PVDF/chitosan nanofibrous ultrafiltration membranes for the removal of BSA protein and Cr (VI) ions. J. Mol. Liq. 2020, 317, 113934. [Google Scholar] [CrossRef]
- Koushkbaghi, S.; Zakialamdari, A.; Pishnamazi, M.; Ramandi, H.F.; Aliabadi, M.; Irani, M. Aminated-Fe3O4 nanoparticles filled chitosan/PVA/PES dual layers nanofibrous membrane for the removal of Cr (VI) and Pb (II) ions from aqueous solutions in adsorption and membrane processes. Chem. Eng. J. 2018, 337, 169–182. [Google Scholar] [CrossRef]
- Wu, S.; Li, M.; Xin, L.; Long, H.; Gao, X. Efficient removal of Cr (VI) by triethylenetetramine modified sodium alginate/carbonized chitosan composite via adsorption and photocatalytic reduction. J. Mol. Liq. 2022, 366, 120160. [Google Scholar] [CrossRef]
- Goswami, R.; Mishra, A.; Bhatt, N.; Mishra, A.; Naithani, P. Potential of chitosan/nanocellulose based composite membrane for the removal of heavy metal (chromium ion). Mater. Today Proc. 2021, 46, 10954–10959. [Google Scholar] [CrossRef]
- Nair, V.; Panigrahy, A.; Vinu, R. Development of novel chitosan–lignin composites for adsorption of dyes and metal ions from wastewater. Chem. Eng. J. 2014, 254, 491–502. [Google Scholar] [CrossRef]
- González-López, M.E.; Laureano-Anzaldo, C.M.; Pérez-Fonseca, A.A.; Arellano, M.; Robledo-Ortíz, J.R. Chemically modified polysaccharides for hexavalent chromium adsorption. Sep. Purif. Rev. 2021, 50, 333–362. [Google Scholar] [CrossRef]
- Ridho, M.R.; Agustiany, E.A.; Rahmi Dn, M.; Madyaratri, E.W.; Ghozali, M.; Restu, W.K.; Falah, F.; Rahandi Lubis, M.A.; Syamani, F.A.; Nurhamiyah, Y. Lignin as green filler in polymer composites: Development methods, characteristics, and potential applications. Adv. Mater. Sci. Eng. 2022, 2022, 1363481. [Google Scholar] [CrossRef]
- Chung, H.; Washburn, N.R. Chemistry of lignin-based materials. Green Mater. 2013, 1, 137–160. [Google Scholar] [CrossRef]
- Lalvani, S.; Hubner, A.; Wiltowski, T. Chromium adsorption by lignin. Energy Sources 2000, 22, 45–56. [Google Scholar]
- Wu, Y.; Zhang, S.; Guo, X.; Huang, H. Adsorption of chromium (III) on lignin. Bioresour. Technol. 2008, 99, 7709–7715. [Google Scholar] [CrossRef]
- Chen, L.; Tang, C.-Y.; Ning, N.-Y.; Wang, C.-Y.; Fu, Q.; Zhang, Q. Preparation and properties of chitosan/lignin composite films. Chin. J. Polym. Sci. 2009, 27, 739–746. [Google Scholar] [CrossRef]
- Laysandra, L.; Ondang, I.J.; Ju, Y.-H.; Ariandini, B.H.; Mariska, A.; Soetaredjo, F.E.; Putro, J.N.; Santoso, S.P.; Darsono, F.L.; Ismadji, S. Highly adsorptive chitosan/saponin-bentonite composite film for removal of methyl orange and Cr (VI). Environ. Sci. Pollut. Res. 2019, 26, 5020–5037. [Google Scholar] [CrossRef]
- Bregnbak, D.; Johansen, J.D.; Jellesen, M.S.; Zachariae, C.; Thyssen, J.P. Chromium (VI) release from leather and metals can be detected with a diphenylcarbazide spot test. Contact Dermat. 2015, 73, 281–288. [Google Scholar] [CrossRef]
- Queirós, J.M.; Salazar, H.; Valverde, A.; Botelho, G.; de Luis, R.F.; Teixeira, J.; Martins, P.; Lanceros-Mendez, S. Reusable composite membranes for highly efficient chromium removal from real water matrixes. Chemosphere 2022, 307, 135922. [Google Scholar] [CrossRef]
- Salazar, H.; Martins, P.M.; Valverde, A.; Fernandez de Luis, R.; Vilas-Vilela, J.L.; Ferdov, S.; Botelho, G.; Lanceros-Mendez, S. Reusable nanocomposite membranes for highly efficient arsenite and arsenate dual removal from water. Adv. Mater. Interfaces 2022, 9, 2101419. [Google Scholar] [CrossRef]
- Bullen, J.C.; Saleesongsom, S.; Gallagher, K.; Weiss, D.J. A revised pseudo-second-order kinetic model for adsorption, sensitive to changes in adsorbate and adsorbent concentrations. Langmuir 2021, 37, 3189–3201. [Google Scholar] [CrossRef] [PubMed]
- Crouvisier-Urion, K.; Bodart, P.R.; Winckler, P.; Raya, J.; Gougeon, R.D.; Cayot, P.; Domenek, S.; Debeaufort, F.; Karbowiak, T. Biobased Composite Films from Chitosan and Lignin: Antioxidant Activity Related to Structure and Moisture. ACS Sustain. Chem. Eng. 2016, 4, 6371–6381. [Google Scholar] [CrossRef]
- Siripatrawan, U.; Harte, B.R. Physical properties and antioxidant activity of an active film from chitosan incorporated with green tea extract. Food Hydrocoll. 2010, 24, 770–775. [Google Scholar] [CrossRef]
- Brugnerotto, J.; Lizardi, J.; Goycoolea, F.M.; Argüelles-Monal, W.; Desbrières, J.; Rinaudo, M. An infrared investigation in relation with chitin and chitosan characterization. Polymer 2001, 42, 3569–3580. [Google Scholar] [CrossRef]
- Rodrigues, C.; Mello, J.; Dalcanton, F.; Macuvele, D.L.; Padoin, N.; Fiori, M.; Soares, C.; Riella, H. Mechanical, Thermal and Antimicrobial Properties of Chitosan-Based-Nanocomposite with Potential Applications for Food Packaging. J. Polym. Environ. 2020, 28, 1216–1236. [Google Scholar] [CrossRef]
- Rai, S.; Dutta, P.; Mehrotra, G. Lignin incorporated antimicrobial chitosan film for food packaging application. J. Polym. Mater. 2017, 34, 171–183. [Google Scholar]
- Sencadas, V.; Correia, D.; Areias, A.; Botelho, G.; Fonseca, A.; Neves, I.; Ribelles, J.G.; Mendez, S.L. Determination of the parameters affecting electrospun chitosan fiber size distribution and morphology. Carbohydr. Polym. 2012, 87, 1295–1301. [Google Scholar] [CrossRef]
- Pemble, O.J.; Bardosova, M.; Povey, I.M.; Pemble, M.E. A slot-die technique for the preparation of continuous, high-area, chitosan-based thin films. Polymers 2021, 13, 1566. [Google Scholar] [CrossRef] [PubMed]
- Barrios-Salgado, G.; Vázquez-Ovando, A.; Rosas-Quijano, R.; Gálvez-López, D.; Salvador-Figueroa, M. Inhibitory capacity of chitosan films containing lactic acid bacteria cell-free supernatants against Colletotrichum gloeosporioides. Food Bioprocess Technol. 2022, 15, 1182–1187. [Google Scholar] [CrossRef]
- Ravishankar, K.; Venkatesan, M.; Desingh, R.P.; Mahalingam, A.; Sadhasivam, B.; Subramaniyam, R.; Dhamodharan, R. Biocompatible hydrogels of chitosan-alkali lignin for potential wound healing applications. Mater. Sci. Eng. C 2019, 102, 447–457. [Google Scholar] [CrossRef] [PubMed]
- Kumari, S.; Kumar Annamareddy, S.H.; Abanti, S.; Kumar Rath, P. Physicochemical properties and characterization of chitosan synthesized from fish scales, crab and shrimp shells. Int. J. Biol. Macromol. 2017, 104, 1697–1705. [Google Scholar] [CrossRef]
- Saber-Samandari, S.; Yilmaz, O.; Yilmaz, E. Photoinduced Graft Copolymerization onto Chitosan Under Heterogeneous Conditions. J. Macromol. Sci. Part A 2012, 49, 591–598. [Google Scholar] [CrossRef]
- Pham, C.D.; Truong, T.M.; Ly, T.B.; Le, P.K. Application of Lignin from Cellulose Isolation Process in The Fabrication of Chitosan/Lignin Film for UV-Light Blocking and Anti-oxidation. Waste Biomass Valorization 2023, 15, 1881–1894. [Google Scholar] [CrossRef]
- Rosova, E.; Smirnova, N.; Dresvyanina, E.; Smirnova, V.; Vlasova, E.; Ivan’kova, E.; Sokolova, M.; Maslennikova, T.; Malafeev, K.; Kolbe, K. Biocomposite materials based on chitosan and lignin: Preparation and characterization. Cosmetics 2021, 8, 24. [Google Scholar] [CrossRef]
- Grassi, M.; Kaykioglu, G.; Belgiorno, V.; Lofrano, G. Removal of emerging contaminants from water and wastewater by adsorption process. In Emerging Compounds Removal from Wastewater: Natural and Solar Based Treatments; Springer: Dordrecht, The Netherlands, 2012; pp. 15–37. [Google Scholar]
- Sheth, Y.; Dharaskar, S.; Khalid, M.; Walvekar, R. Investigating chromium Cr (VI) removal using imidazolium based ionic liquid-chitosan composite adsorptive film. J. Mol. Liq. 2022, 347, 118317. [Google Scholar] [CrossRef]
- Copello, G.; Varela, F.; Vivot, R.M.; Diaz, L. Immobilized chitosan as biosorbent for the removal of Cd (II), Cr (III) and Cr (VI) from aqueous solutions. Bioresour. Technol. 2008, 99, 6538–6544. [Google Scholar] [CrossRef]
- Demirbaş, A. Adsorption of Cr (III) and Cr (VI) ions from aqueous solutions on to modified lignin. Energy Sources 2005, 27, 1449–1455. [Google Scholar] [CrossRef]
- Tazerouti, N.; Amrani, M. Chromium (VI) adsorption on activated lignin. Chem. Prod. Process Model. 2009, 4. [Google Scholar] [CrossRef]
- Biswas, S.; Islam, M.M.; Hasan, M.; Rimu, S.; Khan, M.; Haque, P.; Rahman, M. Evaluation of Cr (VI) ion removal from aqueous solution by bio-inspired chitosan-clay composite: Kinetics and isotherms. Iran. J. Chem. Eng. (IJChE) 2018, 15, 63–80. [Google Scholar]
- Saini, P.; Sowmya, C.; Purnima, D.; Singh, S.A. Optimization of different polymer composites films for the removal of chromium. Mater. Today Proc. 2023, 72, 192–198. [Google Scholar] [CrossRef]
- Singh, S.; Arputharaj, E.; Dahms, H.U.; Patel, A.K.; Huang, Y.L. Chitosan-based nanocomposites for removal of Cr (VI) and synthetic food colorants from wastewater. Bioresour. Technol. 2022, 351, 127018. [Google Scholar] [CrossRef] [PubMed]
- Crini, G.; Badot, P.-M. Application of chitosan, a natural aminopolysaccharide, for dye removal from aqueous solutions by adsorption processes using batch studies: A review of recent literature. Prog. Polym. Sci. 2008, 33, 399–447. [Google Scholar] [CrossRef]
- Sağ, Y.; Aktay, Y. Kinetic studies on sorption of Cr (VI) and Cu (II) ions by chitin, chitosan and Rhizopus arrhizus. Biochem. Eng. J. 2002, 12, 143–153. [Google Scholar] [CrossRef]
- Aydın, Y.A.; Aksoy, N.D. Adsorption of chromium on chitosan: Optimization, kinetics and thermodynamics. Chem. Eng. J. 2009, 151, 188–194. [Google Scholar] [CrossRef]
- Ahmad, R.; Hasan, I.; Mittal, A. Adsorption of Cr (VI) and Cd (II) on chitosan grafted polyaniline-OMMT nanocomposite: Isotherms, kinetics and thermodynamics studies. Desalin. Water Treat. 2017, 58, 144–153. [Google Scholar] [CrossRef]
- Zhang, L.; Xia, W.; Teng, B.; Liu, X.; Zhang, W. Zirconium cross-linked chitosan composite: Preparation, characterization and application in adsorption of Cr (VI). Chem. Eng. J. 2013, 229, 1–8. [Google Scholar] [CrossRef]
- Liu, C.; Jin, R.-N.; Ouyang, X.-K.; Wang, Y.-G. Adsorption behavior of carboxylated cellulose nanocrystal—Polyethyleneimine composite for removal of Cr (VI) ions. Appl. Surf. Sci. 2017, 408, 77–87. [Google Scholar] [CrossRef]
- Sallam, A.E.-A.; Al-Zahrani, M.S.; Al-Wabel, M.I.; Al-Farraj, A.S.; Usman, A.R. Removal of Cr (VI) and toxic ions from aqueous solutions and tannery wastewater using polymer-clay composites. Sustainability 2017, 9, 1993. [Google Scholar] [CrossRef]









| Membranes | Tensile Strength (σy) (MPa) | Elongation at Break (εb) (%) | Young’s Modulus (E) (MPa) |
|---|---|---|---|
| CS | 55.58 ± 8.12 | 7.04 ± 2.02 | 15.95 ± 0.92 |
| CS/0.01 KL | 43.06 ± 5.75 | 8.30 ± 0.84 | 12.79 ± 1.54 |
| CS/0.05 KL | 47.78 ± 4.76 | 10.05 ± 3.54 | 13.49 ± 1.13 |
| Adsorbent | Adsorbent Dosage | Initial Concentration (mg/L) | Contact Time (min) | Removal Efficiency (%) | Reference |
|---|---|---|---|---|---|
| Chitosan-[BMIM][OAc] | 1 g/L | 100 | 360 | <90 | [82] |
| Chitosan grafted graphene oxide NP | 2 g/L | 50 | 420 | 96 | [46] |
| Chitosan | 0.5 g/L | 10.686 | 300 | 52.51 | [87] |
| Chitosan-EDPM (Ethylene propylene diene monomer) | 53.36 | ||||
| Chitosan/Lignin (10 mg) | 91.69 | ||||
| Chitosan/nanocellulose | 92.33 | ||||
| Chitosan-Silica-Hydroxyapatite | 0.05 g | 20–140 | 120 | 91 | [88] |
| Chitosan | 0.4 g | 5/25/50 | 300 | 100 | In this study |
| Chitosan/Lignin (0.01 g) | 100 |
| Membranes | |||
|---|---|---|---|
| Models | Parameters | CS | CS/0.01 KL |
| Pseudo-First Order | K1 (min−1) | 0.016 | 0.013 |
| Qe (mg/g) (exp) | 7.005 | 6.817 | |
| R2 | 0.998 | 0.994 | |
| Pseudo-Second Order | K2 (g·mg−1·min−1) | 0.0016 | 0.0012 |
| Qe (mg/g) (exp) | 8.803 | 8.954 | |
| R2 | 0.994 | 0.988 | |
Disclaimer/Publisher’s Note: The statements, opinions and data contained in all publications are solely those of the individual author(s) and contributor(s) and not of MDPI and/or the editor(s). MDPI and/or the editor(s) disclaim responsibility for any injury to people or property resulting from any ideas, methods, instructions or products referred to in the content. |
© 2024 by the authors. Licensee MDPI, Basel, Switzerland. This article is an open access article distributed under the terms and conditions of the Creative Commons Attribution (CC BY) license (https://creativecommons.org/licenses/by/4.0/).
Share and Cite
Castro, A.S.; Cruz, B.D.D.; Correia, D.M.; Lanceros-Méndez, S.; Martins, P.M. Sustainable Lignin-Reinforced Chitosan Membranes for Efficient Cr(VI) Water Remediation. Polymers 2024, 16, 1766. https://doi.org/10.3390/polym16131766
Castro AS, Cruz BDD, Correia DM, Lanceros-Méndez S, Martins PM. Sustainable Lignin-Reinforced Chitosan Membranes for Efficient Cr(VI) Water Remediation. Polymers. 2024; 16(13):1766. https://doi.org/10.3390/polym16131766
Chicago/Turabian StyleCastro, Ana S., Bárbara D. D. Cruz, Daniela M. Correia, Senentxu Lanceros-Méndez, and Pedro M. Martins. 2024. "Sustainable Lignin-Reinforced Chitosan Membranes for Efficient Cr(VI) Water Remediation" Polymers 16, no. 13: 1766. https://doi.org/10.3390/polym16131766
APA StyleCastro, A. S., Cruz, B. D. D., Correia, D. M., Lanceros-Méndez, S., & Martins, P. M. (2024). Sustainable Lignin-Reinforced Chitosan Membranes for Efficient Cr(VI) Water Remediation. Polymers, 16(13), 1766. https://doi.org/10.3390/polym16131766

